Abstract
The efficient separation of Sr2+/Mg2+ through nanofiltration (NF) technology is a great challenge because Sr2+ and Mg2+ ions are congeners with the same valence and chemical properties. In this work, an NF membrane under an electric field (EF) was successfully employed to separate Mg2+ and Sr2+ ions for the first time. The effects of current densities, Mg2+/Sr2+ mass ratios, pH of the feed, and coexisting cations on separation performance were investigated. Dehydration of Sr2+ or Mg2+ ions under EF was proved by molecular dynamics simulation. The results showed that a high-efficient separation of Mg2+/Sr2+ was achieved: Mg2+ removal of above 99% and increase in Sr2+ permeation with increasing EF. A separation factor reached 928 under optimal conditions, far higher than that without EF. The efficient separation of Mg2+/Sr2+ ions was mainly due to rejection of most Mg2+ ions by NF membrane and in situ precipitation of partly permeated Mg2+ ions by OH− generated on the cathode under EF. Meanwhile, preferential dehydration of Sr2+ ions under EF due to lower hydration energy of Sr2+ compared with Mg2+ resulted in an increase of permeation of Sr2+ ions. This work provided a new idea for separation of congener ions with similar valence and chemical properties.
1. Introduction
Strontium (Sr) is known as “metal monosodium glutamate” for the development of high-tech products, such as semiconductor substrates, electronics, medicines and magnetic materials [1,2]. One of the Sr mineral resources is liquid brine in nature, such as saline lake brine, underground old brine and oil and gas field brine, the contents of which vary between 0.007 to 100 g/L [3,4,5]. Sr2+ ions often coexist with other cations in the brines, such as Na+, Li+, Ca2+ and Mg2+, which significantly increase separation difficulty and process cost. Conventional purification methods, such as chemical precipitation [6], solvent extraction [7,8], and adsorption [9,10], were used for Sr2+ extraction. However, these methods were often batch-mode and had a low separation efficiency, a high dose of additional reagents, and a risk of secondary environmental pollution due to wastewater discharge. Worse still, there remains a great challenge in separating the congener ions of Sr2+ and Mg2+ due to the similar physical and chemical properties.
The membrane process, as a green technology, can provide continuous separation for purifying salts without adding precipitants and regenerants. The nanofiltration (NF) process exhibited high perm-selectivity especially for mono- and divalent ions largely depending on the repulsion effect for divalent ions, including size sieving, electrostatic repulsion, and dielectric repulsion [11,12]. As examples, Cheng et al. [13] used polyelectrolyte membranes (PEMs) to realize a certain separation of Sr2+ and Na+. Nicod et al. [14] reported that Sr2+ was separated from high concentration Na+ solution by NF. Increasing the size of Sr2+ species through complexation with polymers (PAA [15] or EI [16]) before membrane filtration realized the differentiation of Sr2+ ions from other coexisting ions. Unfortunately, these repulsion effects of NF membrane and the enhancing-size method are almost ineffective for congener ions of Sr2+ and Mg2+ [17]. There is no doubt that it is still difficult for the NF membrane to separate Sr2+ and Mg2+ ions because of the similarity of their hydrated ion radii (0.428 nm for Mg2+, 0.412 nm for Sr2+), in addition to their chemical properties [13,17].
Recent studies found the separation of congener ions based on the differences in ion hydration free energies [18,19] or electromigration rate [20,21]. However, the chemical structure of the membrane pore needed to be finely controlled in order to preferentially dehydrate a certain ion [18,19]. For the electromigration separation, the selectivity increases with decreasing flow rate. However, the productivity was often low and large-scale application was difficult due to a very low convective velocity employed [20,21].
Based on electrokinetic properties of the charged solutes and physicochemical properties of charged NF membrane in the feed solution, an electric field was applied with a cell configuration of anode-NF membrane-cathode, named as electro-NF (ENF), for the improvement the separation performance [22,23]. In our recent work, an electro-NF (ENF) process was employed to separate Mg2+ and Li+ from the MgCl2/LiCl feed solution, achieving an ultrahigh Mg2+ rejection due to positive-charge restructuring and enhancement under EF. Li+ dehydration was confirmed through molecular dynamics (MD) simulation [24]. This is because the electric field (EF) directly affected the water dipole orientation around the ions [25] and even overcame the hydration free energy of cations to water molecules to dissociate the water molecules bound to the cations in solution [26].
In this work, separation of Mg2+ and Sr2+ through the ENF process is investigated for the first time. In principle, EF can be used to promote preferential dehydration Sr2+ ions because of the lower hydration free energy of Sr2+ (−1379 kJ/mol) compared with that of Mg2+ (−1828 kJ/mol) [13,17], which would promote Sr2+ permeation through an NF membrane [24]. Therefore, Sr2+/Mg2+ separation performance of a ENF process was investigated under different process conditions. Molecular dynamics (MD) simulation can demonstrate the preferential dehydration of Sr2+ ions under EF.
