Antioxidant Phytocomplexes Extracted from Pomegranate (Punica granatum L.) Using Hydrodynamic Cavitation Show Potential Anticancer Activity In Vitro
Abstract
1. Introduction
2. Materials and Methods
2.1. Raw Materials and Extraction Process
2.2. Total Phenolic Content Analysis
2.3. Total Flavonoid Content Analysis
2.4. Determination of Tannin Content
2.5. Determination of Total and Specific Anthocyanins by Spectrophotometric Analysis
2.6. In Vitro Antiradical Assay
2.7. HPLC-DAD Analysis
2.8. Cell Culture
2.9. M3 Treatments
2.10. Cell Viability and Apoptosis Assay
2.11. Reactive Oxygen Species (ROS) Production Assay
2.12. Statistical Analysis
3. Results
3.1. Biochemical Characterization of Pomegranate Extracts
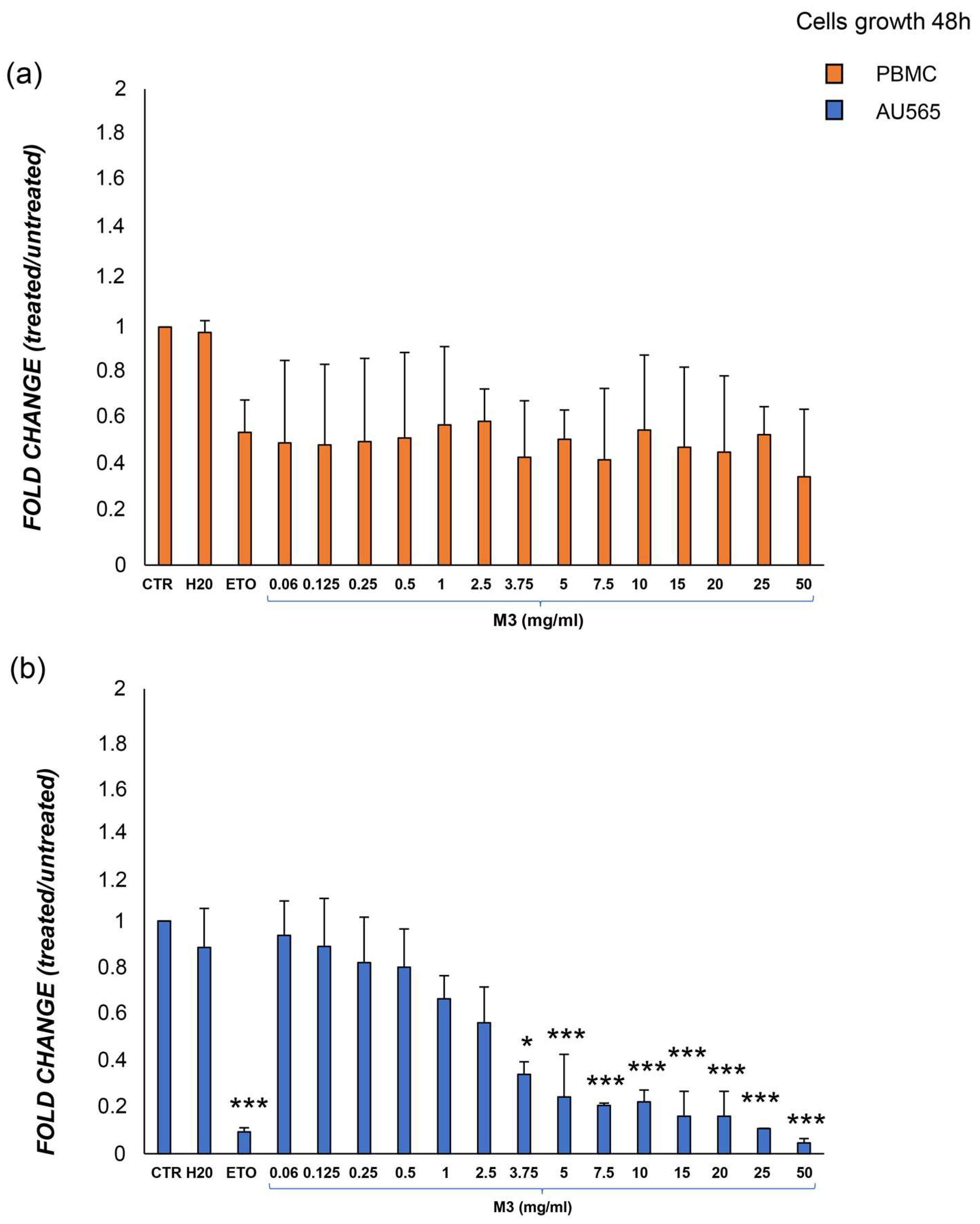
3.2. Effects of M3 Treatment on Growth Inhibition in Cancer Cells and PBMCs
3.3. Effects of M3 Treatment on the Induction of Apoptosis in Cancer Cells and PBMCs
3.4. Effects of M3 Treatment on the Modulation of ROS Production in Cancer Cells
4. Discussion
5. Conclusions
Supplementary Materials
Author Contributions
Funding
Institutional Review Board Statement
Informed Consent Statement
Data Availability Statement
Conflicts of Interest
References
- Colli, L.M.; Machiela, M.J.; Zhang, H.; Myers, T.A.; Jessop, L.; Delattre, O.; Yu, K.; Chanock, S.J. Landscape of Combination Immunotherapy and Targeted Therapy to Improve Cancer Management. Cancer Res. 2017, 77, 3666–3671. [Google Scholar] [CrossRef] [PubMed]
- Gupta, J.; Ahuja, A.; Gupta, R. Green Approaches for Cancers Management: An Effective Tool for Health Care. Anticancer. Agents Med. Chem. 2021, 22, 101–114. [Google Scholar] [CrossRef] [PubMed]
- Raju, S.K.; Sekar, P.; Kumar, S.; Murugesan, M.; Karthikeyan, M.; Elampulakkadu, A. Plant Secondary Metabolites for the Prevention and Treatment of Colorectal Cancer: A Review. J. Pharmacogn. Phytochem. 2022, 11, 229–246. [Google Scholar] [CrossRef]
- Levin, B. Nutrition and Colorectal Cancer. Cancer 1992, 70, 1723–1726. [Google Scholar] [CrossRef] [PubMed]
- Esmeeta, A.; Adhikary, S.; Dharshnaa, V.; Swarnamughi, P.; Ummul Maqsummiya, Z.; Banerjee, A.; Pathak, S.; Duttaroy, A.K. Plant-Derived Bioactive Compounds in Colon Cancer Treatment: An Updated Review. Biomed. Pharmacother. 2022, 153, 113384. [Google Scholar] [CrossRef] [PubMed]
- Lee, C.J.; Chen, L.G.; Liang, W.L.; Wang, C.C. Anti-Inflammatory Effects of Punica granatum Linne In Vitro and In Vivo. Food Chem. 2010, 118, 315–322. [Google Scholar] [CrossRef]
