Comparative Clinical Performances of Tunneled Central Venous Catheters versus Arterio-Venous Accesses in Patients Receiving High-Volume Hemodiafiltration: The Case for High-Flow DualCath, a Tunneled Two-Single-Lumen Silicone Catheter
Abstract
1. Introduction
2. Material and Methods
2.1. Study Design
2.2. Patients
2.3. Ethics Statement
2.4. Vascular Accesses
2.4.1. DualCath Looking and Imaging (Figure 1)

2.4.2. DualCath and Vascular Access Management and Handling
2.4.3. Arteriovenous Access Management
2.5. Clinical Performances Assessed
2.5.1. Blood Flow (QB, mL/min)
2.5.2. Total Blood Volume Processed (TBVP, L/Session)
2.5.3. Vascular Access Recirculation (VA.REC, %)
2.5.4. Dialysis Dose Delivery
Urea Kt/V
Ionic Dialysance and ocm Kt/V
Total Kt (TKt, L/Session)
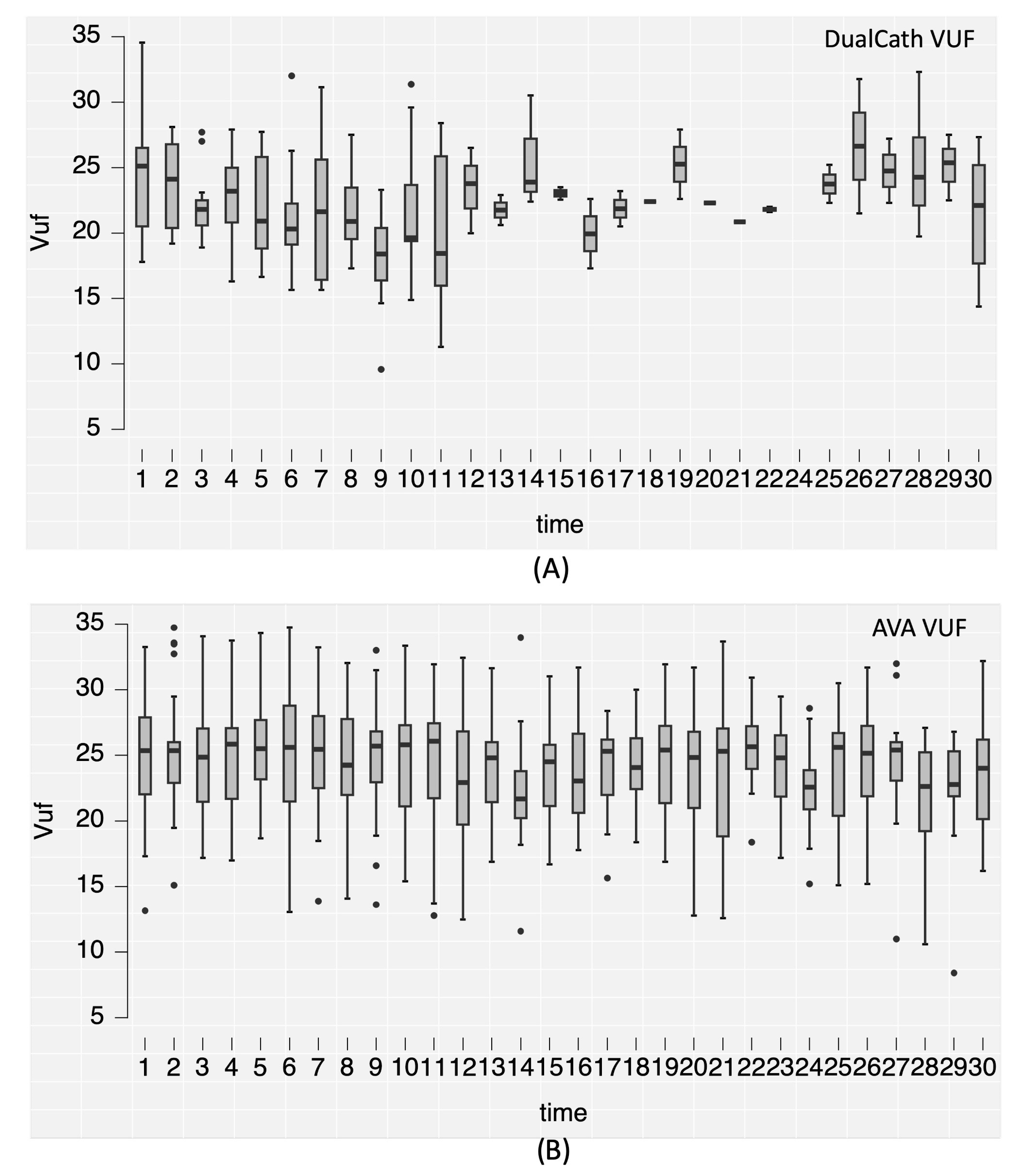
Total Ultrafiltration Volume (VUF, L/Session)
Percent Reduction in β2-Microglobulin (PRβ2M)
Normalized Protein Catabolic Rate (nPCR)
2.6. Statistics
3. Results
3.1. Patient Characteristics
3.2. Renal Replacement Treatment Schedule
3.3. Baseline Clinical Performances (3 Months)
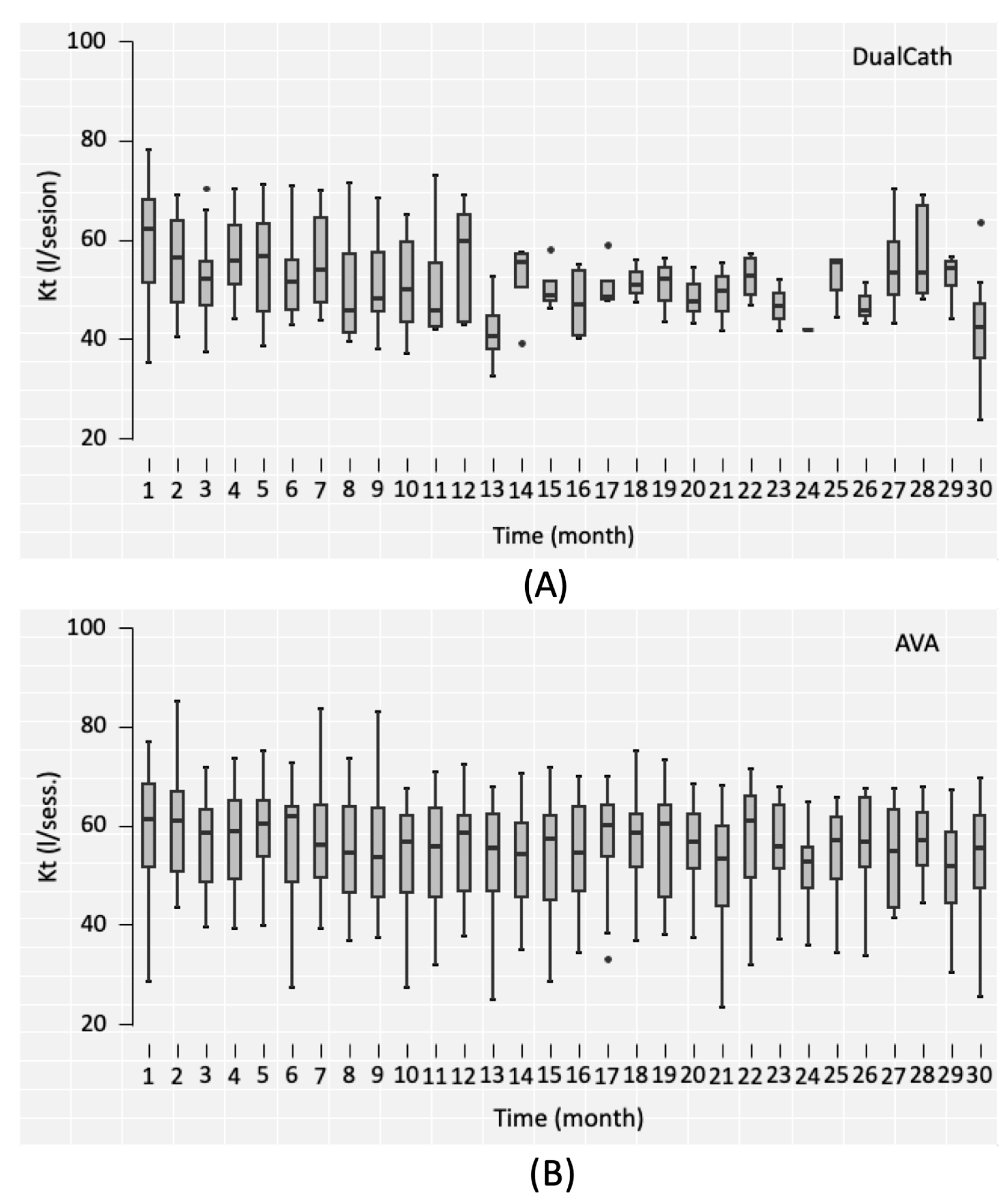
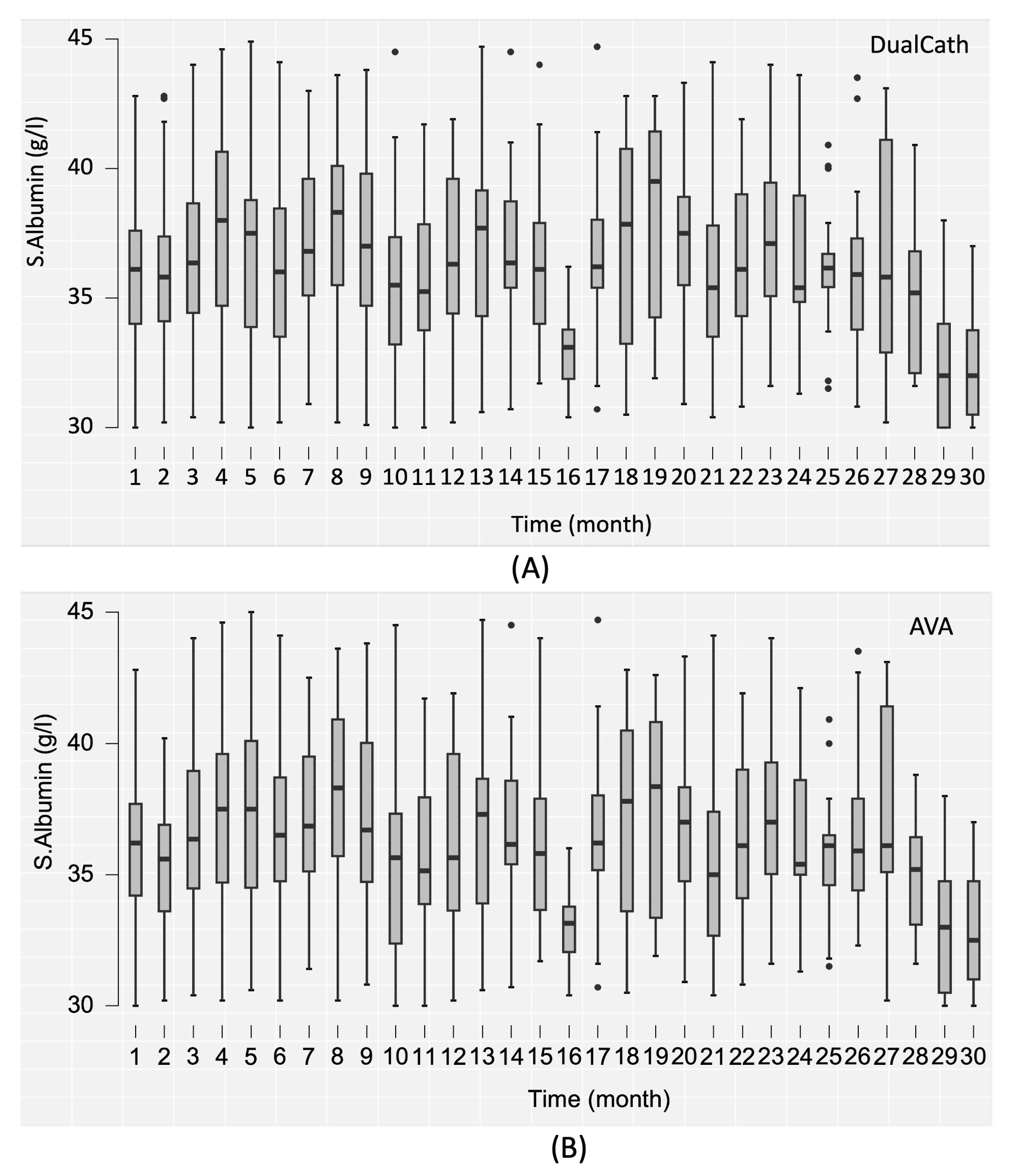
3.4. Clinical Performances (Over a 30-Month Follow-Up Period)
3.4.1. Cumulative Clinical Performances Comparing DualCaths (DCaths) and Grouped Arterio-Venous Accesses (AVAs)
3.4.2. Longitudinal Follow-Up
4. Discussion
4.1. Main Findings of Our Study
4.2. Literature Comparison
4.3. Strength and Weakness of Our Study
4.4. Implications for Clinical Practices
5. Conclusions
Author Contributions
Funding
Institutional Review Board Statement
Informed Consent Statement
Data Availability Statement
Conflicts of Interest
References
- Schmidli, J.; Widmer, M.K.; Basile, C.; de Donato, G.; Gallieni, M.; Gibbons, C.P.; Haage, P.; Hamilton, G.; Hedin, U.; Kamper, L.; et al. Editor’s Choice—Vascular Access: 2018 Clinical Practice Guidelines of the European Society for Vascular Surgery (ESVS). Eur. J. Vasc. Endovasc. Surg. 2018, 55, 757–818. [Google Scholar] [CrossRef] [PubMed]
- Lok, C.E.; Huber, T.S.; Lee, T.; Shenoy, S.; Yevzlin, A.S.; Abreo, K.; Allon, M.; Asif, A.; Astor, B.C.; Glickman, M.H.; et al. KDOQI Clinical Practice Guideline for Vascular Access: 2019 Update. Am. J. Kidney Dis. 2020, 75, S1–S164. [Google Scholar] [CrossRef] [PubMed]