2. Materials and Methods
2.1. Materials
Piperazine (PIP, CAS#110-85-0, Aladdin Reagent Co., Ltd., Shanghai, China) and trimesoyl chloride (TMC, CAS#4422-95-1, Aladdin Reagent Co., Ltd., Shanghai, China), n-hexane (CAS#110-54-3, Tianjin Kemiou Chemical Reagent Co., Ltd., Tianjin, China) were used for interfacial polymerization to prepare polyamide NF membrane. The NF membrane with a pore diameter of 0.940 nm (NF2, in Figures S1 and S2 and Table S1 in Supporting Materials) was fabricated from 1 wt.% PIP aqueous solution and 0.25 wt.% TMC/n-hexane solution on PES/SPSf ultrafiltration membrane. Several analytical grade inorganic salts, including MgCl2, SrCl2, KCl, NaCl, and CaCl2 were purchased from Tianjin Kemiou Chemical Reagent Co., Ltd. for the preparation of feed solution. All the solutions in this work were formulated with ultra-pure water with a conductivity of 1.1 μS/cm and a pH of 5.7.
2.2. Separation of Mg2+ and Sr2+ Ions
The separation experiment was carried out with the self-made ENF crossflow device shown as Scheme 1. The effective membrane area is 7.07 cm2. The diaphragm pump and DC power supply were used to provide pressure and current, respectively. Titanium ruthenium electrodes with porous structures were used as anode and cathode, respectively [24].
Scheme 1.
Schematic diagram of the electro-nanofiltration (ENF) cross-flow device.
The separation experiments of Mg2+/Sr2+ were carried out under a constant current mode at an operation pressure of 5 bar, 25 °C. The current was fixed at 0, 5, 10, 15, or 20 mA, the corresponding current density was 0, 0.71, 1.41, 2.12, or 2.83 mA·cm−2, respectively. The voltages ranged in 0–3.5 ± 0.1 V. Each membrane was stabilized with de-ionized water for 0.5 h under 6 bar before it was tested on true feed solution. The flow rate of pure water at a pressure of 5 bar was 19.8 mL·s−1.
The flux (J, L·m−2·h−1) was calculated from the following equation:
where ΔV (L) is the volume of the permeate, A (m2) is the effective membrane filtration area, and Δt (h) is the measurement time.
In ENF, most of Mg2+ ions could be rejected by the NF membrane. A small amount of Mg2+ ions was permeated through the NF membrane, but further precipitated by OH− generated from the cathode reaction described in Scheme 2. Therefore, the obtained permeate solution only had very tiny amount of Mg2+ ions. In order to clearly describe Mg2+ removal by the NF membrane and the whole ENF process, two rejection concepts for Mg2+ are proposed. One is membrane rejection of Mg2+ (RM), representing the Mg2+ rejection only by an NF membrane; the other is process rejection of Mg2+ (RP), representing the Mg2+ rejection by the whole ENF process including membrane rejection and Mg(OH)2 precipitate. Rp was calculated from Mg2+ concentrations in the permeate and in the feed according to Equation (2). For RM, the permeate amount of Mg2+ should be plus the amount consumed by precipitation. RM was calculated according to Equation (3). The amount of Mg2+ in the precipitate was obtained by the following method. The cathode was washed with 0.1 mol/L HCl solution to fully solve Mg(OH)2 precipitate. All cleaning liquid was collected to determine the Mg2+ concentration in the cleaning liquid through inductively coupled plasma-optical emission spectroscopy (ICP-OES, Agilent, 5100, Santa Clara, CA, USA).
Scheme 2.
Schematic diagram of Mg2+/Sr2+ separation through ENF.
The RP and RM were calculated according to the following equations:
where CMg,p (mol/L), and CMg,f (mol/L) are the concentrations of Mg2+ ions in the permeate and in the feed, respectively. npreci (mol) represents the amount of Mg2+ precipitated on the cathode, VP is the volume of permeation. The concentrations for Mg2+ and Sr2+ were examined by ICP-OES with a determination limit of 0.01 ppm. Each experiment was carried out at least three times, and a mean value was taken.
The separation factor of Sr2+ over Mg2+ (SSr,Mg) was evaluated by the following equation:
2.3. Molecular Dynamics (MD) Simulation of the Effect of Electric Field on Hydrated Mg2+ and Sr2+
The simulation was implemented by GROMACS software. First, a box containing one Sr2+ ion, two Cl− ions, and 4052 water molecules with 5 nm side length was constructed, with the ion concentration close to infinite dilution (CSr = 1.3711 × 10−8 mol/L) [25]. Then, energy minimization was firstly performed, and balanced the system capability. Subsequently, a uniform electric field of 0–10 V/nm was applied along the Z-axis and run for 3 ns to carry out the simulation of the hydration of ions under the electric field conditions. The hydration of Mg2+ ions was also simulated in the same steps.
