Approaches to the Modification of Perfluorosulfonic Acid Membranes
Abstract
1. Introduction
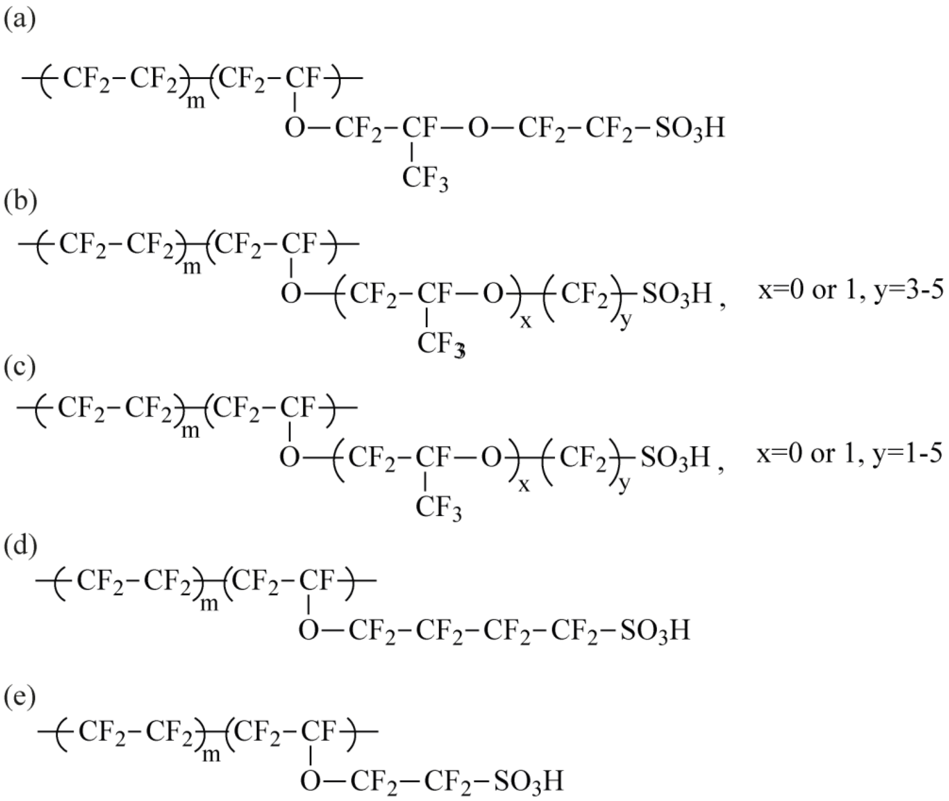
2. Microstructure of PFSA Membranes
3. Modification of PFSA Membranes by Different Treatments
4. Hybrid PFSA Membranes
- (i)
- method of obtaining a hybrid membrane;
- (ii)
- prehistory of the PFSA (in the case of in situ modification, pretreatment, or membrane treatment; in the case of casting, the nature of the dispersing liquid and method of homogenization of the solution with the precursor or prepared dopant nanoparticles);
- (iii)
- the amount of dopant;
- (iv)
- dopant’s surface properties (acidity, hydrophilicity);
- (v)
- morphology of the dopant.
5. Hybrid PFSA Membranes with Nonuniform Dopant Thickness Distribution
6. Conclusions
Author Contributions
Funding
Institutional Review Board Statement
Data Availability Statement
Conflicts of Interest
References
- Connolly, D.J.; Gresham, W.F. Fluorocarbon Vinyl Ether Polymers. Patent 3282875, 22 July 1964. [Google Scholar]
- Filippov, S.P.; Yaroslavtsev, A.B. Hydrogen Energy: Development Prospects and Materials. Russ. Chem. Rev. 2021, 90, 627–643. [Google Scholar] [CrossRef]
- Javed, A.; Palafox Gonzalez, P.; Thangadurai, V. A Critical Review of Electrolytes for Advanced Low- and High-Temperature Polymer Electrolyte Membrane Fuel Cells. ACS Appl. Mater. Interfaces 2023, 15, 29674–29699. [Google Scholar] [CrossRef] [PubMed]
- Pourcelly, G.; Nikonenko, V.V.; Pismenskaya, N.D.; Yaroslavtsev, A.B. Applications of Charged Membranes in Separation, Fuel Cells, and Emerging Processes. In Ionic Interactions in Natural and Synthetic Macromolecules; John Wiley & Sons, Inc.: Hoboken, NJ, USA, 2012; pp. 761–815. [Google Scholar]
- Olabi, A.G.; Wilberforce, T.; Alanazi, A.; Vichare, P.; Sayed, E.T.; Maghrabie, H.M.; Elsaid, K.; Abdelkareem, M.A. Novel Trends in Proton Exchange Membrane Fuel Cells. Energies 2022, 15, 4949. [Google Scholar] [CrossRef]
- Shi, X.; Esan, O.C.; Huo, X.; Ma, Y.; Pan, Z.; An, L.; Zhao, T.S. Polymer Electrolyte Membranes for Vanadium Redox Flow Batteries: Fundamentals and Applications. Prog. Energy Combust. Sci. 2021, 85, 100926. [Google Scholar] [CrossRef]
- Voropaeva, D.Y.; Novikova, S.A.; Yaroslavtsev, A.B. Polymer Electrolytes for Metal-Ion Batteries. Russ. Chem. Rev. 2020, 89, 1132–1155. [Google Scholar] [CrossRef]
- Xu, G.; Dong, X.; Xue, B.; Huang, J.; Wu, J.; Cai, W. Recent Approaches to Achieve High Temperature Operation of Nafion Membranes. Energies 2023, 16, 1565. [Google Scholar] [CrossRef]
- Babu, D.B.; Giribabu, K.; Ramesha, K. Permselective SPEEK/Nafion Composite-Coated Separator as a Potential Polysulfide Crossover Barrier Layer for Li-S Batteries. ACS Appl. Mater. Interfaces 2018, 10, 19721–19729. [Google Scholar] [CrossRef]
- Ke, Y.; Yuan, W.; Zhou, F.; Guo, W.; Li, J.; Zhuang, Z.; Su, X.; Lu, B.; Zhao, Y.; Tang, Y.; et al. A critical review on surface-pattern engineering of nafion membrane for fuel cell applications. Renew. Sustain. Energy Rev. 2021, 145, 110860. [Google Scholar] [CrossRef]
- Okonkwo, P.C.; Ben Belgacem, I.; Emori, W.; Uzoma, P.C. Nafion Degradation Mechanisms in Proton Exchange Membrane Fuel Cell (PEMFC) System: A Review. Int. J. Hydrogen Energy 2021, 46, 27956–27973. [Google Scholar] [CrossRef]
- Prykhodko, Y.; Fatyeyeva, K.; Hespel, L.; Marais, S. Progress in hybrid composite Nafion®-based membranes for proton exchange fuel cell application. Chem. Eng. J. 2020, 409, 127329. [Google Scholar] [CrossRef]
- Zakil, F.A.; Kamarudin, S.K.; Basri, S. Modified Nafion Membranes for Direct Alcohol Fuel Cells: An Overview. Renew. Sustain. Energy Rev. 2016, 65, 841–852. [Google Scholar] [CrossRef]
- Karimi, M.B.; Mohammadi, F.; Hooshyari, K. Recent approaches to improve Nafion performance for fuel cell applications: A review. Int. J. Hydrogen Energy 2019, 44, 28919–28938. [Google Scholar] [CrossRef]
- Siracusano, S.; Oldani, C.; Navarra, M.A.; Tonella, S.; Mazzapioda, L.; Briguglio, N.; Aricò, A.S. Chemically Stabilised Extruded and Recast Short Side Chain Aquivion® Proton Exchange Membranes for High Current Density Operation in Water Electrolysis. J. Membr. Sci. 2019, 578, 136–148. [Google Scholar] [CrossRef]
- Siracusano, S.; Baglio, V.; Stassi, A.; Merlo, L.; Moukheiber, E.; Arico’, A.S. Performance Analysis of Short-Side-Chain Aquivion® Perfluorosulfonic Acid Polymer for Proton Exchange Membrane Water Electrolysis. J. Membr. Sci. 2014, 466, 1–7. [Google Scholar] [CrossRef]
- Skulimowska, A.; Dupont, M.; Zaton, M.; Sunde, S.; Merlo, L.; Jones, D.J.; Rozière, J. Proton Exchange Membrane Water Electrolysis with Short-Side-Chain Aquivion® Membrane and IrO2 Anode Catalyst. Int. J. Hydrogen Energy 2014, 39, 6307–6316. [Google Scholar] [CrossRef]
- Maiyalagan, T.; Pasupathi, S. Components for PEM Fuel Cells: An Overview. Mater. Sci. Forum 2010, 657, 143–189. [Google Scholar] [CrossRef]
- Wang, J. System Integration, Durability and Reliability of Fuel Cells: Challenges and Solutions. Appl. Energy 2017, 189, 460–479. [Google Scholar] [CrossRef]
- Dafalla, A.M.; Jiang, F. Stresses and Their Impacts on Proton Exchange Membrane Fuel Cells: A Review. Int. J. Hydrogen Energy 2018, 43, 2327–2348. [Google Scholar] [CrossRef]
- Cullen, D.A.; Neyerlin, K.C.; Ahluwalia, R.K.; Mukundan, R.; More, K.L.; Borup, R.L.; Weber, A.Z.; Myers, D.J.; Kusoglu, A. New Roads and Challenges for Fuel Cells in Heavy-Duty Transportation. Nat. Energy 2021, 6, 462–474. [Google Scholar] [CrossRef]
- Jiang, B.; Wu, L.; Yu, L.; Qiu, X.; Xi, J. A Comparative Study of Nafion Series Membranes for Vanadium Redox Flow Batteries. J. Membr. Sci. 2016, 510, 18–26. [Google Scholar] [CrossRef]
- Dai, J.; Teng, X.; Song, Y.; Ren, J. Effect of Casting Solvent and Annealing Temperature on Recast Nafion Membranes for Vanadium Redox Flow Battery. J. Membr. Sci. 2017, 522, 56–67. [Google Scholar] [CrossRef]
- Parasuraman, A.; Lim, T.M.; Menictas, C.; Skyllas-Kazacos, M. Review of Material Research and Development for Vanadium Redox Flow Battery Applications. Electrochim. Acta 2013, 101, 27–40. [Google Scholar] [CrossRef]
- Hwang, B.J.; Liu, Y.C.; Chen, Y.L. Characteristics of Pt/Nafion® Electrodes Prepared by a Takenata–Torikai Method in Sensing Hydrogen. Mater. Chem. Phys. 2001, 69, 267–273. [Google Scholar] [CrossRef]
- Zhi, Z.; Gao, W.; Yang, J.; Geng, C.; Yang, B.; Tian, C.; Fan, S.; Li, H.; Li, J.; Hua, Z. Amperometric Hydrogen Gas Sensor Based on Pt/C/Nafion Electrode and Ionic Electrolyte. Sens. Actuators B Chem. 2022, 367, 132137. [Google Scholar] [CrossRef]
- Yu, X.; Chen, X.; Yu, X.; Chen, X.; Ding, X.; Zhao, X.; Tang, K. Ultrahighly Sensitive QCM Humidity Sensor Based on Nafion/MoS2Hybrid Thin Film. IEEE Trans. Electron. Devices 2022, 69, 1321–1326. [Google Scholar] [CrossRef]
- Finnerty, N.J.; O’Riordan, S.L.; Brown, F.O.; Serra, P.A.; O’Neill, R.D.; Lowry, J.P. In Vivo Characterisation of a Nafion®-Modified Pt Electrode for Real-Time Nitric Oxide Monitoring in Brain Extracellular Fluid. Anal. Methods 2012, 4, 550–557. [Google Scholar] [CrossRef]
- Ma, W.; Tian, D. Direct Electron Transfer and Electrocatalysis of Hemoglobin in ZnO Coated Multiwalled Carbon Nanotubes and Nafion Composite Matrix. Bioelectrochemistry 2010, 78, 106–112. [Google Scholar] [CrossRef]
- Liu, C.-T.; Liu, C.-H.; Lai, Y.-T.; Lee, C.-Y.; Gupta, S.; Tai, N.-H. A Salivary Glucose Biosensor Based on Immobilization of Glucose Oxidase in Nafion-Carbon Nanotubes Nanocomposites Modified on Screen Printed Electrode. Microchem. J. 2023, 191, 108872. [Google Scholar] [CrossRef]
- Parrilla, M.; Detamornrat, U.; Domínguez-Robles, J.; Donnelly, R.F.; De Wael, K. Wearable Hollow Microneedle Sensing Patches for the Transdermal Electrochemical Monitoring of Glucose. Talanta 2022, 249, 123695. [Google Scholar] [CrossRef]
- Santos, J.S.; Raimundo, I.M.; Cordeiro, C.M.B.; Biazoli, C.R.; Gouveia, C.A.J.; Jorge, P.A.S. Characterisation of a Nafion Film by Optical Fibre Fabry–Perot Interferometry for Humidity Sensing. Sens. Actuators B Chem. 2014, 196, 99–105. [Google Scholar] [CrossRef]
- Mauritz, K.A.; Moore, R.B. State of understanding of Nafion. Chem. Rev. 2004, 104, 4535–4585. [Google Scholar] [CrossRef] [PubMed]