- Tordoir, J.; Canaud, B.; Haage, P.; Konner, K.; Basci, A.; Fouque, D.; Kooman, J.; Martin-Malo, A.; Pedrini, L.; Pizzarelli, F.; et al. EBPG on Vascular Access. Nephrol. Dial. Transplant. 2007, 22 (Suppl. S2), ii88–ii117. [Google Scholar] [CrossRef]
- Ravani, P.; Palmer, S.C.; Oliver, M.J.; Quinn, R.R.; MacRae, J.M.; Tai, D.J.; Pannu, N.I.; Thomas, C.; Hemmelgarn, B.R.; Craig, J.C.; et al. Associations between hemodialysis access type and clinical outcomes: A systematic review. J. Am. Soc. Nephrol. 2013, 24, 465–473. [Google Scholar] [CrossRef]
- Fissell, R.B.; Fuller, D.S.; Morgenstern, H.; Gillespie, B.W.; Mendelssohn, D.C.; Rayner, H.C.; Robinson, B.M.; Schatell, D.; Kawanishi, H.; Pisoni, R.L. Hemodialysis patient preference for type of vascular access: Variation and predictors across countries in the DOPPS. J. Vasc. Access 2013, 14, 264–272. [Google Scholar] [CrossRef]
- Pisoni, R.L. Vascular access use and outcomes: Results from the DOPPS. Contrib. Nephrol. 2002, 137, 13–19. [Google Scholar] [CrossRef]
- Pisoni, R.L.; Young, E.W.; Dykstra, D.M.; Greenwood, R.N.; Hecking, E.; Gillespie, B.; Wolfe, R.A.; Goodkin, D.A.; Held, P.J. Vascular access use in Europe and the United States: Results from the DOPPS. Kidney Int. 2002, 61, 305–316. [Google Scholar] [CrossRef]
- Rayner, H.C.; Besarab, A.; Brown, W.W.; Disney, A.; Saito, A.; Pisoni, R.L. Vascular access results from the Dialysis Outcomes and Practice Patterns Study (DOPPS): Performance against Kidney Disease Outcomes Quality Initiative (K/DOQI) Clinical Practice Guidelines. Am. J. Kidney Dis. 2004, 44, 22–26. [Google Scholar] [CrossRef] [PubMed]
- Desmeules, S.; Canaud, B. Venous access for chronic hemodialysis: “Undesirable yet unavoidable”. Artif. Organs 2004, 28, 611–616. [Google Scholar] [CrossRef] [PubMed]
- Di Iorio, B. Central Venous Catheters in hemodialysis: An actual conundrum without solutions. J. Vasc. Access 2002, 3, 174–176. [Google Scholar] [CrossRef]
- Sohail, M.A.; Vachharajani, T.J.; Anvari, E. Central Venous Catheters for Hemodialysis-the Myth and the Evidence. Kidney Int. Rep. 2021, 6, 2958–2968. [Google Scholar] [CrossRef]
- Ash, S.R. The evolution and function of central venous catheters for dialysis. Semin. Dial. 2001, 14, 416–424. [Google Scholar] [CrossRef] [PubMed]