3. Results and Discussion
3.1. Effect of Current Density on Rejection of Mg2+ or Sr2+ in Single Salt System
The permeate flux and rejection performance of MgCl2 and SrCl2 single salt solutions by ENF process are evaluated in Figure 1. As shown in Figure 1a, the process rejection of Mg2+, RP, rose from 65% to 94% with increasing current density from 0 to 2.83 mA·cm−2. The membrane rejection of Mg2+, RM, also rose. The change was consistent with those in our previous work due to positive-charge restructuring of the NF membrane surface and enhancement under EF [24]. The RM was all lower than the Rp. The difference between RM and Rp is because the partially permeated Mg2+ ions reacted with OH− produced on the cathode to form Mg(OH)2 precipitate and deposited on the cathode surface, which significantly reduced the content of Mg2+ in the permeate. Surprisingly, Sr2+ rejection shows a decline from 42% to −80% with the increasing current density from 0 to 2.83 mA·cm−2, possibly because the EF promoted dehydration of Sr2+ ions due to its low hydration free energy to readily passed through membrane pores [24,27,28], which would be discussed in the later.
Figure 1.
Separation performances of the ENF process with (a) MgCl2 or (b) SrCl2 aqueous solution at different current densities. (CMg and CSr are all 200 ppm, pressure is 5 bar).
The permeate fluxes for MgCl2 and SrCl2 solutions were decreased with the increase in the current density due to the increase of electroviscous effect with the increasing current density [29,30]. The completely opposite trends of Mg2+ and Sr2+ rejection provided an opportunity for the separation of MgCl2 and SrCl2 mixed solution under EF.
3.2. Effect of Current Density on Separation of Mg2+/Sr2+ in Mixed Salt System
When MgCl2 and SrCl2 aqueous solution were mixed, the interaction among Mg2+, Sr2+ ions and membrane surface could be different from that in the single salt system. The separation of Mg2+/Sr2+ under different current densities by the ENF process are shown in Figure 2. Mg2+ rejection is about 58% (Figure 2a) when there was no EF applied. When an EF was applied, the Rp and RM for Mg2+ were all increased firstly and then tended to a stable platform with the increase of current density. At 2.83 mA·cm−2, RM was 76.1%; and Rp was over 99%, higher than that in single salt system because more Mg2+ ions were precipitated on the cathode. Meanwhile, Sr2+ rejection gradually decreased with the increase of current density, reaching a negative value of −81.4% at 2.83 mA·cm−2, suggesting that Sr2+ permeance was increased with increasing the current density due to the enhancement of Sr2+ dehydration under high EF. As can be seen in Figure 2b, the separation factor, SSr,Mg, markedly rose from 1.5 to 180.9 with the current density from 0 to 2.12 mA·cm−2, respectively, which is 119.6 times higher than that under no EF. The flux was decreased from 71.7 L·m−2·h−1 to 23.3 L·m−2·h−1 upon increasing the current density from 0 to 2.83 mA·cm−2 due to the increase of electroviscous effect [29,31].
Figure 2.
Separation performance of Mg2+ and Sr2+ at different current densities (a) rejection, (b) flux and SSr, Mg, (CMg and CSr are all 200 ppm, pressure is 5 bar).
3.3. Effect of Mg2+/Sr2+ Mass Ratio on Separation of Mg2+/Sr2+ in Mixed Salt System
Mg2+/Sr2+ mass ratio is a significant quota in separation performance. The feed solutions with different Mg2+/Sr2+ mass ratios (fixing Sr2+ concentration of 200 ppm) were utilized to evaluate the separation performance of Mg2+/Sr2+ (Figure 3). Both Mg2+ and Sr2+ rejections were increased with the increasing Mg2+/Sr2+ mass ratio without EF in Figure 3a, attributed to the strong screening effect caused by increasing concentration [32,33]. However, when current density was at 2.12 mA·cm−2, Rp (Mg2+) stayed above 99% with the growth of Mg2+/Sr2+ mass ratio, and RM (Mg2+) was hardly changed (Figure 3b). While Sr2+ rejection rose with the Mg2+/Sr2+ mass ratio. It is because that more cations gathering near the membrane surface enhanced repulsion between membrane and cations to hold back the permeation of Sr2+ ions although easier dehydration of Sr2+ ions. The fluxes were all slightly decreased with the increase in Mg2+/Sr2+ mass ratio due to the increase of osmotic pressure (Figure 3c). Correspondingly, the separation factors for Sr2+/Mg2+ were decreased, from 928, 180, 80, to 71 at Mg2+/Sr2+ mass ratios from 0.5/1, 1/1, 2/1 to 3/1, respectively (Figure 3d). It was suggested that low Mg2+/Sr2+ mass ratio was conducive to the separation of Mg2+/Sr2+.