- Alberti, G.; Narducci, R. Evolution of Permanent Deformations (or Memory) in Nafion 117 Membranes with Changes in Temperature, Relative Humidity and Time, and Its Importance in the Development of Medium Temperature PEMFCs. Fuel Cells 2009, 9, 410–420. [Google Scholar] [CrossRef]
- Ito, H.; Maeda, T.; Nakano, A.; Takenaka, H. Properties of Nafion membranes under PEM water electrolysis conditions. Int. J. Hydrogen Energy 2011, 36, 10527–10540. [Google Scholar] [CrossRef]
- Feng, S.; Voth, G.A. Proton solvation and transport in hydrated Nafion. J. Phys. Chem. B 2011, 115, 5903–5912. [Google Scholar] [CrossRef] [PubMed]
- Page, K.A.; Rowe, B.W.; Masser, K.A.; Faraone, A. The effect of water content on chain dynamics in nafion membranes measured by neutron spin echo and dielectric spectroscopy. J. Polym. Sci. B Polym. Phys. 2014, 52, 624–632. [Google Scholar] [CrossRef]
- Matos, B.R.; Santiago, E.I.; Rey, J.F.Q.; Scuracchio, C.H.; Mantovani, G.L.; Hirano, L.A.; Fonseca, F.C. dc Proton conductivity at low-frequency in Nafion conductivity spectrum probed by time-resolved SAXS measurements and impedance spectroscopy. J. Polym. Sci. B Polym. Phys. 2015, 53, 822–828. [Google Scholar] [CrossRef]
- Mukaddam, M.; Litwiller, E.; Pinnau, I. Gas sorption, diffusion, and permeation in Nafion. Macromolecules 2016, 49, 280–286. [Google Scholar] [CrossRef]
- Kusoglu, A.; Weber, A.Z. New insights into perfluorinated sulfonic-acid ionomers. Chem. Rev. 2017, 117, 987–1104. [Google Scholar] [CrossRef]
- Alent’ev, A.Y.; Volkov, A.V.; Vorotyntsev, I.V.; Maksimov, A.L.; Yaroslavtsev, A.B. Membrane Technologies for Decarbonization. Membr. Membr. Technol. 2021, 3, 255–273. [Google Scholar] [CrossRef]
- NafionTM Products | NafionTM Membranes, Dispersions, Resins. Available online: https://www.nafion.com/en/products (accessed on 18 July 2023).
- Prikhno, I.A.; Safronova, E.Y.; Stenina, I.A.; Yurova, P.A.; Yaroslavtsev, A.B. Dependence of the transport properties of perfluorinated sulfonated cation-exchange membranes on ion-exchange capacity. Membr. Membr. Technol. 2020, 2, 265–271. [Google Scholar] [CrossRef]
- Wu, D.; Paddison, S.J.; Elliott, J.A. Effect of molecular weight on hydrated morphologies of the short-side-chain perfluorosulfonic acid membrane. Macromolecules 2009, 42, 3358–3367. [Google Scholar] [CrossRef]
- Ezzell, B.R.; Carl, W.P.; Mod, W.A. Preparation of Vinyl Ethers. Patent 4358412, 11 June 1980. [Google Scholar]
- Arcella, V.; Troglia, C.; Ghielmi, A. Hyflon ion membranes. Ind. Eng. Chem. Res. 2005, 44, 7646–7651. [Google Scholar] [CrossRef]
- Li, J.; Pan, M.; Tang, H. Understanding short-side-chain perfluorinated sulfonic acid and its application for high temperature polymer electrolyte membrane fuel cells. RSC Adv. 2014, 4, 3944–3965. [Google Scholar] [CrossRef]
- Yaroslavtsev, A.B.; Stenina, I.A.; Golubenko, D.V. Membrane materials for energy production and storage. Pure Appl. Chem. 2020, 92, 1147–1157. [Google Scholar] [CrossRef]
- Ivanchev, S.S.; Likhomanov, V.S.; Primachenko, O.N.; Khaikin, S.Y.; Barabanov, V.G.; Kornilov, V.V.; Odinokov, A.S.; Kulvelis, Y.V.; Lebedev, V.T.; Trunov, V.A. Scientific principles of a new process for manufacturing perfluorinated polymer electrolytes for fuel cells. Pet. Chem. 2012, 52, 453–461. [Google Scholar] [CrossRef]
- Li, T.; Shen, J.; Chen, G.; Guo, S.; Xie, G. Performance Comparison of Proton Exchange Membrane Fuel Cells with Nafion and Aquivion Perfluorosulfonic Acids with Different Equivalent Weights as the Electrode Binders. ACS Omega 2020, 5, 17628–17636. [Google Scholar] [CrossRef]
- Guan, P.; Zou, Y.; Zhang, M.; Zhong, W.; Xu, J.; Lei, J.; Ding, H.; Feng, W.; Liu, F.; Zhang, Y. High-temperature low-humidity proton exchange membrane with “stream-reservoir” ionic channels for high-power-density fuel cells. Sci. Adv. 2023, 9, eadh1386. [Google Scholar] [CrossRef] [PubMed]
- Lee, C.H.; Wang, X.; Peng, J.K.; Katzenberg, A.; Ahluwalia, R.K.; Kusoglu, A.; Babu, S.K.; Spendelow, J.S.; Mukundan, R.; Borup, R.L. Toward a Comprehensive Understanding of Cation Effects in Proton Exchange Membrane Fuel Cells. ACS Appl. Mater. Interfaces 2022, 14, 35555–35568. [Google Scholar] [CrossRef]
- Maiti, T.K.; Singh, J.; Dixit, P.; Majhi, J.; Bhushan, S.; Bandyopadhyay, A.; Chattopadhyay, S. Advances in Perfluorosulfonic Acid-Based Proton Exchange Membranes for Fuel Cell Applications: A Review. Chem. Eng. J. Adv. 2022, 12, 100372. [Google Scholar] [CrossRef]
- Postnov, D.V.; Melnikova, N.A.; Postnov, V.N.; Semenov, K.N.; Murin, I.V. Nafion-Based Nanocomposites with Light Fullerenes and Their Functionalized Derivatives. Rev. Adv. Mater. Sci. 2014, 39, 20–24. [Google Scholar]
- Tripathi, B.P.; Shahi, V.K. Organic–inorganic nanocomposite polymer electrolyte membranes for fuel cell applications. Prog. Polym. Sci. 2011, 36, 945–979. [Google Scholar] [CrossRef]
- Cele, N.; Ray, S.S. Recent Progress on Nafion-Based Nanocomposite Membranes for Fuel Cell Applications. Macromol. Mater. Eng. 2009, 294, 719–738. [Google Scholar] [CrossRef]
- Berezina, N.P.; Timofeev, S.V.; Kononenko, N.A. Effect of conditioning techniques of perfluorinated sulphocationic membranes on their hydrophylic and electrotransport properties. J. Membr. Sci. 2002, 209, 509–518. [Google Scholar] [CrossRef]
- Kuwertz, R.; Kirstein, C.; Turek, T.; Kunz, U. Influence of acid pretreatment on ionic conductivity of Nafion® membranes. J. Membr. Sci. 2016, 500, 225–235. [Google Scholar] [CrossRef]
- Wang, J.; Yang, M.; Dou, P.; Wang, X.; Zhang, H. Influences of annealing on the perfluorosulfonate ion-exchanged membranes prepared by melt extrusion. Ind. Eng. Chem. Res. 2014, 53, 14175–14182. [Google Scholar] [CrossRef]
- Maldonado, L.; Perrin, J.-C.; Dillet, J.; Lottin, O. Characterization of polymer electrolyte Nafion membranes: Influence of temperature, heat treatment and drying protocol on sorption and transport properties. J. Membr. Sci. 2012, 389, 43–56. [Google Scholar] [CrossRef]
- Shi, S.; Dursch, T.J.; Blake, C.; Mukundan, R.; Borup, R.L.; Weber, A.Z.; Kusoglu, A. Impact of hygrothermal aging on structure/function relationship of perfluorosulfonic-acid membrane. J. Polym. Sci. B Polym. Phys. 2016, 54, 570–581. [Google Scholar] [CrossRef]
- Liu, L.; Chen, W.; Li, Y. An overview of the proton conductivity of nafion membranes through a statistical analysis. J. Membr. Sci. 2016, 504, 1–9. [Google Scholar] [CrossRef]
- Safronova, E.; Safronov, D.; Lysova, A.; Parshina, A.; Bobreshova, O.; Pourcelly, G.; Yaroslavtsev, A. Sensitivity of potentiometric sensors based on Nafion®-type membranes and effect of the membranes mechanical, thermal, and hydrothermal treatments on the on their properties. Sens. Actuators B Chem. 2017, 240, 1016–1023. [Google Scholar] [CrossRef]
- Collette, F.M.; Thominette, F.; Escribano, S.; Ravachol, A.; Morin, A.; Gebel, G. Fuel Cell Rejuvenation of Hygrothermally Aged Nafion®. J. Power Sources 2012, 202, 126–133. [Google Scholar] [CrossRef]
- Luo, X.; Lau, G.; Tesfaye, M.; Arthurs, C.R.; Cordova, I.; Wang, C.; Yandrasits, M.; Kusoglu, A. Thickness Dependence of Proton-Exchange-Membrane Properties. J. Electrochem. Soc. 2021, 168, 104517. [Google Scholar] [CrossRef]
- Wu, L.; Zhang, Z.; Ran, J.; Zhou, D.; Li, C.; Xu, T. Advances in proton-exchange membranes for fuel cells: An overview on proton conductive channels (PCCs). Phys. Chem. Chem. Phys. 2013, 15, 4870. [Google Scholar] [CrossRef] [PubMed]
- Park, J.-S.; Shin, M.-S.; Kim, C.-S. Proton exchange membranes for fuel cell operation at low relative humidity and intermediate temperature: An updated review. Curr. Opin. Electrochem. 2017, 5, 43–55. [Google Scholar] [CrossRef]
- Subianto, S.; Pica, M.; Casciola, M.; Cojocaru, P.; Merlo, L.; Hards, G.; Jones, D.J. Physical and chemical modification routes leading to improved mechanical properties of perfluorosulfonic acid membranes for PEM fuel cells. J. Power Sources 2013, 233, 216–230. [Google Scholar] [CrossRef]
- Zakaria, Z.; Shaari, N.; Kamarudin, S.K.; Bahru, R.; Musa, M.T. A review of progressive advanced polymer nanohybrid membrane in fuel cell application. Int. J. Energy Res. 2020, 44, 8255–8295. [Google Scholar] [CrossRef]