- Fischer, U.A.; Carle, R.; Kammerer, D.R. Identification and Quantification of Phenolic Compounds from Pomegranate (Punica granatum L.) Peel, Mesocarp, Aril and Differently Produced Juices by HPLC-DAD-ESI/MSn. Food Chem. 2011, 127, 807–821. [Google Scholar] [CrossRef]
- Akhtar, S.; Ismail, T.; Fraternale, D.; Sestili, P. Pomegranate Peel and Peel Extracts: Chemistry and Food Features. Food Chem. 2015, 174, 417–425. [Google Scholar] [CrossRef]
- Eghbali, S.; Askari, S.F.; Avan, R.; Sahebkar, A. Therapeutic Effects of Punica granatum (Pomegranate): An Updated Review of Clinical Trials. J. Nutr. Metab. 2021, 2021, 5297162. [Google Scholar] [CrossRef]
- Ranjha, M.M.A.N.; Shafique, B.; Wang, L.; Irfan, S.; Safdar, M.N.; Murtaza, M.A.; Nadeem, M.; Mahmood, S.; Mueen-ud-Din, G.; Nadeem, H.R. A Comprehensive Review on Phytochemistry, Bioactivity and Medicinal Value of Bioactive Compounds of Pomegranate (Punica granatum). Adv. Tradit. Med. 2023, 23, 37–57. [Google Scholar] [CrossRef]
- Dikmen, M.; Ozturk, N.; Ozturk, Y. The Antioxidant Potency of Punica granatum L. Fruit Peel Reduces Cell Proliferation and Induces Apoptosis on Breast Cancer. J. Med. Food 2011, 14, 1638–1646. [Google Scholar] [CrossRef]
- Kim, N.D.; Mehta, R.; Yu, W.; Neeman, I.; Livney, T.; Amichay, A.; Poirier, D.; Nicholls, P.; Kirby, A.; Jiang, W.; et al. Chemopreventive and Adjuvant Therapeutic Potential of Pomegranate (Punica granatum) for Human Breast Cancer. Breast Cancer Res. Treat. 2002, 71, 203–217. [Google Scholar] [CrossRef]
- Panda, D.; Saharan, V.K.; Manickam, S. Controlled Hydrodynamic Cavitation: A Review of Recent Advances and Perspectives for Greener Processing. Processes 2020, 8, 220. [Google Scholar] [CrossRef]
- Meneguzzo, F.; Albanese, L.; Zabini, F. Hydrodynamic Cavitation in Beer and Other Beverage Processing. In Reference Module in Food Science; Elsevier: Amsterdam, The Netherlands, 2020; pp. 369–394. [Google Scholar]
- Benedetti, G.; Zabini, F.; Tagliavento, L.; Meneguzzo, F.; Calderone, V.; Testai, L. An Overview of the Health Benefits, Extraction Methods and Improving the Properties of Pomegranate. Antioxidants 2023, 12, 1351. [Google Scholar] [CrossRef]
- Meneguzzo, F.; Brunetti, C.; Fidalgo, A.; Ciriminna, R.; Delisi, R.; Albanese, L.; Zabini, F.; Gori, A.; Nascimento, L.B.d.S.; Carlo, A.D.; et al. Real-Scale Integral Valorization of Waste Orange Peel via Hydrodynamic Cavitation. Processes 2019, 7, 581. [Google Scholar] [CrossRef]
