Impact of the COVID-19 Pandemic on the Incidence and Characteristics of Patients with Psychiatric Illnesses Visiting Emergency Departments in Korea
Abstract
:1. Introduction
2. Materials and Methods
2.1. Study Design and Data Sources
2.2. Study Setting
2.3. Study Population
2.4. Study Outcomes and Variables
2.5. Statistical Analysis
3. Results
3.1. Demographic Findings
3.1.1. All Emergency Department (ED) Visits and Psychiatric Illness Visits
3.1.2. Patients with Psychiatric Diagnostic Code as Principal Diagnosis
3.2. Number of Patients with Psychiatric Illness Per 100,000 ED Visits
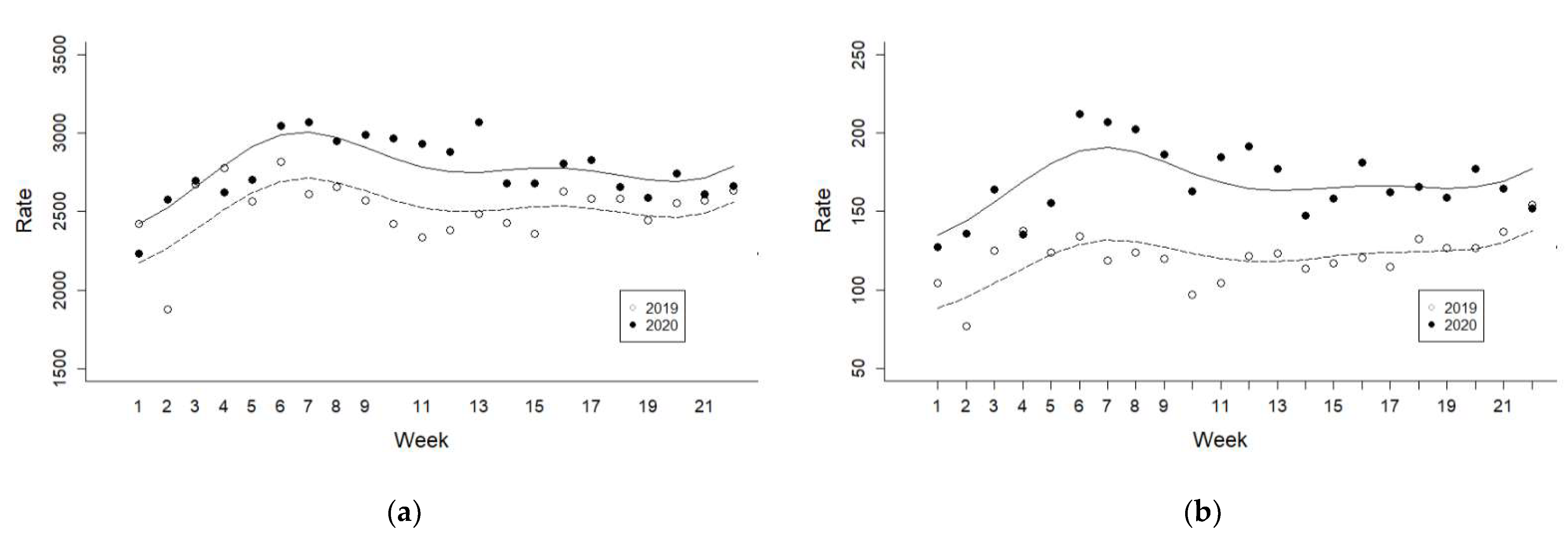
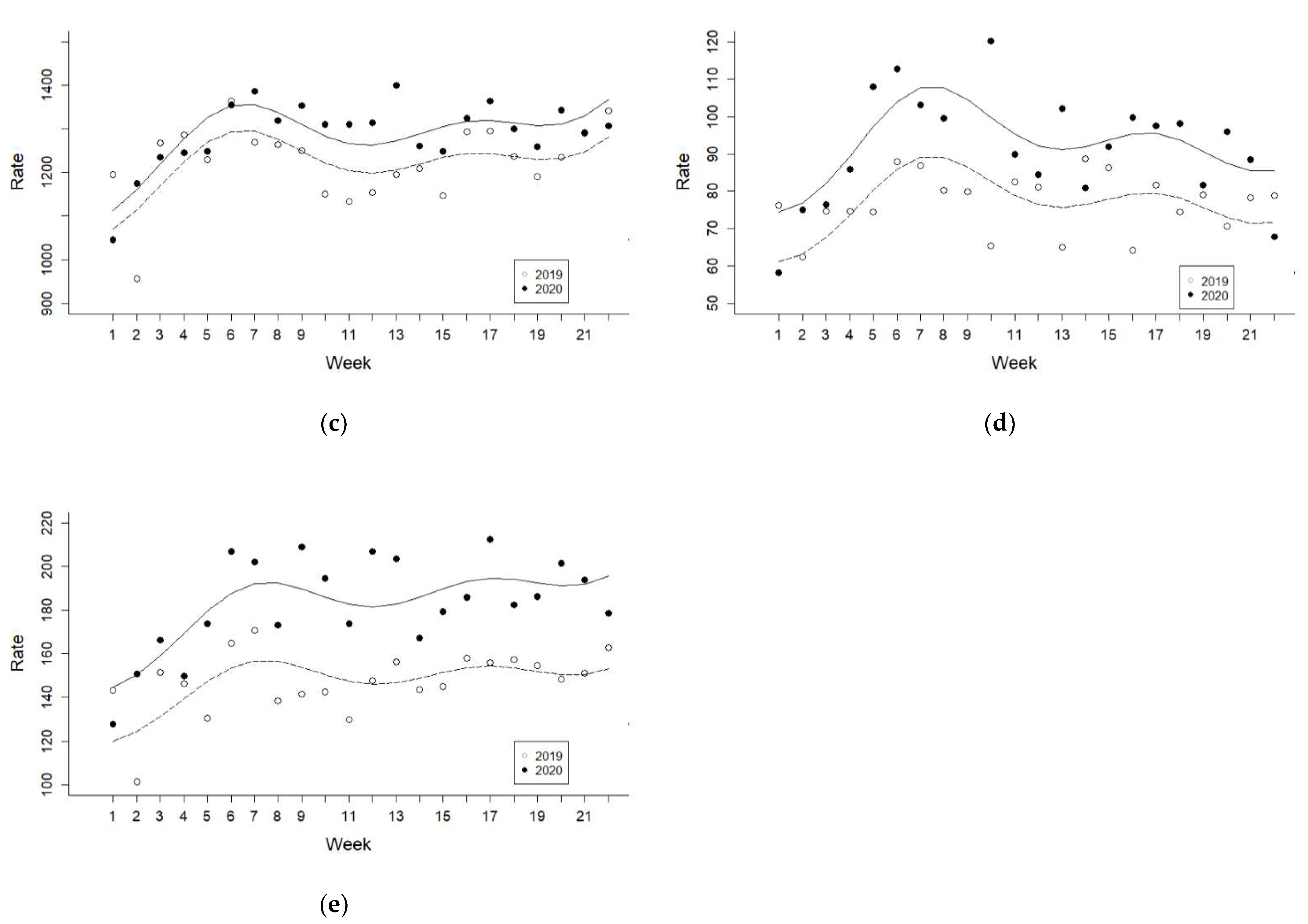
3.2.1. Weekly Trends of Patients with Psychiatric Illnesses
3.2.2. Age- and Sex-Standardized Rates of Patients with Psychiatric Illness
3.2.3. Segmented Poisson Regression Analysis for Patients with Psychiatric Illnesses
4. Discussion
5. Conclusions
Supplementary Materials
Author Contributions
Funding
Institutional Review Board Statement
Informed Consent Statement
Data Availability Statement
Conflicts of Interest
References
- Nacoti, M.; Ciocca, A.; Giupponi, A.; Brambillasca, P.; Lussana, F.; Pisano, M.; Goisis, G.; Bonacina, D.; Fazzi, F.; Naspro, R. At the epicenter of the Covid-19 pandemic and humanitarian crises in Italy: Changing perspectives on preparation and mitigation. NEJM Catal. Innov. Care Deliv. 2020, 1, 1–5. [Google Scholar] [CrossRef]
- Horton, R. Offline: 2019-nCoV—“A desperate plea”. Lancet 2020, 395, 400. [Google Scholar] [CrossRef] [Green Version]
- Boserup, B.; McKenney, M.; Elkbuli, A. The impact of the COVID-19 pandemic on emergency department visits and patient safety in the United States. Am. J. Emerg. Med. 2020, 38, 1732–1736. [Google Scholar] [CrossRef]
- Kuitunen, I.; Ponkilainen, V.T.; Launonen, A.P.; Reito, A.; Hevonkorpi, T.P.; Paloneva, J.; Mattila, V.M. The effect of national lockdown due to COVID-19 on emergency department visits. Scand. J. Trauma Resusc. Emerg. Med. 2020, 28, 114. [Google Scholar] [CrossRef]
- Campion, J.; Javed, A.; Sartorius, N.; Marmot, M. Addressing the public mental health challenge of COVID-19. Lancet Psychiatry 2020, 7, 657–659. [Google Scholar] [CrossRef]
- Holmes, E.A.; O’Connor, R.C.; Perry, V.H.; Tracey, I.; Wessely, S.; Arseneault, L.; Ballard, C.; Christensen, H.; Silver, R.C.; Everall, I. Multidisciplinary research priorities for the COVID-19 pandemic: A call for action for mental health science. Lancet Psychiatry 2020, 7, 547–560. [Google Scholar] [CrossRef]