- Wang, Y.; Ruiz Diaz, D.F.; Chen, K.S.; Wang, Z.; Adroher, X.C. Materials, technological status, and fundamentals of PEM fuel cells—A review. Mater. Today 2020, 32, 178–203. [Google Scholar] [CrossRef]
- Makhsoos, A.; Kandidayeni, M.; Pollet, B.G.; Boulon, L. A perspective on increasing the efficiency of proton exchange membrane water electrolyzers—A review. Int. J. Hydrogen Energy 2023, 48, 15341–15370. [Google Scholar] [CrossRef]
- Mareev, S.; Gorobchenko, A.; Ivanov, D.; Anokhin, D.; Nikonenko, V. Ion and Water Transport in Ion-Exchange Membranes for Power Generation Systems: Guidelines for Modeling. Int. J. Molec. Sci. 2023, 24, 34. [Google Scholar] [CrossRef]
- Moukheiber, E.; De Moor, G.; Flandin, L.; Bas, C. Investigation of Ionomer Structure through Its Dependence on Ion Exchange Capacity (IEC). J. Membr. Sci. 2012, 389, 294–304. [Google Scholar] [CrossRef]
- Yaroslavtsev, A.B. Correlation between the properties of hybrid ion-exchange membranes and the nature and dimensions of dopant particles. Nanotechnol. Russ. 2012, 7, 437–451. [Google Scholar] [CrossRef]
- Choi, S.Y.; Ikhsan, M.M.; Jin, K.S.; Henkensmeier, D. Nanostructure-Property Relationship of Two Perfluorinated Sulfonic Acid (PFSA) Membranes. Int. J. Energy Res. 2022, 46, 11265–11277. [Google Scholar] [CrossRef]
- Gierke, T.D.; Munn, G.E.; Wilson, F.C. The morphology in nafion perfluorinated membrane products, as determined by wide- and small-angle x-ray studies. J. Polym. Sci. Polym. Phys. Ed. 1981, 19, 1687–1704. [Google Scholar] [CrossRef]
- Hsu, W.Y.; Gierke, T.D. Ion transport and clustering in nafion perfluorinated membranes. J. Membr. Sci. 1983, 13, 307–326. [Google Scholar] [CrossRef]
- Gebel, G. Structural evolution of water swollen perfluorosulfonated ionomers from dry membrane to solution. Polymer 2000, 41, 5829–5838. [Google Scholar] [CrossRef]
- Kreuer, K.D.; Portale, G. A Critical Revision of the Nano-Morphology of Proton Conducting Ionomers and Polyelectrolytes for Fuel Cell Applications. Adv. Funct. Mater. 2013, 23, 5390–5397. [Google Scholar] [CrossRef]
- Knox, C.K.; Voth, G.A. Probing Selected Morphological Models of Hydrated Nafion Using Large-Scale Molecular Dynamics Simulations. J. Phys. Chem. B 2010, 114, 3205–3218. [Google Scholar] [CrossRef]
- Rubatat, L.; Gebel, G.; Diat, O. Rodlike Colloidal Structure of Short Pendant Chain Perfluorinated Ionomer Solutions. Langmuir 1998, 14, 1977–1983. [Google Scholar]
- Gebel, G.; Moore, R.B. Small-Angle Scattering Study of Short Pendant Chain Perfuorosulfonated Ionomer Membranes. Macromolecules 2000, 33, 4850–4855. [Google Scholar] [CrossRef]
- Starannikova, L.E.; Alentiev, A.Y.; Nikiforov, R.Y.; Ponomarev, I.I.; Blagodatskikh, I.V.; Nikolaev, A.Y.; Shantarovich, V.P.; Yampolskii, Y.P. Effects of different treatments of films of PIM-1 on its gas permeation parameters and free volume. Polymer 2021, 212, 123271. [Google Scholar] [CrossRef]
- Yong, W.F.; Kwek, K.H.A.; Liao, K.S.; Chung, T.S. Suppression of aging and plasticization in highly permeable polymers. Polymer 2015, 77, 377–386. [Google Scholar] [CrossRef]
- Welch, C.; Labouriau, A.; Hjelm, R.; Orler, B.; Johnston, C.; Kim, Y.S. Nafion in dilute solvent systems: Dispersion or solution? ACS Macro Lett. 2012, 1, 1403–1407. [Google Scholar] [CrossRef] [PubMed]
- Loppinet, B.; Gebel, G.; Williams, C.E. Small-angle scattering study of perfluorosulfonated ionomer solutions. J. Phys. Chem. B 1997, 101, 1884–1892. [Google Scholar] [CrossRef]
- Mabuchi, T.; Tokumasu, T. Relationship between proton transport and morphology of perfluorosulfonic acid membranes: A reactive molecular dynamics approach. J. Phys. Chem. B 2018, 122, 5922–5932. [Google Scholar] [CrossRef] [PubMed]
- Berlinger, S.A.; Dudenas, P.J.; Bird, A.; Chen, X.; Freychet, G.; McCloskey, B.D.; Kusoglu, A.; Weber, A.Z. Impact of Dispersion Solvent on Ionomer Thin Films and Membranes. ACS Appl. Polym. Mater. 2020, 2, 5824–5834. [Google Scholar] [CrossRef]
- Kim, Y.S.; Welch, C.F.; Hjelm, R.P.; Mack, N.H.; Labouriau, A.; Orler, E.B. Origin of toughness in dispersion-cast Nafion membranes. Macromolecules 2015, 48, 2161–2172. [Google Scholar] [CrossRef]
- Alberti, G.; Narducci, R.; Sganappa, M. Effects of hydrothermal/thermal treatments on the water-uptake of Nafion membranes and relations with changes of conformation, counter-elastic force and tensile modulus of the matrix. J. Power Sources 2008, 178, 575–583. [Google Scholar] [CrossRef]
- DeBonis, D.; Mayer, M.; Omosebi, A.; Besser, R.S. Analysis of mechanism of Nafion® conductivity change due to hot pressing treatment. Renew. Energy 2016, 89, 200–206. [Google Scholar] [CrossRef]
- Collette, F.M.; Thominette, F.; Mendil-Jakani, H.; Gebel, G. Structure and transport properties of solution-cast Nafion® membranes subjected to hygrothermal aging. J. Membr. Sci. 2013, 435, 242–252. [Google Scholar] [CrossRef]
- Safronova, E.Y.; Voropaeva, D.Y.; Safronov, D.V.; Stretton, N.; Parshina, A.V.; Yaroslavtsev, A.B. Correlation between Nafion Morphology in Various Dispersion Liquids and Properties of the Cast Membranes. Membranes 2023, 13, 13. [Google Scholar] [CrossRef]
- Selim, A.; Szijjártó, G.P.; Tompos, A. Insights into the Influence of Different Pre-Treatments on Physicochemical Properties of Nafion XL Membrane and Fuel Cell Performance. Polymers 2022, 14, 3385. [Google Scholar] [CrossRef]
- Gatto, I.; Saccà, A.; Baglio, V.; Aricò, A.S.; Oldani, C.; Merlo, L.; Carbone, A. Evaluation of Hot Pressing Parameters on the Electrochemical Performance of MEAs Based on Aquivion® PFSA Membranes. J. Energy Chem. 2019, 35, 168–173. [Google Scholar] [CrossRef]
- Passalacqua, E.; Pedicini, R.; Carbone, A.; Gatto, I.; Matera, F.; Patti, A.; Sacca, A. Effects of the Chemical Treatment on the Physical-Chemical and Electrochemical Properties of the Commercial NafionTM NR212 Membrane. Materials 2020, 13, 5254. [Google Scholar] [CrossRef] [PubMed]
- Divoux, G.M.; Finlay, K.A.; Park, J.K.; Song, J.-M.; Yan, B.; Zhang, M.; Dillard, D.A.; Moore, R.B. Morphological Factors Affecting the Behavior of Water in Proton Exchange Membrane Materials. ECS Trans. 2011, 41, 87–100. [Google Scholar] [CrossRef]
- Gao, X.; Yamamoto, K.; Hirai, T.; Uchiyama, T.; Ohta, N.; Takao, N.; Matsumoto, M.; Imai, H.; Sugawara, S.; Shinohara, K.; et al. Morphology Changes in Perfluorosulfonated Ionomer from Thickness and Thermal Treatment Conditions. Langmuir 2020, 36, 3871–3878. [Google Scholar] [CrossRef]
- Mugtasimova, K.R.; Melnikov, A.P.; Galitskaya, E.A.; Kashin, A.M.; Dobrovolskiy, Y.A.; Don, G.M.; Likhomanov, V.S.; Sivak, A.V.; Sinitsyn, V.V. Fabrication of Aquivion-Type Membranes and Optimization of Their Elastic and Transport Characteristics. Ionics 2018, 24, 3897–3903. [Google Scholar] [CrossRef]
- Naudy, S.; Collette, F.; Thominette, F.; Gebel, G.; Espuche, E. Influence of hygrothermal aging on the gas and water transport properties of Nafion® membranes. J. Membr. Sci. 2014, 451, 293–304. [Google Scholar] [CrossRef]
- Safronova, E.Y.; Pourcelly, G.; Yaroslavtsev, A.B. The transformation and degradation of Nafion® solutions under ultrasonic treatment. The effect on transport and mechanical properties of the resultant membranes. Polym. Degrad. Stab. 2020, 178, 109229. [Google Scholar] [CrossRef]
- Safronova, E.Y.; Yaroslavtsev, A.B. Effect of Ultrasonic Treatment of Nafion ® Polymer Solutions on Properties of Membranes Obtained by a Casting Procedure. Membr. Membr. Technol. 2021, 3, 8–14. [Google Scholar] [CrossRef]
- Sazanova, T.S.; Otvagina, K.V.; Kryuchkov, S.S.; Zarubin, D.M.; Fukina, D.G.; Vorotyntsev, A.V.; Vorotyntsev, I.V. Revealing the surface effect on gas transport and mechanical properties in nonporous polymeric membranes in terms of surface free energy. Langmuir 2020, 36, 12911–12921. [Google Scholar] [CrossRef]
- Hnatchuk, N.; Pawale, T.; Li, X. Asymmetric polymer materials: Synthesis, structure, and performance. Polymer 2022, 242, 124607. [Google Scholar] [CrossRef]
- Nikonenko, V.V.; Mareev, S.A.; Pis’menskaya, N.D.; Uzdenova, A.M.; Kovalenko, A.V.; Urtenov, M.K.; Pourcelly, G. Effect of electroconvection and its use in intensifying the mass transfer in electrodialysis (Review). Russ. J. Electrochem. 2017, 53, 1122–1144. [Google Scholar] [CrossRef]