- Impei, S.; Gismondi, A.; Canuti, L.; Canini, A. Metabolic and Biological Profile of Autochthonous Vitis vinifera L. Ecotypes. Food Funct. 2015, 6, 1526–1538. [Google Scholar] [CrossRef]
- Di Marco, G.; Gismondi, A.; Canuti, L.; Scimeca, M.; Volpe, A.; Canini, A. Tetracycline Accumulates in Iberis sempervirens L. through Apoplastic Transport Inducing Oxidative Stress and Growth Inhibition. Plant Biol. 2014, 16, 792–800. [Google Scholar] [CrossRef]
- Weidner, S.; Karolak, M.; Karamac, M.; Kosinska, A.; Amarowicz, R. Phenolic Compounds and Properties of Antioxidants in Grapevine Roots [Vitis vinifera L.] under Drought Stress Followed by Recovery. Acta Soc. Bot. Pol. 2009, 78, 97–103. [Google Scholar] [CrossRef]
- Giusti, M.M.; Wrolstad, R.E. Characterization and Measurement of Anthocyanins by UV-Visible Spectroscopy. Curr. Protoc. Food Anal. Chem. 2001, 1, F1.2.1–F1.2.13. [Google Scholar] [CrossRef]
- Benzie, I.F.F.; Strain, J.J. The Ferric Reducing Ability of Plasma (FRAP) as a Measure of “Antioxidant Power”: The FRAP Assay. Anal. Biochem. 1996, 239, 70–76. [Google Scholar] [CrossRef]
- Re, R.; Pellegrini, N.; Proteggente, A.; Pannala, A.; Yang, M.; Rice-Evans, C. Antioxidant Activity Applying an Improved ABTS Radical Cation Decolorization Assay. Free Radic. Biol. Med. 1999, 26, 1231–1237. [Google Scholar] [CrossRef]
- Gismondi, A.; De Rossi, S.; Canuti, L.; Novelli, S.; Di Marco, G.; Fattorini, L.; Canini, A. From Robinia pseudoacacia L. Nectar to Acacia Monofloral Honey: Biochemical Changes and Variation of Biological Properties. J. Sci. Food Agric. 2018, 98, 4312–4322. [Google Scholar] [CrossRef]
- Minutolo, A.; Potestà, M.; Roglia, V.; Cirilli, M.; Iacovelli, F.; Cerva, C.; Fokam, J.; Desideri, A.; Andreoni, M.; Grelli, S.; et al. Plant MicroRNAs from Moringa oleifera Regulate Immune Response and HIV Infection. Front. Pharmacol. 2021, 11, 620038. [Google Scholar] [CrossRef]
- Potestà, M.; Roglia, V.; Fanelli, M.; Pietrobono, E.; Gismondi, A.; Vumbaca, S.; Nguedia Tsangueu, R.G.; Canini, A.; Colizzi, V.; Grelli, S.; et al. Effect of Microvesicles from Moringa oleifera Containing MiRNA on Proliferation and Apoptosis in Tumor Cell Lines. Cell Death Discov. 2020, 6, 43. [Google Scholar] [CrossRef]
- Minutolo, A.; Potestà, M.; Gismondi, A.; Pirrò, S.; Cirilli, M.; Gattabria, F.; Galgani, A.; Sessa, L.; Mattei, M.; Canini, A.; et al. Olea europaea Small RNA with Functional Homology to Human MiR34a in Cross-Kingdom Interaction of Anti-Tumoral Response. Sci. Rep. 2018, 8, 12413. [Google Scholar] [CrossRef]