- Kuzman, M.R.; Curkovic, M.; Wasserman, D. Principles of mental health care during the COVID-19 pandemic. Eur. Psychiatry 2020, 63, 1–11. [Google Scholar] [CrossRef]
- Santomauro, D.F.; Herrera, A.M.M.; Shadid, J.; Zheng, P.; Ashbaugh, C.; Pigott, D.M.; Abbafati, C.; Adolph, C.; Amlag, J.O.; Aravkin, A.Y. Global prevalence and burden of depressive and anxiety disorders in 204 countries and territories in 2020 due to the COVID-19 pandemic. Lancet 2021, 398, 1700–1712. [Google Scholar] [CrossRef]
- Park, H.Y.; Park, W.B.; Lee, S.H.; Kim, J.L.; Lee, J.J.; Lee, H.; Shin, H.-S. Posttraumatic stress disorder and depression of survivors 12 months after the outbreak of Middle East respiratory syndrome in South Korea. BMC Public Health 2020, 20, 605. [Google Scholar] [CrossRef]
- Bourmistrova, N.W.; Solomon, T.; Braude, P.; Strawbridge, R.; Carter, B. Long-term effects of COVID-19 on mental health: A systematic review. J. Affect. Disord. 2022, 299, 118–125. [Google Scholar] [CrossRef]
- Brooks, S.K.; Webster, R.K.; Smith, L.E.; Woodland, L.; Wessely, S.; Greenberg, N.; Rubin, G.J. The psychological impact of quarantine and how to reduce it: Rapid review of the evidence. Lancet 2020, 395, 912–920. [Google Scholar] [CrossRef] [Green Version]
- Rubin, G.J.; Potts, H.; Michie, S. The impact of communications about swine flu (influenza A H1N1v) on public responses to the outbreak: Results from 36 national telephone surveys in the UK. Health Technol. Assess. 2010, 14, 183–266. [Google Scholar] [CrossRef] [Green Version]
- Van Bortel, T.; Basnayake, A.; Wurie, F.; Jambai, M.; Koroma, A.S.; Muana, A.T.; Hann, K.; Eaton, J.; Martin, S.; Nellums, L.B. Psychosocial effects of an Ebola outbreak at individual, community and international levels. Bull. World Health Organ. 2016, 94, 210. [Google Scholar] [CrossRef] [PubMed] [Green Version]
- Sim, K.; Chan, Y.H.; Chong, P.N.; Chua, H.C.; Soon, S.W. Psychosocial and coping responses within the community health care setting towards a national outbreak of an infectious disease. J. Psychosom. Res. 2010, 68, 195–202. [Google Scholar] [CrossRef] [PubMed]
- Manchia, M.; Gathier, A.W.; Yapici-Eser, H.; Schmidt, M.V.; de Quervain, D.; van Amelsvoort, T.; Bisson, J.I.; Cryan, J.F.; Howes, O.D.; Pinto, L. The impact of the prolonged COVID-19 pandemic on stress resilience and mental health: A critical review across waves. Eur. Neuropsychopharmacol. 2022, 55, 22–83. [Google Scholar] [CrossRef] [PubMed]
