Diagnostic Validity in Occlusal Caries Detection of ICDAS II, DIAGNOdent, Radiography and a Combination of the Three Methods: An In Vitro Study
Abstract
:1. Introduction
2. Materials and Methods
2.1. Study Design and Sample Preparation
2.2. Authorizations
2.3. Visual Examination Using ICDAS II
2.4. Examination Using DIAGNOdent
- -
- 0–13: healthy dental surface;
- -
- 14–20: start of enamel demineralization;
- -
- 21–29: strong demineralization in enamel;
- -
- >30: dentin caries lesion.
2.5. Radiological Examination
- -
- Code 0: no visible radiolucency;
- -
- Code 1–2: radiolucency in the enamel up to the amelodentin limit;
- -
- Code 3: radiolucency with fracture of the dentin–enamel line but without obvious progression in the dentin;
- -
- Code 4: radiolucency with obvious progression in the outer half of the dentin;
- -
- Code 5: radiolucency in the inner half of the dentin.
2.6. Histological Analysis
- -
- Code 0: caries-free;
- -
- Code 1: caries limited to the outer half of the enamel;
- -
- Code 2: caries that extends to the inner half of the enamel;
- -
- Code 3: caries limited to the outer half of the dentin;
- -
- Code 4: caries that extends to the inner half of the dentin.
2.7. Data Processing and Statistical Analysis
- -
- ICDAS: Code 0 = healthy; codes 1–6 = with a cavity;
- -
- DIAGNOdent: Code 0–13 = 0; Codes > 14 = 1;
- -
- Rx: Code 0 = 0; Codes 1–5 = 1;
- -
- Histology: Code 0 = 0; Codes 1–4 = 1.
- -
- ICDAS: Codes 0–2 = 0; Codes 3–6 = 1;
- -
- DIAGNOdent: Codes 0–29 = 0; Codes > 30 = 1;
- -
- Rx: Codes 0–3 = 0; Codes 4 and 5 = 1;
- -
- Histology: Codes 0–2 = 0; Codes 3 and 4 = 1;
- -
- <0: No agreement;
- -
- 0.0–0.2: Insignificant;
- -
- 0.2–0.4: Low;
- -
- 0.4–0.6: Moderate;
- -
- 0.6–0.8: Good;
- -
- 0.8–1.0: Very good.
3. Results
4. Discussion
5. Conclusions
- -
- The combination of the three methods does not significantly improve the diagnostic capacity of occlusal caries lesions, despite showing an improvement over the results of the different methods separately.
- -
- A combination of the different methods would be advisable, the radiographic method being the most dispensable, as both the ICDAS II criterion and the DIAGNOdent diagnostic method are more effective independently, obtaining the best results with the combination of the two methods.
- -
- The reproducibility of the ICDAS II criteria and the DIAGNOdent system is high for the diagnosis of lesions limited to enamel, as well as those that go deep into dentin.
- -
- Both the ICDAS II criterion and the DIAGNOdent system present good results after brief training, similar to those obtained by examiners with more experience.
Author Contributions
Funding
Institutional Review Board Statement
Informed Consent Statement
Data Availability Statement
Conflicts of Interest
References
- Featherstone, J. Dental caries: A dynamic disease process. Aust. Dent. J. 2008, 53, 286–291. Available online: http://www.ingentaconnect.com/content/bpl/adj/2008/00000053/00000003/art00017 (accessed on 18 October 2020). [CrossRef]
- Ferreira Zandoná, A.; Ando, M.; Gomez, G.F.; Garcia-Corretjer, M.; Eckert, G.J.; Santiago, E.; Katz, B.P.; Zero, D.T. Longitudinal Analyses of Early Lesions by Fluorescence. J. Dent. Res. 2013, 92, S84–S89. [Google Scholar] [CrossRef] [PubMed] [Green Version]
- Femiano, F.; Femiano, R.; Femiano, L.; Jamilian, A.; Rullo, R.; Perillo, L. Dentin caries progression and the role of metalloproteinases: An update. Eur. J. Paediatr. Dent. 2016, 17, 243–247. [Google Scholar] [PubMed]
