Next Article in Journal
3D-CFD Modeling of Hollow-Fiber Membrane Contactor for CO2 Absorption Using MEA Solution
Previous Article in Journal
Computational Insights into the Interaction of the Conserved Cysteine-Noose Domain of the Human Respiratory Syncytial Virus G Protein with the Canonical Fractalkine Binding site of Transmembrane Receptor CX3CR1 Isoforms
Previous Article in Special Issue
Electro-Driven Materials and Processes for Lithium Recovery—A Review
 
 
Font Type:
Arial Georgia Verdana
Font Size:
Aa Aa Aa
Line Spacing:
Column Width:
Background:
Review

Recent Advances and Challenges in Anion Exchange Membranes Development/Application for Water Electrolysis: A Review

by
Lu Liu
1,
Hongyang Ma
1,2,*,
Madani Khan
2 and
Benjamin S. Hsiao
2
1
State Key Laboratory of Organic-Inorganic Composites, Beijing University of Chemical Technology, Beijing 100029, China
2
Department of Chemistry, Stony Brook University, Stony Brook, NY 11794-3400, USA
*
Author to whom correspondence should be addressed.
Membranes 2024, 14(4), 85; https://doi.org/10.3390/membranes14040085
Submission received: 2 February 2024 / Revised: 27 February 2024 / Accepted: 22 March 2024 / Published: 5 April 2024
(This article belongs to the Collection Feature Papers in Membrane Processing and Engineering)

Abstract

In recent years, anion exchange membranes (AEMs) have aroused widespread interest in hydrogen production via water electrolysis using renewable energy sources. The two current commercial low-temperature water electrolysis technologies used are alkaline water electrolysis (AWE) and proton exchange membrane (PEM) water electrolysis. The AWE technology exhibited the advantages of high stability and increased cost-effectiveness with low hydrogen production efficiency. In contrast, PEM water electrolysis exhibited high hydrogen efficiency with low stability and cost-effectiveness, respectively. Unfortunately, the major challenges that AEMs, as well as the corresponding ion transportation membranes, including alkaline hydrogen separator and proton exchange membranes, still face are hydrogen production efficiency, long-term stability, and cost-effectiveness under working conditions, which exhibited critical issues that need to be addressed as a top priority. This review comprehensively presented research progress on AEMs in recent years, providing a thorough understanding of academic studies and industrial applications. It focused on analyzing the chemical structure of polymers and the performance of AEMs and established the relationship between the structure and efficiency of the membranes. This review aimed to identify approaches for improving AEM ion conductivity and alkaline stability. Additionally, future research directions for the commercialization of anion exchange membranes were discussed based on the analysis and assessment of the current applications of AEMs in patents.

Graphical Abstract

1. Introduction

The globally escalating energy demand, exponential growth in greenhouse gas emissions, and the gradual depletion of fossil fuels constitute one of humanity’s most formidable challenges [1]. Hydrogen, a “zero-carbon emission” renewable resource, achieves efficient conversion between electrical and hydrogen energy via water electrolysis technology. Simultaneously, it overcomes the instability and intermittency of solar and wind power generation, enabling large-scale energy conversion and storage. Therefore, the electrolysis of water for hydrogen production using renewable resources is attracting widespread interest [2,3,4]. Hydrogen plays a crucial role in human industrial life, continuously increasing global demand for hydrogen gas, with a current production that exceeds 70 million tons per year. However, over 95% of hydrogen is produced via steam methane reforming (SMR), resulting in substantial carbon dioxide emissions and severe environmental pollution [5,6].
Alkaline water electrolysis (AWE) was first commercially available in the 1970s and was regarded as the only established technology for hydrogen production. Nevertheless, PEM water electrolysis was developed rapidly and recently moved into a primary commercial stage. The conventional separator used for AWE (i.e., the diaphragm) was woven porous polyphenylene sulfide (PPS) fabrics, governed by Toray in the market, and was outstanding with high resistance against highly concentrated alkaline aqueous solutions (e.g., 6 M KOH) at a temperature of above 110 °C for about eight years. The advantages of AWE water electrolysis are long-term stability and low cost for the chosen separator and catalyst. However, the high hydrogen production efficiency (>70%, achieving 75% with a 25 μm thick Nafion212 membrane [7]) demands high air resistance and ionic conductivity, promoting the development of PEM membranes in water electrolysis.
Proton exchange membrane (PEM) water electrolysis offers high hydrogen production efficiency by replacing the porous separator with a nonporous PEM membrane where H+ is transported through the membrane via an ion exchange mechanism. The air resistance of the membrane was enhanced by its nonporous structure, which served as an electrolyte instead of 6 M KOH in AWE and was swollen in an aqueous environment. However, the disadvantage of the PEM is mainly due to the membrane materials where only perfluorosulfonic acid (PFSA) could be used to fabricate the membrane, which is not economically sustainable.
Therefore, green energy conversion devices with increased cost-effectiveness (the cost of nickel-based catalysts being one-thousandth and eight-thousandth of platinum and iridium catalyst costs, respectively [8]) and high hydrogen efficiency (>65%) [9] such as anion exchange membrane water electrolysis in addition to AWE and PEM devices, driven by renewable energy sources, have received significant attention and booming drastically which were reviewed comprehensively [10].

1.1. Water Electrolysis Technology

Water electrolysis technology is a technique that converts water into hydrogen and oxygen gases using electricity at a relatively low temperature. It is an electrochemical water-splitting technology that enables zero-emission hydrogen production [11]. The basic reaction of water electrolysis is represented by Equation (1).
H 2 O + E l e c t r i c i t y   237.2   K J m o l 1 + H e a t   48.6   K J m o l 1 H 2 + 1 2 O 2
Depending on the method of electrolyte used, electrolysis cells can be classified into three common types: alkaline water electrolysis, PEM water electrolysis, and anion exchange membrane (AEM) water electrolysis [12].

1.2. Alkaline Water Electrolysis

The principal layout of an AWE is shown in Figure 1A.
Two metal-based electrodes (Ni and Fe) are immersed in the electrolyte (20–30% KOH solution) separated by a membrane [16]. The circulating KOH electrolyte provides the necessary alkaline environment. The porous membrane serves as a separator to isolate the cathode and anode while facilitating the conduction of OH- and preventing the gas crossover.
AWE is a well-known commercialized low-temperature electrolysis technology that does not require platinum-based metal catalysts. In these systems, the membranes are typically made out of porous materials, including ceramic oxides such as asbestos and potassium titanate or polymers like polypropylene and polysulfide [17]. These materials are cost-effective, and their hydrogen can achieve up to 99% purity. However, membranes suffer from drawbacks such as poor gas tightness, high surface resistance, low hydrogen production efficiency (59–70%), and poor alkaline stability [12,18,19]. These deficiencies significantly reduce the performance of the electrolysis cell. Therefore, the preparation of AEM meets production standards, but like many other systems, it still has room for improvement.

1.3. PEM Water Electrolysis

In contrast to AWE, PEM water electrolysis has advantages such as high ion conductivity (0.1 S/cm), low ohmic losses (maximum achievable current density approximately 2 mA/cm2), and minimal gas crossover. This technology is relatively mature and widely applied, but it is still on the way to being commercialized [18]. The basic setup of PEMWE is illustrated in Figure 1B, where a PEM (i.e., Nafion membrane) separates the two half-cells, and the electrodes are typically directly mounted on the membrane.
However, the corrosive acidic environment provided by the proton exchange membranes increases the cost of PEMWE due to the demand for precious metal catalysts made of iridium and platinum [14]. Additionally, the reliance of proton exchange membranes on fluorinated polymers leads to the emission of fluorocarbon gases during their production, causing severe environmental impact [20].

1.4. AEM Water Electrolysis

AEM water electrolysis has been extensively researched as an alternative approach to tackle the challenges with AWE and PEM mentioned above. They allow the use of non-precious metal catalysts, and AEMs are cost-effective, significantly reducing production costs. Additionally, AEMs exhibit good gas tightness and eliminate gas crossover, resulting in hydrogen purity as high as 99.99%, making them a key component determining the performance of the electrolyzer [21].
Therefore, AEMWE represents a low-temperature water electrolysis technology that combines the advantages of both AWE and PEMWE [14,22]. The basic layout is depicted in Figure 1C.
The main components of an AEMWE cell include the anion exchange membrane (AEM), gas diffusion layer, electrocatalysts, and current collector [23].
The electrolysis of water consists of two separate half-cell reactions, including the hydrogen evolution reaction (HER) at the cathode and the oxygen evolution reaction (OER) at the anode. In the HER process, the sluggish kinetics of OER is the primary factor limiting the overall water electrolysis performance. To reduce overpotential, besides developing highly active catalysts for both HER and OER, AEMs need to exhibit excellent ion conductivity [24].
In contrast, PEM possesses advantages such as high hydrogen production efficiency, high ion conductivity, excellent gas tightness, and stability. However, PEM based on perfluorosulfonic acid resin is costly. Therefore, PEMWE cannot be widely used for large-scale, global hydrogen production [14]. Most importantly, PEMWE relies on fluorinated polymers and emits fluorocarbon gases during production, causing significant environmental impact [20]. As a low-temperature water electrolysis technology that combines the advantages of AWE and PEMWE, AEMWE has proven to be more efficient and can operate without noble metal catalysts in a less alkaline electrolyte environment, providing critical advantages. However, AEMWE is still an evolving technology, and efforts are needed to narrow the efficiency and lifespan gap compared to PEMWE before commercialization [24,25].
Due to the higher stability of PEM, PEMWE exhibits a longer lifespan (up to 5000 h), a hydrogen production efficiency of 57%, a high current density of 1–3 A/cm2, and a lower area-specific resistance (approximately 68 mΩ∙cm2). The primary challenge for the current PEMWE is reducing production costs. Although AWE is a well-known technology with a hydrogen production efficiency close to 60%, it still faces challenges that cannot be overcome at present, such as a low maximum current density (0.2–0.4 A/cm2), difficulty operating under high-pressure differentials (1–30 bar, whereas PEMWE operates at 30–76 bar), and slow response times [18,26,27,28].
AEMWE technology is relatively new, and to achieve widespread application, several key issues need to be addressed, such as long-term stability and high current density (currently 0.2–1 A/cm2) [29]. Although many AEMs have achieved an ion conductivity of 0.1 S/cm at 60–80 °C, the durability of AEMs at this temperature (less than 1000 h) remains a significant challenge [5]. Until recently, single-cell AEMWEs could operate for thousands of h at 60 °C and a current density of 1 A/cm2. Currently, AEMs must meet a minimum ion conductivity target of 0.1 S/cm and an area-specific resistance target of less than 70 mΩ∙cm2 [26].
Some challenges remain for AEMs: (1) overcoming the alkaline stability limitations of most AEMs; (2) reducing the area-specific resistance of AEMs; and (3) further increasing ion conductivity.
Therefore, a comprehensive analysis of AEM will be conducted in this review, ranging from molecular engineering to in situ performance evaluation, mainly based on the research directions revealed by the anatomy of currently available patents, to outline the future development of AEM considering the existing obstacles (Figure 2).

