Correlation between Higher Aging Males’ Symptoms Scores and a Higher Risk of Lower Urinary Tract Symptoms
Abstract
:1. Introduction
2. Materials and Methods
Statistical Analyses
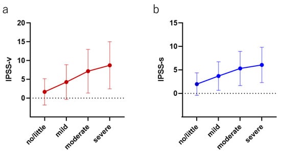
3. Results
4. Discussion
5. Conclusions
Supplementary Materials
Author Contributions
Funding
Institutional Review Board Statement
Informed Consent Statement
Data Availability Statement
Conflicts of Interest
References
- Amano, T.; Imao, T.; Takemae, K.; Iwamoto, T.; Nakanome, M. Testosterone replacement therapy by testosterone ointment relieves lower urinary tract symptoms in late onset hypogonadism patients. Aging Male 2010, 13, 242–246. [Google Scholar] [CrossRef]
- Nieschlag, E.; Swerdloff, R.; Behre, H.M.; Gooren, L.J.; Kaufman, J.M.; Legros, J.-J.; Lunenfeld, B.; Morley, J.E.; Schulman, C.; Wang, C.; et al. Investigation, treatment and monitoring of late-onset hypogonadism in males. Aging Male 2005, 8, 56–58. [Google Scholar] [CrossRef]
- Feldman, H.A.; Longcope, C.; Derby, C.A.; Johannes, C.B.; Araujo, A.B.; Coviello, A.D.; Bremner, W.J.; McKinlay, J.B. Age trends in the level of serum testosterone and other hormones in middle-aged men: longitudinal results from the Massachusetts male aging study. J. Clin. Endocrinol. Metab. 2002, 87, 589–598. [Google Scholar] [CrossRef]
- Harman, S.M.; Metter, E.J.; Tobin, J.D.; Pearson, J.; Blackman, M.R. Longitudinal effects of aging on serum total and free testosterone levels in healthy men. Baltimore Longitudinal Study of Aging. J. Clin. Endocrinol. Metab. 2001, 86, 724–731. [Google Scholar] [CrossRef] [PubMed]
- Corona, G.; Krausz, C. Late-onset hypogonadism a challenging task for the andrology field. Andrology 2020, 8, 1504–1505. [Google Scholar] [CrossRef] [PubMed]
- Liu, C.-C.; Wu, W.-J.; Lee, Y.-C.; Wang, C.-J.; Ke, H.-L.; Li, W.-M.; Hsiao, H.-L.; Yeh, H.-C.; Li, C.-C.; Chou, Y.-H.; et al. The prevalence of and risk factors for androgen deficiency in aging Taiwanese men. J. Sex. Med. 2009, 6, 936–946. [Google Scholar] [CrossRef] [PubMed]
- Yassin, D.J.; El Douaihy, Y.; Yassin, A.A.; Kashanian, J.; Shabsigh, R.; Hammerer, P.G. Lower urinary tract symptoms improve with testosterone replacement therapy in men with late-onset hypogonadism: 5-year prospective, observational and longitudinal registry study. World J. Urol. 2014, 32, 1049–1054. [Google Scholar] [CrossRef] [PubMed]
- Liu, P.S.; Huang, H.K.; Ding, D.C. Association of lower urinary tract symptoms and hip fracture in adults aged >/= 50 years. PLoS ONE 2021, 16, e0246653. [Google Scholar] [CrossRef] [PubMed]
- Abrams, P.; Cardozo, L.; Fall, M.; Griffiths, D.; Rosier, P.; Ulmsten, U.; Van Kerrebroeck, P.; Victor, A.; Wein, A.; Standardisation Sub-Committee of the International Continence Society. The standardisation of terminology of lower urinary tract function: report from the Standardisation Sub-committee of the International Continence Society. Neurourol. Urodyn. 2002, 21, 167–178. [Google Scholar] [CrossRef]
- Shigehara, K.; Namiki, M. Late-onset hypogonadism syndrome and lower urinary tract symptoms. Korean J. Urol. 2011, 52, 657–663. [Google Scholar] [CrossRef]
- Okada, K.; Miyake, H.; Ishida, T.; Sumii, K.; Enatsu, N.; Chiba, K.; Matsushita, K.; Fujisawa, M. Improved Lower Urinary Tract Symptoms Associated with Testosterone Replacement Therapy in Japanese Men With Late-Onset Hypogonadism. Am. J. Men’s Health 2018, 12, 1403–1408. [Google Scholar] [CrossRef] [PubMed]