- Huang, Y.; Zhao, N. Generalized anxiety disorder, depressive symptoms and sleep quality during COVID-19 outbreak in China: A web-based cross-sectional survey. Psychiatry Res. 2020, 288, 112954. [Google Scholar] [CrossRef] [PubMed]
- Hassan, L.; Peek, N.; Lovell, K.; Carvalho, A.F.; Solmi, M.; Stubbs, B.; Firth, J. Disparities in COVID-19 infection, hospitalisation and death in people with schizophrenia, bipolar disorder, and major depressive disorder: A cohort study of the UK Biobank. Mol. Psychiatry 2021, 1–8. [Google Scholar] [CrossRef]
- Iasevoli, F.; Fornaro, M.; D’Urso, G.; Galletta, D.; Casella, C.; Paternoster, M.; Buccelli, C.; de Bartolomeis, A.; Group, C.-I.P.S. Psychological distress in serious mental illness patients during the COVID-19 outbreak and one-month mass quarantine in Italy. Psychol. Med. 2021, 51, 1054–1056. [Google Scholar] [CrossRef] [PubMed]
- Yao, H.; Chen, J.-H.; Xu, Y.-F. Patients with mental health disorders in the COVID-19 epidemic. Lancet Psychiatry 2020, 7, e21. [Google Scholar] [CrossRef]
- Druss, B.G. Addressing the COVID-19 pandemic in populations with serious mental illness. JAMA Psychiatry 2020, 77, 891–892. [Google Scholar] [CrossRef] [Green Version]
- Rodriguez-Jimenez, R.; Rentero, D.; Romero-Ferreiro, V.; García-Fernández, L. Impact of outbreak COVID-19 pandemic on psychiatry emergencies in Spain. Psychiatry Res. 2020, 295, 113581. [Google Scholar] [CrossRef]
- Gonçalves-Pinho, M.; Mota, P.; Ribeiro, J.; Macedo, S.; Freitas, A. The impact of COVID-19 pandemic on psychiatric emergency department visits—A descriptive study. Psychiatr. Q. 2021, 92, 621–631. [Google Scholar] [CrossRef]
- Korean Society of Infectious Diseases; Korean Society of Pediatric Infectious Diseases; Korean Society of Epidemiology; Korean Society for Antimicrobial Therapy; Korean Society for Healthcare-associated Infection Control and Prevention; Korea Centers for Disease Control and Prevention. Report on the epidemiological features of coronavirus disease 2019 (COVID-19) outbreak in the Republic of Korea from January 19 to March 2, 2020. J. Korean Med. Sci. 2020, 35, e112. [Google Scholar] [CrossRef]
- Korea, S. Population of the Middle of the Year. Available online: https://kosis.kr/statHtml/statHtml.do?orgId=101&tblId=DT_1B040M5 (accessed on 26 December 2019).