- Ash, S.R. Advances in tunneled central venous catheters for dialysis: Design and performance. Semin. Dial. 2008, 21, 504–515. [Google Scholar] [CrossRef] [PubMed]
- Silverstein, D.M.; Trerotola, S.O.; Clark, T.; James, G.; Ng, W.; Dwyer, A.; Florescu, M.C.; Shingarev, R.; Ash, S.R. Clinical and Regulatory Considerations for Central Venous Catheters for Hemodialysis. Clin. J. Am. Soc. Nephrol. 2018, 13, 1924–1932. [Google Scholar] [CrossRef] [PubMed]
- Tal, M.G.; Peixoto, A.J.; Crowley, S.T.; Denbow, N.; Eliseo, D.; Pollak, J. Comparison of side hole versus non side hole high flow hemodialysis catheters. Hemodial. Int. 2006, 10, 63–67. [Google Scholar] [CrossRef] [PubMed]
- Leblanc, M.; Bosc, J.Y.; Paganini, E.P.; Canaud, B. Central venous dialysis catheter dysfunction. Adv. Ren. Replace. Ther. 1997, 4, 377–389. [Google Scholar] [CrossRef]
- McIntyre, C.W.; Hulme, L.J.; Taal, M.; Fluck, R.J. Locking of tunneled hemodialysis catheters with gentamicin and heparin. Kidney Int. 2004, 66, 801–805. [Google Scholar] [CrossRef]
- Saxena, A.K.; Panhotra, B.R. Locking hemodialysis catheters with cefotaxime instead of gentamicin to avoid potential ototoxicity. Kidney Int. 2005, 67, 2505–2506. [Google Scholar] [CrossRef]
- Stas, K.J.; Vanwalleghem, J.; De Moor, B.; Keuleers, H. Trisodium citrate 30% vs. heparin 5% as catheter lock in the interdialytic period in twin- or double-lumen dialysis catheters for intermittent haemodialysis. Nephrol. Dial. Transplant. 2001, 16, 1521–1522. [Google Scholar] [CrossRef]
- Polderman, K.H.; Girbes, A.J. Central venous catheter use. Part 1: Mechanical complications. Intensive Care Med. 2002, 28, 1–17. [Google Scholar] [CrossRef]
- Trerotola, S.O.; Shah, H.; Johnson, M.; Namyslowski, J.; Moresco, K.; Patel, N.; Kraus, M.; Gassensmith, C.; Ambrosius, W.T. Randomized comparison of high-flow versus conventional hemodialysis catheters. J. Vasc. Interv. Radiol. 1999, 10, 1032–1038. [Google Scholar] [CrossRef] [PubMed]
- Van Der Meersch, H.; De Bacquer, D.; Vandecasteele, S.J.; Van den Bergh, B.; Vermeiren, P.; De Letter, J.; De Vriese, A.S. Hemodialysis catheter design and catheter performance: A randomized controlled trial. Am. J. Kidney Dis. 2014, 64, 902–908. [Google Scholar] [CrossRef] [PubMed]
- Canaud, B.; Beraud, J.J.; Joyeux, H.; Mion, C. Internal jugular vein cannulation using 2 silastic catheters. A new, simple and safe long-term vascular access for extracorporeal treatment. Nephron 1986, 43, 133–138. [Google Scholar] [CrossRef]