- Ismail, A.I.; Sohn, W.; Tellez, M.; Amaya, A.; Sen, A.; Hasson, H.; Pitts, N.B. The International Caries Detection and Assessment System (ICDAS): An integrated system for measuring dental caries. Community Dent. Oral Epidemiol. 2007, 35, 170–178. Available online: https://api.istex.fr/ark:/67375/WNG-ZF94PPQT-P/fulltext.pdf (accessed on 23 October 2020). [CrossRef] [Green Version]
- Rechmann, P.; Charland, D.; Rechmann, B.M.T.; Featherstone, J.D.B. Performance of laser fluorescence devices and visual examination for the detection of occlusal caries in permanent molars. J. Biomed. Opt. 2012, 17, 36006. [Google Scholar] [CrossRef] [Green Version]
- Gimenez, T.; Braga, M.M.; Raggio, D.P.; Deery, C.; Ricketts, D.N.; Mendes, F.M. Fluorescence-Based Methods for Detecting Caries Lesions: Systematic Review, Meta-Analysis and Sources of Heterogeneity. PLoS ONE 2013, 8, e60421. Available online: https://www.ncbi.nlm.nih.gov/pubmed/23593215 (accessed on 18 October 2020). [CrossRef] [Green Version]
- Achilleos, E.; Rahiotis, C.; Kakaboura, A.; Vougiouklakis, G. Evaluation of a new fluorescence-based device in the detection of incipient occlusal caries lesions. Lasers Med. Sci. 2013, 28, 193–201. Available online: https://www.ncbi.nlm.nih.gov/pubmed/22576667 (accessed on 18 October 2020). [CrossRef]
- Kaul, R.; Kaul, V.; Farooq, R.; Wazir, N.D.; Khateeb, S.U.; Malik, A.H.; Masoodi, A.A. Cut off values of laser fluorescence for different storage methods at different time intervals in comparison to frozen condition: A 1 year in vitro study. J. Conserv. Dent. 2014, 17, 124–128. Available online: https://www.ncbi.nlm.nih.gov/pubmed/24778506 (accessed on 25 October 2020). [CrossRef]
- Iranzo-Cortés, J.E.; Almarche-Tarazona, M.; Montiel-Company, J.M.; Almerich-Silla, J.M. Diagnostic validity of ICDAS II, VistaProof and a combination of these two methods. An in vitro study in pre-cavitated lesions. Lasers Surg. Med. 2018, 50, 166–173. Available online: https://onlinelibrary.wiley.com/doi/abs/10.1002/lsm.22751 (accessed on 18 October 2020). [CrossRef]
- Almerich Silla, J.M.; Montiel Company, J.M. Oral health survey of the child population in the Valencia Region of Spain (2004). Med. Oral Patol. Oral Y Cirugía Bucal 2006, 11, E369–E381. Available online: https://www.ncbi.nlm.nih.gov/pubmed/16816825 (accessed on 25 October 2020).
- Almerich Silla, J.M.; Boronat Ferrer, M.T.; Montiel Company, J.M.; Iranzo Cortés, J.E. Caries Prevalence in Children from Valencia (Spain) Using ICDAS II Criteria, 2010. 2014. Available online: http://hdl.handle.net/10550/41152 (accessed on 25 October 2020).
- Almerich-Torres, T.; Montiel-Company, J.M.; Bellot-Arcís, C.; Iranzo-Cortés, J.E.; Ortolá-Siscar, J.C.; Almerich-Silla, J.M. Caries Prevalence Evolution and Risk Factors among Schoolchildren and Adolescents from Valencia (Spain): Trends 1998–2018. Int. J. Environ. Res. Public Health 2020, 17, 6561. Available online: https://www.ncbi.nlm.nih.gov/pubmed/32916930 (accessed on 18 October 2020). [CrossRef]
- Llodra-Calvo, J.C. Encuesta de salud oral en España 2010. Rev. Del Ilustre Cons. Gen. De Col. De Odontólogos Y Estomatólogos De España (RCOE) 2012, 17, 13–41. [Google Scholar]
- Iranzo-Cortés, J.E.; Terzic, S.; Montiel-Company, J.M.; Almerich-Silla, J.M. Diagnostic validity of ICDAS and DIAGNOdent combined: An in vitro study in pre-cavitated lesions. Lasers Med. Sci. 2017, 32, 543–548. Available online: https://www.ncbi.nlm.nih.gov/pubmed/28101736 (accessed on 18 October 2020). [CrossRef]
- Gomez, J. Detection and diagnosis of the early caries lesion. BMC Oral Health 2015, 15 (Suppl. S1), S3. Available online: https://www.ncbi.nlm.nih.gov/pubmed/26392124 (accessed on 25 November 2020). [CrossRef] [Green Version]