- Kim, H.; Park, K.J.; Shin, Y.-W.; Lee, J.S.; Chung, S.; Lee, T.; Kim, M.-J.; Jung, J.; Lee, J.; Yum, M.-S. Psychological Impact of Quarantine on Caregivers at a Children’s Hospital for Contact with Case of COVID-19. J. Korean Med. Sci. 2020, 35, 1146098. [Google Scholar] [CrossRef]
- Chen, T.A.; Lai, K.H.; Chang, H.T. Impact of a severe acute respiratory syndrome outbreak in the emergency department: An experience in Taiwan. Emerg. Med. J. 2004, 21, 660–662. [Google Scholar] [CrossRef] [Green Version]
- Chang, H.J.; Huang, N.; Lee, C.H.; Hsu, Y.J.; Hsieh, C.J.; Chou, Y.J. The impact of the SARS epidemic on the utilization of medical services: SARS and the fear of SARS. Am. J. Public Health 2004, 94, 562–564. [Google Scholar] [CrossRef]
- Costello, B.E.; Simon, H.K.; Massey, R.; Hirsh, D.A. Pandemic H1N1 influenza in the pediatric emergency department: A comparison with previous seasonal influenza outbreaks. Ann. Emerg. Med. 2010, 56, 643–648. [Google Scholar] [CrossRef]
- Fagbuyi, D.B.; Brown, K.M.; Mathison, D.J.; Kingsnorth, J.; Morrison, S.; Saidinejad, M.; Greenberg, J.; Knapp, M.; Chamberlain, J.M. A rapid medical screening process improves emergency department patient flow during surge associated with novel H1N1 influenza virus. Ann. Emerg. Med. 2011, 57, 52–59. [Google Scholar] [CrossRef]
- Lee, S.Y.; Khang, Y.-H.; Lim, H.-K. Impact of the 2015 middle east respiratory syndrome outbreak on emergency care utilization and mortality in South Korea. Yonsei Med. J. 2019, 60, 796–803. [Google Scholar] [CrossRef]
- Joyce, L.R.; Richardson, S.K.; McCombie, A.; Hamilton, G.J.; Ardagh, M.W. Mental health presentations to Christchurch Hospital Emergency Department during COVID-19 lockdown. Emerg. Med. Australas. 2020, 33, 324–330. [Google Scholar] [CrossRef]
- Iob, E.; Steptoe, A.; Fancourt, D. Abuse, self-harm and suicidal ideation in the UK during the COVID-19 pandemic. Br. J. Psychiatry 2020, 217, 543–546. [Google Scholar] [CrossRef]
- Pirkis, J.; John, A.; Shin, S.; DelPozo-Banos, M.; Arya, V.; Analuisa-Aguilar, P.; Appleby, L.; Arensman, E.; Bantjes, J.; Baran, A. Suicide trends in the early months of the COVID-19 pandemic: An interrupted time-series analysis of preliminary data from 21 countries. Lancet Psychiatry 2021, 8, 579–588. [Google Scholar] [CrossRef]
- Haw, C.; Hawton, K.; Houston, K.; Townsend, E. Psychiatric and personality disorders in deliberate self-harm patients. Br. J. Psychiatry 2001, 178, 48–54. [Google Scholar] [CrossRef]