- Canaud, B.; Leray-Moragues, H.; Garred, L.J.; Turc-Barron, C.; Mion, C. What is the Role of Permanent Central Vein Access in Hemodialysis Patients. Semin. Dial. 1996, 9, 397–400. [Google Scholar]
- Canaud, B.; Leray-Moragues, H.; Garrigues, V.; Mion, C. Permanent twin catheter: A vascular access option of choice for haemodialysis in elderly patients. Nephrol. Dial. Transplant. 1998, 13 (Suppl. 7), 82–88. [Google Scholar] [CrossRef]
- Canaud, B.; Leray-Moragues, H.; Kerkeni, N.; Bosc, J.Y.; Martin, K. Effective flow performances and dialysis doses delivered with permanent catheters: A 24-month comparative study of permanent catheters versus arterio-venous vascular accesses. Nephrol. Dial. Transplant. 2002, 17, 1286–1292. [Google Scholar] [CrossRef]
- Canaud, B.; Leray-Moragues, H.; Klouche, K.; Morena-Carrere, M.; Chenine, L.; Miller, G.; Cristol, J.P.; Canaud, L. Percutaneous Placement and Management of High-flow Catheter for Hemodialysis: The case for DualCath, two tunneled single lumen silicone catheters. J. Vasc. Access. 2023. [Google Scholar]
- Fa, G. Hemodialysis: Technique and kinetic considerations. In The Kidney; Brenner, B.M., Rector, F.C., Jr., Eds.; WB Saunders Company: Philadelphia, PA, USA, 1976; Chapter 41; p. 1673. [Google Scholar]
- Thomas, M.; Argiles, A.; Kerr, P.G.; Canaud, B.; Flavier, J.L.; Mion, C.M. Measurement of vascular access recirculation without contralateral venous puncture. Nephron 1992, 62, 224–225. [Google Scholar] [CrossRef]
- Leblanc, M.; Bosc, J.Y.; Vaussenat, F.; Maurice, F.; Leray-Moragues, H.; Canaud, B. Effective blood flow and recirculation rates in internal jugular vein twin catheters: Measurement by ultrasound velocity dilution. Am. J. Kidney Dis. 1998, 31, 87–92. [Google Scholar] [CrossRef]
- Aslam, S.; Saggi, S.J.; Salifu, M.; Kossmann, R.J. Online measurement of hemodialysis adequacy using effective ionic dialysance of sodium-a review of its principles, applications, benefits, and risks. Hemodial. Int. 2018, 22, 425–434. [Google Scholar] [CrossRef]
- Kuhlmann, U.; Goldau, R.; Samadi, N.; Graf, T.; Gross, M.; Orlandini, G.; Lange, H. Accuracy and safety of online clearance monitoring based on conductivity variation. Nephrol. Dial. Transplant. 2001, 16, 1053–1058. [Google Scholar] [CrossRef] [PubMed]