- Omosebi, A.; Besser, R.S. Electron Beam Assisted Patterning and Dry Etching of Nafion Membranes. J. Electrochem. Soc. 2011, 158, D603. [Google Scholar] [CrossRef]
- Zhang, Y.; Lu, J.; Shimano, S.; Zhou, H.; Maeda, R. Development of MEMS-based direct methanol fuel cell with high power density using nanoimprint technology. Electrochem. Commun. 2007, 9, 1365–1368. [Google Scholar] [CrossRef]
- Loza, S.A.; Zabolotsky, V.I.; Loza, N.V.; Fomenko, M.A. Structure, morphology, and transport characteristics of profiled bilayer membranes. Pet. Chem. 2016, 56, 1027–1033. [Google Scholar] [CrossRef]
- Prasanna, M.; Cho, E.A.; Kim, H.J.; Lim, T.H.; Oh, I.H.; Hong, S.A. Effects of platinum loading on performance of proton-exchange membrane fuel cells using surface-modified Nafion® membranes. J. Power Sources 2006, 160, 90–96. [Google Scholar] [CrossRef]
- Cho, S.A.; Cho, E.A.; Oh, I.H.; Kim, H.J.; Ha, H.Y.; Hong, S.A.; Ju, J.B. Surface modified Nafion® membrane by ion beam bombardment for fuel cell applications. J. Power Sources 2006, 155, 286–290. [Google Scholar] [CrossRef]
- Li, J.; Yang, X.; Tang, H.; Pan, M. Durable and high performance Nafion membrane prepared through high-temperature annealing methodology. J. Membr. Sci. 2010, 361, 38–42. [Google Scholar] [CrossRef]
- Giancola, S.; Arciniegas, R.A.B.; Fahs, A.; Chailan, J.F.; Di Vona, M.L.; Knauth, P.; Narducci, R. Study of Annealed Aquivion® Ionomers with the INCA Method. Membranes 2019, 9, 134. [Google Scholar] [CrossRef]
- Luan, Y.; Zhang, Y.; Zhang, H.; Li, L.; Li, H.; Liu, Y. Annealing effect of perfluorosulfonated ionomer membranes on proton conductivity and methanol permeability. J. Appl. Polym. Sci. 2008, 107, 396–402. [Google Scholar] [CrossRef]
- Kreuer, K.-D. The role of internal pressure for the hydration and transport properties of ionomers and polyelectrolytes. Solid State Ion. 2013, 252, 93–101. [Google Scholar] [CrossRef]
- Collette, F.M.; Lorentz, C.; Gebel, G.; Thominette, F. Hygrothermal aging of Nafion®. J. Membr. Sci. 2009, 330, 21–29. [Google Scholar] [CrossRef]
- Tesfaye, M.; Kushner, D.I.; Kusoglu, A. Interplay between Swelling Kinetics and Nanostructure in Perfluorosulfonic Acid Thin-Films: Role of Hygrothermal Aging. ACS Appl. Polym. Mater. 2019, 1, 631–635. [Google Scholar] [CrossRef]
- Lyulin, A.V.; Sengupta, S.; Varughese, A.; Komarov, P.; Venkatnathan, A. Effect of Annealing on Structure and Diffusion in Hydrated Nafion Membranes. ACS Appl. Polym. Mater. 2020, 2, 5058–5066. [Google Scholar] [CrossRef]
- Mališ, J.; Paidar, M.; Bystron, T.; Brožová, L.; Zhigunov, A.; Bouzek, K. Changes in Nafion® 117 internal structure and related properties during exposure to elevated temperature and pressure in an aqueous environment. Electrochim. Acta 2018, 262, 264–275. [Google Scholar] [CrossRef]
- Adamski, M.; Peressin, N.; Holdcroft, S.; Pollet, B.G. Does power ultrasound affect Nafion® dispersions? Ultrason. Sonochem. 2020, 60, 104758. [Google Scholar] [CrossRef]
- Pollet, B.G. Let’s not ignore the ultrasonic effects on the preparation of fuel cell materials. Electrocatalysis 2014, 5, 330–343. [Google Scholar] [CrossRef]
- Pollet, B.G.; Goh, J.T.E. The importance of ultrasonic parameters in the preparation of fuel cell catalyst inks. Electrochim. Acta 2014, 128, 292–303. [Google Scholar] [CrossRef]
- Momand, H. The Effect of Ultrasound on Nafion® Polymer in Proton Exchange Membrane Fuel Cells (PEMFCs). Ph.D. Thesis, University of Birmingham, Birmingham, UK, 2013. [Google Scholar]
- Jacobs, C.J. Influence of Catalyst Ink Mixing Procedures on Catalyst Layer Properties and In-Situ PEMFC Performance. Master’s Thesis, University of Cape Town, Cape Town, South Africa, 2016. [Google Scholar]
- Yaroslavtsev, A.B.; Yampolskii, Y.P. Hybrid membranes containing inorganic nanoparticles. Mendeleev Commun. 2014, 24, 319–326. [Google Scholar] [CrossRef]
- Gagliardi, G.G.; Ibrahim, A.; Borello, D.; El-Kharouf, A. Composite Polymers Development and Applicatopn for Polymer Electrolyte Membrane Technologies—A Review. Molecules 2020, 25, 1712. [Google Scholar] [CrossRef]
- Safronova, E.Y.; Yaroslavtsev, A.B. Prospects of practical application of hybrid membranes. Pet. Chem. 2016, 56, 281–293. [Google Scholar] [CrossRef]
- Xu, G.; Wu, Z.; Wei, Z.; Zhang, W.; Wu, J.; Li, Y.; Li, J.; Qu, K.; Cai, W. Non-destructive fabrication of Nafion/silica composite membrane via swelling-filling modification strategy for high temperature and low humidity PEM fuel cell. Renew. Energy 2020, 153, 935–939. [Google Scholar] [CrossRef]
- Dresch, M.A.; Isidoro, R.A.; Linardi, M.; Rey, J.F.Q.; Fonseca, F.C.; Santiago, E.I. Influence of sol-gel media on the properties of Nafion-SiO2 hybrid electrolytes for high performance proton exchange membrane fuel cells operating at high temperature and low humidity. Electrochim. Acta 2013, 94, 353–359. [Google Scholar] [CrossRef]
- Niu, J.; Zhang, S.; Li, Y.; Li, X.; Zhang, J.; Lu, S.; He, Q. Effects of microstructure on the retention of proton conductivity of Nafion/SiO2 composite membranes at elevated temperatures: An in situ SAXS study. Polymer 2023, 273, 125869. [Google Scholar] [CrossRef]
- Ahmed, Z.; Matos, B.R.; de Florio, D.Z.; Rey, J.F.Q.; Santiago, E.I.; Fonseca, F.C. Nafion-Mesoporous Silica Composite Electrolyte: Properties and Direct Ethanol Fuel Cells Performance. Mater. Renew. Sustain. Energy 2016, 5, 6. [Google Scholar] [CrossRef]
- Ketpang, K.; Oh, K.; Lim, S.C.; Shanmugam, S. Nafion-porous cerium oxide nanotubes composite membrane for polymer electrolyte fuel cells operated under dry conditions. J. Power Sources 2016, 329, 441–449. [Google Scholar] [CrossRef]
- Kuznetsova, E.V.; Safronova, E.Y.; Ivanov, V.K.; Yurkov, G.Y.; Mikheev, A.G.; Golubenko, D.V.; Yaroslavtsev, A.B. Transport properties of hybrid materials based on MF-4SC perfluorinated ion-exchange membranes and nanosized ceria. Nanotechnol. Russ. 2013, 8, 461–465. [Google Scholar] [CrossRef]
- Wang, Z.; Tang, H.; Zhang, H.; Lei, M.; Chen, R.; Xiao, P.; Pan, M. Synthesis of Nafion/CeO2 hybrid for chemically durable proton exchange membrane of fuel cell. J. Membr. Sci. 2012, 421–422, 201–210. [Google Scholar] [CrossRef]
- Parnian, M.J.; Rowshanzamir, S.; Alipour Moghaddam, J. Investigation of physicochemical and electrochemical properties of recast Nafion nanocomposite membranes using different loading of zirconia nanoparticles for proton exchange membrane fuel cell applications. Mater. Sci. Energy Technol. 2018, 1, 146–154. [Google Scholar] [CrossRef]
- Matos, B.R.; Isidoro, R.A.; Santiago, E.I.; Linardi, M.; Ferlauto, A.S.; Tavares, A.C.; Fonseca, F.C. In Situ Fabrication of Nafion-Titanate Hybrid Electrolytes for High-Temperature Direct Ethanol Fuel Cell. J. Phys. Chem. C 2013, 117, 16863–16870. [Google Scholar] [CrossRef]
- Xu, G.; Wei, Z.; Li, S.; Li, J.; Yang, Z.; Grigoriev, S.A. In-situ sulfonation of targeted silica-filled Nafion for high-temperature PEM fuel cell application. Int. J. Hydrogen Energy 2019, 44, 29711–29716. [Google Scholar] [CrossRef]
- De Bonis, C.; Cozzi, D.; Mecheri, B.; D’Epifanio, A.; Rainer, A.; De Porcellinis, D.; Licoccia, S. Effect of filler surface functionalization on the performance of Nafion/Titanium oxide composite membranes. Electrochim. Acta 2014, 147, 418–425. [Google Scholar] [CrossRef]
- Safronova, E.Y.; Yaroslavtsev, A.B. Relationship between properties of hybrid ion-exchange membranes and dopant nature. Solid State Ion. 2013, 251, 23–27. [Google Scholar] [CrossRef]
- Sigwadi, R.; Dhlamini, M.S.; Mokrani, T.; Nemavhola, F.; Nonjola, P.F.; Msomi, P.F. The Proton Conductivity and Mechanical Properties of Nafion®/ZrP Nanocomposite Membrane. Heliyon 2019, 5, e02240. [Google Scholar] [CrossRef] [PubMed]
- Xu, G.; Xue, S.; Wei, Z.; Li, J.; Qu, K.; Li, Y.; Cai, W. Stabilizing phosphotungstic acid in Nafion membrane via targeted silica fixation for high-temperature fuel cell application. Int. J. Hydrogen Energy 2021, 46, 4301–4308. [Google Scholar] [CrossRef]