- Abrams, S.H.; Sivagurunathan, K.S.; Silvertown, J.D.; Wong, B.; Hellen, A.; Mandelis, A.; Hellen, W.M.P.; Elman, G.I.; Mathew, S.M.; Mensinkai, P.K.; et al. Correlation with Caries Lesion Depth of The Canary System, DIAGNOdent and ICDAS II. Open Dent. J. 2017, 11, 679–689. Available online: https://www.ncbi.nlm.nih.gov/pubmed/29387284 (accessed on 18 October 2020). [CrossRef] [Green Version]
- International Caries Detection and Assessment System (ICDAS) Coordinating Committee. Rationale and Evidence for the International Caries Detection and Assessment System (ICDAS II). In Proceedings of the ICDAS II Baltimore Workshop, Baltimore, MD, USA, 12–14 March 2005. [Google Scholar]
- Lussi, A.; Imwinkelried, S.; Pitts, N.; Longbottom, C.; Reich, E. Performance and reproducibility of a laser fluorescence system for detection of occlusal caries in vitro. Caries Res. 1999, 33, 261–266. [Google Scholar] [CrossRef]
- Landis, J.R.; Koch, G.G. The Measurement of Observer Agreement for Categorical Data. Biometrics 1977, 33, 159–174. Available online: https://www.jstor.org/stable/2529310 (accessed on 18 October 2020). [CrossRef] [Green Version]
- Diniz, M.B.; Sciasci, P.; Rodrigues, J.A.; Lussi, A.; Cordeiro, R.C.L. Influence of Different Professional Prophylactic Methods on Fluorescence Measurements for Detection of Occlusal Caries. Caries Res. 2011, 45, 264–268. Available online: https://www.karger.com/Article/Abstract/326110 (accessed on 18 October 2020). [CrossRef]
- Aktan, A.; Cebe, M.; Çiftçi, M.; Şirin Karaarslan, E. A novel LED-based device for occlusal caries detection. Lasers Med. Sci. 2012, 27, 1157–1163. Available online: https://www.ncbi.nlm.nih.gov/pubmed/22080431 (accessed on 18 October 2020). [CrossRef]
- Novaes, T.F.; Moriyama, C.M.; De Benedetto, M.S.; Kohara, E.K.; Braga, M.M.; Mendes, F.M. Performance of fluorescence-based methods for detecting and quantifying smooth-surface caries lesions in primary teeth: An in vitro study. Int. J. Paediatr. Dent. 2016, 26, 13–19. Available online: https://api.istex.fr/ark:/67375/WNG-7CMN8TSP-L/fulltext.pdf (accessed on 23 October 2020). [CrossRef]
- Bussaneli, D.; Restrepo, M.; Boldieri, T.; Pretel, H.; Mancini, M.; Santos-Pinto, L.; Cordeiro, R. Assessment of a new infrared laser transillumination technology (808 nm) for the detection of occlusal caries—An in vitro study. Lasers Med. Sci. 2015, 30, 1873–1879. Available online: https://www.ncbi.nlm.nih.gov/pubmed/25549960 (accessed on 23 October 2020). [CrossRef]
- Rodrigues, J.A.; Hug, I.; Diniz, M.B.; Lussi, A. Performance of Fluorescence Methods, Radiographic Examination and ICDAS II on Occlusal Surfaces in vitro. Caries Res. 2008, 42, 297–304. Available online: https://www.karger.com/Article/Abstract/148162 (accessed on 18 October 2020). [CrossRef] [Green Version]
- Ozturk, E.; Sinanoglu, A. Histological Validation of Cone-Beam Computed Tomography Versus Laser Fluorescence and Conventional Diagnostic Methods for Occlusal Caries Detection. Photomed. Laser Surg. 2015, 33, 61–68. Available online: https://www.liebertpub.com/doi/abs/10.1089/pho.2014.3831 (accessed on 18 October 2020). [CrossRef]
- Diniz, M.B.; Santos-Pinto, L.; Boldieri, T.; Cordeiro, R.C.L.; Lussi, A.; Rodrigues, J.A. The performance of conventional and fluorescence-based methods for occlusal caries detection An in vivo study with histologic validation. J. Am. Dent. Assoc. 2012, 143, 339–350. Available online: http://jada.ada.org/content/143/4/339.abstract (accessed on 18 October 2020). [CrossRef]