2. Progress in Academic Research of Anion Exchange Membrane

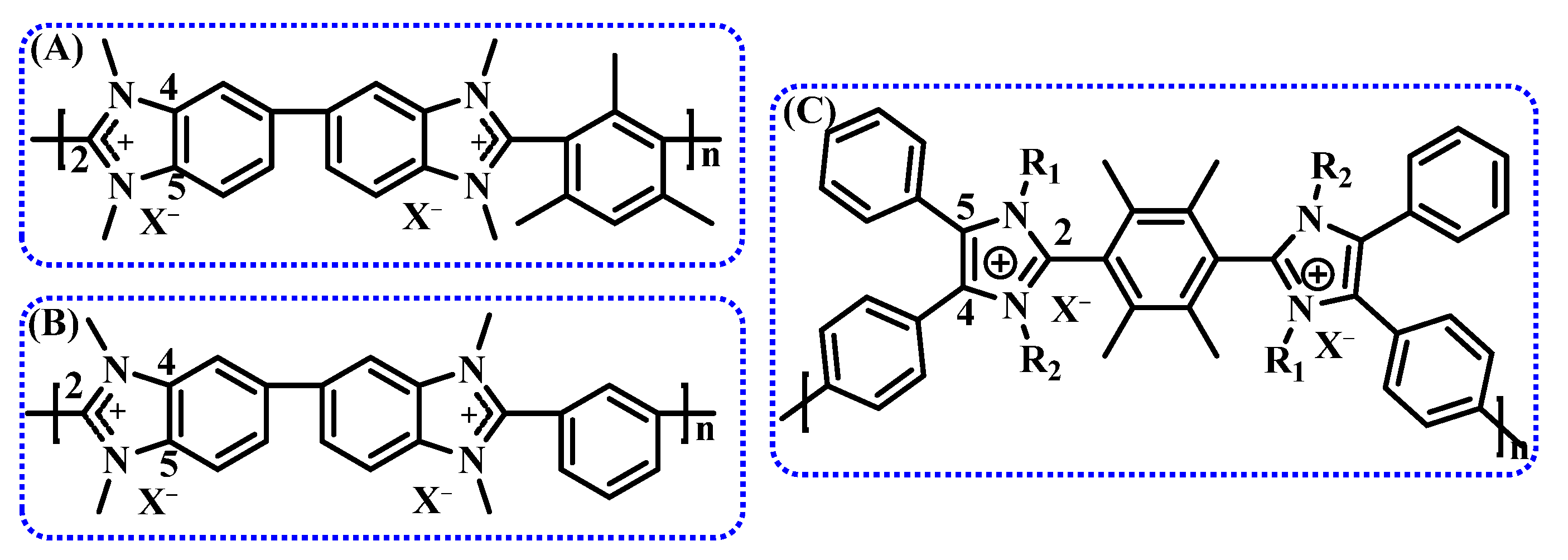
AEM comprises a polymer backbone and cationic functional groups, serving as the core of AEMWE systems and a crucial component determining the performance and lifespan of AEMWE [30]. The polymer backbone’s performance dictates AEMs’ mechanical and thermal stability, requiring good membrane-forming ability, excellent mechanical and chemical properties, and high alkaline resistance to meet preparation and usage demands. Typical polymer backbones include polybenzimidazole (PBI) [31,32], polyether ether ketone (PEEK) [33], polysulfone (PSF) [34,35,36], polystyrene (PS) [37,38,39], polyphenylene ether (PPO) [32,40,41,42], and polyolefins [43], as shown in Figure 3.
Common cationic functional groups include trimethylamine (TMA) [31,38], imidazolium (TMI) [32,44], pyridinium (PYR), piperidinium (PIP) [45,46], quaternary ammonium groups [47], 6-Azonia-spiro[5.5]undecane (ASU) [48,49,50,51], and quaternary phosphonium [52], which offer the function of anion exchange to the AEM via electrostatic interaction in water electrolysis, as shown in Figure 4.
In a water electrolysis cell, AEM plays a role in ion conduction while preventing the crossover of hydrogen and oxygen. The ideal characteristics for AEM required in water electrolysis cells include high OH- conductivity, long-term alkaline stability, low dimensional expansion, and the ability to prevent gas crossover [21].
Over the past decade, research has predominantly focused on other traditional water electrolysis technologies, such as AWE, with relatively less emphasis on AEMWE due to the major concern regarding the stability of the AEMs. Additionally, due to the lower OH- migration rate, the ion conductivity of AEM is much lower than that of PEM. Most AEMWE exhibits a sharp decline in performance after extended operation periods [49,53] because of the degradation of AEM under alkaline conditions; even commercial AEMs fail to achieve long-term durability exceeding 3000 h at 1 A/cm2 [23].
The historically lower ion conductivity and alkaline stability of AEM have been significant barriers to the commercialization of AEMWE. Hence, there is an urgent need to develop AEMs with high alkaline stability and ion conductivity for water electrolysis. Researchers are exploring methods to enhance alkali stability by delving into degradation mechanisms.

2.1. Degradation Mechanisms

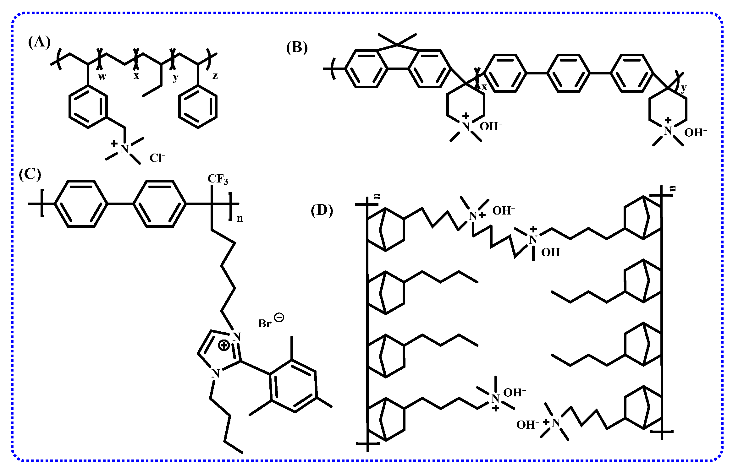
Cationic functional groups in AEMs have been extensively studied, with current research primarily focusing on quaternary ammonium (QA) groups. QA salts, like trimethylalkylammonium, exhibit good ion conductivity and are easy to synthesize in AEMs. The degradation of QA groups in alkaline environments is mainly attributed to Hofmann elimination and OH- attacking N-alkyl via nucleophilic attack (SN2 substitution reaction), as illustrated in Figure 5 [15,54,55].
It was systematically studied on the alkaline stability of many different QA cations under the same conditions (e.g., 10 M NaOH solution, 160 °C). The alkaline stability order obtained was ASU > N-methylpiperidinium (MPIP) ≈ N-methylpyrrolidinium (MPY) > TMA > TMI. Except for a few cations, most QAs exhibited good alkaline stability. Among them, piperidine-based ASU had the highest half-life. At the same time, imidazolium TMI showed the poorest alkaline stability [56], probably due to the inherent ring tension of pyridinium cations, which makes them exhibit high resistance under high-temperature and alkaline conditions. The stability is further reduced when there are heteroatoms or other electron-withdrawing groups. Due to the almost complete lack of spatial shielding or substituents with an electron-inductive effect, aromatic-based QA has the fastest decomposition rate. This result has also been confirmed in other studies [57].
In addition to cationic functional groups, the structure of the polymer backbone is another crucial factor in assessing the alkaline stability of AEM. Among various reported polymer backbones, those containing aromatic ether groups (such as PPO, PSF, PEEK, etc.) have garnered significant attention due to their excellent overall performance, ease of preparation, and good mechanical properties [58,59,60,61].
In another study, the degradation mechanisms of anion exchange membranes based on PSF backbones have been investigated. It was proposed that functionalization at the benzyl position of polysulfone leads to the exposure of the polymer backbone to alkaline solutions, resulting in the hydrolysis of quaternary carbon and ether bonds. Figure 6 illustrates these two degradation mechanisms. Therefore, it is speculated that connecting the cationic groups to the PSF backbone using alkyl chains can enhance stability [62].
Polymer backbones with aromatic ether groups, such as polysulfone and polyarylether, accelerate the degradation of the main chain due to the introduction of C-O bonds. However, C-O bonds allow the polymer backbone to rotate freely, ensuring excellent mechanical properties and solubility. Therefore, polymers containing C-O bonds remain the most used polymer backbones even though there is a problem of alkaline instability.
Due to the awareness of the susceptibility of polymer backbones containing aromatic ether groups to degradation in alkaline environments, many researchers shifted their focus on polymer backbones without aromatic ether, such as polyolefins, PS, or the synthesis of non-aromatic ether polymer backbones via coupling [63], addition [64], acid-catalyzed Friedel–Crafts hydroalkylation [65], and other reactions.

2.2. Strategies to Improve AEM Alkaline Stability

Currently, various types of AEMs have been developed, and progress in enhancing alkaline stability has driven the advancement of AEMWE [66]. The attempts were focused on both the cationic functional groups and polymer backbones, considering the degradation mechanism, i.e., β-H elimination and SN2 substitution.

2.2.1. Cationic Functional Groups

Methods to improve the alkaline stability of cationic functional groups include (1) designing structures without β-H to inhibit Hofmann elimination [67,68,69]; (2) increasing steric hindrance around the cationic functional groups to protect AEM from attack by OH- [70,71]; and (3) introducing electron-donating groups near the cationic functional groups to prevent their vulnerability to OH- attack due to electron deficiency [72,73,74].
The Hofmann elimination is the most likely the major degradation pathway for cationic functional groups [75]. Therefore, one promising method to enhance alkaline stability is to design structures without or with the least amount of β-H to inhibit Hofmann elimination, thereby improving the stability of cationic functional groups. A good example is shown in the structure in Figure 7. Due to the elimination of β-H, the polysulfone AEM with this structure maintains unchanged ion conductivity after soaking in a 1 M NaOH solution at 80 °C for 5 days, and after 10 days, the conductivity remains at 95% of the original level [76].
While enhancing the alkaline stability of AEM by substituting β-H can offer some improvement, degradation can still occur due to other mechanisms, such as the previously mentioned SN2 substitution. This involves a direct nucleophilic attack by OH- on the nitrogen atom of the quaternary ammonium group and the degradation of the polymer backbone [5]. It is indicated that improving the alkaline stability of cationic functional groups is more beneficial for enhancing AEM alkaline stability compared to the stability at the C2 position [77]. Therefore, increasing the steric hindrance around cationic functional groups has also become an effective approach to enhance the stability of QA.
Taking imidazolium as an example, benzyl-protected benzimidazolium cations at the C2 position (structures A and B in Figure 8) exhibit excellent alkaline stability (i.e., half-life > 5000 h). The enhanced steric hindrance at the C2 position of the benzimidazolium group hinders nucleophilic attack by OH-, effectively inhibiting ring-opening degradation [78]. The benzimidazolium protected by structure B remains stable for an extended period in a 1 M hydroxide solution at 80 °C but degrades more rapidly under high-temperature and highly corrosive conditions. After soaking in a 5 M NaOH solution at 80 °C for one week, a 60% degradation is observed [79]. To explore this phenomenon, the impact of substituent characteristics and positions on the chemical stability of imidazolium cations was systematically evaluated. It is found that substituent characteristics and positions significantly influence the overall stability of cations. Specifically, imidazolium cations with substitutions at the C2 position can effectively inhibit ring-opening degradation, with the most effective being the 2,6-dimethylphenyl substitution. Methyl or phenyl substitutions at the C4 and C5 positions further enhance the stability of cationic groups [75,80].
A novel polyaromatic imidazolium compound with spatial protection (structure C in Figure 8) was reported recently. After soaking in 10 M KOH at 80 °C for 240 h, the imidazolium group maintained 97.7%, with a half-life of 8000 h, showcasing outstanding stability. The stability increases with the length of the N-alkyl chain in the molecular structure. However, due to the reduced water content, the energy barrier for ion transport increases, resulting in an ion conductivity of only 12 mS/cm at 80 °C [69].
In summary, increasing steric hindrance can effectively enhance the alkaline stability of AEMs, where multiple substituents prevent nucleophilic substitution and ring-opening degradation. However, this concurrently reduces the ion conductivity of OH-. Since most studies on imidazolium substitution patterns are typically limited to commercially available imidazolium, it is necessary to develop new synthetic routes to attach alkali-stable novel imidazolium cations to polymers.
Introducing electron-donating spacer groups in the side chain can increase the electron cloud density around the benzyl carbon, exhibiting a higher energy barrier for the degradation of the QA group and thus enhancing the alkaline stability of the cationic functional group [79]. N-spirocyclic quaternary ammonium-functionalized side chains with flexible ether spacers via the Williamson reaction were synthesized. The constrained-ring conformation of the N-spirocyclic cation and the electron-donating effect of the ether spacer endowed the polyaromatic imide AEM with excellent alkaline stability. After immersing in 1 M KOH solution at 80 °C for 720 h, the conductivity remained at 95.6% of the original value, significantly improving the alkaline stability of the AEM [81]. Additionally, introducing flexible ether bonds in the side chain promoted the aggregation of N-spirocyclic cations, resulting in a high OH- ion conductivity (85.7 mS/cm at 80 °C). Furthermore, the alkaline stability of polyphenyl ether AEM with flexible alkyl side chains constructed via the Suzuki reaction was confirmed. After immersing the AEM in 1 M NaOH solution at 60 °C for 168 h, the OH- conductivity remained around 90% of the original conductivity [82].
It is a new approach to enhancing the alkaline stability of cationic functional groups that involves using cyclic cations as quaternary ammonium groups. These cyclic ammonium cations still primarily degrade via nucleophilic substitution via an opening mechanism under alkaline conditions. However, due to their ring tension, five-membered rings exhibit higher alkaline stability than six-membered and seven-membered rings. This is because, in general, larger rings tend to degrade via Hofmann elimination reactions, while smaller rings degrade only via opening substitution reactions [83].
It is foreseeable that the integrated application of these strategies is expected to improve the stability of anion exchange membranes under alkaline conditions, thereby promoting the development of electrolysis technologies.