- Osipov, A.K.; Safronova, E.Y.; Yaroslavtsev, A.B. Hybrid materials based on the Nafion membrane and acid salts of heteropoly acids MxH3−xPW12O40 and MxH4−xSiW12O40 (M = Rb and Cs). Pet. Chem. 2016, 56, 1014–1019. [Google Scholar] [CrossRef]
- Meng, Z.; Zou, Y.; Li, N.; Wang, B.; Fu, X.; Zhang, R.; Hu, S.; Bao, X.; Li, X.; Zhao, F.; et al. Graphene Oxide-Intercalated Microbial Montmorillonite to Moderate the Dependence of Nafion-Based PEMFCs in High-Humidity Environments. ACS Appl. Energy Mater. 2023, 6, 1771–1780. [Google Scholar] [CrossRef]
- Steffy, N.J.; Parthiban, V.; Sahu, A.K. Uncovering Nafion-multiwalled carbon nanotube hybrid membrane for prospective polymer electrolyte membrane fuel cell under low humidity. J. Membr. Sci. 2018, 563, 65–74. [Google Scholar] [CrossRef]
- Molla-Abbasi, P.; Janghorban, K.; Asgari, M.S. A Novel Heteropolyacid-Doped Carbon Nanotubes/Nafion Nanocomposite Membrane for High Performance Proton-Exchange Methanol Fuel Cell Applications. Iranian Polymer J. (Engl. Ed.) 2018, 27, 77–86. [Google Scholar] [CrossRef]
- Prikhno, I.A.; Safronova, E.Y.; Yaroslavtsev, A.B. Hybrid materials based on perfluorosulfonic acid membrane and functionalized carbon nanotubes: Synthesis, investigation and transport properties. Int. J. Hydrogen Energy 2016, 41, 15585–15592. [Google Scholar] [CrossRef]
- Novikova, S.A.; Yurkov, G.Y.; Yaroslavtsev, A.B. Synthesis and transport properties of membrane materials with incorporated metal nanoparticles. Mendeleev Commun. 2010, 20, 89–91. [Google Scholar] [CrossRef]
- Stenina, I.A.; Yurova, P.A.; Titova, T.S.; Polovkova, M.A.; Korchagin, O.V.; Bogdanovskaya, V.A.; Yaroslavtsev, A.B. The influence of poly(3,4-ethylenedioxythiophene) modification on the transport properties and fuel cell performance of Nafion-117 membranes. J. Appl. Polym. Sci. 2021, 138, 50644. [Google Scholar] [CrossRef]
- Pyshkina, O.; Novoskoltseva, O.; Zakharova, J.A. Modification of Nafion Membrane by Polyaniline Providing Uniform Polymer Distribution throughout the Membrane. Colloid Polym. Sci. 2019, 297, 423–432. [Google Scholar] [CrossRef]
- Mehboob, S.; Lee, J.Y.; Hun Ahn, J.; Abbas, S.; Do, X.H.; Kim, J.; Shin, H.J.; Henkensmeier, D.; Ha, H.Y. Perfect Capacity Retention of All-Vanadium Redox Flow Battery Using Nafion/Polyaniline Composite Membranes. J. Ind. Eng. Chem. 2023, 121, 348–357. [Google Scholar] [CrossRef]
- Herring, A.M. Inorganic–Polymer Composite Membranes for Proton Exchange Membrane Fuel Cells. J. Macromol. Sci. Part C Polym. Rev. 2007, 46, 245–296. [Google Scholar] [CrossRef]
- Chatterjee, A.; Hansora, D.P. Fabrication Techniques for the Polymer Electrolyte Membranes for Fuel Cells. In Organic–Inorganic Composite Polymer Chat Electrolyte Membranes; Inamuddin, Ed.; Springer International Publishing: Berlin/Heidelberg, Germany, 2017; pp. 359–380. [Google Scholar]
- Yurova, P.A.; Malakhova, V.R.; Gerasimova, E.V.; Stenina, I.A.; Yaroslavtsev, A.B. Nafion/Surface Modified Ceria Hybrid Membranes for Fuel Cell Application. Polymers 2021, 13, 2513. [Google Scholar] [CrossRef]
- Moster, A.L.; Mitchell, B.S. Hydration and proton conduction in Nafion/ceramic nanocomposite membranes produced by solid-state processing of powders from mechanical attrition. J. Appl. Polym. Sci. 2009, 113, 243–250. [Google Scholar] [CrossRef]
- Prikhno, I.A.; Safronova, E.Y.; Ilyin, A.B. Hybrid membranes synthesized from a Nafion powder and carbon nanotubes by hot pressing. Pet. Chem. 2017, 57, 1228–1232. [Google Scholar] [CrossRef]
- Novikova, S.A.; Safronova, E.Y.; Lysova, A.A.; Yaroslavtsev, A.B. Influence of incorporated nanoparticles on the ionic conductivity of MF-4SC membrane. Mendeleev Commun. 2010, 20, 156–157. [Google Scholar] [CrossRef]
- Yaroslavtsev, A.B.; Karavanova, Y.A.; Safronova, E.Y. Ionic Conductivity of Hybrid Membranes. Pet. Chem. 2011, 51, 473–479. [Google Scholar] [CrossRef]
- Bose, S.; Kuila, T.; Nguyen, T.X.H.; Kim, N.H.; Lau, K.; Lee, J.H. Polymer membranes for high temperature proton exchange membrane fuel cell: Recent advances and challenges. Prog. Polym. Sci. 2011, 36, 813–843. [Google Scholar] [CrossRef]
- Jin, Y.; Qiao, S.; Zhang, L.; Xu, Z.P.; Smart, S.; da Costa, J.C.D.; Lu, G.Q. Novel Nafion composite membranes with mesoporous silica nanospheres as inorganic fillers. J. Power Sources 2008, 185, 664–669. [Google Scholar] [CrossRef]
- Di Noto, V.; Gliubizzi, R.; Negro, E.; Vittadello, M.; Pace, G. Hybrid inorganic–organic proton conducting membranes based on Nafion and 5 wt.% of MxOy (M = Ti, Zr, Hf, Ta and W): Part I. Synthesis, properties and vibrational studies. Electrochim. Acta 2007, 53, 1618–1627. [Google Scholar] [CrossRef]
- Di Noto, V.; Bettiol, M.; Bassetto, F.; Boaretto, N.; Negro, E.; Lavina, S.; Bertasi, F. Hybrid inorganic-organic nanocomposite polymer electrolytes based on Nafion and fluorinated TiO2 for PEMFCs. Int. J. Hydrogen Energy 2012, 37, 6169–6181. [Google Scholar] [CrossRef]
- Battisti, M.; Andreoli, S.; Bacile, R.; Oldani, C.; Ortelli, S.; Costa, A.L.; Fornasari, G.; Albonetti, S. Aquivion® PFSA-Based Spray-Freeze Dried Composite Materials with SiO2 and TiO2 as Hybrid Catalysts for the Gas Phase Dehydration of Ethanol to Ethylene in Mild Conditions. Appl. Catal. A Gen. 2023, 654, 119065. [Google Scholar] [CrossRef]
- Xu, G.; Li, S.; Li, J.; Liu, Z.; Li, Y.; Xiong, J.; Cai, W.; Qu, K.; Cheng, H. Targeted filling of silica in Nafion by a modified in situ sol–gel method for enhanced fuel cell performance at elevated temperatures and low humidity. Chem. Commun. 2019, 55, 5499–5502. [Google Scholar] [CrossRef]
- Ye, J.; Zhao, X.; Ma, Y.; Su, J.; Xiang, C.; Zhao, K.; Ding, M.; Jia, C.; Sun, L. Hybrid Membranes Dispersed with Superhydrophilic TiO2 Nanotubes Toward Ultra-Stable and High-Performance Vanadium Redox Flow Batteries. Adv. Energy Mater. 2020, 10, 1904041. [Google Scholar] [CrossRef]
- Safronova, E.Y.; Korchagin, O.V.; Bogdanovskaya, V.A.; Yaroslavtsev, A.B. Chemical Stability of Hybrid Materials Based on Nafion® Membrane and Hydrated Oxides. Membr. Membr. Technol. 2022, 4, 414–422. [Google Scholar] [CrossRef]
- Pearman, B.P.; Mohajeri, N.; Slattery, D.K.; Hampton, M.D.; Seal, S.; Cullen, D.A. The chemical behavior and degradation mitigation effect of cerium oxide nanoparticles in perfluorosulfonic acid polymer electrolyte membranes. Polym. Degrad. Stab. 2013, 98, 1766–1772. [Google Scholar] [CrossRef]
- Ke, C.-C.; Li, X.-J.; Shen, Q.; Qu, S.-G.; Shao, Z.-G.; Yi, B.-L. Investigation on sulfuric acid sulfonation of in-situ sol–gel derived Nafion/SiO2 composite membrane. Int. J. Hydrogen Energy 2011, 36, 3606–3613. [Google Scholar] [CrossRef]
- Han, Y.; Wang, F.; Li, H.; Meng, E.; Fang, S.; Zhao, A.; Guo, D. Sulfonic SiO2 Nanocolloid Doped Perfluorosulfonic Acid Films with Enhanced Water Uptake and Inner Channel for IPMC Actuators. RSC Adv. 2019, 9, 42450–42458. [Google Scholar] [CrossRef]
- Di Noto, V.; Boaretto, N.; Negro, E.; Pace, G. New inorganic–organic proton conducting membranes based on Nafion and hydrophobic fluoroalkylated silica nanoparticles. J. Power Sources 2010, 195, 7734–7742. [Google Scholar] [CrossRef]
- Costamagna, P.; Yang, C.; Bocarsly, A.B.; Srinivasan, S. Nafion® 115/zirconium phosphate composite membranes for operation of PEMFCs above 100 °C. Electrochim. Acta 2002, 47, 1023–1033. [Google Scholar] [CrossRef]
- Bauer, F.; Willert-Porada, M. Characterisation of zirconium and titanium phosphates and direct methanol fuel cell (DMFC) performance of functionally graded Nafion(R) composite membranes prepared out of them. J. Power Sources 2005, 145, 101–107. [Google Scholar] [CrossRef]
- Alberti, G.; Casciola, M.; Capitani, D.; Donnadio, A.; Narducci, R.; Pica, M.; Sganappa, M. Novel Nafion–zirconium phosphate nanocomposite membranes with enhanced stability of proton conductivity at medium temperature and high relative humidity. Electrochim. Acta 2007, 52, 8125–8132. [Google Scholar] [CrossRef]
- Shkirskaya, S.A.; Kononenko, N.A.; Timofeev, S.V. Structural and Electrotransport Properties of Perfluorinated Sulfocationic Membranes Modified by Silica and Zirconium Hydrophosphate. Membranes 2022, 12, 979. [Google Scholar] [CrossRef]
- Kourasi, M.; Wills, R.G.A.; Shah, A.A.; Walsh, F.C. Heteropolyacids for fuel cell applications. Electrochim. Acta 2014, 127, 454–466. [Google Scholar] [CrossRef]