Figure 3.
Separation performance of Mg2+/Sr2+ at different Mg2+/Sr2+ mass ratios. (a) Mg2+, Sr2+ rejection under no EF, (b) Mg2+, Sr2+ rejection at 2.12 mA·cm−2, (c) flux at 0 and 2.12 mA·cm−2, and (d) SSr,Mg at 0 and 2.12 mA·cm−2. (CMg and CSr are all 200 ppm, pressure is 5 bar).
3.4. Effect of pH of Feed on Separation of Mg2+/Sr2+ in Mixed Salt System
The surface charge of NF membrane exhibits strong correlation with pH, affecting rejection performance of the NF membrane [33]. As shown in Figure 4, the effect of pH on Mg2+/Sr2+ separation was evaluated in the pH range of feed solution from 3 to 8. When the current density was 0 in Figure 4a, Mg2+ rejection decreased gradually from 69.4% to 49.2% due to the increase of electronegativity when pH rose from 3 to 8 [34,35], respectively. However, Sr2+ rejection firstly reduced from 48.1% to 31% upon increasing pH from 3 to 6, then increased to 47.4% at pH 8, showing a quasi-symmetric rejection curve similar to the symmetric salt system (like NaCl) [11]. In this case, Sr2+ ions had a higher permeance (calculated from JSr = J × CSr,P) of 0.071 mol·m−2·h−1 at pH 5–7 than those at acidic or alkaline conditions (permeance of 0.055 and 0.065 mol·m−2·h−1 for pH 3 and 8, respectively). These phenomena were also observed by others [36,37]. It was because that membrane charge transition occurs with changing pH [36].
Figure 4.
Effect of pH of feed on separation of Mg2+/Sr2+ in Mixed Salt System, (a) rejection at 0 mA·cm−2, (b) rejection at 2.12 mA·cm−2, (c) flux, and (d) separation factor (CMg and CSr are all 200 ppm, pressure is 5 bar).
At the current density of 2.12 mA·cm−2 in Figure 4b, the RM (Mg2+) was gradually decreased when pH of the feed rose from 3 to 8 due to the enhancement of negative charge of the membrane surface; while the RP (Mg2+) was always maintained over 99%. This is because the cathodic reaction occurred under EF and generated enough OH− ions to precipitate Mg2+ ions, resulting in a high and stable RP (Mg2+). Sr2+ rejection also displayed the same trends as those under no EF. Sr2+ rejection firstly reduced from 20% to a negative value −22.8% upon increasing pH from 3 to 6, then increased to −9.8% at pH 8, suggesting that the surface charges still had an effect on Sr2+ rejection even under EF. Sr2+ rejection was lower than that under no EF because EF prompts the dehydration of Sr2+ ions. As a result, in Figure 4d the SSr,Mg of 180 was obtained at pH 6. The flux displayed a similar trend whether there is an external EF or not in Figure 4c. However, the flux under EF was lower than that under no EF due to the electroviscous effect [29,30].
3.5. Effect of Other Coexisting Ions on Separation of Mg2+/Sr2+
There are always many other ions coexisting with Sr2+ and Mg2+ ions in source liquid, mainly Li+, Na+, K+ and Ca2+ ions. It is necessary to explore the separation performance of Mg2+/Sr2+ in the presence of other coexisting cation ions (Figure 5). It can be seen that the coexisting ions has significant impacts on the permeation of Sr2+ ions. When it coexisted with monovalent ions, Li+, Na+, or K+, in the feed solution, RP (Mg2+) was still above 99% in Figure 5a–c and Sr2+ rejection increased. The rejection for the coexisting monovalent ions all became more negative compared with that of Sr2+ ions, suggesting that the coexisting Li+, Na+, or K+ ions weakened the permeability of Sr2+ ions due to the completion permeation of Sr2+ ions with Li+, Na+, or K+ ions [24]. The fluxes of the feed solution with Li+, Na+, or K+ ions all increased. These phenomena were possibly because the decrease of Sr2+ permeation (Sr2+ rejection rose) to leave more pore space to allow water permeation due to a smaller radius of Li+, Na+, or K+ ions compared with Sr2+ ions (in Table S2 in Supporting Materials).
Figure 5.
Separation performance for Mg2+/Sr2+ in the presence of (a) Li+, (b) Na+, (c) K+, (d) Ca2+ (CMg and CSr are all 200 ppm, pressure is 5 bar, Current density is 2.12 mA·cm−2).
In Figure 5d, divalent Ca2+ and Sr2+ showed almost the same permeation characteristics in the mixed solution due to the nearly hydrated radius, hydration free energy, and diffusion coefficient of Ca2+ and Sr2+ (Table S2 in Supporting Materials). The RP (Mg2+) was markedly decreased with the increase of Ca2+/Sr2+ ratio, because Ca2+ ions were completed with Mg2+ ions to disturb Mg(OH)2 precipitate on the cathode surface. The flux in this system was decreased because of ion scaling on the membrane surface [38,39].