2.2.2. Polymer Backbones

As discussed before, anion exchange membrane (AEM) alkaline stability is primarily determined by the cationic functional groups and the polymer main chain. In addition to the type and structure of cations, the composition of the polymer backbone is crucial, greatly affecting AEMs’ mechanical and chemical stability [84]. It is found via density functional theory (DFT) calculations and in situ degradation experiments that AEMs based on polyarylether exhibit lower stability compared to those without ether in the polyarylene backbone [85]. Therefore, for polymer main chains, ether-free aromatic backbones are the preferred choice in structural design. Examples include polyarylene [63,86], polyfluorene [86,87], and polyolefin-type polymers [36,88], which have been extensively studied and demonstrate excellent chemical and thermal stability.
Therefore, in designing durable and high-performance polymers, it is essential to consider the physical and chemical properties of the polymer’s main chain [89]. Friedel–Crafts condensation is a common synthetic method used to prepare ether-free main chains. A polyfluorene main chain (Structure A in Figure 9) via Friedel–Crafts condensation and connected to quinuclidine ring cations using a hexyl spacer was synthesized and explored the effects of polymer main chain on the alkaline stability of the AEM. This AEM exhibits excellent alkaline stability, showing no evidence of any ring-opening degradation after 672 h in a 2 M NaOH solution at 80 °C, with less than 2% Hofmann elimination [90].
Moreover, a polyfluorene-based polymer without aromatic ethers using the Suzuki cross-coupling reaction was fabricated, which has pendant ammonium groups on the side chain and propyl spacers on the main chain, as shown in Structure B in Figure 9. Introducing propyl spacers into the main chain enhances the flexibility of the polymer and allows it to form ion clusters effectively. This AEM exhibits not only good alkaline stability (80 °C, 1 M KOH, 720 h) but also excellent ion conductivity (122 mS/cm, 80 °C) [91].
Additionally, ion-solvating membranes are gaining increasing attention as another effective method to enhance alkaline stability in the field of water electrolysis [92,93,94]. An article published in 2023 demonstrated that ion-solvating membranes, prepared from alkali-stable ammonium network precursors and ion-solvating polymer matrices, exhibit excellent alkaline stability. Under conditions of 70 °C and 1 M KOH, the alkaline stability exceeds 300 h, as shown in the article. Short-term durability tests also indicate superior durability compared to commercial AEMs [95]. Excellent alkaline stability and ion conductivity of ion-solvating membranes based on PBI polymers were also confirmed in another study. After immersion in an 80 °C, 8 M KOH solution for 1000 h, the conductivity of the PBI anion exchange membrane remained at 89% of the initial conductivity [96]. Therefore, ion-solvating membranes represent one of the effective methods for preparing long-lasting AEMs.
Therefore, various methods have been employed to synthesize aryl-based main chains without ethers to overcome the instability issue of main chains containing electron-withdrawing groups under alkaline conditions. These methods include acid-catalyzed Friedel–Crafts condensation [94], Diels–Alder reaction [97], and metal-catalyzed coupling reactions [63], contributing significantly to the improvement in alkaline stability in AEMs.

2.3. Ion Conductivity of AEM

Various anion exchange membranes for water electrolysis were designed and fabricated to improve the ion conductivity of the membranes. Most of these membranes are main-chain-type AEMs, where cationic functional groups are directly and randomly distributed along the polymer backbone. However, due to the constraints imposed by the polymer main chain, the movement space of ion exchange groups is limited, preventing the formation of an effective aggregated structure and resulting in lower ion conductivity [98,99].
AEMs’ high ion conductivity can be achieved by increasing the ion exchange capacity (IEC); however, a high IEC leads to elevated water uptake and swelling, consequently reducing the mechanical strength of the membrane. Research indicates that microphase-separated AEMs offer a promising approach to developing AEMs with high conductivity and low swelling [100]. The hydrophilic regions form continuous ion transport channels, facilitating OH- transport, while the hydrophobic regions effectively suppress excessive membrane swelling [101].
Currently, there are three main types of AEM structures that can self-assemble into well-defined microphase-separated structures: dense functional group-type AEMs, side-chain-type AEMs, and block copolymer-type AEMs.
For dense functional group-type AEMs, the cationic functional groups are typically concentrated in a specific polymer segment or structural unit, forming hydrophilic ionic clusters that induce the formation of hydrophilic/hydrophobic microphase separation. This establishes connected ion transport channels, enhancing ion conductivity [98]. To achieve a dense functional group arrangement, monomers containing functionalized groups are often polymerized and then modified to create segments or structural units with a high density of cationic functional groups. A monomer with six methyl groups was introduced into a polysulfone backbone via condensation reactions, creating an anion exchange membrane with pendant imidazolium groups. The locally high functional group density of such membranes facilitates the aggregation of groups, promoting the formation of microphase-separated structures. Results showed that a membrane with an ion exchange capacity (IEC) of 2.2 meq/g exhibited an ion conductivity of 29 mS/cm at 60 °C. While this represents an improvement over non-dense AEMs, the ion conductivity is still relatively low, and the alkaline resistance is poor, as evidenced by significant swelling and gel formation after 7 h in a 1 M NaOH solution at 40 °C [102].
It was shown that introducing flexible side chains facilitates the formation of a microphase-separated structure, enhancing ion transport efficiency while suppressing water swelling in AEM and strengthening its alkaline stability [81,82]. Side-chain-type PPO anion exchange membranes with varying spacer lengths via a one-pot Wittig reaction were prepared successfully. The induced microphase separation from the spacer resulted in a membrane exhibiting low water swelling, high ion conductivity (99.5 mS/cm at 80 °C), and excellent chemical stability in an alkaline environment at 80 °C, especially at low IEC values [103]. This is attributed to the microphase-separated structure induced by the long side chains between the polymer main chain and the ion exchange groups.
Furthermore, introducing alkyl spacer groups between the polymer main chain and the cationic functional groups significantly enhances OH- conductivity. When the IEC is equivalent, at 80 °C, the ion conductivity increases from 12 mS/cm to 64 mS/cm compared to AEM without spacer groups [104]. By regulating the length of the alkyl chain, it was found that, under similar IEC conditions, the ion conductivity is highest when the alkyl chain consists of 6 carbon atoms (62.7 mS/cm, 80 °C) [105]. This is because, with a shorter spacer, the mobility of the ion exchange groups is insufficient, making it difficult to form effective ion transport channels. On the other hand, when the spacer is too long, the decrease in hydrophilicity caused by the side chain is unfavorable for OH- transport.
Block copolymer AEMs have received significant attention due to the fact that these membranes consist of two or more segments with different compositions and properties. The hydrophilic/hydrophobic differences between the segments facilitate the construction of efficient ion transport channels. Moreover, the longer the hydrophilic segment within the membrane, the more developed the ion transport channels formed, leading to higher conductivity [106].
Fluorine-terminated oligomers and hydroxyl-terminated oligomers were employed to prepare a multi-block AEM containing fluorenyl groups, and its chemical structure is shown in Figure 10 A. Due to its distinct microphase-separated structure, the ion conductivity of this membrane reaches up to 144 mS/cm at 80 °C (IEC = 1.93 meq/g), approximately 3.2 times higher than that of a random-type AEM with a similar IEC (IEC = 1.88 meq/g) [107]. Despite its higher conductivity, the membrane, with quaternary ammonium groups located at the benzyl position, is susceptible to attack and degradation by OH-, resulting in poor alkaline resistance. Moreover, a poly (arylene ether sulfone) block copolymer was synthesized via a series of reactions, including pre-condensation, block copolymerization, bromomethylation, and Menshutkin reactions (Structure B in Figure 10) and employed to prepare AEM. This membrane effectively avoids Hofmann elimination caused by β-H, thereby enhancing the stability of the membrane. It was demonstrated that the AEM based on this block copolymer exhibited a well-defined microphase-separated morphology, with the highest ion conductivity reaching 86.3 mS/cm [106].
Although block copolymer AEMs easily form well-defined microphase-separated structures, constructing efficient ion transport pathways, block copolymers are inherently polydisperse, making it generally challenging to precisely control the microstructure of AEMs. Additionally, block copolymer AEMs tend to have higher water uptake, resulting in lower mechanical performance [108].
In summary, enhancing the hydrophilic/hydrophobic contrast between the polymer main chain and cationic side chains, coupled with the introduction of flexible side chains, further increases the freedom of movement and aggregation of ion exchange groups. This enables the construction of well-defined ion transport pathways, ultimately leading to an improvement in the ion conductivity of AEMs.

2.4. Other Strategies to Enhance AEM Ion Conductivity

Organic–inorganic hybridization provides another viable strategy for enhancing the performance of AEM by generating highly conductive nanoclusters within the membrane [109]. AEMs prepared using well-conductive inorganic nanofillers not only improve ion conductivity but also enhance membrane thermal stability and mechanical properties. This causes organic–inorganic hybrid composite membranes to have broad application prospects in the field of water electrolysis.
Common inorganic nanomaterials include titanium dioxide (TiO2) [110,111], graphene oxide (GO) [112,113,114], carbon nanotubes (CNT) [115], and metal-organic frameworks (MOF) [116], among others. These nanomaterials are typically subjected to functionalization and modification treatments before blending into films with functionalized or non-functionalized polymer main chains. Due to the abundant active sites on the surface and internal pores of inorganic nanomaterials are conducive to functionalization, thereby effectively enhancing the conductivity of AEM [110].
It has been shown that blending core–shell nanoparticles composed of SiO2 and densely functionalized polystyrene (PS) (70 wt%) with a polysulfone matrix to form a film that results in an AEM with remarkably high ion conductivity (188.1 mS/cm, 80 °C). This is attributed to the spatial confinement effect of SiO2, which causes the abundant conductive groups to aggregate in the functionalized PS “shell,” forming continuous ion transport channels. However, due to the high filler loading, inorganic particles tend to agglomerate. With increasing filler content, the aggregation becomes more pronounced, leading to structural defects in the membrane and a sharp decrease in mechanical strength [117].
Therefore, while organic–inorganic hybridization can effectively enhance the performance of AEM, excessive addition of inorganic particles leads to agglomeration, disrupting the homogeneous structure of the membrane, causing the formation of pores, and in severe cases, resulting in the crossover of H2/O2 gases. Hence, strict optimization of the amount of inorganic filler is required when employing this method.

2.5. Mechanical Properties of AEM

Additionally, to balance the ion conductivity and dimensional stability of AEM, the use of crosslinking agents to create a crosslinked network structure within the polymer can restrain excessive swelling of AEM, effectively improving its mechanical strength. This method has gained attention due to its simple preparation.
Commonly used crosslinking agents include diamines [118], piperazine [100,118,119,120], dithiols [121,122], etc. A PSF anion exchange membrane crosslinked with 4,4-trimethylenedipiperidine (TMDP) was fabricated, and the effects of crosslinking on the stability were explored. In a comparative experiment on alkaline stability, this AEM demonstrated excellent stability in 1 M KOH aqueous solution at 60 °C for 15 days, while the non-crosslinked polysulfone AEM became very brittle within 24 h. Furthermore, the crosslinked AEM exhibited outstanding dimensional stability compared to the non-crosslinked PSF anion exchange membrane, with the tensile strength increasing from 22.98 MPa to 35.07 MPa, attributed to the formation of a dense internal network structure [123]. Therefore, crosslinking can be a viable strategy for improving polymer main chain defects, especially in terms of mechanical properties.
In one research, poly(ethylene-co-tetrafluoroethylene) copolymers were crosslinked with dithiols via UV-induced thiol-ene click reactions, followed by quaternization to prepare crosslinked AEMs. The results showed that the tensile strength of the crosslinked membrane with an IEC content of 2.68 mmol/g reached nearly 40 MPa, with a fracture elongation of 23% [121]. In another study, quaternized PPO-based AEMs prepared using the same method demonstrated chemical and dimensional stability. After soaking in 4 M NaOH at 80 °C for 500 h, the crosslinked membrane maintained significantly higher hydroxide ion conductivity compared to the uncrosslinked AEM (uncrosslinked AEM decreased by 73.1%, while crosslinked AEM decreased by 52%) [124]. To address the balance between ion conductivity and stability of AEMs, crosslinked AEMs were developed using poly(phenylene-co-benzimidazole) as the backbone and dithiols as crosslinking agents, exhibiting improved mechanical properties (tensile strength increased from 25.51 MPa to 39.76 MPa, fracture elongation increased from 13.81% to 18.34%) and dimensional stability (swelling ratio < 15%) [122]. The tensile strength was measured at 48.4 MPa, with a fracture elongation of 50.8%.
AEMs based on polybenzimidazole (PBI) crosslinked with polyvinylbenzyl chloride (PVBC) exhibited lower water uptake (48% at 80 °C) and swelling ratio (11% at 80 °C). The supporting effect of PBI and the crosslinking structure endowed the membrane with good mechanical properties (tensile strength of 37.5 MPa) [120]. Thus, crosslinking is an effective method to enhance the dimensional stability of AEMs. These data are summarized in Table 1.
In general, the poor alkaline stability and low ion conductivity of AEM are the main challenges for reducing energy losses and ohmic voltage drops in AEMWE. Thus, ether-free main chains are the preferred choice for AEM structure design, and selecting suitable functional groups to construct ion transport channels is an effective strategy to promote faster ion transport and enhance ion conductivity.
All the above discussions focus on the academic research works in the field of the development of AEMs. Further, exploring the perspective of already published patents on the most promising commercially viable AEM research directions would be equally important.

3. Progress in Patent Research of Anion Exchange Membranes

Anion exchange membranes have a wide range of applications, such as water purification processes [123,126], electrodialysis [127,128,129], biosensor [130], and water electrolysis [131,132]. The first anion exchange membrane was developed by scientists at the Tokuyama Soda Company in Japan using crosslinked divinylbenzene and trimethylamine quaternization of polyvinyl chloride [133]. The common method for preparing anion exchange membranes in patents is to introduce side chains containing cation exchange groups (such as ammonium, imidazolium, and quaternary ammonium groups) onto the polymer main chain via chemical or physical irradiation methods [134,135].