- Mahreni, A.; Mohamad, A.B.; Kadhum, A.A.H.; Daud, W.R.W.; Iyuke, S.E. Nafion/silicon oxide/phosphotungstic acid nanocomposite membrane with enhanced proton conductivity. J. Membr. Sci. 2009, 327, 32–40. [Google Scholar] [CrossRef]
- Amirinejad, M.; Madaeni, S.S.; Navarra, M.A.; Rafiee, E.; Scrosati, B. Preparation and characterization of phosphotungstic acid-derived salt/Nafion nanocomposite membranes for proton exchange membrane fuel cells. J. Power Sources 2011, 196, 988–998. [Google Scholar] [CrossRef]
- Xiang, Y.; Yang, M.; Zhang, J.; Lan, F.; Lu, S. Phosphotungstic acid (HPW) molecules anchored in the bulk of Nafion as methanol-blocking membrane for direct methanol fuel cells. J. Membr. Sci. 2011, 368, 241–245. [Google Scholar] [CrossRef]
- Liu, Y.; Sambasivarao, S.V.; Horan, J.L.; Yang, Y.; Maupin, C.M.; Herring, A.M. A combined theoretical and experimental investigation of the transport properties of water in a perfluorosulfonic acid proton exchange membrane doped with the heteropoly acids, H3PW12O40 or H4SiW12O40. J. Phys. Chem. C 2014, 118, 854–863. [Google Scholar] [CrossRef]
- Amirinejad, M.; Madaeni, S.S.; Rafiee, E.; Amirinejad, S. Cesium hydrogen salt of heteropolyacids/Nafion nanocomposite membranes for proton exchange membrane fuel cells. J. Membr. Sci. 2011, 377, 89–98. [Google Scholar] [CrossRef]
- Shao, Z.G.; Joghee, P.; Hsing, I.M. Preparation and characterization of hybrid Nafion–silica membrane doped with phosphotungstic acid for high temperature operation of proton exchange membrane fuel cells. J. Membr. Sci. 2004, 229, 43–51. [Google Scholar] [CrossRef]
- Li, J.L.; Fang, Q.H.; Li, S.L.; Jiang, S.P. A novel phosphotungstic acid impregnated meso-Nafion multilayer membrane for proton exchange membrane fuel cells. J. Membr. Sci. 2013, 427, 101–107. [Google Scholar]
- Lin, C.; Haolin, T.; Mu, P. Periodic Nafion-silica-heteropolyacids electrolyte t for PEM fuel cell operated near 200 °C. Int. J. Hydrogen Energy 2012, 37, 4694–4698. [Google Scholar] [CrossRef]
- Ramani, V.; Kunz, H.R.; Fenton, J.M. Investigation of Nafion®/HPA composite membranes for high temperature/low relative humidity PEMFC operation. J. Membr. Sci. 2004, 232, 31–44. [Google Scholar] [CrossRef]
- Ryu, G.Y.; Jae, H.; Kim, K.J.; Kim, H.; Lee, S.; Jeon, Y.; Roh, D.; Chi, W.S. Hollow Heteropoly Acid-Functionalized ZIF Composite Membrane for Proton Exchange Membrane Fuel Cells. ACS Appl. Energy Mater. 2023, 6, 4283–4296. [Google Scholar] [CrossRef]
- Gerasimova, E.; Saronova, E.; Ukshe, A.; Dobrovolsky, Y.; Yaroslavtsev, A. Electrocatalytic and transport properties of hybrid Nafion® membranes doped with silica and cesium acid salt of phosphotungstic acid in hydrogen fuel cells. Chem. Eng. J. 2016, 305, 121–128. [Google Scholar] [CrossRef]
- Peng, K.-J.J.; Lai, J.-Y.Y.; Liu, Y.-L.L. Nanohybrids of graphene oxide chemically-bonded with Nafion: Preparation and application for proton exchange membrane fuel cells. J. Membr. Sci. 2016, 514, 86–94. [Google Scholar] [CrossRef]
- Choo, T.F.; Saidin, N.U.; Zali, N.M.; Kok, K.Y. Hydrogen and Humidity Sensing Characteristics of Nafion, Nafion/Graphene, and Nafion/Carbon Nanotube Resistivity Sensors. JNR 2022, 24, 152. [Google Scholar] [CrossRef]
- Li, J.; Xu, G.; Cai, W.; Xiong, J.; Ma, L.; Yang, Z.; Huang, Y.; Cheng, H. Non-destructive modification on Nafion membrane via in-situ inserting of sheared graphene oxide for direct methanol fuel cell applications. Electrochim. Acta 2018, 282, 362–368. [Google Scholar] [CrossRef]
- Ijeri, V.; Cappelletto, L.; Bianco, S.; Tortello, M.; Spinelli, P.; Tresso, E. Nafion and carbon nanotube nanocomposites for mixed proton and electron conduction. J. Membr. Sci. 2010, 363, 265–270. [Google Scholar] [CrossRef]
- Lee, H.K.; Kim, Y.H.; Park, Y.; Lee, Y.J.; Gopalan, A.I.; Lee, K.-P.; Choi, S.-J. Functionalized carbon nanotube dispersion in a Nafion® composite membrane for proton exchange membrane fuel cell applications. J. Nanoelectron. Optoelectron. 2011, 6, 357–362. [Google Scholar] [CrossRef]
- Liu, L.; Li, X.; Liu, Z.; Zhang, S.; Qian, L.; Chen, Z.; Li, J.; Fang, P.; He, C. High-performance fuel cells using Nafion composite membranes with alignment of sulfonated graphene oxides induced by a strong magnetic field. J. Membr. Sci. 2022, 653, 120516. [Google Scholar] [CrossRef]
- Cele, N.P.; Sinha Ray, S.; Pillai, S.K.; Ndwandwe, M.; Nonjola, S.; Sikhwivhilu, L.; Mathe, M.K. Carbon Nanotubes Based Nafion Composite Membranes for Fuel Cell Applications. Fuel Cells 2010, 10, 64–71. [Google Scholar] [CrossRef]
- Tohidian, M.; Ghaffarian, S.R. Surface modified multi-walled carbon nanotubes and Nafion nanocomposite membranes for use in fuel cell applications. Polym. Adv. Technol. 2018, 29, 1219–1226. [Google Scholar] [CrossRef]
- Chien, H.C.; Tsai, L.D.; Huang, C.P.; Kang, C.Y.; Lin, J.N.; Chang, F.C. Sulfonated graphene oxide/Nafion composite membranes for high-performance direct methanol fuel cells. Int. J. Hydrogen Energy 2013, 38, 13792–13801. [Google Scholar] [CrossRef]
- Saccardo, M.C.; Zuquello, A.G.; Tozzi, K.A.; Gonçalves, R.; Hirano, L.A.; Scuracchio, C.H. Counter-ion and humidity effects on electromechanical properties of Nafion®/Pt composites. Mater. Chem. Phys. 2020, 244, 122674. [Google Scholar] [CrossRef]
- Kudashova, D.S.; Falina, I.V.; Kononenko, N.A.; Demidenko, K.S. Physicochemical Properties and Performance Characteristics of Perfluorinated Membranes Bulk Modified with Platinum during Operation in Proton Exchange Membrane Fuel Cell. Membr. Membr. Technol. 2023, 5, 18–26. [Google Scholar] [CrossRef]
- Escudero-Cid, R.; Montiel, M.; Sotomayor, L.; Loureiro, B.; Fatás, E.; Ocón, P. Evaluation of polyaniline-Nafion® composite membranes for direct methanol fuel cells durability tests. Int. J. Hydrogen Energy 2015, 40, 8182–8192. [Google Scholar] [CrossRef]
- Zabolotskii, V.I.; Protasov, K.V.; Sharafan, M.V. Sodium chloride concentration by electrodialysis with hybrid organic-inorganic ion-exchange membranes: An investigation of the process. Russ. J. Electrochem. 2010, 46, 979–986. [Google Scholar] [CrossRef]
- Zabolotskii, V.I.; Demina, O.A.; Protasov, K.V. Capillary model of electroosmotic transport of the free solvent through ion-exchange membranes. Russ. J. Electrochem. 2014, 50, 412–418. [Google Scholar] [CrossRef]
- Safronova, E.Y.; Yaroslavtsev, A.B. Synthesis of MF-4SC composite membranes exhibiting an anisotropic distribution of zirconia and ion transport asymmetry. Pet. Chem. 2015, 55, 862–865. [Google Scholar] [CrossRef]
- Berezina, N.P.; Kononenko, N.A.; Filippov, A.N.; Shkirskaya, S.A.; Falina, I.V.; Sycheva, A.A.-R. Electrotransport properties and morphology of MF-4SK membranes after surface modification with polyaniline. Russ. J. Electrochem. 2010, 46, 485–493. [Google Scholar] [CrossRef]
- Lysova, A.A.; Stenina, I.A.; Gorbunova, Y.G.; Yaroslavtsev, A.B. Preparation of MF-4SC composite membranes with the anisotropic distribution of polyaniline and ion-transport asymmetry. Polym. Sci. Ser. B 2011, 53, 35–41. [Google Scholar] [CrossRef]
- Kononenko, N.A.; Dolgopolov, S.V.; Berezina, N.P.; Loza, N.V.; Lakeev, S.G. Asymmetry of voltammetric characteristics of perfluorinated MF-4SK membranes with polyaniline-modified surface. Russ. J. Electrochem. 2012, 48, 857–861. [Google Scholar] [CrossRef]
- Berezina, N.P.; Shkirskaya, S.A.; Kolechko, M.V.; Popova, O.V.; Senchikhin, I.N.; Roldugin, V.I. Barrier effects of polyaniline layer in surface modified MF-4SK/Polyaniline membranes. Russ. J. Electrochem. 2011, 47, 995–1005. [Google Scholar] [CrossRef]
- Protasov, K.V.; Shkirskaya, S.A.; Berezina, N.P.; Zabolotskii, V.I. Composite sulfonated cation-exchange membranes modified with polyaniline and applied to salt solution concentration by electrodialysis. Russ. J. Electrochem. 2010, 46, 1131–1140. [Google Scholar] [CrossRef]
- Berezina, N.P.; Kononenko, N.A.; Sytcheva, A.A.-R.; Loza, N.V.; Shkirskaya, S.A.; Hegman, N.; Pungor, A. Perfluorinated nanocomposite membranes modified by polyaniline: Electrotransport phenomena and morphology. Electrochim. Acta 2009, 54, 2342–2352. [Google Scholar] [CrossRef]