3.6. The Effect of Electric Field (EF) on Dehydration of Mg2+ and Sr2+ Ions by Molecular Dynamics (MD) Simulation
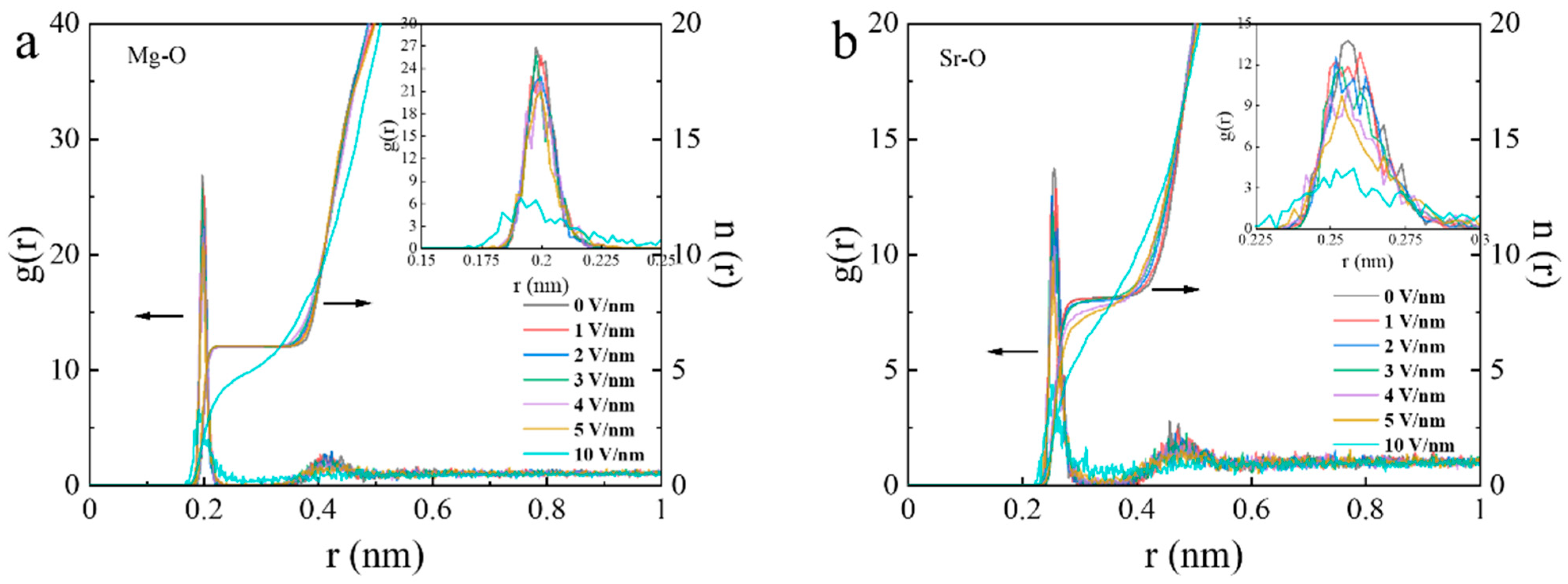
The strength and stability of hydrated ions have an important effect on ion selectivity and mobility [25,40]. MD simulation was conducted to investigate the dehydration of Mg2+ and Sr2+ ions under different EFs. The radial distribution function (g(r)) as an important parameter in MD simulation represents the distribution probability of other particles in the ‘target particle’ coordinate space [41], which is often used to evaluate the hydration of molecules or ions in solution. The water coordination number (n(r)) is another criterion to represent the structure of hydrated ions, which are computed by the numerical integration of the radial distribution functions curves [25,40].
For a better understanding of the effects of EFs on dehydration of Mg2+ and Sr2+ ions, ion-oxygen radial distribution functions g(r) of Mg2+ and Sr2+ under different EFs were analyzed as shown in Figure 6. There were two peaks and two valleys on g(r) curves of Mg-O and Sr-O, which indicated the formation of hydration shells [40]. Obviously, g(r) curves and n(r) curves of Sr-O showed a remarkable decay tendency even under 4 V/nm (Figure 6b), suggesting the weakening of ion hydration. By contrast, for g(r) curves and n(r) curves of Mg-O (Figure 6a) this phenomenon was not found under even 5 v/nm. However, when the EF strength increased by 10 v/nm, g(r) curves and n(r) curves of Mg-O also exhibited a notable declination like those of Sr-O. From these observed results, it can be reasonably inferred the external EF could promote Sr2+ dehydration prior to Mg2+ for the facile permeation of Sr2+ ions mentioned above.
Figure 6.
Ion-oxygen radial distribution functions g(r) and water coordination number n(r) under external electric fields (EFs) for (a) Mg2+, (b) Sr2+.