- Baas, W.; Kohler, T.S. Testosterone replacement therapy and voiding dysfunction. Transl. Androl. Urol. 2016, 5, 890–897. [Google Scholar] [CrossRef] [PubMed]
- Thwaites, J.H. Practical aspects of drug treatment in elderly patients with mobility problems. Drugs Aging 1999, 14, 105–114. [Google Scholar] [CrossRef] [PubMed]
- Heinemann, L.A.; Saad, F.; Zimmermann, T.; Novak, A.; Myon, E.; Badia, X.; Potthoff, P.; T’Sjoen, G.; Pöllänen, P.; Goncharow, N.P. The Aging Males’ Symptoms (AMS) scale: Update and compilation of international versions. Health Qual. Life Outcomes 2003, 1, 15. [Google Scholar] [CrossRef] [PubMed]
- Akehi, Y.; Tanabe, M.; Yano, H.; Takashi, Y.; Kawanami, D.; Nomiyama, T.; Yanase, T. A simple questionnaire for the detection of testosterone deficiency in men with late-onset hypogonadism. Endocr. J. 2022, 69, 1303–1312. [Google Scholar] [CrossRef] [PubMed]
- Kawahara, T.; Ito, H.; Uemura, H. The impact of smoking on male lower urinary tract symptoms (LUTS). Sci. Rep. 2020, 10, 20212. [Google Scholar] [CrossRef] [PubMed]
- Barry, M.J.; Fowler, F.J., Jr.; O’Leary, M.P.; Bruskewitz, R.C.; Holtgrewe, H.L.; Mebust, W.K.; Cockett, A.T.K.; The Measurement Committee of the American Urological Association. The American Urological Association symptom index for benign prostatic hyperplasia. J. Urol. 1992, 148, 1549–1557, discussion 64. [Google Scholar] [CrossRef]
- Homma, Y.; Tsukamoto, T.; Yasuda, K.; Ozono, S.; Yoshida, M.; Shinji, M. Linguistic validation of Japanese version of International Prostate Symptom Score and BPH impact index. Nihon Hinyokika Gakkai Zasshi 2002, 93, 669–680. [Google Scholar]
- Becher, E.; Roehrborn, C.G.; Siami, P.; Gagnier, R.P.; Wilson, T.H.; Montorsi, F. The effects of dutasteride, tamsulosin, and the combination on storage and voiding in men with benign prostatic hyperplasia and prostatic enlargement: 2-year results from the Combination of Avodart and Tamsulosin study. Prostate Cancer Prostatic Dis. 2009, 12, 369–374. [Google Scholar] [CrossRef]
- Zhao, C.; Kim, S.H.; Lee, S.W.; Jeon, J.H.; Kang, K.K.; Choi, S.B.; Park, J.K. Activity of phosphodiesterase type 5 inhibitors in patients with lower urinary tract symptoms due to benign prostatic hyperplasia. BJU Int. 2011, 107, 1943–1947. [Google Scholar] [CrossRef]
- Amano, T.I.T.; Takemae, K. Lower urinary tract symptom in patients with late-onset hypogonadism. Jpn. J. Impot. Res. 2009, 24, 359–365. [Google Scholar]
- Tsuru, T.; Tsujimura, A.; Mizushima, K.; Kurosawa, M.; Kure, A.; Uesaka, Y.; Nozaki, T.; Shirai, M.; Kobayashi, K.; Horie, S. International Prostate Symptom Score and Quality of Life Index for Lower Urinary Tract Symptoms Are Associated with Aging Males Symptoms Rating Scale for Late-Onset Hypogonadism Symptoms. World J. Men’s Health 2023, 41, 101–109. [Google Scholar] [CrossRef] [PubMed]
- Hamanoue, N.; Tanabe, M.; Tanaka, T.; Akehi, Y.; Murakami, J.; Nomiyama, T.; Yanase, T. A higher score on the Aging Males’ Symptoms scale is associated with insulin resistance in middle-aged men. Endocr. J. 2017, 64, 521–530. [Google Scholar] [CrossRef] [PubMed]
- Francomano, D.; Lenzi, A.; Aversa, A. Effects of five-year treatment with testosterone undecanoate on metabolic and hormonal parameters in ageing men with metabolic syndrome. Int. J. Endocrinol. 2014, 2014, 527470. [Google Scholar] [CrossRef]