- Lowrie, E.G.; Li, Z.; Ofsthun, N.; Lazarus, J.M. The online measurement of hemodialysis dose (Kt): Clinical outcome as a function of body surface area. Kidney Int. 2005, 68, 1344–1354. [Google Scholar] [CrossRef] [PubMed]
- Maduell, F.; Ramos, R.; Varas, J.; Martin-Malo, A.; Molina, M.; Pérez-Garcia, R.; Marcelli, D.; Moreso, F.; Aljama, P.; Merello, J.I. Hemodialysis patients receiving a greater Kt dose than recommended have reduced mortality and hospitalization risk. Kidney Int. 2016, 90, 1332–1341. [Google Scholar] [CrossRef] [PubMed]
- Tattersall, J.E.; Ward, R.A. Online haemodiafiltration: Definition, dose quantification and safety revisited. Nephrol. Dial. Transplant. 2013, 28, 542–550. [Google Scholar] [CrossRef] [PubMed]
- Daugirdas, J.T. Simplified equations for monitoring Kt/V, PCRn, eKt/V, and ePCRn. Adv. Ren. Replace. Ther. 1995, 2, 295–304. [Google Scholar] [CrossRef]
- Daugirdas, J.T.; Schneditz, D. Overestimation of hemodialysis dose depends on dialysis efficiency by regional blood flow but not by conventional two pool urea kinetic analysis. ASAIO J. 1995, 41, M719–M724. [Google Scholar] [CrossRef]
- Bergström, J.; Wehle, B. No change in corrected beta 2-microglobulin concentration after cuprophane haemodialysis. Lancet 1987, 1, 628–629. [Google Scholar] [CrossRef]
- Garred, L.J.; Canaud, B.; Argiles, A.; Flavier, J.L.; Mion, C. Protein catabolic rate determination from a single measurement of dialyzed urea. ASAIO J. 1995, 41, M804–M809. [Google Scholar] [CrossRef]
- Trerotola, S.O. Catheters: A Necessary Evil? J. Vasc. Interv. Radiol. 2004, 15, P206–P209. [Google Scholar] [CrossRef]
- Trerotola, S.O.; Kraus, M.; Shah, H.; Namyslowski, J.; Johnson, M.S.; Stecker, M.S.; Ahmad, I.; McLennan, G.; Patel, N.H.; O’Brien, E.; et al. Randomized comparison of split tip versus step tip high-flow hemodialysis catheters. Kidney Int. 2002, 62, 282–289. [Google Scholar] [CrossRef]
- Power, A.; Hill, P.; Singh, S.K.; Ashby, D.; Taube, D.; Duncan, N. Comparison of Tesio and LifeCath twin permanent hemodialysis catheters: The VyTes randomized trial. J. Vasc. Access 2014, 15, 108–115. [Google Scholar] [CrossRef] [PubMed]
- Vesely, T.M. Central venous catheter tip position: A continuing controversy. J. Vasc. Interv. Radiol. 2003, 14, 527–534. [Google Scholar] [CrossRef] [PubMed]