- Skegg, K. Self-harm. Lancet 2005, 366, 1471–1483. [Google Scholar] [CrossRef]


| Total ED Visits | All Psychiatric Disorders | ||||||||
|---|---|---|---|---|---|---|---|---|---|
| Before-COVID | During-COVID | Before-COVID | During-COVID | p-Value | |||||
| N | % | N | % | N | % | N | % | ||
| Total | 3,540,628 | 2,669,985 | 88,520 | 73,281 | |||||
| Incidence rate, per 1,000,000 person-days * | 447.8 | 337.7 | 11.2 | 9.3 | <0.01 | ||||
| Age, year | <0.01 | ||||||||
| 0~18 | 752,500 | 21.3 | 364,372 | 13.6 | 4394 | 5.0 | 3047 | 4.2 | |
| 10~64 | 1,993,876 | 56.3 | 1,628,517 | 61.0 | 52,196 | 59.0 | 41,686 | 56.9 | |
| 65~120 | 794,252 | 22.4 | 677,096 | 25.4 | 31,930 | 36.1 | 28,548 | 39.0 | |
| Median (IQR) | 45 (22–63) | 48 (28–65) | 56 (39–75) | 57 (39–77) | <0.01 | ||||
| Sex, female | 1,735,274 | 49.0 | 1,281,076 | 48.0 | 47,164 | 53.3 | 39,286 | 53.6 | 0.19 | 
| EMS use | 595,780 | 16.8 | 521,961 | 19.5 | 37,685 | 42.6 | 31,955 | 43.6 | <0.01 | 
| Level of ED, 1 and 2 | 2,467,934 | 69.7 | 1,827,591 | 68.4 | 63,798 | 72.1 | 53,396 | 72.9 | <0.01 | 
| Reason of visit | <0.01 | ||||||||
| Medical illness | 2,557,421 | 72.2 | 1,882,434 | 70.5 | 73,129 | 82.6 | 59,352 | 81.0 | |
| Injury | 983,207 | 27.8 | 787,551 | 29.5 | 15,391 | 17.4 | 13,929 | 19.0 | |
| Self-harm injury | 14,797 | 0.4 | 14,304 | 0.5 | 4240 | 4.8 | 4431 | 6.0 | <0.01 | 
| Incidence rate, per 1,000,000 person-days * | 1.87 | 1.81 | 0.54 | 0.56 | 0.04 | ||||
| Clinical outcomes | |||||||||
| Admission | 674,417 | 19.0 | 556,363 | 20.8 | 36,902 | 41.7 | 33,521 | 45.7 | <0.01 | 
| In-hospital mortality | 46,572 | 1.3 | 46,352 | 1.7 | 1954 | 2.2 | 1902 | 2.6 | <0.01 | 
| ED | 17,702 | 0.5 | 18,696 | 0.7 | 121 | 0.1 | 123 | 0.2 | |
| Ward | 28,870 | 0.8 | 27,656 | 1.0 | 1833 | 2.1 | 1779 | 2.4 | |
| ED visit with psychiatric illness | |||||||||
| All psychiatric disorders | 88,520 | 2.5 | 73,281 | 2.7 | 88,520 | 100.0 | 73,281 | 100.0 | |
| Psychiatric self-harm | 4240 | 0.1 | 4431 | 0.2 | 4240 | 4.8 | 4431 | 6.0 | <0.01 | 
| Principal psychiatric | 43,171 | 1.2 | 34,249 | 1.3 | 43,171 | 48.8 | 34,249 | 46.7 | <0.01 | 
| Principal psychosis | 2716 | 0.1 | 2424 | 0.1 | 2716 | 3.1 | 2424 | 3.3 | 0.01 | 
| Principal mood disorder | 5191 | 0.1 | 4839 | 0.2 | 5191 | 5.9 | 4839 | 6.6 | <0.01 | 
| Principal Psychiatric Group | p-Value | ||||
|---|---|---|---|---|---|