3.1. Composite Membranes

Composite membranes have become one of the main research topics due to their excellent properties against pristine membranes [136,137,138,139]. Typically, functional additives such as ion exchange polymers, metal oxides, graphene, carbon nanotubes, etc., are coated or impregnated into porous substrates [140,141] or nanofiber networks [141], such as polytetrafluoroethylene, poly (vinylidene fluoride), polyethylene, etc. Composite AEMs prepared by this method exhibit high ion conductivity, excellent size stability, and alkali resistance [142,143,144].
As of now, composite membranes made of organic polymers and inorganic fillers have been widely described in journals and patents [134,142,143,144,145,146,147]. As early as 1999, a patent described the blending of ionomer solutions with silicates to form a composite membrane [148]. By 2002, the first reports of organic phases being in an ionic state and composite membranes obtained via covalent crosslinking had emerged. The composite membrane, obtained by blending a metal salt (such as ZrOCl2) with a polymer solution containing crosslinking groups, exhibited excellent mechanical and thermal stability, as well as good ion conductivity [149].
In addition to polymer blending, electrospinning technology has also been applied to prepare AEMs. Two polymer fibers are electrospun separately to form nanofiber mats, and one of the polymer nanofiber mats is heated to fill the gaps in the other polymer nanofiber mat. This method avoids multiple impregnation steps for porous fiber and can fill the pores, but the membrane’s durability still needs improvement [150]. In a patent published in the same year, ion exchange polymers were impregnated into a nanofiber network [151]. The ion conductivity of this composite membrane exceeded 80 mS/cm, significantly enhancing the performance of AEMs and addressing the collapse/void issues of porous substrates.
To improve alkaline stability, copolymerization has become a preferred research direction. For example, a triblock anion exchange membrane synthesized by copolymerizing styrene, ethylene, and propylene, followed by chloromethylation and quaternization, can be used in systems such as fuel cells, electrolysis, and flow batteries; the main chain structure is shown in Figure 11A [152]. Additionally, an AEM prepared from repeating units of vinylbenzyl trimethylammonium salt, styrene, and divinylbenzene exhibits good alkaline stability. Particularly, the addition of plasticizers, polyvinylidene fluoride, and other additives significantly enhances the ion exchange capacity, ion conductivity, mechanical properties, chemical properties, and processing performance of the anion exchange membrane while also offering cost reduction advantages [138].

3.2. Ether-Free Main Chains

Most commercially available AEMs are based on crosslinked polystyrene or copolymers of styrene and divinylbenzene. However, these materials lack sufficient stability at high pH values. In recently reported patents [153,154,155], some innovators have synthesized polymers with specific groups, such as polyfluorene or other non-ether polymers (Figure 11B), via condensation or super acid-catalyzed polyhydroxy alkylation reactions. Crosslinking is used to reduce membrane swelling and enhance mechanical stability, or stability of the cationic functional groups is improved via conjugation and electron-donating effects. A patent published in 2014 reveals that an anion exchange membrane, obtained by introducing N-vinylimidazole into a non-ether polymer main chain via radiation polymerization and quaternizing the side chains with halogenated alkane, demonstrates excellent alkaline stability by preventing nucleophilic substitution and elimination reactions [156]. Furthermore, the chemical stability and mechanical properties of the polyaromatic alkyl main chain or polyaromatic crown ether main chain have been confirmed in other patent studies (Figure 11C) [157]. In comparison to traditional AEMs, these non-ether main-chain AEMs exhibit lower water uptake and swelling and demonstrate excellent alkaline stability at high pH values.
The ideal characteristics of an AEM not only include excellent alkaline stability but also the presence of effective hydroxide ion transport channels. Despite significant progress in the past decade, there is still considerable room for development in the performance of AEMs compared to PEMs [158].

3.3. Microphase-Separated Structure

To promote the transport of hydroxide ions, the construction of microphase-separated structures has become a focus in many patents as an effective method to enhance hydroxide ion conductivity. It has been observed that the formation of block copolymers aids in achieving phase separation within the polymer, facilitating the creation of high-mobility ion transport channels within the membrane [159]. For example, a hydrophobic polysulfone main chain and a hydrophilic polyethylene oxide undergo simultaneous quaternization reactions, creating a phase-separated structure with both hydrophilic and hydrophobic regions within the membrane. This formation results in a double continuous region that constitutes ion transport channels, facilitating the transport of ions [157]. Furthermore, in a patent disclosed in 2022, a block copolymer of poly-cycloolefin (Figure 11D) synthesized from various functionalized norbornene monomers exhibited remarkable ion conductivity (198 mS/cm at 80 °C) [160]. However, compared to non-block copolymers, the synthesis of block copolymers is more challenging and complex.
Designing polymer materials into a comb-like structure, where pendant side chains are connected to cationic functional groups, facilitates the construction of a hydrophilic/hydrophobic microphase-separated structure with a simple synthesis method. In the current patent [161], it has been observed that the ion conductivity of the comb-like PBI anion exchange membrane obtained via this method reaches 76.3 mS/cm at 80 °C. Although this PBI anion exchange membrane exhibits excellent conductivity, its water uptake is as high as 298.5%, severely impacting the size stability of the membrane.
As discussed, besides alkaline stability and high ion conductivity, maintaining mechanical integrity is crucial, and mild crosslinking helps control water uptake and enhance mechanical stability. In several patents, AEMs crosslinked via physical or chemical means demonstrate exceptionally high mechanical and chemical stability. For example, covalent crosslinking using polyethylene glycol terminated with epoxy groups reduces swelling, thereby improving mechanical stability [162]. Alternatively, films of poly(acrylamide-co-dimethylallyl chloride)-crosslinked with glutaraldehyde, about 20 μm thick, exhibit stable chemical and mechanical properties [163]. Interestingly, in composite AEMs composed of a surface layer with a crosslinked structure and an anion exchange membrane matrix, when the crosslinked portion carries an opposite charge to the cationic functional groups of the ion exchange membrane, it not only enhances the stability of the AEM but also improves the membrane’s ion selectivity, attributed to the charge repulsion at the surface layer [164].
Crosslinking is considered a direct approach to improving the mechanical and physicochemical properties of anion exchange membranes [162,165,166,167,168]. High mechanical stability is particularly crucial for thin (<50 μm) AEMs and AEM water electrolysis operations under high-pressure differentials. However, improper application of crosslinking may lead to deteriorating AEM performance. For instance, the use of long-chain crosslinking agents can induce AEM crystallization, thereby compromising various physicochemical properties, such as reducing hydrophilicity [169].
Nevertheless, AEMs still face major challenges, such as hydrogen production efficiency, long-term stability, and cost-effectiveness under operating conditions. Therefore, non-ether main chains and suitable functional groups are the preferred choices to enhance stability, and constructing a microphase-separated structure to form continuous ion transport channels is one of the most effective strategies to improve ion conductivity.

4. Conclusions and Outlook

In summary, to address the key factors limiting large-scale electrolytic hydrogen production, such as low hydrogen production efficiency, poor long-term stability, and low ion conductivity of AEMs in water electrolysis, this review provides an overview of recent research progress in anion exchange membranes. It focuses on analyzing methods to enhance AEM ion conductivity and alkaline stability. Additionally, by examining patents and the current application status of AEMs, the review identifies challenges and potential solutions in practical AEM water electrolysis production, aiming to achieve efficient and green hydrogen production.
Thanks to the current ideas, AEM has made significant progress and has achieved substantial advancements in various dimensions, ranging from molecular design to laboratory-scale trials. High ion conductivity exceeding 100 mS/cm and alkaline stability exceeding 1000 h have been achieved [170]. The future trends of AEM are becoming evident, although the development of hydrogen production at the pilot scale is still in progress. The main challenges for AEM currently are alkaline stability and ion conductivity.
Several potential future trends in AEM design have emerged:
  • Ether-free polyaromatic main chains and N-cyclic quaternary ammonium are expected to meet the stability requirements of AEM.
  • Systematic studies of microphase separation structures at the molecular level, using molecular simulations to predict substance transport within the membrane, are likely to advance AEM development.
  • AEM still requires sufficient ion exchange capacity to achieve high-performance AEMWE, and the reliability of hydrophilic/hydrophobic microphase separation structures remains crucial.
Achieving high-performance AEM materials is still in the early stages, and further developments in pilot-scale hydrogen production are needed. Subsequent efforts will focus on advancing large-scale processing and low-cost manufacturing to meet the applications in global energy systems.

Author Contributions

Conceptualization, H.M.; Methodology, L.L. and H.M.; Formal analysis, L.L.; Data curation, L.L.; Writing—original draft, L.L.; Writing—review & editing, H.M. and M.K.; Supervision, H.M. and B.S.H.; Project administration, H.M.; Funding acquisition, H.M. All authors have read and agreed to the published version of the manuscript.

Funding

This research was funded by National Natural Science Foundation of China, grant number 51673011, and State Key Laboratory of Organic-Inorganic Composites, Beijing University of Chemical Technology, grant number oic-202001002.

Institutional Review Board Statement

Not applicable.

Informed Consent Statement

Not applicable.

Data Availability Statement

No new data were created or analyzed in this study. Data sharing is not applicable to this article.

Conflicts of Interest

The authors declare no conflict of interest.