- El Khudari, H.; Ozen, M.; Kowalczyk, B.; Bassuner, J.; Almehmi, A. Hemodialysis Catheters: Update on Types, Outcomes, Designs and Complications. Semin. Intervent. Radiol. 2022, 39, 90–102. [Google Scholar] [CrossRef] [PubMed]
- Lucas, T.C.; Tessarolo, F.; Jakitsch, V.; Caola, I.; Brunori, G.; Nollo, G.; Huebner, R. Blood flow in hemodialysis catheters: A numerical simulation and microscopic analysis of in vivo-formed fibrin. Artif. Organs 2014, 38, 556–565. [Google Scholar] [CrossRef] [PubMed]
- Vanholder, R.; Canaud, B.; Fluck, R.; Jadoul, M.; Labriola, L.; Marti-Monros, A.; Tordoir, J.; Van Biesen, W. Diagnosis, prevention and treatment of haemodialysis catheter-related bloodstream infections (CRBSI): A position statement of European Renal Best Practice (ERBP). NDT Plus 2010, 3, 234–246. [Google Scholar] [CrossRef]
- Jaffer, Y.; Selby, N.M.; Taal, M.W.; Fluck, R.J.; McIntyre, C.W. A meta-analysis of hemodialysis catheter locking solutions in the prevention of catheter-related infection. Am. J. Kidney Dis. 2008, 51, 233–241. [Google Scholar] [CrossRef]
- Weijmer, M.C.; Debets-Ossenkopp, Y.J.; Van De Vondervoort, F.J.; ter Wee, P.M. Superior antimicrobial activity of trisodium citrate over heparin for catheter locking. Nephrol. Dial. Transplant. 2002, 17, 2189–2195. [Google Scholar] [CrossRef]
- Weijmer, M.C.; Kars, S.M.; ter Wee, P.M. A scanning electron microscopy analysis of a spontaneous hemodialysis catheter fracture. Am. J. Kidney Dis. 2001, 38, 858–861. [Google Scholar] [CrossRef]
- Weijmer, M.C.; van den Dorpel, M.A.; Van de Ven, P.J.; ter Wee, P.M.; van Geelen, J.A.; Groeneveld, J.O.; van Jaarsveld, B.C.; Koopmans, M.G.; le Poole, C.Y.; Schrander-Van der Meer, A.M.; et al. Randomized, clinical trial comparison of trisodium citrate 30% and heparin as catheter-locking solution in hemodialysis patients. J. Am. Soc. Nephrol. 2005, 16, 2769–2777. [Google Scholar] [CrossRef]
- Marcelli, D.; Scholz, C.; Ponce, P.; Sousa, T.; Kopperschmidt, P.; Grassmann, A.; Pinto, B.; Canaud, B. High-volume postdilution hemodiafiltration is a feasible option in routine clinical practice. Artif. Organs 2015, 39, 142–149. [Google Scholar] [CrossRef]




| AVF | AVG | RFDC | RIJDC | LIJDC | THOMAS S | |
|---|---|---|---|---|---|---|
| N patients | 36 | 3 | 1 | 25 | 1 | 2 |