- Kawahara, T.; Ito, H.; Yao, M.; Uemura, H. Impact of smoking habit on overactive bladder symptoms and incontinence in women. Int. J. Urol. 2020, 27, 1078–1086. [Google Scholar] [CrossRef]
- Kawahara, T.; Ninomiya, S.; Tsutsumi, S.; Ito, H.; Yao, M.; Uemura, H. Impact of depression on overactive bladder. Int. J. Urol. 2021, 28, 245–246. [Google Scholar] [CrossRef]




| Median (Mean ± SD) | ||||||
|---|---|---|---|---|---|---|
| All | No/Little | Mild | Moderate | Severe | ||
| Number (%) | 2000 | 834 (41.7%) | 587 (29.4%) | 300 (15.0%) | 199 (10.0%) | p Value |
| IPSS | ||||||
| Q1 | 0 (1.09 ± 1.55) | 0 (0.43 ± 1.02) | 1 (1.15 ± 1.45) | 1 (1.81 ± 1.72) | 2 (2.33 ± 1.86) | <0.0001 |
| Q2 | 1 (1.36 ± 1.55) | 0 (0.69 ± 1.15) | 1 (1.46 ± 1.45) | 2 (2.09 ± 1.66) | 2 (2.44 ± 1.72) | <0.0001 |
| Q3 | 0 (0.94 ± 1.54) | 0 (0.35 ± 1.02) | 0 (0.91 ± 1.42) | 1 (1.64 ± 1.80) | 2 (2.11 ± 1.91) | <0.0001 |
| Q4 | 0 (0.91 ± 1.45) | 0 (0.22 ± 0.90) | 0 (0.95 ± 1.41) | 1 (1.58 ± 1.68) | 1 (1.93 ± 1.84) | <0.0001 |
| Q5 | 1 (1.40 ± 1.79) | 0 (0.62 ± 1.28) | 1 (1.50 ± 1.73) | 2 (2.33 ± 1.93) | 2 (2.62 ± 1.96) | <0.0001 |
| Q6 | 0 (0.76 ± 1.43) | 0 (0.27 ± 0.90) | 0 (0.72 ± 1.34) | 1 (1.40 ± 1.75) | 1 (1.69 ± 1.83) | <0.0001 |
| Q7 | 1 (1.27 ± 1.28) | 1 (0.97 ± 1.24) | 1 (1.29 ± 1.21) | 1 (1.64 ± 1.31) | 2 (1.70 ± 1.26) | <0.0001 |
| total | 5 (7.72 ± 8.05) | 2 (3.67 ± 5.36) | 6 (7.98 ± 6.91) | 11 (12.49 ± 8.63) | 16 (14.83 ± 9.24) | <0.0001 |
| QOL index | 3 (2.85 ± 1.54) | 2 (2.19 ± 1.40) | 3 (3.00 ± 1.38) | 3.5 (3.57 ± 1.40) | 4 (3.87 ± 1.50) | <0.0001 |
Disclaimer/Publisher’s Note: The statements, opinions and data contained in all publications are solely those of the individual author(s) and contributor(s) and not of MDPI and/or the editor(s). MDPI and/or the editor(s) disclaim responsibility for any injury to people or property resulting from any ideas, methods, instructions or products referred to in the content. |
© 2023 by the authors. Licensee MDPI, Basel, Switzerland. This article is an open access article distributed under the terms and conditions of the Creative Commons Attribution (CC BY) license (https://creativecommons.org/licenses/by/4.0/).
Share and Cite
Kawahara, T.; Ninomiya, S.; Takeshima, T.; Saito, T.; Ito, H.; Komeya, M.; Hasumi, H.; Yumura, Y.; Makiyama, K.; Uemura, H. Correlation between Higher Aging Males’ Symptoms Scores and a Higher Risk of Lower Urinary Tract Symptoms. J. Clin. Med. 2023, 12, 7528. https://doi.org/10.3390/jcm12247528
Kawahara T, Ninomiya S, Takeshima T, Saito T, Ito H, Komeya M, Hasumi H, Yumura Y, Makiyama K, Uemura H. Correlation between Higher Aging Males’ Symptoms Scores and a Higher Risk of Lower Urinary Tract Symptoms. Journal of Clinical Medicine. 2023; 12(24):7528. https://doi.org/10.3390/jcm12247528
Chicago/Turabian StyleKawahara, Takashi, Sahoko Ninomiya, Teppei Takeshima, Tomoki Saito, Hiroki Ito, Mitsuru Komeya, Hisashi Hasumi, Yasushi Yumura, Kazuhide Makiyama, and Hiroji Uemura. 2023. "Correlation between Higher Aging Males’ Symptoms Scores and a Higher Risk of Lower Urinary Tract Symptoms" Journal of Clinical Medicine 12, no. 24: 7528. https://doi.org/10.3390/jcm12247528
APA StyleKawahara, T., Ninomiya, S., Takeshima, T., Saito, T., Ito, H., Komeya, M., Hasumi, H., Yumura, Y., Makiyama, K., & Uemura, H. (2023). Correlation between Higher Aging Males’ Symptoms Scores and a Higher Risk of Lower Urinary Tract Symptoms. Journal of Clinical Medicine, 12(24), 7528. https://doi.org/10.3390/jcm12247528