| Before-COVID | During-COVID | ||||
| N | % | N | % | ||
| Total | 43,171 | 34,249 | |||
| Incidence rate, per 1,000,000 person-days * | 5.46 | 4.33 | <0.01 | ||
| Age, year | <0.01 | ||||
| 0~18 | 3230 | 7.5 | 2220 | 6.5 | |
| 10~64 | 31,430 | 72.8 | 25,179 | 73.5 | |
| 65~120 | 8511 | 19.7 | 6850 | 20.0 | |
| Median (IQR) | 48 (30–61) | 47 (29–61) | 0.58 | ||
| Sex, female | 23,614 | 54.7 | 18,996 | 55.5 | 0.03 | 
| Insurance, Medicaid | 6455 | 15.0 | 5163 | 15.1 | 0.63 | 
| EMS use | 18,786 | 43.5 | 14,589 | 42.6 | 0.01 | 
| Level of ED, 1 and 2 | 30,087 | 69.7 | 24,217 | 70.7 | <0.01 | 
| Reason of visit, injury | 6069 | 14.1 | 5146 | 15.0 | <0.01 | 
| Length of stay in the ED, Median (IQR), hours | 2.4 (1.4–4.3) | 2.3 (1.3–4.5) | 0.67 | ||
| Clinical outcomes | |||||
| Admission | 7140 | 16.5 | 5968 | 17.4 | <0.01 | 
| In-hospital mortality | 177 | 0.4 | 181 | 0.5 | 0.02 | 
| ED | 43 | 0.1 | 32 | 0.1 | |
| Ward | 134 | 0.3 | 149 | 0.4 | |
| Diagnosis (ICD-10) | |||||
| Schizophrenia and so on (F2) | 2625 | 6.1 | 2346 | 6.8 | 0.01 | 
| Incidence rate, per 1,000,000 person-days * | 0.33 | 0.30 | <0.01 | ||
| Schizophrenia (F20) | 1707 | 4.0 | 1519 | 4.4 | |
| Schizotypal disorder (F21) | 1 | 0.0 | 8 | 0.0 | |
| Persistent delusional disorders (F22) | 86 | 0.2 | 51 | 0.1 | |
| Acute and transient psychotic disorders (F23) | 192 | 0.4 | 160 | 0.5 | |
| Induced delusional disorder (F24) | 5 | 0.0 | 1 | 0.0 | |
| Schizoaffective disorders (F25) | 215 | 0.5 | 234 | 0.7 | |
| Other nonorganic psychotic disorders (F28) | 30 | 0.1 | 21 | 0.1 | |
| Unspecified nonorganic psychosis (F29) | 389 | 0.9 | 352 | 1.0 | |
| Mood disorders (F3) | 5068 | 11.7 | 4726 | 13.8 | <0.01 | 
| Incidence rate, per 1,000,000 person-days * | 0.64 | 0.60 | <0.01 | ||
| Manic episode (F30) | 42 | 0.1 | 29 | 0.1 | |
| Bipolar affective disorder (F31) | 1744 | 4.0 | 1538 | 4.5 | |
| Depressive episode (F32) | 2745 | 6.4 | 2248 | 6.6 | |
| Recurrent depressive disorder (F33) | 326 | 0.8 | 355 | 1.0 | |
| Persistent mood disorders (F34) | 91 | 0.2 | 302 | 0.9 | |
| Other mood disorders (F38) | 8 | 0.0 | 19 | 0.1 | |
| Unspecified mood disorder (F39) | 112 | 0.3 | 235 | 0.7 | |
| Others | 35,478 | 82.2 | 27,177 | 79.4 | |
| Before-COVID | During-COVID | Rate Difference | Rate Ratio | |||||||||
|---|---|---|---|---|---|---|---|---|---|---|---|---|
| Rate * | 95% CI | Rate * | 95% CI | Diff | 95% CI | Ratio | 95% CI | |||||