| n measures | 99 | 4 | 3 | 57 | 3 | 6 |
| QB (mL/min) | ||||||
| Median (25–75%) | 399 (395–403) | 400 (395–403) | 400 (395–403) | 396 (390–403) | 395 (390–403) | 400 (400–400) |
| Venous Presssure (mmHg) | ||||||
| Median (25–75%) | 190 (175–215) | 205 (194–218) | 265 (244–282) | 215 (200–230) | 225 (200–230) | 130 (120–135) |
| Recirc VA (%) | ||||||
| Median (25–75%) | 2.64 (1.37–4.80] | 2.87 (2.1–3.83) | 6.42 (6.18–7.91) | 7.01 (4.3–8.62) | 13.53 (10.63–15.85) | 2.78 (2–3.79) |
| spKt/V | ||||||
| Median (25–75%) | 1.76 (1.54–1.98) | 1.98 (1.94–2.55) | 1.95 (1.89–2.00) | 1.70 (1.64–1.90) | 2.02 (1.98–2.04) | 2.18 (2.11–2.24) |
| dpKt/V | ||||||
| Median (25–75%) | 1.53 (1.31–1.69) | 1.72 (1.68–2.14) | 1.71 (1.65–1.72) | 1.47 (1.30–1.59) | 1.71 (1.67–1.74) | 1.89 (1.84–1.94) |
| PR B2M (%) | ||||||
| Median (25–75%) | 76.7 (73.2–79.9) | 85.8 (83.5–88.1) | 72.6 (70.5–76.5) | NA | 75.4 (75.4–75.4) | 83.3 (82.8–83.8) |
| Vsub (L/ses) | ||||||
| Median (25–75%) | 23.3 (20,8–23.3) | 24.0 (22.5–24.0) | 33.0 (28.7–33) | 21.5 (18.0–21.5) | 31.5 (25.7–31.5) | 29.5 (25.2–29.5) |
| Vuf (L/ses) | ||||||
| Median (25–75%) | 25.240 (22.0–25.2) | 25.7 (24.1–25.7) | 35.3 (21.3–35.3) | 22.9 (20.5–22.9) | 32.1 (29.2–32.1) | 31.67 (26.6–31.7) |
| AVA | DualCath | p Value | |
|---|---|---|---|
| N patients | 41 | 27 | |
| n measures | 741 | 207 | |
| BW (Kg) | |||
| median (IQR) | 64.8 (20.7) | 60.6 (23.4) | 0.001 |
| H (%) | |||
| median (IQR) | 36.5 (4.5) | 36.8 (5.5) | 0.716 |
| QB (mL/min) | |||
| median (IQR) | 400.3 (15.5) | 400.3 (18,4) | 0.028 |
| spKt/V | |||
| median (IQR) | 1.90 (0.4) | 1.80 (0.3) | 0.001 |
| eKt/V | |||
| median (IQR) | 1.6 (0.32) | 1.52 (0.27) | <0.001 |
| REC VA (%) | |||
| median (IQR) | 2.8 (3.6) | 7.2 (5.2) | <0.001 |
| Kt (L/ses) | |||
| median (IQR) | 57 (16.1) | 52.6 (16) | 0.028 |
| PR-β2M (%) | |||
| median (IQR) | 78.0 (8.25) | 74.0 (4.0) | 0.327 |
| VUF (L/ses,) | |||
| median (IQR) | 25.4 (5.5) | 22.5 (6.7) | 0.098 |
| S-ALB (g/L) | |||
| median (IQR) | 35.8 (5.5) | 35.6 (6.0) | 0.05 |
| PRE-ALB (mg/L) | |||
| median (IQR) | 300 (120) | 300 (150) | 0.437 |
| CRP (mg/L) | |||
| median (IQR) | 6.4 (11.Ø) | 4.2 (8.8) | 0.378 |
| Fib (g/L) | |||
| median (IQR) | 4.3 (1.3) | 4 (1.5) | 0.065 |
| nPCR (g/kg/24 h) | |||
| median (IQR) | 0.9 (0.5) | 1.0 (0.5) | 0.173 |