References

  1. Lee, S.A.; Choi, S.; Kim, C.; Yang, J.W.; Kim, S.Y.; Jang, H.W. Si-Based Water Oxidation Photoanodes Conjugated with Earth-Abundant Transition Metal-Based Catalysts. ACS Mater. Lett. 2020, 2, 107–126. [Google Scholar] [CrossRef]
  2. Rogelj, J.; Schaeffer, M.; Meinshausen, M.; Knutti, R.; Alcamo, J.; Riahi, K.; Hare, W. Zero Emission Targets as Long-Term Global Goals for Climate Protection. Environ. Res. Lett. 2015, 10, 105007. [Google Scholar] [CrossRef]
  3. Park, Y.S. High-Performance Anion Exchange Membrane Alkaline Seawater Electrolysis. J. Mater. Chem. A 2021, 9, 9586–9592. [Google Scholar] [CrossRef]
  4. Vincent, I.; Kruger, A.; Bessarabov, D. Development of Efficient Membrane Electrode Assembly for Low Cost Hydrogen Production by Anion Exchange Membrane Electrolysis. Int. J. Hydrogen Energy 2017, 42, 10752–10761. [Google Scholar] [CrossRef]
  5. Du, N.; Roy, C.; Peach, R.; Turnbull, M.; Thiele, S.; Bock, C. Anion-Exchange Membrane Water Electrolyzers. Chem. Rev. 2022, 122, 11830–11895. [Google Scholar] [CrossRef]
  6. Lee, B.; Heo, J.; Kim, S.; Sung, C.; Moon, C.; Moon, S.; Lim, H. Economic Feasibility Studies of High Pressure PEM Water Electrolysis for Distributed H2 Refueling Stations. Energy Convers. Manag. 2018, 162, 139–144. [Google Scholar] [CrossRef]
  7. Villagra, A.; Millet, P. An analysis of PEM water electrolysis cells operating at elevated current densities. Int. J. Hydrogen Energy 2019, 44, 9708–9717. [Google Scholar] [CrossRef]
  8. Li, Q.; Villarino, A.M.; Peltier, C.R.; Macbeth, A.J.; Yang, Y.; Kim, M.-J.; Shi, Z.; Krumov, M.R.; Lei, C.; Rodríguez-Calero, G.G.; et al. Anion Exchange Membrane Water Electrolysis: The Future of Green Hydrogen. J. Phys. Chem. C 2023, 127, 7901–7912. [Google Scholar] [CrossRef]
  9. Lopez, V.M.; Ziar, H.; Haverkort, J.W.; Zeman, M.; Isabella, O. Dynamic operation of water electrolyzers: A review for applications in photovoltaic systems integration. Renew. Sustain. Energy Rev. 2023, 182, 113407. [Google Scholar] [CrossRef]
  10. Yang, B.; Cunman, Z. Progress in Constructing High-Performance Anion Exchange Membrane: Molecular Design, Microphase Controllability and In-Device Property. Chem. Eng. J. 2023, 457, 141094. [Google Scholar] [CrossRef]
  11. Singh, M.R.; Xiang, C.; Lewis, N.S. Evaluation of Flow Schemes for Near-Neutral pH Electrolytes in Solar-Fuel Generators. Sustain. Energy Fuels 2017, 1, 458–466. [Google Scholar] [CrossRef]
  12. Chi, J.; Yu, H. Water Electrolysis Based on Renewable Energy for Hydrogen Production. Chin. J. Catal. 2018, 39, 390–394. [Google Scholar] [CrossRef]
  13. Tong, W.; Forster, M.; Dionigi, F.; Dresp, S.; Sadeghi Erami, R.; Strasser, P.; Cowan, A.J.; Farràs, P. Electrolysis of Low-Grade and Saline Surface Water. Nat. Energy 2020, 5, 367–377. [Google Scholar] [CrossRef]
  14. Santoro, C.; Lavacchi, A.; Mustarelli, P.; Di Noto, V.; Elbaz, L.; Dekel, D.R.; Jaouen, F. What Is Next in Anion-Exchange Membrane Water Electrolyzers? Bottlenecks, Benefits, and Future. ChemSusChem 2022, 15, e202200027. [Google Scholar] [CrossRef]
  15. Hagesteijn, K.F.L.; Jiang, S.; Ladewig, B.P. A Review of the Synthesis and Characterization of Anion Exchange Membranes. J. Mater. Sci. 2018, 53, 11131–11150. [Google Scholar] [CrossRef]
  16. Buttler, A.; Spliethoff, H. Current Status of Water Electrolysis for Energy Storage, Grid Balancing and Sector Coupling via Power-to-Gas and Power-to-Liquids: A Review. Renew. Sustain. Energy Rev. 2018, 82, 2440–2454. [Google Scholar] [CrossRef]
  17. Kjartansdóttir, C.K.; Nielsen, L.P.; Møller, P. Development of Durable and Efficient Electrodes for Large-Scale Alkaline Water Electrolysis. Int. J. Hydrogen Energy 2013, 38, 8221–8231. [Google Scholar] [CrossRef]
  18. Carmo, M.; Fritz, D.L.; Mergel, J.; Stolten, D. A Comprehensive Review on PEM Water Electrolysis. Int. J. Hydrogen Energy 2013, 38, 4901–4934. [Google Scholar] [CrossRef]
  19. Leng, Y.; Chen, G.; Mendoza, A.J.; Tighe, T.B.; Hickner, M.A.; Wang, C.-Y. Solid-State Water Electrolysis with an Alkaline Membrane. J. Am. Chem. Soc. 2012, 134, 9054–9057. [Google Scholar] [CrossRef]
  20. Cousins, I.T.; Goldenman, G.; Herzke, D.; Lohmann, R.; Miller, M.; Ng, C.A.; Patton, S.; Scheringer, M.; Trier, X.; Vierke, L.; et al. The Concept of Essential Use for Determining When Uses of PFASs Can Be Phased Out. Environ. Sci. Process. Impacts 2019, 21, 1803–1815. [Google Scholar] [CrossRef] [PubMed]
  21. Vincent, I. Low Cost Hydrogen Production by Anion Exchange Membrane Electrolysis: A Review. Renew. Sustain. Energy Rev. 2018, 81, 1690–1704. [Google Scholar] [CrossRef]
  22. Varcoe, J.R.; Atanassov, P.; Dekel, D.R.; Herring, A.M.; Hickner, M.A.; Kohl, P.A.; Kucernak, A.R.; Mustain, W.E.; Nijmeijer, K.; Scott, K.; et al. Anion-Exchange Membranes in Electrochemical Energy Systems. Energy Environ. Sci. 2014, 7, 3135–3191. [Google Scholar] [CrossRef]
  23. Vinodh, R.; Kalanur, S.S.; Natarajan, S.K.; Pollet, B.G. Recent Advancements of Polymeric Membranes in Anion Exchange Membrane Water Electrolyzer (AEMWE): A Critical Review. Polymers 2023, 15, 2144. [Google Scholar] [CrossRef]
  24. Babic, U.; Suermann, M.; Büchi, F.N.; Gubler, L.; Schmidt, T.J. Critical Review—Identifying Critical Gaps for Polymer Electrolyte Water Electrolysis Development. J. Electrochem. Soc. 2017, 164, F387–F399. [Google Scholar] [CrossRef]
  25. Serov, A.; Kovnir, K.; Shatruk, M.; Kolen’ko, Y.V. Critical Review of Platinum Group Metal-Free Materials for Water Electrolysis: Transition from the Laboratory to the Market: Earth-Abundant Borides and Phosphides as Catalysts for Sustainable Hydrogen Production. Johns. Matthey Technol. Rev. 2021, 65, 207–226. [Google Scholar] [CrossRef]
  26. Henkensmeier, D.; Najibah, M.; Harms, C.; Žitka, J.; Hnát, J.; Bouzek, K. Overview: State-of-the art commercial membranes for anion exchange membrane water electrolysis. J. Electrochem. Energy Convers. Storage 2021, 18, 024001. [Google Scholar] [CrossRef]
  27. Li, C.; Baek, J.B. The promise of hydrogen production from alkaline anion exchange membrane electrolyzers. Nano Energy 2021, 87, 106162. [Google Scholar] [CrossRef]
  28. Marini, S.; Salvi, P.; Nelli, P.; Pesenti, R.; Villa, M.; Berrettoni, M.; Zangari, G.; Kiros, Y. Advanced alkaline water electrolysis. Electrochim. Acta 2012, 82, 384–391. [Google Scholar] [CrossRef]
  29. Miller, H.A.; Bouzek, K.; Hnat, J.; Loos, S.; Bernäcker, C.I.; Weissgaerber, T.; Röntzsch, L.; Meier-Haack, J. Green hydrogen from anion exchange membrane water electrolysis: A review of recent developments in critical materials and operating conditions. Sustain. Energy Fuels 2020, 4, 2114–2133. [Google Scholar] [CrossRef]
  30. Jin, H.; Ruqia, B.; Park, Y.; Kim, H.J.; Oh, H.; Choi, S.; Lee, K. Nanocatalyst Design for Long-Term Operation of Proton/Anion Exchange Membrane Water Electrolysis. Adv. Energy Mater. 2021, 11, 2003188. [Google Scholar] [CrossRef]
  31. Changkhamchom, S.; Kunanupatham, P.; Phasuksom, K.; Sirivat, A. Anion Exchange Membranes Composed of Quaternized Polybenzimidazole and Quaternized Graphene Oxide for Glucose Fuel Cell. Int. J. Hydrogen Energy 2021, 46, 5642–5652. [Google Scholar] [CrossRef]
  32. Lin, J. Thermoplastic Interpenetrating Polymer Networks Based on Polybenzimidazole and Poly (1, 2-Dimethy-3-Allylimidazolium) for Anion Exchange Membranes. Electrochim. Acta 2017, 257, 9–19. [Google Scholar] [CrossRef]
  33. Li, Z.; Jiang, Z.; Tian, H.; Wang, S.; Zhang, B.; Cao, Y.; He, G.; Li, Z.; Wu, H. Preparing Alkaline Anion Exchange Membrane with Enhanced Hydroxide Conductivity via Blending Imidazolium-Functionalized and Sulfonated Poly(Ether Ether Ketone). J. Power Sources 2015, 288, 384–392. [Google Scholar] [CrossRef]
  34. Li, N.; Zhang, Q.; Wang, C.; Lee, Y.M.; Guiver, M.D. Phenyltrimethylammonium Functionalized Polysulfone Anion Exchange Membranes. Macromolecules 2012, 45, 2411–2419. [Google Scholar] [CrossRef]
  35. Serbanescu, O.S.; Voicu, S.I.; Thakur, V.K. Polysulfone Functionalized Membranes: Properties and Challenges. Mater. Today Chem. 2020, 17, 100302. [Google Scholar] [CrossRef]
  36. Chen, W.; Hu, M.; Wang, H.; Wu, X.; Gong, X.; Yan, X.; Zhen, D.; He, G. Dimensionally Stable Hexamethylenetetramine Functionalized Polysulfone Anion Exchange Membranes. J. Mater. Chem. A 2017, 5, 15038–15047. [Google Scholar] [CrossRef]
  37. Mohanty, A.D.; Ryu, C.Y.; Kim, Y.S.; Bae, C. Stable Elastomeric Anion Exchange Membranes Based on Quaternary Ammonium-Tethered Polystyrene-b-Poly(Ethylene-Co-Butylene)-b-Polystyrene Triblock Copolymers. Macromolecules 2015, 48, 7085–7095. [Google Scholar] [CrossRef]
  38. Tuli, S.K.; Roy, A.L.; Elgammal, R.A.; Zawodzinski, T.A.; Fujiwara, T. Polystyrene-based Anion Exchange Membranes via Click Chemistry: Improved Properties and AEM Performance. Polym. Int. 2018, 67, 1302–1312. [Google Scholar] [CrossRef]
  39. Jheng, L.-C.; Hsu, C.-Y.; Yeh, H.-Y. Anion Exchange Membranes Based on Imidazoline Quaternized Polystyrene Copolymers for Fuel Cell Applications. Membranes 2021, 11, 901. [Google Scholar] [CrossRef]
  40. Tongwen, X.; Weihua, Y. Fundamental Studies of a New Series of Anion Exchange Membranes: Membrane Preparation and Characterization. J. Membr. Sci. 2001, 190, 159–166. [Google Scholar] [CrossRef]
  41. Yu, W.; Zhang, J.; Liang, X.; Ge, X.; Wei, C.; Ge, Z.; Zhang, K.; Li, G.; Song, W.; Shehzad, M.A.; et al. Anion Exchange Membranes with Fast Ion Transport Channels Driven by Cation-Dipole Interactions for Alkaline Fuel Cells. J. Membr. Sci. 2021, 634, 119404. [Google Scholar] [CrossRef]
  42. Zhu, L.; Pan, J.; Christensen, C.M.; Lin, B.; Hickner, M.A. Functionalization of Poly(2,6-Dimethyl-1,4-Phenylene Oxide)s with Hindered Fluorene Side Chains for Anion Exchange Membranes. Macromolecules 2016, 49, 3300–3309. [Google Scholar] [CrossRef]
  43. Wang, C.; Mo, B.; He, Z.; Shao, Q.; Pan, D.; Wujick, E.; Guo, J.; Xie, X.; Xie, X.; Guo, Z. Crosslinked Norbornene Copolymer Anion Exchange Membrane for Fuel Cells. J. Membr. Sci. 2018, 556, 118–125. [Google Scholar] [CrossRef]
  44. Alsaiari, N.S.; Katubi, K.M.; Alzahrani, F.M.; Amari, A.; Osman, H.; Rebah, F.B.; Tahoon, M.A. Synthesis, Characterization and Application of Polypyrrole Functionalized Nanocellulose for the Removal of Cr(VI) from Aqueous Solution. Polymers 2021, 13, 3691. [Google Scholar] [CrossRef] [PubMed]
  45. Zhang, J.; Yu, W.; Liang, X.; Zhang, K.; Wang, H.; Ge, X.; Wei, C.; Song, W.; Ge, Z.; Wu, L.; et al. Flexible Bis-Piperidinium Side Chains Construct Highly Conductive and Robust Anion-Exchange Membranes. ACS Appl. Energy Mater. 2021, 4, 9701–9711. [Google Scholar] [CrossRef]
  46. Wu, X.; Chen, N.; Hu, C.; Klok, H.; Lee, Y.M.; Hu, X. Fluorinated Poly(Aryl Piperidinium) Membranes for Anion Exchange Membrane Fuel Cells. Adv. Mater. 2023, 35, 2210432. [Google Scholar] [CrossRef] [PubMed]
  47. Yang, J.; Chen, Q.; Afsar, N.U.; Ge, L.; Xu, T. Poly(Alkyl-Biphenyl Pyridinium)-Based Anion Exchange Membranes with Alkyl Side Chains Enable High Anion Permselectivity and Monovalent Ion Flux. Membranes 2023, 13, 188. [Google Scholar] [CrossRef]
  48. Pham, T.H.; Jannasch, P. Aromatic Polymers Incorporating Bis-N-spirocyclic Quaternary Ammonium Moieties for Anion-Exchange Membranes. ACS Macro Lett. 2015, 4, 1370–1375. [Google Scholar] [CrossRef] [PubMed]
  49. Dang, H.-S. Alkali-Stable and Highly Anion Conducting Poly(Phenylene Oxide)s Carrying Quaternary Piperidinium Cations. J. Mater. Chem. A 2016, 4, 11924–11938. [Google Scholar] [CrossRef]
  50. Shang, L.; Yao, D.; Pang, B.; Zhao, C. Anion Exchange Membranes Based on Poly (Ether Ether Ketone) Containing N-Spirocyclic Quaternary Ammonium Cations in Phenyl Side Chain. Int. J. Hydrogen Energy 2021, 46, 19116–19128. [Google Scholar] [CrossRef]
  51. Zhang, Y.; Chen, W.; Li, T.; Yan, X.; Zhang, F.; Wang, X.; Wu, X.; Pang, B.; He, G. Tuning Hydrogen Bond and Flexibility of N-Spirocyclic Cationic Spacer for High Performance Anion Exchange Membranes. J. Membr. Sci. 2020, 613, 118507. [Google Scholar] [CrossRef]
  52. Noonan, K.J.T.; Hugar, K.M.; Kostalik, H.A.; Lobkovsky, E.B.; Abruña, H.D.; Coates, G.W. Phosphonium-Functionalized Polyethylene: A New Class of Base-Stable Alkaline Anion Exchange Membranes. J. Am. Chem. Soc. 2012, 134, 18161–18164. [Google Scholar] [CrossRef] [PubMed]
  53. Park, E.J. Chemically Durable Polymer Electrolytes for Solid-State Alkaline Water Electrolysis. J. Power Sources. 2017, 375, 367–372. [Google Scholar] [CrossRef]
  54. Wang, Y.-J.; Qiao, J.; Baker, R.; Zhang, J. Alkaline Polymer Electrolyte Membranes for Fuel Cell Applications. Chem. Soc. Rev. 2013, 42, 5768. [Google Scholar] [CrossRef] [PubMed]
  55. Yang, G.; Hao, J.; Cheng, J.; Zhang, N.; He, G.; Zhang, F.; Hao, C. Hydroxide Ion Transfer in Anion Exchange Membrane: A Density Functional Theory Study. Int. J. Hydrogen Energy 2016, 41, 6877–6884. [Google Scholar] [CrossRef]
  56. Marino, M.G.; Kreuer, K.D. Alkaline Stability of Quaternary Ammonium Cations for Alkaline Fuel Cell Membranes and Ionic Liquids. ChemSusChem 2015, 8, 513–523. [Google Scholar] [CrossRef] [PubMed]
  57. Haj-Bsoul, S.; Varcoe, J.R.; Dekel, D.R. Measuring the Alkaline Stability of Anion-Exchange Membranes. J. Electroanal. Chem. 2022, 908, 116112. [Google Scholar] [CrossRef]
  58. Liu, Y.; Dai, J.; Zhang, K.; Ma, L.; Qaisrani, N.A.; Zhang, F.; He, G. Hybrid Anion Exchange Membrane of Hydroxyl-Modified Polysulfone Incorporating Guanidinium-Functionalized Graphene Oxide. Ionics 2017, 23, 3085–3096. [Google Scholar] [CrossRef]
  59. Carbone, A.; Pedicini, R.; Gatto, I.; Saccà, A.; Patti, A.; Bella, G.; Cordaro, M. Development of Polymeric Membranes Based on Quaternized Polysulfones for AMFC Applications. Polymers 2020, 12, 283. [Google Scholar] [CrossRef]
  60. Zuo, X.; Chang, K.; Zhao, J.; Xie, Z.; Tang, H.; Li, B.; Chang, Z. Bubble-Template-Assisted Synthesis of Hollow Fullerene-like MoS2 Nanocages as a Lithium Ion Battery Anode Material. J. Mater. Chem. A 2016, 4, 51–58. [Google Scholar] [CrossRef]