- Kolechko, M.V.; Filippov, A.N.; Shkirskaya, S.A.; Timofeev, S.V.; Berezina, N.P. Synthesis and diffusion permeability of MF-4SK/polyaniline composite membranes with controlled thickness of the modified layer. Colloid J. 2013, 75, 289–296. [Google Scholar] [CrossRef]
- Safronova, E.Y.; Prikhno, I.A.; Pourcelly, G.; Yaroslavtsev, A.B. Asymmetry of Ion Transport in Hybrid MF-4SC membranes with a gradient distribution of hydrated Zirconia. Pet. Chem. 2013, 53, 632–636. [Google Scholar] [CrossRef]
- Lysova, A.A.; Stenina, I.A.; Gorbunova, Y.G.; Kononenko, N.A.; Yaroslavtsev, A.B. The polyaniline/MF-4SK composite systems with modified surface layer. Russ. J. Electrochem. 2011, 47, 579–585. [Google Scholar] [CrossRef]
- Osipov, A.K.; Volkov, A.O.; Safronova, E.Y.; Yaroslavtsev, A.B. Ion transfer asymmetry in Nafion membranes with gradient distribution of acid salts of heteropoly acids. Russ. J. Inorg. Chem. 2017, 62, 723–728. [Google Scholar] [CrossRef]
- Thuc, V.D.; Cong Tinh, V.D.; Kim, D. Simultaneous improvement of proton conductivity and chemical stability of Nafion membranes via embedment of surface-modified ceria nanoparticles in membrane surface. J. Membr. Sci. 2022, 642, 119990. [Google Scholar] [CrossRef]
- Nam, L.V.; Choi, E.; Jang, S.; Kim, S.M. Patterned Mesoporous TiO2 Microplates Embedded in Nafion® Membrane for High Temperature/Low Relative Humidity Polymer Electrolyte Membrane Fuel Cell Operation. Renew. Energy 2021, 180, 203–212. [Google Scholar] [CrossRef]
- Karavanova, Y.A.; Kas’Kova, Z.M.; Veresov, A.G.; Yaroslavtsev, A.B. Diffusion properties of bilayer membranes based on MC-40 and MF-4SC modified with silicon and zirconium oxides. Russ. J. Inorg. Chem. 2010, 55, 479–483. [Google Scholar] [CrossRef]
- Yurova, P.A.; Karavanova, Y.A.; Gorbunova, Y.G.; Yaroslavtsev, A.B. Transport properties of asymmetric ion-exchange membranes based on MC-40, MF-4SC, and polyaniline. Pet. Chem. 2014, 54, 551–555. [Google Scholar] [CrossRef]
- Gil, V.V.; Andreeva, M.A.; Jansezian, L.; Han, J.; Pismenskaya, N.D.; Nikonenko, V.V.; Larchet, C.; Dammak, L. Impact of heterogeneous cation-exchange membrane surface modification on chronopotentiometric and current–voltage characteristics in NaCl, CaCl2 and MgCl2 solutions. Electrochim. Acta 2018, 281, 472–485. [Google Scholar] [CrossRef]
- Mani, A.; Wang, K.M. Electroconvection Near Electrochemical Interfaces: Experiments, Modeling, and Computation. Annu. Rev. Fluid Mech. 2020, 52, 509–529. [Google Scholar] [CrossRef]
- Belasova, E.D.; Melnik, N.A.; Pismenskaya, N.D.; Shevtsova, K.A.; Nebavsky, A.V.; Lebedev, K.A.; Nikonenko, V.V. Overlimiting mass transfer through cation-exchange membranes modified by Nafion film and carbon nanotubes. Electrochim. Acta 2012, 59, 412–423. [Google Scholar] [CrossRef]
- Yurova, P.A.; Stenina, I.A.; Yaroslavtsev, A.B. The Effect of the Cation-Exchange Membranes MK-40 Modification by Perfluorinated Sulfopolymer and Ceria on Their Transport Properties. Russ. J. Electrochem. 2020, 56, 528–532. [Google Scholar] [CrossRef]
- Gil, V.; Porozhnyy, M.; Rybalkina, O.; Butylskii, D.; Pismenskaya, N. The development of electroconvection at the surface of a heterogeneous cation-exchange membrane modified with perfluorosulfonic acid polymer film containing titanium oxide. Membranes 2020, 10, 125. [Google Scholar] [CrossRef] [PubMed]
- Gil, V.V.; Porozhnyy, M.V.; Rybalkina, O.A.; Sabbatovskiy, K.G.; Pismenskaya, N.D. Influence of Titanium Dioxide Particles Percentage in Modifying Layer on Surface Properties and Current-Voltage Characteristics of Composite Cation-Exchange Membranes. Membr. Membr. Technol. 2021, 3, 334–343. [Google Scholar] [CrossRef]
- Gil, V.V.; Porozhnyy, M.V.; Rybalkina, O.A.; Sabbatovskiy, K.G.; Nikonenko, V.V. Modification of a heterogeneous cation-exchange membrane by Ti-Si based particles to enhance electroconvection and mitigate scaling during electrodialysis. Electrochim. Acta 2021, 391, 138913. [Google Scholar] [CrossRef]






| Processing Type | Processing Conditions | Initial Material | Proton Conductivity | Measurement Conditions | Distinctive Features | Ref. | |
|---|---|---|---|---|---|---|---|
| Modified Membrane | Initial Membrane | ||||||
| Hot pressing | 1335 N at a temperature of 135 °C for 20 min | Nafion 212 | the in-plane conductivity: 160 mS/cm | the in-plane conductivity: 120 mS/cm | 60 °C 100% RH * | Anisotropic conductivity: σin-plane/σthru-plane ≈ 1.3 | [91] |
| Chemical pre-treatment | heated in 0.5 M H2SO4 at 80 °C for 1 h | Nafion re-casted Nafion XL | 22.76 mS/cm 55.44 mS/cm | 4.89 mS/cm 50.55 mS/cm | 25 °C | The pretreated membranes have higher water uptake, dimensional swelling ratios, and higher hydrophilicity, while the untreated membrane demonstrates a higher ion-exchange capacity. | [94] |
| heated in DI * water at 80 °C for 1 h | Nafion Nafion XL | 12.17 mS/cm 50.92 mS/cm | 4.89 mS/cm 50.55 mS/cm | ||||
| heated in 7 M HNO3 (HNO3:H2O = 1:1) at 80 °C for 30 min and in 1 M H2SO4 at 80 °C for 30 min | Nafion™ NR212 | 90 mS/cm | 105 mS/cm | 80 °C 100% RH | The untreated membrane has better stability of proton conductivity over time and the lower H2 crossover. | [96] | |
| heated in 5 vol.% H2O2 at 80 °C for 30 min and boiled in 1 M H2SO4 for 30 min | Nafion™ NR212 | 106 mS/cm | 105 mS/cm | ||||
| Thermal treatment | heated at 30, 70 and 100 °C for 24 h in vacuum | Nafion 117 | ~190 mS/cm (30–70 °C) ~160 mS/cm (100 °C) | ~190 mS/cm | 80 °C in DI water | The drying temperature affects the reorganization within the ionic domains and proton conductivity. There is a significant decrease in the ionic aggregate size and a greater distance between aggregates with the increase in the treatment temperature. | [97] |
| heated at 80 and 100 °C | MF-4SC | 7.9 mS/cm (80 °C) 8.5 mS/cm (100 °C) | 15.2 mS/cm | 30 °C in DI water | Thermal treatment is accompanied by irreversible changes in the membrane matrix affecting the system of hydrophilic pores and channels. | [63] | |
| heated at 90 °C and RH 60/95% | MF-4SC-K+ form | 3.5 mS/cm (RH 95%) 1.7 mS/cm (RH 60%) | 5.3 mS/cm | 30 °C in DI water | |||
| annealed at 120, 160, 200, and 240 °C under dry N2 for 1 h | Nafion with thickness 10, 30, 50 and 200 nm | 5.9 mS/cm (200 nm, 240 °C) 2.7 mS/cm (50 nm, 240 °C) 1.1 mS/cm (10 nm, 240 °C) | 23 mS/cm (200 nm) 7.9 mS/cm (50 nm) 2.3 mS/cm (10 nm) | 25 °C 80% RH | Both the morphology and proton transport properties of the films were significantly changed after annealing of the films above the cluster transition temperature. For thin films, the smaller the thickness, the higher the temperature required to change the morphology. | [98] | |
| annealed for 20 h at temperatures from 80 to 220 °C | Aquivion-type polymer Nafion NR212 as reference sample | 63 mS/cm (Aq 100) 100 mS/cm (Aq 120) 115 mS/cm (Aq 140) 135 mS/cm (Aq 170) 35 mS/cm (Aq 200) | 120 mS/cm | 50 °C 100% RH | Annealing of membranes at Tan = 170 ± 5 °C is optimal to achieve the best mechanical properties and proton conductivity | [99] | |
| Hydrothermal treatment | Treatment in chamber with water at 140 °C | MF-4SC | 18.5 mS/cm | 15.2 mS/cm | 30 °C in DI water | Treatment under hydrothermal conditions deteriorates the selectivity of cation transport | [63] |
| Aging at 80 °C and RH 80% | Nafion 212 | 18 mS/cm after 300 days of aging | 77 ± 1 mS/cm | Room temperature in DI water | The increase in the water content and RH accelerates the aging process. The decrease in the gas permeability coefficients observed for the aged membranes in comparison with that observed for the neat membranes. | [92,100] | |
| US treatment | US treatment of the polymer solution before casting from 10 min to 24 h | Nafion solution | Maximum: 45 min US, 100% RH ~40 mS/cm; 30 min US, 32% RH ~7.5 mS/cm After 1440 min US ~31 mS/cm (100% RH) ~5 mS/cm (32% RH) | 28 mS/cm (RH 100%) ~5.5 mS/cm (RH 32%) | 30 °C in DI water and RH 32% | The dependence of conductivity of the membranes in the protonic form against the duration of sonication is not monotonic and pass the maximum at 30–45 min. | [101] |