Disclaimer/Publisher’s Note: The statements, opinions and data contained in all publications are solely those of the individual author(s) and contributor(s) and not of MDPI and/or the editor(s). MDPI and/or the editor(s) disclaim responsibility for any injury to people or property resulting from any ideas, methods, instructions or products referred to in the content. |
© 2023 by the authors. Licensee MDPI, Basel, Switzerland. This article is an open access article distributed under the terms and conditions of the Creative Commons Attribution (CC BY) license (https://creativecommons.org/licenses/by/4.0/).
Share and Cite
Canaud, B.; Leray-Moragues, H.; Chenine, L.; Morena, M.; Miller, G.; Canaud, L.; Cristol, J.P. Comparative Clinical Performances of Tunneled Central Venous Catheters versus Arterio-Venous Accesses in Patients Receiving High-Volume Hemodiafiltration: The Case for High-Flow DualCath, a Tunneled Two-Single-Lumen Silicone Catheter. J. Clin. Med. 2023, 12, 4732. https://doi.org/10.3390/jcm12144732
Canaud B, Leray-Moragues H, Chenine L, Morena M, Miller G, Canaud L, Cristol JP. Comparative Clinical Performances of Tunneled Central Venous Catheters versus Arterio-Venous Accesses in Patients Receiving High-Volume Hemodiafiltration: The Case for High-Flow DualCath, a Tunneled Two-Single-Lumen Silicone Catheter. Journal of Clinical Medicine. 2023; 12(14):4732. https://doi.org/10.3390/jcm12144732
Chicago/Turabian StyleCanaud, Bernard, H. Leray-Moragues, Leila Chenine, Marion Morena, George Miller, Ludovic Canaud, and Jean Paul Cristol. 2023. "Comparative Clinical Performances of Tunneled Central Venous Catheters versus Arterio-Venous Accesses in Patients Receiving High-Volume Hemodiafiltration: The Case for High-Flow DualCath, a Tunneled Two-Single-Lumen Silicone Catheter" Journal of Clinical Medicine 12, no. 14: 4732. https://doi.org/10.3390/jcm12144732
APA StyleCanaud, B., Leray-Moragues, H., Chenine, L., Morena, M., Miller, G., Canaud, L., & Cristol, J. P. (2023). Comparative Clinical Performances of Tunneled Central Venous Catheters versus Arterio-Venous Accesses in Patients Receiving High-Volume Hemodiafiltration: The Case for High-Flow DualCath, a Tunneled Two-Single-Lumen Silicone Catheter. Journal of Clinical Medicine, 12(14), 4732. https://doi.org/10.3390/jcm12144732