4. Conclusions
In this work, the ENF process was successfully used for separation the congener ions of Mg2+ and Sr2+. The effects of current densities, Mg2+/Sr2+ mass ratios, pH of the feed, and coexisting cations on separation performance were investigated. Results showed that Mg2+ rejection (RP) almost kept above 99%; Sr2+ rejection was decreased with increasing EF. A very high SSr,Mg of 928 was achieved at optimal conditions, far higher than that without EF. The efficient separation of Mg2+ and Sr2+ ions in the ENF process is mainly because of high-efficiency Mg2+ removal resulting from the NF rejection and precipitation of Mg2+ ions with OH- generated on the cathode under EF. Sr2+ ions were preferentially dehydrated under EF to promote high permeation of Sr2+ ions due to the lower hydration energy of Sr2+ ions compared with Mg2+.
Supplementary Materials
The following supporting information can be downloaded at: https://www.mdpi.com/article/10.3390/membranes12010057/s1, Figure S1: SEM images of; (a) NF1, (b) NF2 and (c) NF3; Figure S2: Pore sizes of NF membranes; Table S1: Monomer concentrations used for NF membranes; Table S2: Ionic radii (r), hydrated radii (r′), hydration free energy, and diffusion coefficients (D, infinite dilution at 25 °C) of common cations.
Author Contributions
Collect experimental data, analyze experimental results and draft manuscripts, H.L.; Data result analysis and correction, Q.L.; Methodological provision, Z.S., F.Y., Z.C. and J.L.; supervision, J.L. and B.H.; project administration, B.H.; funding acquisition, B.H. All authors have read and agreed to the published version of the manuscript.
Funding
This research was funded by National Key Research and Development Program of China (Grant No. 2020YFA0211003), the National Natural Science Foundation of China (Grant Nos. 21776218), and the Tianjin Science and technology planning project (Grant No. 21ZYJDSN00130) for the financial support.
Acknowledgments
The authors would like to acknowledge State Key Laboratory of Separation membranes and Membrane Processes, School of Materials Science and Engineering, and Analysis and Test Center, Tiangong University, Tianjin, China are thanked for provision of analytical testing equipment and technical support.
Conflicts of Interest
The authors declare no conflict of interest.
References
- Wang, W.; Liu, S.; Zhou, Y.; Luo, J.; Shi, J.; Zhou, Z. Extraction of Sr2+ from aqueous solutions using an asymmetric pulsed current-assisted electrochemical method. Sep. Purif. Technol. 2021, 271, 119235. [Google Scholar] [CrossRef]
- Liu, C.; Yu, X.P.; Ma, C.; Guo, Y.F.; Deng, T.L. Selective recovery of strontium from oilfield water by ion-imprinted alginate microspheres modified with thioglycollic acid. Chem. Eng. J. 2021, 410, 128267. [Google Scholar] [CrossRef]
- Shan, J.J.; Wang, J.P.; Shan, F.S.; Teng, X.M.; Fan, Q.S.; Li, Q.K.; Qin, Z.J.; Zhang, X.R. Origin and circulation of saline springs in the Kuqa Basin of the Tarim Basin, Northwest China. J. Arid Land 2020, 12, 331–348. [Google Scholar] [CrossRef]
- Amesh, P.; Suneesh, A.S.; Venkatesan, K.A.; Maheswari, R.U.; Vijayalakshmi, S. Preparation and ion exchange studies of cesium and strontium on sodium iron titanate. Sep. Purif. Technol. 2020, 238, 116393. [Google Scholar] [CrossRef]
- Ryu, J.; Kim, S.; Hong, H.J.; Hong, J.; Kim, M.; Ryu, T.; Park, I.S.; Chung, K.S.; Jang, J.S.; Kim, B.G. Strontium ion (Sr2+) separation from seawater by hydrothermally structured titanate nanotubes: Removal vs. recovery. Chem. Eng. J. 2016, 304, 503–510. [Google Scholar] [CrossRef]
- Su, T.; Han, Z.J.; Qu, Z.; Chen, Y.; Lin, X.; Zhu, S.Y.; Bian, R.; Xie, X.F. Effective recycling of Co and Sr from Co/Sr-bearing wastewater via an integreated Fe coagulation and hematite precipitation approach. Environ. Res. 2020, 187, 109654. [Google Scholar] [CrossRef] [PubMed]