| low-frequency US treatment for 1 to 60 min and power from 2.7 to 9.4 W | Nafion | 0.040 S/cm (10 min, 5.2 W) 0.024 S/cm (10 min, 9.4 W) | 28 mS/cm | 30 °C at RH 100% (in DI water) | The dependences of the proton conductivity of membranes on the power of ultrasonic treatment and its duration pass through a maximum at 5.2 W and 10 min. | [102] | |
| Dopant | Initial Material | Proton Conductivity | Measurement Conditions | Method of Particle Introduction | Ref. | |
|---|---|---|---|---|---|---|
| Modified Membrane | Initial Membrane | |||||
| SiO2 | Nafion 212 | 33 mS/cm | 24 mS/cm | 110 °C RH 60% | The “swelling-filling” strategy of dopant introducing | [127] |
| Nafion 115 | 63 mS/cm (MeOH); 65 mS/cm (EtOH) 60 mS/cm (i-PrOH) | 58 mS/cm | 80 °C RH 100 % | In-situ synthesis of nanoparticles in different sol-gel media | [128] | |
| Nafion 212 | ~32 mS/cm | ~17 mS/cm | 80 °C RH 60% | In-situ sol-gel synthesis | [129] | |
| Nafion | ~140 mS/cm (water vapor) ~120 mS/cm (ethanol vapor) | ~210 mS/cm (water vapor) ~80 mS/cm (EtOH vapor) | 100 °C Under water and ethanol vapor | Casting of polymer dispersion with mesoporous silica | [130] | |
| CeO2 | Nafion | 6 mS/cm (0.5 wt.% CeNT *) 4.8 mS/cm (1.0 wt.% CeNT) 5.1 mS/cm (1.5 wt.% CeNT) | 4.1 mS/cm (recast Nafion) 4.0 mS/cm (Nafion NRE-212) | 80 °C RH 20% | Casting of polymer dispersion with nanoporous CeO2 nanotubes | [131] |
| MF-4SC | ~25 mS/cm (1.3 wt.% CeO2) ~32 mS/cm (4.2 wt.% CeO2) ~42 mS/cm (5.5 wt.% CeO2) | ~16 mS/cm | 25 °C RH 32% | Casting of polymer dispersion with precursor for dopant synthesis | [132] | |
| Nafion | ~18 mS/cm (1–5% CeO2) | 8 mS/cm | 60 °C RH 25% | Casting of polymer dispersion with the self-assembled Nafion–CeO2 nanoparticles | [133] | |
| ZrO2 | Nafion | ~40 mS/cm (2.5 wt.% ZrO2) ~47 mS/cm (5 wt.% ZrO2) ~50 mS/cm (7.5 wt.% ZrO2) | ~30 mS/cm (recast Nafion) ~44 mS/cm (Nafion 117) | 100 °C RH 100% | Casting of polymer dispersion with ZrO2 nanoparticles | [134] |
| TiO2 | Nafion | ~37 mS/cm (16 vol.% dopant) | ~100 mS/cm | 100 °C RH 100% | In-situ formation of titanate nanotubes and nanorods | [135] |
| SiO2 with sulfonated surface | Nafion 212 | 17 mS/cm (RH 20%) 70 mS/cm (RH 60%) | 12 mS/cm (RH 20%) 25 mS/cm (RH 60%) | 110 °C RH 20–60% | In-situ sulfonation of Nafion/SiO2 membranes obtained with a “swelling-filling” strategy | [136] |
| TiO2 with sulfonated surface | Nafion | 110 mS/cm (10 wt.% TiO2-S) | ~40 mS/cm | 140 °C RH 100% | Casting of polymer dispersion with sulfonated TiO2 nanoparticles | [137] |
| SiO2 with surface modified by groups with different nature | MF-4SC | 36 mS/cm (3 wt.% SiO2/10 mol.% amino-groups) 25 mS/cm (3 wt.% SiO2/10 mol.%—(3-(2-imidazolin-1-yl)-propyl) groups) 90 mS/cm (3 wt.% SiO2/10 mol.% perfluorododecyl groups) | 22 mS/cm | 35 °C RH 100% | Casting of polymer dispersion with modified SiO2 nanoparticles | [138] |
| Acidic zirconium phosphate (ZrP) | Nafion 117 | 42 mS/cm (2.5 wt.% ZrP) 18 mS/cm (5 wt.% ZrP) 12 mS/cm (7.5 wt.% ZrP) | 35 mS/cm | 60 °C RH 70% | Impregnation method of hybrid membrane synthesis | [139] |
| Phosphotungstic acid/silica | Nafion 212 | 58 mS/cm | 25 mS/cm | 110 °C RH 60% | In-situ synthesis of PWA/SiO2 particles | [140] |
| MxH3−xPW12O40 and MxH4−xSiW12O40 (M = Rb and Cs) | Nafion | 48.5 mS/cm (RbxH3–xPW12O40) 45.5 mS/cm (CsxH3−xPW12O40) 61.6 mS/cm (RbxH4−xSiW12O40) 68.9 mS/cm (CsxH4−xSiW12O40) | 39.5 mS/cm | 40 °C RH 100% | Casting of polymer dispersion with 3 wt.% dopant | [141] |
| Graphene oxide | Nafion | 17.3 mS/cm (0.5 wt.% dopant) | ~5.5 mS/cm | 80 °C RH 20% | Casting of polymer dispersion with dopant | [142] |
| Sulfonic acid functionalized CNT | Nafion | 8 mS/cm (0.125 wt.% dopant) 23 mS/cm (0.25 wt.% dopant) 6 mS/cm (0.5 wt.% dopant) | 2 mS/cm | 60 °C RH 20% | Casting of polymer dispersion with dopant | [143] |
| Modified CNT | Nafion | ~115 mS/cm (1 wt.% CNT and CNT@SiO2) ~123 mS/cm (1 wt.% CNT@SiO2-PWA) Reduced methanol permeability and enhanced selectivity for all hybrid membranes. | ~123 mS/cm | 60 °C | Casting of polymer dispersion with multiwalled CNT, CNTs, silicon oxide-covered carbon nano- tubes (CNT@SiO2) and phosphotungstic superacid-doped silicon oxide-covered carbon nanotubes (CNT@SiO2-PWA) | [144] |
| surface-sulfonated CNT | MF-4SC | 5.5 mS/cm (1 wt.% CNT-SO3H) 4.4 mS/cm (1 wt.% CNT) | 2.2 mS/cm | 25 °C RH 32% | Casting of polymer dispersion with CNT and CNT-SO3H | [145] |
| Ag nanoparticles | MF-4SC | ~40 mS/cm (10–12% Ag) | ~13 mS/cm | 80 °C RH 100% | In-situ synthesis of Ag nanoparticles | [146] |
| PEDOT | Nafion 117 | ~8.7 mS/cm | ~8 mS/cm | 85 °C RH 30% | In-situ chemical polymerization | [147] |
| PANI * | Nafion 112 | 10 mS/cm (polymerization in water) 20 mS/cm (polymerization in i-PrOH) | 100 mS/cm | 25 °C aqueous solution 2.5 M H2SO4 | In-situ chemical polymerization in water or i-PrOH | [148] |
| PANI | Nafion 115 | 77.9 mS/cm (in-plane) 33 mS/cm (through-plane) | 86.2 mS/cm (in-plane) 92 mS/cm (through-plane) | The in-plane ionic conductivity was measured in water, through-plane conductivity was measured in acid. | Multi-layered polyaniline/Nafion membranes | [149] |
| Modification Method | |
| In-situ | Particle size of 3–7 nm; Dopant amount of 0.5–6 wt.% Limited range of dopants |
| Casting | Particle size of 3–15 nm (casting in the presence of precursor) and larger (casting in the presence of prepared nanoparticles) Possibility of increasing the dopant content Possibility of a broader choice of dopants |
| Dopant surface properties | |
| Enabling proton-donor capability | An increase in the number of charge carriers increases the moisture content, conductivity (especially at low humidity), and cation transport selectivity. |
| Enabling proton-acceptor capability | Binding of some of the sulfonic acid groups can lead to a decrease in proton conductivity and an increase in cation transport selectivity. |
| Increasing hydrophobicity | Possible localization in the hydrophilic region when obtained by casting in the presence of the precursor. Possible increase in conductivity and selectivity. |
| The shape of dopant particles | |
| Spherical | Particles are formed in the pores of the membranes (in situ) or the pores form around them (casting) |
| Extended (nanotubes or nanofibers) | It can be localized in both the hydrophilic and hydrophobic regions. Contribute to an increased strength |
| Localization of dopant | |
| Hydrophilic region | Changes in the sorption and transport properties of membranes. |
| Hydrophobic region | Weak impact on the sorption and transport properties of hybrid membranes. Possibility of improving mechanical properties. |
| Hydrophilic and hydrophobic regions simultaneously | Probable effects on tensile strength along with changes in the sorption and transport properties of membranes |
Disclaimer/Publisher’s Note: The statements, opinions and data contained in all publications are solely those of the individual author(s) and contributor(s) and not of MDPI and/or the editor(s). MDPI and/or the editor(s) disclaim responsibility for any injury to people or property resulting from any ideas, methods, instructions or products referred to in the content. |
© 2023 by the authors. Licensee MDPI, Basel, Switzerland. This article is an open access article distributed under the terms and conditions of the Creative Commons Attribution (CC BY) license (https://creativecommons.org/licenses/by/4.0/).
Share and Cite
Safronova, E.Y.; Lysova, A.A.; Voropaeva, D.Y.; Yaroslavtsev, A.B. Approaches to the Modification of Perfluorosulfonic Acid Membranes. Membranes 2023, 13, 721. https://doi.org/10.3390/membranes13080721
Safronova EY, Lysova AA, Voropaeva DY, Yaroslavtsev AB. Approaches to the Modification of Perfluorosulfonic Acid Membranes. Membranes. 2023; 13(8):721. https://doi.org/10.3390/membranes13080721
Chicago/Turabian StyleSafronova, Ekaterina Yu., Anna A. Lysova, Daria Yu. Voropaeva, and Andrey B. Yaroslavtsev. 2023. "Approaches to the Modification of Perfluorosulfonic Acid Membranes" Membranes 13, no. 8: 721. https://doi.org/10.3390/membranes13080721
APA StyleSafronova, E. Y., Lysova, A. A., Voropaeva, D. Y., & Yaroslavtsev, A. B. (2023). Approaches to the Modification of Perfluorosulfonic Acid Membranes. Membranes, 13(8), 721. https://doi.org/10.3390/membranes13080721