- Macchi, B.; Minutolo, A.; Grelli, S.; Cardona, F.; Cordero, F.M.; Mastino, A.; Brandi, A. The Novel Proapoptotic Activity of Nonnatural Enantiomer of Lentiginosine. Glycobiology 2010, 20, 500–506. [Google Scholar] [CrossRef][Green Version]
- Wang, C.; Zhang, F.; Cao, Y.; Zhang, M.; Wang, A.; Xu, M.; Su, M.; Zhang, M.; Zhuge, Y. Etoposide Induces Apoptosis in Activated Human Hepatic Stellate Cells via ER Stress. Sci. Rep. 2016, 6, 34330. [Google Scholar] [CrossRef]
- Yoo, S.H.; Yoon, Y.G.; Lee, J.S.; Song, Y.S.; Oh, J.S.; Park, B.S.; Kwon, T.K.; Park, C.; Choi, Y.H.; Yoo, Y.H. Etoposide Induces a Mixed Type of Programmed Cell Death and Overcomes the Resistance Conferred by Bcl-2 in Hep3B Hepatoma Cells. Int. J. Oncol. 2012, 41, 1443–1454. [Google Scholar] [CrossRef]
- Strobbe, D.; Pecorari, R.; Conte, O.; Minutolo, A.; Hendriks, C.M.M.; Wiezorek, S.; Faccenda, D.; Abeti, R.; Montesano, C.; Bolm, C.; et al. NH-Sulfoximine: A Novel Pharmacological Inhibitor of the Mitochondrial F1Fo-ATPase, Which Suppresses Viability of Cancerous Cells. Br. J. Pharmacol. 2021, 178, 298–311. [Google Scholar] [CrossRef]
- Sharma, A.; Thakur, N.S. Influence of Active Packaging on Quality Attributes of Dried Wild Pomegranate (Punica granatum L.) Arils during Storage. J. Appl. Nat. Sci. 2016, 8, 398–404. [Google Scholar] [CrossRef]
- Bule, M.; Khan, F.; Nisar, M.F.; Niaz, K. Tannins (Hydrolysable Tannins, Condensed Tannins, Phlorotannins, Flavono-Ellagitannins). In Recent Advances in Natural Products Analysis; Silva, A.S., Nabavi, S.F., Saeedi, M., Nabav, S.M., Eds.; Elsevier: Amsterdam, The Netherlands, 2020; pp. 132–146. ISBN 9780128164556. [Google Scholar]
- Zhao, X.; Yuan, Z. Anthocyanins from Pomegranate (Punica granatum L.) and Their Role in Antioxidant Capacities In Vitro. Chem. Biodivers. 2021, 18, e2100399. [Google Scholar] [CrossRef] [PubMed]
- Kennas, A.; Amellal-Chibane, H. Comparison of Five Solvents in the Extraction of Phenolic Anti-Oxidants from Pomegranate (Punica granatum L.) Peel. N. Afr. J. Food Nutr. Res. 2019, 3, 140–147. [Google Scholar] [CrossRef]
- Sharma, P.; McClees, S.F.; Afaq, F. Pomegranate for Prevention and Treatment of Cancer: An Update. Molecules 2017, 22, 177. [Google Scholar] [CrossRef]
- Khan, N.; Syed, D.N.; Pal, H.C.; Mukhtar, H.; Afaq, F. Pomegranate Fruit Extract Inhibits UVB-Induced Inflammation and Proliferation by Modulating NF-ΚB and MAPK Signaling Pathways in Mouse Skin. Photochem. Photobiol. 2012, 88, 1126–1134. [Google Scholar] [CrossRef]