- Shi, X.; Welander, U.; Angmar-Månsson, B. Occlusal Caries Detection with KaVo DIAGNOdent and Radiography: An in vitro Comparison. Caries Res. 2000, 34, 151–158. Available online: https://www.karger.com/Article/Abstract/16583 (accessed on 18 October 2020). [CrossRef]
- Côrtes, D.F.; Ellwood, R.P.; Ekstrand, K.R. An in vitro Comparison of a Combined FOTI/Visual Examination of Occlusal Caries with Other Caries Diagnostic Methods and the Effect of Stain on Their Diagnostic Performance. Caries Res. 2003, 37, 8–16. Available online: https://www.karger.com/Article/Abstract/68230 (accessed on 18 October 2020). [CrossRef]
- Tomczyk, J.; Komarnitki, J.; Zalewska, M.; Lekszycki, T.; Olczak-Kowalczyk, D. Fluorescence methods (VistaCam iX proof and DIAGNODent pen) for the detection of occlusal carious lesions in teeth recovered from archaeological context. Am. J. Phys. Anthropol. 2014, 154, 525–534. [Google Scholar] [CrossRef]
- Oancea, R.; Podariu, A.C.; Vasile, L.; Sava-Roşianu, R.; Folescu, R. In vitro evaluation of laser fluorescence devices for caries detection through stereomicroscopic imaging. Rom. J. Morphol. Embryol. 2013, 54, 333–341. Available online: https://www.ncbi.nlm.nih.gov/pubmed/23771078 (accessed on 25 October 2020).
- Heinrich-Weltzien, R.; Weerheijm, K.L.; Kuhnisch, J.; Oehme, T.; Stosser, L. Clinical evaluation of visual, radiographic, and laser fluorescence methods for detection of occlusal caries. J. Dent. Child. (Chic. Ill.) 2002, 69, 127–132. Available online: http://www.ingentaconnect.com/content/aapd/jodc/2002/00000069/00000002/art00005?crawler=true (accessed on 25 October 2020).
- Pinelli, C.; Campos Serra, M.; Loffredo, L.D.C.M. Validity and Reproducibility of a Laser Fluorescence System for Detecting the Activity of White-Spot Lesions on Free Smooth Surfaces in vivo. Caries Res. 2002, 36, 19–24. Available online: https://www.karger.com/Article/Abstract/57585 (accessed on 18 October 2020). [CrossRef]
- Attrill, D.C.; Ashley, P.F. Occlusal caries detection in primary teeth: A comparison of DIAGNOdent with conventional methods. Br. Dent. J. 2001, 190, 440–443. Available online: https://www.ncbi.nlm.nih.gov/pubmed/11352392 (accessed on 18 October 2020). [CrossRef] [PubMed] [Green Version]
- Bakhshandeh, A.; Ekstrand, K.R.; Qvist, V. Measurement of Histological and Radiographic Depth and Width of Occlusal Caries Lesions: A Methodological Study. Caries Res. 2011, 45, 547–555. Available online: https://www.karger.com/Article/Abstract/331212 (accessed on 18 October 2020). [CrossRef] [PubMed]
- Hamishaki, K.S.; Chiniforush, N.; Monzavi, A.; Khazarazifard, M.J. An in vivo comparison of two diagnostic methods in secondary caries detection. J. Dent. 2014, 11, 17–21. Available online: https://www.ncbi.nlm.nih.gov/pubmed/24910672 (accessed on 18 October 2020).
- Jablonski-Momeni, A.; Stucke, J.; Steinberg, T.; Heinzel-Gutenbrunner, M. Use of ICDAS-II, Fluorescence-Based Methods, and Radiography in Detection and Treatment Decision of Occlusal Caries Lesions: An In Vitro Study. Int. J. Dent. 2012, 2012, 371595–371598. Available online: https://www.airitilibrary.com/Publication/alDetailedMesh?DocID=P20160526004-201212-201702230002-201702230002-383-390-051 (accessed on 18 October 2020). [CrossRef]
- Braga, M.M.; Mendes, F.M.; Imparato, J.C.P.; Martins, C.R.M.D. Effect of the Calibration Method of a Laser Fluorescence Device for Detecting Occlusal Caries in Primary Molars. Pediatr. Dent. 2006, 28, 451–454. Available online: http://www.ingentaconnect.com/content/aapd/pd/2006/00000028/00000005/art00011 (accessed on 18 October 2020).