- Khan, P.N.; Bhattacharyya, A.; Sharma, J.N.; Manohar, S. The recovery of strontium from acidic medium using novel strontium selective extractant: An experimental and DFT study. J. Hazard. Mater. 2020, 397, 122476. [Google Scholar] [CrossRef]
- Xu, C.; Wang, J.C.; Chen, J. Solvent extraction of strontium and cesium: A review of recent progress. Solvent Extr. Ion. Exch. 2012, 30, 623–650. [Google Scholar] [CrossRef]
- Kim, H.; Kang, Y.G.; Lee, Y.J.; Choi, S.D.; Lim, J.M.; Lee, J.H. Automated extraction chromatographic radionuclide separation system for analysis of Sr-90 in seawater. Talanta 2020, 217, 121055. [Google Scholar] [CrossRef]
- Hong, H.-J.; Jeong, H.S.; Kim, B.-G.; Hong, J.; Park, I.-S.; Ryu, T.; Chung, K.-S.; Kim, H.; Ryu, J. Highly stable and magnetically separable alginate/Fe3O4 composite for the removal of strontium (Sr) from seawater. Chemosphere 2016, 165, 231–238. [Google Scholar] [CrossRef]
- Luo, J.Q.; Wan, Y.H. Effects of pH and salt on nanofiltration-a critical review. J. Membr. Sci. 2013, 438, 18–28. [Google Scholar] [CrossRef]
- Wang, R.Y.; Lin, S.H. Pore model for nanofiltration: History, theoretical framework, key predictions, limitations, and prospects. J. Membr. Sci. 2021, 620, 118809. [Google Scholar] [CrossRef]
- Cheng, W.; Liu, C.H.; Tong, T.Z.; Epsztein, R.; Sun, M.; Verduzco, R.; Ma, J.; Elimelech, M. Selective removal of divalent cations by polyelectrolyte multilayer nanofiltration membrane: Role of polyelectrolyte charge, ion size, and ionic strength. J. Membr. Sci. 2018, 559, 98–106. [Google Scholar] [CrossRef] [Green Version]
- Nicod, L.; Chitry, F.; Gaubert, E.; Lemaire, M.; Barnier, H. Application of Water Soluble Resorcinarenes in Nanofiltration-Complexation with Caesium and Strontium as Targets. J. Incl. Phenom. Macrocycl. Chem. 1999, 34, 143–154. [Google Scholar] [CrossRef]
- Hwang, E.D.; Lee, K.W.; Choo, K.H.; Choi, S.J.; Lee, C.H. Effect of precipitation and complexation on nanofiltration of strontium-containing nuclear wastewater. Desalination 2002, 147, 289–294. [Google Scholar] [CrossRef]
- Sujish, D.; Mohanakrishnan, G.; Sharma, B.K.; Anand Babu, C.; Rajan, K.K. Application of nanofiltration membrane and ethyleneimine oligomer mixture for selective separation of Strontium from a simulated nuclear waste solution. Desalination Water Treat. 2014, 52, 401–406. [Google Scholar] [CrossRef]
- Tang, C.; Bruening, M.L. Ion separations with membranes. J. Membr. Sci. 2020, 58, 2831–2856. [Google Scholar] [CrossRef]
- Razmjou, A.; Asadnia, M.; Hosseini, E.; Habibnejad Korayem, A.; Chen, V. Design principles of ion selective nanostructured membranes for the extraction of lithium ions. Nat. Commun 2019, 10, 5793. [Google Scholar] [CrossRef] [Green Version]
- Epsztein, R.; DuChanois, R.M.; Ritt, C.L.; Noy, A.; Elimelech, M. Towards single-species selectivity of membranes with subnanometre pores. Nat. Nanotechnol. 2020, 15, 426–436. [Google Scholar] [CrossRef]
- Tang, C.; Yaroshchuk, A.; Bruening, M.L. Flow through negatively charged, nanoporous membranes separates Li(+)and K(+)due to induced electromigration. Chem. Commun. 2020, 56, 10954–10957. [Google Scholar] [CrossRef] [PubMed]
- Butylskii, D.Y.; Pismenskaya, N.D.; Apel, P.Y.; Sabbatovskiy, K.G.; Nikonenko, V.V. Highly selective separation of singly charged cations by countercurrent electromigration with a track-etched membrane. J. Membr. Sci. 2021, 635, 119449. [Google Scholar] [CrossRef]
- Huotari, H.M.; Tragardh, G.; Huisman, I.H. Crossflow membrane filtration enhanced by an external DC electric field: A review. Chem. Eng. Res. Des. 1999, 77, 461–468. [Google Scholar] [CrossRef]
- Pupunat, L.; Rios, G.M.; Joulie, R. Modeling of solvent and ionic fluxes in electronanofiltration. Sep. Sci. Technol. 1999, 34, 1947–1962. [Google Scholar] [CrossRef]
- Li, Q.; Liu, H.; He, B.; Shi, W.; Ji, Y.; Cui, Z.; Yan, F.; Mohammad, Y.; Li, J. Ultrahigh-efficient separation of Mg2+/Li+ using an in-situ reconstructed positively charged nanofiltration membrane under an electric field. J. Membr. Sci. 2022, 641, 119880. [Google Scholar] [CrossRef]