  61. Zuo, P.; Xu, Z.; Zhu, Q.; Ran, J.; Ge, L.; Ge, X.; Wu, L.; Yang, Z.; Xu, T. Ion Exchange Membranes: Constructing and Tuning Ion Transport Channels. Adv. Funct. Mater. 2022, 32, 2207366. [Google Scholar] [CrossRef]
  62. Arges, C.G.; Ramani, V. Two-Dimensional NMR Spectroscopy Reveals Cation-Triggered Backbone Degradation in Polysulfone-Based Anion Exchange Membranes. Proc. Natl. Acad. Sci. USA 2013, 110, 2490–2495. [Google Scholar] [CrossRef]
  63. Mahmoud, A.M.A.; Elsaghier, A.M.M.; Otsuji, K.; Miyatake, K. High Hydroxide Ion Conductivity with Enhanced Alkaline Stability of Partially Fluorinated and Quaternized Aromatic Copolymers as Anion Exchange Membranes. Macromolecules 2017, 50, 4256–4266. [Google Scholar] [CrossRef]
  64. Hibbs, M.R. Alkaline Stability of Poly(Phenylene)-based Anion Exchange Membranes with Various Cations. J. Polym. Sci. B Polym. Phys. 2013, 51, 1736–1742. [Google Scholar] [CrossRef]
  65. Olsson, J.S.; Pham, T.H.; Jannasch, P. Poly(Arylene Piperidinium) Hydroxide Ion Exchange Membranes: Synthesis, Alkaline Stability, and Conductivity. Adv. Funct. Mater. 2018, 28, 1702758. [Google Scholar] [CrossRef]
  66. Aili, D.; Wright, A.G.; Kraglund, M.R.; Jankova, K.; Holdcroft, S.; Jensen, J.O. Towards a Stable Ion-Solvating Polymer Electrolyte for Advanced Alkaline Water Electrolysis. J. Mater. Chem. A 2017, 5, 5055–5066. [Google Scholar] [CrossRef]
  67. Liu, L.; Li, Q.; Dai, J.; Wang, H.; Jin, B.; Bai, R. A Facile Strategy for the Synthesis of Guanidinium-Functionalized Polymer as Alkaline Anion Exchange Membrane with Improved Alkaline Stability. J. Membr. Sci. 2014, 453, 52–60. [Google Scholar] [CrossRef]
  68. Xue, B.; Dong, X.; Li, Y.; Zheng, J.; Li, S.; Zhang, S. Synthesis of Novel Guanidinium-Based Anion-Exchange Membranes with Controlled Microblock Structures. J. Membr. Sci. 2017, 537, 151–159. [Google Scholar] [CrossRef]
  69. Fan, J.; Willdorf-Cohen, S.; Schibli, E.M.; Paula, Z.; Li, W.; Skalski, T.J.G.; Sergeenko, A.T.; Hohenadel, A.; Frisken, B.J.; Magliocca, E.; et al. Poly(Bis-Arylimidazoliums) Possessing High Hydroxide Ion Exchange Capacity and High Alkaline Stability. Nat. Commun. 2019, 10, 2306. [Google Scholar] [CrossRef]
  70. Fan, J.; Wright, A.G.; Britton, B.; Weissbach, T.; Skalski, T.J.G.; Ward, J.; Peckham, T.J.; Holdcroft, S. Cationic Polyelectrolytes, Stable in 10 M KOHaq at 100 °C. ACS Macro Lett. 2017, 6, 1089–1093. [Google Scholar] [CrossRef]
  71. Zhou, X.; Wu, L.; Zhang, G.; Li, R.; Hu, X.; Chang, X.; Shen, Y.; Liu, L.; Li, N. Rational Design of Comb-Shaped Poly(Arylene Indole Piperidinium) to Enhance Hydroxide Ion Transport for H2/O2 Fuel Cell. J. Membr. Sci. 2021, 631, 119335. [Google Scholar] [CrossRef]
  72. Hu, E.N.; Lin, C.X.; Liu, F.H.; Wang, X.Q.; Zhang, Q.G.; Zhu, A.M.; Liu, Q.L. Poly(Arylene Ether Nitrile) Anion Exchange Membranes with Dense Flexible Ionic Side Chain for Fuel Cells. J. Membr. Sci. 2018, 550, 254–265. [Google Scholar] [CrossRef]
  73. Akiyama, R.; Yokota, N.; Miyatake, K. Chemically Stable, Highly Anion Conductive Polymers Composed of Quinquephenylene and Pendant Ammonium Groups. Macromolecules 2019, 52, 2131–2138. [Google Scholar] [CrossRef]
  74. Lin, C.; Liu, X.; Yang, Q.; Wu, H.; Liu, F.; Zhang, Q.; Zhu, A.; Liu, Q. Hydrophobic Side Chains to Enhance Hydroxide Conductivity and Physicochemical Stabilities of Side-Chain-Type Polymer AEMs. J. Membr. Sci. 2019, 585, 90–98. [Google Scholar] [CrossRef]
  75. Long, H.; Kim, K.; Pivovar, B.S. Hydroxide Degradation Pathways for Substituted Trimethylammonium Cations: A DFT Study. J. Phys. Chem. C 2012, 116, 9419–9426. [Google Scholar] [CrossRef]
  76. Chen, J.; Li, C.; Wang, J.; Li, L.; Wei, Z. A General Strategy to Enhance the Alkaline Stability of Anion Exchange Membranes. J. Mater. Chem. A 2017, 5, 6318–6327. [Google Scholar] [CrossRef]
  77. Koronka, D.; Miyatake, K. Anion Exchange Membranes Containing No β-Hydrogen Atoms on Ammonium Groups: Synthesis, Properties, and Alkaline Stability. RSC Adv. 2021, 11, 1030–1038. [Google Scholar] [CrossRef]
  78. Thomas, O.D.; Soo, K.J.W.Y.; Peckham, T.J.; Kulkarni, M.P.; Holdcroft, S. A Stable Hydroxide-Conducting Polymer. J. Am. Chem. Soc. 2012, 134, 10753–10756. [Google Scholar] [CrossRef]
  79. Wright, A.G.; Fan, J.; Britton, B.; Weissbach, T.; Lee, H.-F.; Kitching, E.A.; Peckham, T.J.; Holdcroft, S. Hexamethyl-p-Terphenyl Poly(Benzimidazolium): A Universal Hydroxide-Conducting Polymer for Energy Conversion Devices. Energy Environ. Sci. 2016, 9, 2130–2142. [Google Scholar] [CrossRef]
  80. Hugar, K.M.; Kostalik, H.A.; Coates, G.W. Imidazolium Cations with Exceptional Alkaline Stability: A Systematic Study of Structure–Stability Relationships. J. Am. Chem. Soc. 2015, 137, 8730–8737. [Google Scholar] [CrossRef]
  81. Zhang, Y.; Chen, W.; Yan, X.; Zhang, F.; Wang, X.; Wu, X.; Pang, B.; Wang, J.; He, G. Ether Spaced N-Spirocyclic Quaternary Ammonium Functionalized Crosslinked Polysulfone for High Alkaline Stable Anion Exchange Membranes. J. Membr. Sci. 2020, 598, 117650. [Google Scholar] [CrossRef]
  82. Yang, Z.; Zhou, J.; Wang, S.; Hou, J.; Wu, L.; Xu, T. A Strategy to Construct Alkali-Stable Anion Exchange Membranes Bearing Ammonium Groups via Flexible Spacers. J. Mater. Chem. A 2015, 3, 15015–15019. [Google Scholar] [CrossRef]
  83. Olsson, J.S.; Pham, T.H.; Jannasch, P. Poly(N,N-Diallylazacycloalkane)s for Anion-Exchange Membranes Functionalized with N-Spirocyclic Quaternary Ammonium Cations. Macromolecules 2017, 50, 2784–2793. [Google Scholar] [CrossRef]
  84. Tao, Z.; Wang, C.; Zhao, X.; Li, J.; Guiver, M.D. Progress in High-Performance Anion Exchange Membranes Based on the Design of Stable Cations for Alkaline Fuel Cells. Adv. Mater. Technol. 2021, 6, 2001220. [Google Scholar] [CrossRef]
  85. Choe, Y.-K.; Fujimoto, C.; Lee, K.-S.; Dalton, L.T.; Ayers, K.; Henson, N.J.; Kim, Y.S. Alkaline Stability of Benzyl Trimethyl Ammonium Functionalized Polyaromatics: A Computational and Experimental Study. Chem. Mater. 2014, 26, 5675–5682. [Google Scholar] [CrossRef]
  86. Meek, K.M.; Antunes, C.M.; Strasser, D.; Owczarczyk, Z.R.; Neyerlin, A.; Pivovar, B.S. High-Throughput Anion Exchange Membrane Characterization at NREL. ECS Trans. 2019, 92, 723–731. [Google Scholar] [CrossRef]
  87. Pan, D.; Olsson, J.S.; Jannasch, P. Poly(Fluorene Alkylene) Anion Exchange Membranes with Pendant Spirocyclic and Bis-Spirocyclic Quaternary Ammonium Cations. ACS Appl. Energy Mater. 2022, 5, 981–991. [Google Scholar] [CrossRef]
  88. Soni, R.; Miyanishi, S.; Kuroki, H.; Yamaguchi, T. Pure Water Solid Alkaline Water Electrolyzer Using Fully Aromatic and High-Molecular-Weight Poly(Fluorene-Alt-Tetrafluorophenylene)-Trimethyl Ammonium Anion Exchange Membranes and Ionomers. ACS Appl. Energy Mater. 2021, 4, 1053–1058. [Google Scholar] [CrossRef]
  89. Xu, H.; Hu, X. Preparation of Anion Exchangers by Reductive Amination of Acetylated Crosslinked Polystyrene. React. Funct. Polym. 1999, 42, 235–242. [Google Scholar] [CrossRef]
  90. Lee, W.-H.; Kim, Y.S.; Bae, C. Robust Hydroxide Ion Conducting Poly(Biphenyl Alkylene)s for Alkaline Fuel Cell Membranes. ACS Macro Lett. 2015, 4, 814–818. [Google Scholar] [CrossRef]
  91. Lim, H.; Jeong, I.; Choi, J.; Shin, G.; Kim, J.; Kim, T.-H.; Park, T. Anion Exchange Membranes and Ionomer Properties of a Polyfluorene-Based Polymer with Alkyl Spacers for Water Electrolysis. Appl. Surf. Sci. 2023, 610, 155601. [Google Scholar] [CrossRef]
  92. Kraglund, M.R.; Carmo, M.; Schiller, G.; Ansar, S.A.; Aili, D.; Christensen, E.; Jensen, J.O. Ion-solvating membranes as a new approach towards high rate alkaline electrolyzers. Energy Environ. Sci. 2019, 12, 3313–3318. [Google Scholar] [CrossRef]
  93. Jung, J.; Park, Y.S.; Hwang, D.J.; Choi, G.H.; Choi, D.H.; Park, H.J.; Ahn, C.-H.; Hwang, S.S.; Lee, A.S. Polydiallylammonium interpenetrating cationic network ion-solvating membranes for anion exchange membrane water electrolyzers. J. Mater. Chem. A 2023, 11, 10891–10900. [Google Scholar] [CrossRef]
  94. Li, D.; Motz, A.R.; Bae, C.; Fujimoto, C.; Yang, G.; Zhang, F.-Y.; Ayers, K.E.; Kim, Y.S. Durability of anion exchange membrane water electrolyzers. Energy Environ. Sci. 2021, 14, 3393–3419. [Google Scholar] [CrossRef]
  95. Jensen, J.O.; Kraglund, M.R.; Gellrich, F.; Serhiichuk, D.; Xia, Y.; Chatzichristodoulou, C.; Li, Q.; Aili, D. Perspectives of ion-solvating membranes for alkaline electrolysis. In 3rd International Conference on Electrolysis; Colorado School of Mines: Golden, CO, USA, 2021; Volume 2022, p. 108. [Google Scholar]
  96. Hu, X.; Liu, M.; Huang, Y.; Liu, L.; Li, N. Sulfonate-functionalized polybenzimidazole as ion-solvating membrane toward high-performance alkaline water electrolysis. J. Membr. Sci. 2022, 663, 121005. [Google Scholar] [CrossRef]
  97. Allushi, A.; Pham, T.H.; Olsson, J.S.; Jannasch, P. Ether-Free Polyfluorenes Tethered with Quinuclidinium Cations as Hydroxide Exchange Membranes. J. Mater. Chem. A 2019, 7, 27164–27174. [Google Scholar] [CrossRef]
  98. Pérez-Prior, M.T.; Várez, A.; Levenfeld, B. Synthesis and characterization of benzimidazolium-functionalized polysulfones as anion-exchange membranes. J. Polym. Sci. A Polym. Chem. 2015, 53, 2363–2373. [Google Scholar] [CrossRef]
  99. Guo, D.; Lai, A.N.; Lin, C.X.; Zhang, Q.G.; Zhu, A.M.; Liu, Q.L. Imidazolium-Functionalized Poly(Arylene Ether Sulfone) Anion-Exchange Membranes Densely Grafted with Flexible Side Chains for Fuel Cells. ACS Appl. Mater. Interfaces 2016, 8, 25279–25288. [Google Scholar] [CrossRef]
  100. Wang, X.; Lammertink, R.G.H. Dimensionally Stable Multication-Crosslinked Poly(Arylene Piperidinium) Membranes for Water Electrolysis. J. Mater. Chem. A 2022, 10, 8401–8412. [Google Scholar] [CrossRef]
  101. Du, X.; Wang, Z.; Zhang, H.; Liu, W.; Xu, J. Constructing Micro-Phase Separation Structure by Multi-Arm Side Chains to Improve the Property of Anion Exchange Membrane. Int. J. Hydrogen Energy 2020, 45, 17916–17926. [Google Scholar] [CrossRef]
  102. Weiber, E.A.; Jannasch, P. Anion-Conducting Polysulfone Membranes Containing Hexa-Imidazolium Functionalized Biphenyl Units. J. Membr. Sci. 2016, 520, 425–433. [Google Scholar] [CrossRef]
  103. Hou, J.; Wang, X.; Liu, Y.; Ge, Q.; Yang, Z.; Wu, L.; Xu, T. Wittig Reaction Constructed an Alkaline Stable Anion Exchange Membrane. J. Membr. Sci. 2016, 518, 282–288. [Google Scholar] [CrossRef]
  104. Dang, H.-S.; Weiber, E.A.; Jannasch, P. Poly(Phenylene Oxide) Functionalized with Quaternary Ammonium Groups via Flexible Alkyl Spacers for High-Performance Anion Exchange Membranes. J. Mater. Chem. A 2015, 3, 5280–5284. [Google Scholar] [CrossRef]
  105. Lin, C.X.; Huang, X.L.; Guo, D.; Zhang, Q.G.; Zhu, A.M.; Ye, M.L.; Liu, Q.L. Side-Chain-Type Anion Exchange Membranes Bearing Pendant Quaternary Ammonium Groups via Flexible Spacers for Fuel Cells. J. Mater. Chem. A 2016, 4, 13938–13948. [Google Scholar] [CrossRef]
  106. Zhang, X.; Chen, P.; Shi, Q.; Li, S.; Gong, F.; Chen, X.; An, Z. Block Poly(Arylene Ether Sulfone) Copolymers Bearing Quaterinized Aromatic Pendants: Synthesis, Property and Stability. Int. J. Hydrogen Energy 2017, 42, 26320–26332. [Google Scholar] [CrossRef]
  107. Tanaka, M.; Fukasawa, K.; Nishino, E.; Yamaguchi, S.; Yamada, K.; Tanaka, H.; Bae, B.; Miyatake, K.; Watanabe, M. Anion Conductive Block Poly(Arylene Ether)s: Synthesis, Properties, and Application in Alkaline Fuel Cells. J. Am. Chem. Soc. 2011, 133, 10646–10654. [Google Scholar] [CrossRef] [PubMed]
  108. Yu, J.W.; Jung, J.; Choi, Y.-M.; Choi, J.H.; Yu, J.; Lee, J.K.; You, N.-H.; Goh, M. Enhancement of the Crosslink Density, Glass Transition Temperature, and Strength of Epoxy Resin by Using Functionalized Graphene Oxide Co-Curing Agents. Polym. Chem. 2016, 7, 36–43. [Google Scholar] [CrossRef]
  109. Chen, X.; Zhan, Y.; Tang, J.; Yang, X.; Sun, A.; Lin, B.; Zhu, F.; Jia, H.; Lei, X. Advances in High Performance Anion Exchange Membranes: Molecular Design, Preparation Methods, and Ion Transport Dynamics. J. Environ. Chem. Eng. 2023, 11, 110749. [Google Scholar] [CrossRef]
  110. Lee, K.H.; Chu, J.Y.; Kim, A.R.; Kim, H.G.; Yoo, D.J. Functionalized TiO2 Mediated Organic-Inorganic Composite Membranes Based on Quaternized Poly(Arylene Ether Ketone) with Enhanced Ionic Conductivity and Alkaline Stability for Alkaline Fuel Cells. J. Membr. Sci. 2021, 634, 119435. [Google Scholar] [CrossRef]
  111. Msomi, P.F.; Nonjola, P.T.; Ndungu, P.G.; Ramontja, J. Poly (2, 6-Dimethyl-1, 4-Phenylene)/Polysulfone Anion Exchange Membrane Blended with TiO2 with Improved Water Uptake for Alkaline Fuel Cell Application. Int. J. Hydrogen Energy 2020, 45, 29465–29476. [Google Scholar] [CrossRef]
  112. Chu, J.Y.; Lee, K.H.; Kim, A.R.; Yoo, D.J. Graphene-Mediated Organic-Inorganic Composites with Improved Hydroxide Conductivity and Outstanding Alkaline Stability for Anion Exchange Membranes. Compos. B Eng. 2019, 164, 324–332. [Google Scholar] [CrossRef]
  113. Shukla, G.; Shahi, V.K. Sulfonated Poly(Ether Ether Ketone)/Imidized Graphene Oxide Composite Cation Exchange Membrane with Improved Conductivity and Stability for Electrodialytic Water Desalination. Desalination 2019, 451, 200–208. [Google Scholar] [CrossRef]
  114. Yu, B.-C.; Wang, Y.-C.; Lu, H.-C.; Lin, H.-L.; Shih, C.-M.; Kumar, S.R.; Lue, S.J. Hydroxide-Ion Selective Electrolytes Based on a Polybenzimidazole/Graphene Oxide Composite Membrane. Energy 2017, 134, 802–812. [Google Scholar] [CrossRef]
  115. Gahlot, S.; Kulshrestha, V. Dramatic Improvement in Water Retention and Proton Conductivity in Electrically Aligned Functionalized CNT/SPEEK Nanohybrid PEM. ACS Appl. Mater. Interfaces 2015, 7, 264–272. [Google Scholar] [CrossRef]
  116. Bai, Y.; Liu, C.; Shan, Y.; Chen, T.; Zhao, Y.; Yu, C.; Pang, H. Metal-Organic Frameworks Nanocomposites with Different Dimensionalities for Energy Conversion and Storage. Adv. Energy Mater. 2022, 12, 2100346. [Google Scholar] [CrossRef]
  117. He, G.; Xu, M.; Li, Z.; Wang, S.; Jiang, S.; He, X.; Zhao, J.; Li, Z.; Wu, X.; Huang, T.; et al. Highly Hydroxide-Conductive Nanostructured Solid Electrolyte via Predesigned Ionic Nanoaggregates. ACS Appl. Mater. Interfaces 2017, 9, 28346–28354. [Google Scholar] [CrossRef]