- Wang, Y.; Zhang, S.; Iqbal, S.; Chen, Z.; Wang, X.; Wang, Y.A.; Liu, D.; Bai, K.; Ritenour, C.; Kucuk, O.; et al. Pomegranate Extract Inhibits the Bone Metastatic Growth of Human Prostate Cancer Cells and Enhances the In Vivo Efficacy of Docetaxel Chemotherapy. Prostate 2014, 74, 497–508. [Google Scholar] [CrossRef]
- Zahin, M.; Ahmad, I.; Gupta, R.C.; Aqil, F. Punicalagin and Ellagic Acid Demonstrate Antimutagenic Activity and Inhibition of Benzo[a]Pyrene Induced DNA Adducts. BioMed Res. Int. 2014, 2014, 467465. [Google Scholar] [CrossRef]
- Adams, L.S.; Seeram, N.P.; Aggarwal, B.B.; Takada, Y.; Sand, D.; Heber, D. Pomegranate Juice, Total Pomegranate Ellagitannins, and Punicalagin Suppress Inflammatory Cell Signaling in Colon Cancer Cells. J. Agric. Food Chem. 2006, 54, 980–985. [Google Scholar] [CrossRef]
- Shirode, A.B.; Kovvuru, P.; Chittur, S.V.; Henning, S.M.; Heber, D.; Reliene, R. Antiproliferative Effects of Pomegranate Extract in MCF-7 Breast Cancer Cells Are Associated with Reduced DNA Repair Gene Expression and Induction of Double Strand Breaks. Mol. Carcinog. 2014, 53, 458–470. [Google Scholar] [CrossRef]
- Hussain, T.; Tan, B.; Yin, Y.; Blachier, F.; Tossou, M.C.B.; Rahu, N. Oxidative Stress and Inflammation: What Polyphenols Can Do for Us? Oxidative Med. Cell. Longev. 2016, 2016, 7432797. [Google Scholar] [CrossRef]
- Rodrigo, R.; Miranda, A.; Vergara, L. Modulation of Endogenous Antioxidant System by Wine Polyphenols in Human Disease. Clin. Chim. Acta 2011, 412, 410–424. [Google Scholar] [CrossRef]
- Seeram, N.P.; Aronson, W.J.; Zhang, Y.; Henning, S.M.; Moro, A.; Lee, R.P.; Sartippour, M.; Harris, D.M.; Rettig, M.; Suchard, M.A.; et al. Pomegranate Ellagitannin-Derived Metabolites Inhibit Prostate Cancer Growth and Localize to the Mouse Prostate Gland. J. Agric. Food Chem. 2007, 55, 7732–7737. [Google Scholar] [CrossRef]







| Fractions | Process Time (Min) | Process Temperature (°C) | Specific Energy (Wh/kg) | 
|---|---|---|---|
| M1 | 5 | 24.0 | 13 | 
| M2 | 10 | 27.5 | 25 | 
| M3 | 15 | 30.5 | 38 | 
| M4 | 25 | 36.5 | 62 | 
| M5 | 45 | 47 | 108 | 
| Cells Type | EC30 (mg/mL) | LD30 (mg/mL) | 
|---|---|---|
| AU565 | 2.44 ± 0.01 | >50 | 
| PBMCs | >50 | >50 | 
| AU565 | ANX+/7AAD+ (%) | ANX+/7AAD− (%) | 
| CTR | 1.28 ± 0.30 | 4.74 ± 0.25 | 
| H2O | 0.94 ± 0.02 | 3.66 ± 0.18 | 
| ETO 50 µM | 6.16 ± 0.10 | 3.86 ± 0.28 | 
| 2.5 mg/mL | 1.5 ± 0.15 | 4.98 ± 0.01 | 
| 3.75 mg/mL | 2.47 ± 0.25 | 9.74 ± 0.7 | 
| 5 mg/mL | 2.92 ± 0.23 | 14.28 ± 1.14 * | 
| 25 mg/mL | 14.15 ± 1.35 ** | 17.6 ± 2.56 ** | 
| PBMCs | ANX-V+/7AAD+ (%) | ANX-V+/7AAD− (%) | 