- He, Z.; Cui, H.; Hao, S.; Wang, L.; Zhou, J. Electric-Field Effects on Ionic Hydration: A Molecular Dynamics Study. J. Phys. Chem. B. 2018, 122, 5991–5998. [Google Scholar] [CrossRef]
- Barger, J.P.; Dillon, P.F. Near-membrane electric field calcium ion dehydration. Cell Calcium 2016, 60, 415–422. [Google Scholar] [CrossRef]
- Richards, L.A.; Schafer, A.I.; Richards, B.S.; Corry, B. The importance of dehydration in determining ion transport in narrow pores. Small 2012, 8, 1701–1709. [Google Scholar] [CrossRef] [Green Version]
- Wu, X.; Lu, L.; Zhu, Y.; Zhang, Y.; Cao, W.; Lu, X. Ionic hydration of Na+ inside carbon nanotubes, under electric fields. Fluid Phase Equilibria 2013, 353, 1–6. [Google Scholar] [CrossRef]
- Luo, J.; Ding, L.; Su, Y.; Wei, S.; Wan, Y. Concentration polarization in concentrated saline solution during desalination of iron dextran by nanofiltration. J. Membr. Sci. 2010, 363, 170–179. [Google Scholar] [CrossRef]
- Bowen, W.R.; Yousef, H.N.S. Effect of salts on water viscosity in narrow membrane pores. J. Colloid Interface Sci. 2003, 264, 452–457. [Google Scholar] [CrossRef]
- Sun, S.-Y.; Cai, L.-J.; Nie, X.-Y.; Song, X.; Yu, J.-G. Separation of magnesium and lithium from brine using a Desal nanofiltration membrane. J. Water Process Eng. 2015, 7, 210–217. [Google Scholar] [CrossRef]
- Luo, J.Q.; Wan, Y.H. Effect of highly concentrated salt on retention of organic solutes by nanofiltration polymeric membranes. J. Membr. Sci. 2011, 372, 145–153. [Google Scholar] [CrossRef]
- Wang, R.; Li, Y.; Wang, J.; You, G.; Cai, C.; Chen, B.H. Modeling the permeate flux and rejection of nanofiltration membrane separation with high concentration uncharged aqueous solutions. Desalination 2012, 299, 44–49. [Google Scholar] [CrossRef]
- Mazzoni, C.; Bruni, L.; Bandini, S. Nanofiltration: Role of the electrolyte and pH on desal DK performances. Ind. Eng. Chem. Res. 2007, 46, 2254–2262. [Google Scholar] [CrossRef]
- Mendret, J.; Hatat-Fraile, M.; Rivallin, M.; Brosillon, S. Influence of solution pH on the performance of photocatalytic membranes during dead-end filtration. Sep. Purif. Technol. 2013, 118, 406–414. [Google Scholar] [CrossRef]
- Szoke, S.; Patzay, G.; Weiser, L. Characteristics of thin-film nanofiltration membranes at various pH-values. Desalination 2003, 151, 123–129. [Google Scholar] [CrossRef]
- Wu, C.; Liu, S.; Wang, Z.; Zhang, J.; Wang, X.; Lu, X.; Jia, Y.; Hung, W.S.; Lee, K.R. Nanofiltration membranes with dually charged composite layer exhibiting super-high multivalent-salt rejection. J. Membr. Sci. 2016, 517, 64–72. [Google Scholar] [CrossRef]
- Zhang, Z.W.; Wadekar, S.S.; Lokare, R.O.; Vidic, D.R. Comparison of calcium scaling in direct contact membrane distillation (DCMD) and nanofiltration (NF). J. Membr. Sci. 2021, 638, 119647. [Google Scholar] [CrossRef]
- Lin, D.C.; Bai, L.M.; Xu, D.L.; Wang, H.R.; Zhang, H.; Li, G.B.; Liang, H. Nanofiltration scaling influenced by coexisting pollutants considering the interaction between ferric coagulant and natural organic macromolecules. Chem. Eng. J. 2021, 413, 127403. [Google Scholar] [CrossRef]
- Zhou, K.; Xu, Z.P. Renormalization of Ionic Solvation Shells in Nanochannels. ACS Appl. Mater. Interfaces 2018, 10, 27801–27809. [Google Scholar] [CrossRef] [PubMed]
- Devanathan, R.; Venkatnathan, A.; Dupuis, M. Atomistic simulation of nafion membrane: I. Effect of hydration on membrane nanostructure. J. Phys. Chem. B 2007, 111, 8069–8079. [Google Scholar] [CrossRef] [PubMed]
Publisher’s Note: MDPI stays neutral with regard to jurisdictional claims in published maps and institutional affiliations. |
© 2021 by the authors. Licensee MDPI, Basel, Switzerland. This article is an open access article distributed under the terms and conditions of the Creative Commons Attribution (CC BY) license (https://creativecommons.org/licenses/by/4.0/).