  118. Chen, W.; Mandal, M.; Huang, G.; Wu, X.; He, G.; Kohl, P.A. Highly Conducting Anion-Exchange Membranes Based on Cross-Linked Poly(Norbornene): Ring Opening Metathesis Polymerization. ACS Appl. Energy Mater. 2019, 2, 2458–2468. [Google Scholar] [CrossRef]
  119. Xu, Z.; Wilke, V.; Chmielarz, J.J.; Tobias, M.; Atanasov, V.; Gago, A.S.; Friedrich, K.A. Novel Piperidinium-Functionalized Crosslinked Anion Exchange Membrane with Flexible Spacers for Water Electrolysis. J. Membr. Sci. 2023, 670, 121302. [Google Scholar] [CrossRef]
  120. Lu, W.; Yang, Z.; Huang, H.; Wei, F.; Li, W.; Yu, Y.; Gao, Y.; Zhou, Y.; Zhang, G. Piperidinium-Functionalized Poly(Vinylbenzyl Chloride) Cross-Linked by Polybenzimidazole as an Anion Exchange Membrane with a Continuous Ionic Transport Pathway. Ind. Eng. Chem. Res. 2020, 59, 21077–21087. [Google Scholar] [CrossRef]
  121. Wang, T.; Wang, Y.; You, W. Dithiol Cross-Linked Polynorbornene-Based Anion-Exchange Membranes with High Hydroxide Conductivity and Alkaline Stability. J. Membr. Sci. 2023, 685, 121916. [Google Scholar] [CrossRef]
  122. Guo, M.; Ban, T.; Wang, Y.; Wang, X.; Zhu, X. “Thiol-Ene” Crosslinked Polybenzimidazoles Anion Exchange Membrane with Enhanced Performance and Durability. J. Colloid Interface Sci. 2023, 638, 349–362. [Google Scholar] [CrossRef] [PubMed]
  123. Jiang, Y.; Wang, C.; Pan, J.; Sotto, A.; Shen, J. Constructing an Internally Cross-Linked Structure for Polysulfone to Improve Dimensional Stability and Alkaline Stability of High Performance Anion Exchange Membranes. Int. J. Hydrogen Energy 2019, 44, 8279–8289. [Google Scholar] [CrossRef]
  124. Zhu, L.; Zimudzi, T.J.; Li, N.; Pan, J.; Lin, B.; Hickner, M.A. Crosslinking of comb-shaped polymer anion exchange membranes via thiol–ene click chemistry. Polym. Chem. 2016, 7, 2464–2475. [Google Scholar] [CrossRef]
  125. Tian, L.; Li, J.; Liu, Q.; Ma, W.; Wang, F.; Zhu, H.; Wang, Z. Cross-linked anion-exchange membranes with dipole-containing cross-linkers based on poly (terphenyl isatin piperidinium) copolymers. ACS Appl. Mater. Interfaces 2022, 14, 39343–39353. [Google Scholar] [CrossRef]
  126. Fujifilm Manufacturing Europe, B.V.; Fujifilm Corporation. Membrane Stacks and Their Uses. US17904999, 30 March 2023. [Google Scholar]
  127. Junji, F.; Hajime, U.; Naoya, K.; Keiichiro, H. Pure Water Making Method and Electric Regeneration Type Pure Water Making Apparatus. JP2003024948, 28 January 2003. [Google Scholar]
  128. Wilfred, G.S.; Cavell, M.T.T.; Paul, G. Anion Exchange Membranes. EP0382439, 16 August 1990. [Google Scholar]
  129. Evoqua Water Tech LLC. Anion Exchange Membrane and Manufacturing Method. JP2017018947A, 26 January 2017.
  130. Arthur, L.G.; Wayne, A.M.; Keith, J.S. Electrodialysis Including Filled Cell Electrodialysis (Electrodeionization). US5679229A, 21 October 1997. [Google Scholar]
  131. Sun, Y.-M.; Huang, L.-F.; Chuang, J.-N.; Huang, W.-S. Homogeneous Anion Exchange Membrane and Biosensing Membrane Prepared from the Same. US20220259392, 12 November 2021. [Google Scholar]
  132. Gambaro, C.; Meda, L.; Di Noto, V.; Vezzu’, K.; Sun, C. Zipped Ion-Exchange Membrane. EP4008036, 30 July 2020. [Google Scholar]
  133. Takeshi, M. Electrodialytic Method. JPS61192312, 21 February 1985. [Google Scholar]
  134. Kim, D.J.; Ahn, Y.H. Anion Exchange Membrane Based on Aromatic Polymer Functionalized with Imidazolium Group, Preparation Method Thereof, and Vanadium Redox Flow Battery Including the Membrane. US17011095, 4 March 2021. [Google Scholar]
  135. Lee, C.H.H. Chemically Modified Anion Exchange Membrane and Manufacturing Method Therefor. EP18787265, 31 March 2021. [Google Scholar]
  136. Lin, J.R. High-Performance Anion Exchange Membranes and Methods of Making Same. EP2903737, 15 March 2013. [Google Scholar]
  137. Qin, H.; Zhu, C.; Hu, Y.; Chen, K.; Liu, J.; Kong, Z.; Wang, H.; He, Y.; Ji, Z. Preparation Method for Alkaline Anion Exchange Membrane and Use Thereof in Fuel Cell. US10797333, 22 November 2016. [Google Scholar]
  138. Hoon, K.J.; Jun, C.B.; Young, M.S. Homogeneous Anion-Exchange Composite Membrane Having Excellent Chemical Resistance and Method for Producing the Same. US2018326364, 10 May 2018. [Google Scholar]
  139. Gu, B.B.T. Anionic Membranes Incorporating Functional Additives. US20200406248, 31 December 2020. [Google Scholar]
  140. Schübel-Hopf, S. Hydrophilic Composite Microporous Membrane and Method for Producing Same. EP1961784, 27 August 2008. [Google Scholar]
  141. Roelofs, M.G.C. Improved Composite Polymer Electrolyte Membrane. EP2721676, 23 April 2014. [Google Scholar]
  142. Staser, J.A.; Movil-Cabrera, O. Ionic Liquid-Functionalized Graphene Oxide-Based Nanocomposite Anion Exchange Membranes. US20190044169, 2 February 2017. [Google Scholar]
  143. Eguchi, T.; Mori, S.; Shimokawa, M. Process for Preparing a Composite Amphoteric Ion Exchange Membrane. US4262041, 2 February 1978. [Google Scholar]
  144. Xiangchun, Y. Resilient Anion Exchange Membranes Prepared by Polymerizing a Composition. US9636642, 16 October 2015. [Google Scholar]
  145. Seung-Hyeon, M.; Sung-Hee, S.; Yekyung, K.; Won, S.K. Organic-Inorganic Composite Anion Exchange Membrane Containing Polyvinylidene Fluoride Polymer for Non-Aqueous Redox Flow Battery and Method for Preparing the Same. US10249901, 30 December 2014. [Google Scholar]
  146. Li, L.-F.; Zeng, S.; Liu, C.; Jung, H.Y. Systems Including Ion Exchange Membranes and Methods of Making the Same. WO2022/147497, 3 January 2022. [Google Scholar]
  147. Nicoloso, N.; Kerres, J.; Schafer, G. Proton-Conducting Ceramics/Polymer Composite Membrane for the Temperature Range up to 300 °C. CA2372693, 2 May 2000. [Google Scholar]
  148. Haering, T.; Haering Thomas, D.; Kerres, J.; Kerres Jochen, D.; Ullrich, A.; Ullrich Andreas, D. Organisch-Anorganische Komposites und Kompositmembranen aus Ionomeren Oder Ionomerblends und Aus Schicht- Oder Gerätsilicaten. DE000019919881, 30 April 1999. [Google Scholar]
  149. ASTM B907-16; Standard Specification for Zinc, Tin and Cadmium Base Alloys Used as Solders. ASTM International: West Conshohocken, PA, USA, 2016.
  150. Peter, N.P.; Andrew, P.; Jason, B. Composite Membranes, Methods of Making Same, and Applications of Same. US10141593, 23 May 2016. [Google Scholar]
  151. Kazuki, K.; Junji, S. Composite Polymer Electrolyte Membrane. JP2017249141, 18 January 2022. [Google Scholar]
  152. Wang, Z.; Parrondo, J.; Ramani, V.K. Triblock Copolymer Based Anion Exchange Membranes (AEMs) as Separators in Electrochemical Devices. US17113973, 15 April 2021. [Google Scholar]
  153. Bahar, B.; Gu, T.; Yellamilli, S.N. Anion Exchange Ionomer with a Poyarylene Backbone and Anion Exchange Membrane Incorporating Same. US20210347956, 2 July 2021. [Google Scholar]
  154. Lee, Y.M.; Chen, N.; Wang, H.H.; Kim, S.P. Novel Polyfluorene-Based Ionomer, Anion Exchange Membrane, Method for Preparing the Polyfluorene-Based Ionomer and Method for Fabricating the Anion Exchange Membrane. US20230038279, 9 November 2020. [Google Scholar]
  155. Junfeng, Z.; Paul A., K.; Murat, U. Anion Exchange Polyelectrolytes. KR20120082007, 24 September 2010. [Google Scholar]
  156. Yoshimura, K.; Koshikawa, H.; Yamaki, T.; Asano, M.; Maekawa, Y.; Shishitani, H.; Asazawa, K.; Yamaguchi, S.; Tanaka, H. Anion Exchange Membrane and Producing Method Thereof. US201314012071, 6 March 2014. [Google Scholar]
  157. Yan, Y.H. Polymers Having Stable Cationic Pendant Groups for Use as Anion Exchange Membranes. EP20778028.9, 28 December 2022. [Google Scholar]
  158. He, S.S.; Frank, C.W. Anion Transport Membrane. US9233345, 12 February 2014. [Google Scholar]
  159. Mandal, M.; Huang, G.; Hassan, N.U.; Peng, X.; Gu, T.; Brooks-Starks, A.H.; Bahar, B.; Mustain, W.E.; Kohl, P.A. The Importance of Water Transport in High Conductivity and High-Power Alkaline Fuel Cells. J. Electrochem. Soc. 2020, 167, 054501. [Google Scholar] [CrossRef]
  160. Kohl, P.A.; Mandal, M.; Barchok, M.L.; Skilskyj, D.; Rhodes, L.F. Polycyloolefinic Polymers and Anion Exchange Membranes Derived Therefrom. US20220033571, 30 July 2021. [Google Scholar]
  161. Wu, X.; He, G.; Wang, X.; Yan, X.; Li, T.; Chen, W.; Li, X.; Xiao, W.; Jiang, X.; Cui, F.; et al. Comb-Shaped Structure Polybenzimidazole Anion Exchange Membrane with High Conductivity and Preparation Method Thereof. US20210202972, 19 March 2020. [Google Scholar]
  162. Kerres, J. Cross-Linked High Stable Anion Exchange Blend Membranes with Polyethyleneglycols as Hydrophilic Membrane Phase. US11278879, 22 June 2017. [Google Scholar]
  163. Liberatore, M.; Ozioko, G.A.; Schoeps, K. Crosslinked Membrane for Anion Exchange Applications. US11600837, 8 October 2019. [Google Scholar]
  164. Harada, M.; Takamoto, T. Functional Polymer Membrane, Production Method Thereof, and Stack or Device Provided with Functional Polymer Membrane. US20170152361, 13 February 2017. [Google Scholar]
  165. Harada, M.; Takamoto, T. Polymer Functional Film, Production Method Thereof, and Stack or Device Provided with Polymer Functional Film. EP3181619, 22 July 2015. [Google Scholar]
  166. Hyun, K.T.; Hyun, K.S. Terminally-Crosslinked Methyl Morpholinium-Functionalized Block Copolymers, and Anion Exchange Membranes Using the Same. US2018345269, 4 September 2017. [Google Scholar]
  167. Bae, C.; Ryu, C.Y.; Tian, D. Methods of Making Anion Exchange Membrane via Simultaneous Post-Functionalization and Crosslinking of Epoxidized Sbs. US20210309818, 6 April 2021. [Google Scholar]
  168. Bae, C.; Jeon, J.; Han, J.; Noh, S. Crosslinking of Aromatic Polymers for Anion Exchange Membranes. EP3784369, 24 April 2019. [Google Scholar]
  169. Sung, S.; Mayadevi, T.S.; Min, K.; Lee, J.; Chae, J.E.; Kim, T.-H. Crosslinked PPO-Based Anion Exchange Membranes: The Effect of Crystallinity versus Hydrophilicity by Oxygen-Containing Crosslinker Chain Length. J. Membr. Sci. 2021, 619, 118774. [Google Scholar] [CrossRef]
  170. Motealleh, B.; Liu, Z.; Masel, R.I.; Sculley, J.P.; Richard Ni, Z.; Meroueh, L. Next-Generation Anion Exchange Membrane Water Electrolyzers Operating for Commercially Relevant Lifetimes. Int. J. Hydrogen Energy 2021, 46, 3379–3386. [Google Scholar] [CrossRef]
Figure 1. Schematic diagram of electrolysis cells: (A) AWE, (B) AEM water electrolysis, and (C) PEM water electrolysis, respectively [13,14,15].
Figure 1. Schematic diagram of electrolysis cells: (A) AWE, (B) AEM water electrolysis, and (C) PEM water electrolysis, respectively [13,14,15].
Membranes 14 00085 g001
Figure 2. Mind mapping of anion exchange membranes.
Figure 2. Mind mapping of anion exchange membranes.
Membranes 14 00085 g002
Figure 3. Main polymer chains commonly used in AEMs (Ar = phenyl).
Figure 3. Main polymer chains commonly used in AEMs (Ar = phenyl).
Membranes 14 00085 g003
Figure 4. Functional cationic groups commonly used in AEMs (R = H, alkyl or phenyl).
Figure 4. Functional cationic groups commonly used in AEMs (R = H, alkyl or phenyl).
Membranes 14 00085 g004
Figure 5. Mechanism of Hofmann elimination and nucleophilic substitution degradation of quaternary ammonium groups.
Figure 5. Mechanism of Hofmann elimination and nucleophilic substitution degradation of quaternary ammonium groups.
Membranes 14 00085 g005
Figure 6. The hydrolysis of (A) quaternary carbon and (B) ether bonds in PSF AEMs containing relatively stable fixed cations [62].
Figure 6. The hydrolysis of (A) quaternary carbon and (B) ether bonds in PSF AEMs containing relatively stable fixed cations [62].
Membranes 14 00085 g006
Figure 7. Structure of β-H-free polysulfone AEM.
Figure 7. Structure of β-H-free polysulfone AEM.
Membranes 14 00085 g007
Figure 8. Polybenzimidazole with spatial protection (A,B), novel polyaromatic imidazolium compound (C).
Figure 8. Polybenzimidazole with spatial protection (A,B), novel polyaromatic imidazolium compound (C).
Membranes 14 00085 g008
Figure 9. Structures of poly (arylene ether) main chains prepared by polycondensation based on Friedel–Crafts (A) and Suzuki cross-coupling (B) reactions, respectively.
Figure 9. Structures of poly (arylene ether) main chains prepared by polycondensation based on Friedel–Crafts (A) and Suzuki cross-coupling (B) reactions, respectively.
Membranes 14 00085 g009
Figure 10. Block copolymer structure with a microphase-separated structure, fluorenyl-based multiblock AEM (A) and poly(arylene ether sulfone) block AEM (B).
Figure 10. Block copolymer structure with a microphase-separated structure, fluorenyl-based multiblock AEM (A) and poly(arylene ether sulfone) block AEM (B).
Membranes 14 00085 g010
Figure 11. Main chain structures of anion exchange membranes in the patents, co-polymerized AEM (A), fluorene-based AEM (B), polycyclic aromatic alkyl main chain (C), and poly-cycloolefin block copolymer (D).
Figure 11. Main chain structures of anion exchange membranes in the patents, co-polymerized AEM (A), fluorene-based AEM (B), polycyclic aromatic alkyl main chain (C), and poly-cycloolefin block copolymer (D).
Membranes 14 00085 g011
Table 1. Comparison of performance of AEMs reported in the literature.
Table 1. Comparison of performance of AEMs reported in the literature.
NameTypeIEC (mmol/g)Tensile Strength (MPa)Water Uptake (%)Swelling Ratio (%)Ref.
CAPSF-5uncrosslinked1.9222.9813.049.42[123]
Neosepta AMXcrosslinked2.1635.0744.234.22[123]
V-2-H-1crosslinked2.93~40 MPa<60 (90 °C)<15[121]
X60Y30C6crosslinked2.38-93 (80 °C)35[124]
PcPBI-Nb-2.33uncrosslinked2.3725.5183.0 (80 °C)6.9[122]
PcPBI-Nb-C2crosslinked2.2539.76100.3 (80 °C)5.9[122]
PBI-PVBC-NMPD/OHcrosslinked2.3137.548 (80 °C)11[120]
PTPBHIN-O19crosslinked1.6464.8133 (80 °C)10.53[125]
m-TPNPiQAuncrosslinked2.54<2065.2 (80 °C)25.7[100]
C-IL-100crosslinked2.9922.9197.035.9[100]
Disclaimer/Publisher’s Note: The statements, opinions and data contained in all publications are solely those of the individual author(s) and contributor(s) and not of MDPI and/or the editor(s). MDPI and/or the editor(s) disclaim responsibility for any injury to people or property resulting from any ideas, methods, instructions or products referred to in the content.