| All psychiatric disorders | 2588 | 2571 | 2605 | 2634 | 2615 | 2653 | 45.7 | 20.1 | 71.4 | 1.02 | 1.01 | 1.03 | 
| Psychiatric self-harm | 122 | 118 | 125 | 164 | 159 | 169 | 42.2 | 36.2 | 48.3 | 1.35 | 1.29 | 1.41 | 
| Principal psychiatric | 1251 | 1239 | 1262 | 1248 | 1235 | 1261 | −2.6 | −20.4 | 15.1 | 1.00 | 0.98 | 1.01 | 
| Principal psychosis | 76 | 73 | 79 | 85 | 82 | 88 | 8.9 | 4.4 | 13.4 | 1.12 | 1.06 | 1.18 | 
| Principal mood disorder | 145 | 141 | 149 | 176 | 171 | 181 | 31.1 | 24.7 | 37.5 | 1.21 | 1.17 | 1.26 | 
| Rate Ratio * | 95% CI | ||
|---|---|---|---|
| All psychiatric disorders | 1.12 | 1.03 | 1.20 | 
| Psychiatric self-harm | 1.53 | 1.33 | 1.77 | 
| Principal psychiatric | 1.04 | 0.97 | 1.11 | 
| Principal psychosis | 1.22 | 1.05 | 1.42 | 
| Principal mood disorder | 1.20 | 1.07 | 1.35 | 
| Publisher’s Note: MDPI stays neutral with regard to jurisdictional claims in published maps and institutional affiliations. | 
© 2022 by the authors. Licensee MDPI, Basel, Switzerland. This article is an open access article distributed under the terms and conditions of the Creative Commons Attribution (CC BY) license (https://creativecommons.org/licenses/by/4.0/).
Share and Cite
Lee, S.Y.; Ro, Y.S.; Jeong, J.; Shin, S.D.; Moon, S. Impact of the COVID-19 Pandemic on the Incidence and Characteristics of Patients with Psychiatric Illnesses Visiting Emergency Departments in Korea. J. Clin. Med. 2022, 11, 488. https://doi.org/10.3390/jcm11030488
Lee SY, Ro YS, Jeong J, Shin SD, Moon S. Impact of the COVID-19 Pandemic on the Incidence and Characteristics of Patients with Psychiatric Illnesses Visiting Emergency Departments in Korea. Journal of Clinical Medicine. 2022; 11(3):488. https://doi.org/10.3390/jcm11030488
Chicago/Turabian StyleLee, Sun Young, Young Sun Ro, Joo Jeong, Sang Do Shin, and Sungwoo Moon. 2022. "Impact of the COVID-19 Pandemic on the Incidence and Characteristics of Patients with Psychiatric Illnesses Visiting Emergency Departments in Korea" Journal of Clinical Medicine 11, no. 3: 488. https://doi.org/10.3390/jcm11030488
APA StyleLee, S. Y., Ro, Y. S., Jeong, J., Shin, S. D., & Moon, S. (2022). Impact of the COVID-19 Pandemic on the Incidence and Characteristics of Patients with Psychiatric Illnesses Visiting Emergency Departments in Korea. Journal of Clinical Medicine, 11(3), 488. https://doi.org/10.3390/jcm11030488
 
         
                                                

 
       