- Sinanoglu, A.; Ozturk, E.; Ozel, E. Diagnosis of Occlusal Caries Using Laser Fluorescence Versus Conventional Methods in Permanent Posterior Teeth: A Clinical Study. Photomed. Laser Surg. 2014, 32, 13–137. Available online: https://www.liebertpub.com/doi/abs/10.1089/pho.2013.3625 (accessed on 18 October 2020). [CrossRef]
- Melo, M.; Pascual, A.; Camps, I.; Del Campo, Á.; Ata-Ali, J. Caries diagnosis using light fluorescence devices in comparison with traditional visual and tactile evaluation: A prospective study in 152 patients. Odontology 2017, 105, 283–290. Available online: https://www.ncbi.nlm.nih.gov/pubmed/27655625 (accessed on 18 October 2020). [CrossRef]

| Inter-Examiner D1 | Inter-Examiner D3 | Intra-Examiner Examiner 1 D1 | Intra-Examiner Examiner 2 D1 | Intra-Examiner Examiner 1 D3 | Intra-Examiner Examiner 2 D3 | |
|---|---|---|---|---|---|---|
| Reproducibility ICDAS first exam (kappa IC 95%) | 0.924 (0.839–1.008) | 0.944 (0.868–1.002) | 0.871 (0.761–0.980) | 0.821 (0.934–0.947) | 1.000 (1.000–1.000) | 0.868 (0.745–0.979) |
| Reproducibility ICDAS second exam (kappa IC 95%) | 0.817 (0.687–0.946) | 0.809 (0.675–0.944) | ||||
| Reproducibility DIAGNOdent first exam (kappa IC 95%) | 0.862 (0.731–0.993) | 0.870 (0.760–0.979) | 0.933 (0.842–1.025) | 0.890 (0.769–1.012) | 0.923 (0.838–1.008) | 0.919 (0.830–1.009) |
| Reproducibility DIAGNOdent second exam (kappa IC 95%) | 0.825 (0.677–0.972) | 0.922 (0.835–1.008) |
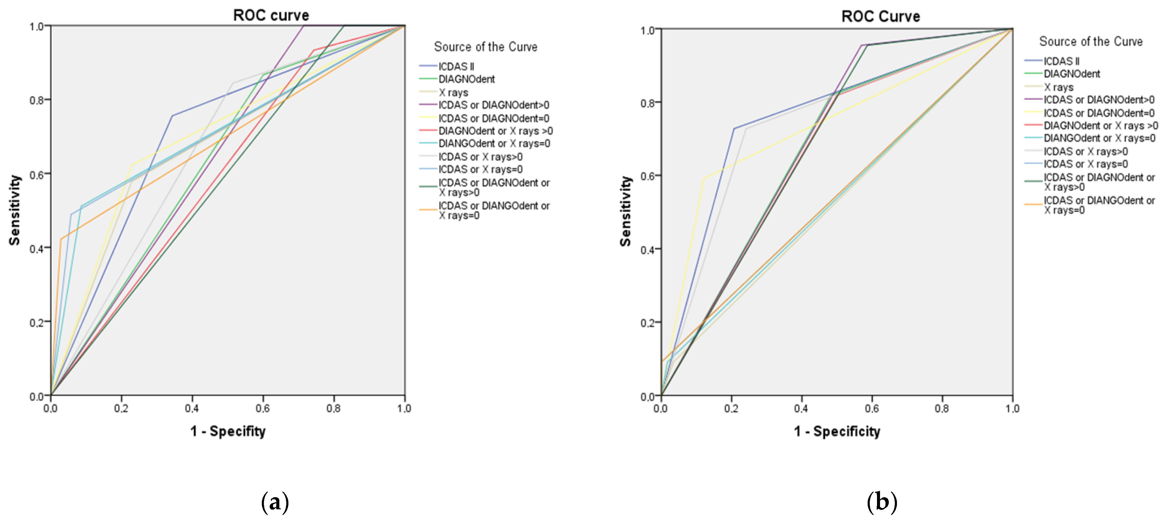
| Sensitivity D1 | Specificity D1 | Area under the ROC Curve D1 | Sensitivity D3 | Specificity D3 | Area under the ROC Curve D3 | |
|---|---|---|---|---|---|---|
| ICDAS II | 0.76 | 0.66 | 0.71 (0.59–0.82) | 0.73 | 0.79 | 0.76 (0.64–0.88) |
| DIAGNOdent | 0.87 | 0.4 | 0.63 (0.51–0.76) | 0.82 | 0.52 | 0.69 (0.54–0.80) |
| Radiography | 0.58 | 0.77 | 0.68 (0.56–0.79) | 0.09 | 0.97 | 0.53 (0.39–0.65) |
| DIAGNOdent or ICDAS > 0 | 1 | 0.29 | 0.64 (0.52–0.77) | 0.95 | 0.43 | 0.69 (0.56–0.81) |
| DIAGNOdent or ICDAS = 0 | 0.62 | 0.77 | 0.70 (0.58–0.81) | 0.59 | 0.88 | 0.74 (0.60–0.87) |
| DIAGNOdent or Rx > 0 | 0.93 | 0.26 | 0.56 (0.47–0.72) | 0.82 | 0.5 | 0.66 (0.53–0.79) |
| DIAGNOdent or Rx = 0 | 0.51 | 0.91 | 0.71 (0.60–0.83) | 0.09 | 0.98 | 0.54 (0.39–0.68) |