Share and Cite

MDPI and ACS Style

Liu, L.; Ma, H.; Khan, M.; Hsiao, B.S. Recent Advances and Challenges in Anion Exchange Membranes Development/Application for Water Electrolysis: A Review. Membranes 2024, 14, 85. https://doi.org/10.3390/membranes14040085

AMA Style

Liu L, Ma H, Khan M, Hsiao BS. Recent Advances and Challenges in Anion Exchange Membranes Development/Application for Water Electrolysis: A Review. Membranes. 2024; 14(4):85. https://doi.org/10.3390/membranes14040085

Chicago/Turabian Style

Liu, Lu, Hongyang Ma, Madani Khan, and Benjamin S. Hsiao. 2024. "Recent Advances and Challenges in Anion Exchange Membranes Development/Application for Water Electrolysis: A Review" Membranes 14, no. 4: 85. https://doi.org/10.3390/membranes14040085

APA Style

Liu, L., Ma, H., Khan, M., & Hsiao, B. S. (2024). Recent Advances and Challenges in Anion Exchange Membranes Development/Application for Water Electrolysis: A Review. Membranes, 14(4), 85. https://doi.org/10.3390/membranes14040085

Note that from the first issue of 2016, this journal uses article numbers instead of page numbers. See further details here.

Article Metrics

Back to TopTop