| CTR | 4.73 ± 0.30 | 0.84 ± 0.15 | 
| H2O | 0.92 ± 0.10 | 0.75 ± 0.35 | 
| ETO 50 µM | 0.81 ± 0.36 | 3.42 ± 0.25 | 
| 2.5 mg/mL | 2.45 ± 0.45 | 0.65 ± 0.28 | 
| 3.75 mg/mL | 3.16 ± 0.12 | 0.79 ± 0.14 | 
| 5 mg/mL | 9.03 ± 0.18 | 1.24 ± 0.32 | 
| 25 mg/mL | 4.72 ± 0.45 | 4.06 ± 0.14 | 
| Disclaimer/Publisher’s Note: The statements, opinions and data contained in all publications are solely those of the individual author(s) and contributor(s) and not of MDPI and/or the editor(s). MDPI and/or the editor(s) disclaim responsibility for any injury to people or property resulting from any ideas, methods, instructions or products referred to in the content. | 
© 2023 by the authors. Licensee MDPI, Basel, Switzerland. This article is an open access article distributed under the terms and conditions of the Creative Commons Attribution (CC BY) license (https://creativecommons.org/licenses/by/4.0/).
Share and Cite
Minutolo, A.; Gismondi, A.; Chirico, R.; Di Marco, G.; Petrone, V.; Fanelli, M.; D’Agostino, A.; Canini, A.; Grelli, S.; Albanese, L.; et al. Antioxidant Phytocomplexes Extracted from Pomegranate (Punica granatum L.) Using Hydrodynamic Cavitation Show Potential Anticancer Activity In Vitro. Antioxidants 2023, 12, 1560. https://doi.org/10.3390/antiox12081560
Minutolo A, Gismondi A, Chirico R, Di Marco G, Petrone V, Fanelli M, D’Agostino A, Canini A, Grelli S, Albanese L, et al. Antioxidant Phytocomplexes Extracted from Pomegranate (Punica granatum L.) Using Hydrodynamic Cavitation Show Potential Anticancer Activity In Vitro. Antioxidants. 2023; 12(8):1560. https://doi.org/10.3390/antiox12081560
Chicago/Turabian StyleMinutolo, Antonella, Angelo Gismondi, Rossella Chirico, Gabriele Di Marco, Vita Petrone, Marialaura Fanelli, Alessia D’Agostino, Antonella Canini, Sandro Grelli, Lorenzo Albanese, and et al. 2023. "Antioxidant Phytocomplexes Extracted from Pomegranate (Punica granatum L.) Using Hydrodynamic Cavitation Show Potential Anticancer Activity In Vitro" Antioxidants 12, no. 8: 1560. https://doi.org/10.3390/antiox12081560
APA StyleMinutolo, A., Gismondi, A., Chirico, R., Di Marco, G., Petrone, V., Fanelli, M., D’Agostino, A., Canini, A., Grelli, S., Albanese, L., Centritto, M., Zabini, F., Matteucci, C., & Meneguzzo, F. (2023). Antioxidant Phytocomplexes Extracted from Pomegranate (Punica granatum L.) Using Hydrodynamic Cavitation Show Potential Anticancer Activity In Vitro. Antioxidants, 12(8), 1560. https://doi.org/10.3390/antiox12081560
 
        








 
       