| ICDAS or Rx > 0 | 0.84 | 0.49 | 0.67 (0.54–0.79) | 0.73 | 0.76 | 0.74 (0.62–0.87) |
| ICDAS or Rx = 0 | 0.49 | 0.94 | 0.72 (0.60–0.83 | 0.09 | 1 | 0.55 (0.40–0.69) |
| ICDAS or DIAGNOdent or Rx > 0 | 1 | 0.17 | 0.59 (0.46–0.71) | 0.95 | 0.41 | 0.68 (0.57–0.80) |
| ICDAS or DIAGNOdent or Rx = 0 | 0.42 | 0.97 | 0.697 (0.58–0.81) | 0.09 | 1 | 0.54 (0.40–0.69) |
Publisher’s Note: MDPI stays neutral with regard to jurisdictional claims in published maps and institutional affiliations. |
© 2022 by the authors. Licensee MDPI, Basel, Switzerland. This article is an open access article distributed under the terms and conditions of the Creative Commons Attribution (CC BY) license (https://creativecommons.org/licenses/by/4.0/).
Share and Cite
Minuesa-García, E.; Iranzo-Cortés, J.E.; Almerich-Torres, T.; Bellot-Arcís, C.; Montiel-Company, J.M.; Almerich-Silla, J.M. Diagnostic Validity in Occlusal Caries Detection of ICDAS II, DIAGNOdent, Radiography and a Combination of the Three Methods: An In Vitro Study. J. Clin. Med. 2022, 11, 2937. https://doi.org/10.3390/jcm11102937
Minuesa-García E, Iranzo-Cortés JE, Almerich-Torres T, Bellot-Arcís C, Montiel-Company JM, Almerich-Silla JM. Diagnostic Validity in Occlusal Caries Detection of ICDAS II, DIAGNOdent, Radiography and a Combination of the Three Methods: An In Vitro Study. Journal of Clinical Medicine. 2022; 11(10):2937. https://doi.org/10.3390/jcm11102937
Chicago/Turabian StyleMinuesa-García, Elena, José Enrique Iranzo-Cortés, Teresa Almerich-Torres, Carlos Bellot-Arcís, José María Montiel-Company, and José Manuel Almerich-Silla. 2022. "Diagnostic Validity in Occlusal Caries Detection of ICDAS II, DIAGNOdent, Radiography and a Combination of the Three Methods: An In Vitro Study" Journal of Clinical Medicine 11, no. 10: 2937. https://doi.org/10.3390/jcm11102937
APA StyleMinuesa-García, E., Iranzo-Cortés, J. E., Almerich-Torres, T., Bellot-Arcís, C., Montiel-Company, J. M., & Almerich-Silla, J. M. (2022). Diagnostic Validity in Occlusal Caries Detection of ICDAS II, DIAGNOdent, Radiography and a Combination of the Three Methods: An In Vitro Study. Journal of Clinical Medicine, 11(10), 2937. https://doi.org/10.3390/jcm11102937

