Effects of Physiotherapy on Pain and Mouth Opening in Temporomandibular Disorders: An Umbrella and Mapping Systematic Review with Meta-Meta-Analysis
Abstract
1. Introduction
2. Materials and Methods
2.1. Review Inclusion Criteria
2.1.1. Population
2.1.2. Intervention and Control
2.1.3. Outcomes
2.1.4. Study Design
2.2. Search Strategy
2.3. Selection Criteria and Data Extraction
2.4. Methodological Quality Assessment
2.5. Risk of Bias Assessment
2.6. Evidence Map
- Number of studies (bubble size): The size of each bubble is directly proportional to the number of original studies included in each of the SR.
- Study population, intervention, and outcome variable (bubble aspect): The study population determined each bubble’s color. The outcome variable was represented by a different background within each bubble of each study (smooth background for PI and chequered background for MMO). The study intervention is represented by the symbol inside each bubble: “X” for combined MT and TE, and “-” for low-level laser therapy (LLLT).
- Effect size (x-axis): Each of the reviews was classified according to the effect size. When the effect size showed benefits for the intervention group, the intervention was classified as “trivial” (standard mean difference [SMD] between 0.0 and 0.2); “small” (SMD between 0.2 and 0.6); “moderate” (SMD between 0.2 and 1.2), “large” (SMD between 0.0 and 0.2); “very large” (SMD between 2.0 and 4.0); and “extremely large” (SMD more than 4.0). When the effect of the intervention was not superior to the control, it was classified as “no significant difference”.
- Strength of evidence (y-axis): The reviews were sorted into the following 4 categories according to the 2018 Physical Activity Guidelines Advisory Committee Grading Criteria (PAGAC) approach [35]: strong strength of evidence, moderate strength of evidence, limited strength of evidence, or strength of evidence unable to be assigned.
2.7. Qualitative Analysis
2.8. Data Synthesis and Analysis
3. Results
3.1. Characteristics of the Included Systematic Reviews

| Study | Nº, Type of Studies (Subjects) | Objectives of the Systematic Review | Population (Age, Type of TMD, Diagnosis Criteria) | Intervention and Comparison Groups | Nº of Studies Includes in Meta-Analysis (n = Subjects) | Outcome Measures | Results, MA Data Used for Meta-Meta-Analysis and Authors’ Conclusions |
|---|---|---|---|---|---|---|---|
| Al-Moraissi et al., 2020 [55] | 21 RCTs (n = 959) | To compare and rank the treatment outcome of DN, acupuncture or wet needling using different agents, versus active and passive placebo in patients with myofascial TMD. | Mean Age (y): NA Diagnosis: Myofascial TMD according to RDC/TMD and DC/TMD. | Intervention groups: DN, acupuncture, instrumental injections of BTX and intramuscular injection of local anesthetic, granisetron and PRP. Comparison groups: Active sham placebo and passive placebo. | Post-treatment PI at the short-term follow-up: 12 (n = NA) Post-treatment PI at the intermediate-term follow-up: 10 (n = NA) Post-treatment MMO: 11 (n = NA) Post-treatment PPT: 10 (n = NA) | Post-treatment PI: VAS, NPRS and NRS Post-treatment MMO (mm): Caliper PPT (kg/cm2/s): Algometer | There was no difference between any of the treatments in any of the comparisons on post-treatment PI in the intermediate term (from one month to 6 months). There was a significant improvement of MMO with a mean increase of 2.37 mm after DN therapy (MD = 2.37; CI: 0.66 to 4.07) versus active placebo with very low-quality evidence and there was no difference after DN (MD = 0.09; CI: −0.53 to 0.50) when compared to placebo in the intermediate term (from 2 weeks to 6 months), with very low-quality evidence. Authors’ conclusions: PRP was shown to be the most effective treatment for pain reduction in the short term, followed by LA, dry needling and granisetron. On the other hand, in the intermediate term, LA was shown to be most effective, followed by dry needling, granisetron and BTX. |
| Al-Moraissi et al., 2020 [56] | 36 RCTs (n = NA) | To identify the best treatment for adult patients with articular TMD and rank their effectiveness in PI reduction and improvement of jaw function. | Mean Age (y): Adults (NA) Diagnosis: Articular TMD according to RDC/TMD, DC/TMD and Other clear clinical diagnosis including signs and symptoms of TMD. | Intervention groups: PT, other conservative treatment, IAI, arthrocentesis alone or with or without IAI, arthroscopy with or without IAI, open joint surgery. Comparison groups: Control and placebo. | Network MA of 36 RCTs Control/placebo vs. other treatment in overall post-treatment PI: NA (n = NA) Control/placebo vs. other treatment in overall post-treatment MMO: NA (n = NA) | PI: VAS and NRS MMO (mm): NA | The non-invasive procedures of PT, conservative therapy, placebo/control provided significantly lower-quality outcomes relative to pain and MMO than invasive treatments. Overall post-treatment PI in articular TMD showed that PT compared with placebo/control had not statistically significant differences with very low-quality evidence (SDM = −0.45 [–1.04, 0.14]) and not statistically significant differences with a moderate-quality evidence for conservative treatments compared with placebo/control (SDM = −0.35 [–0.99, 0.30]). Overall post-treatment MMO in articular TMD showed that the conservative treatments compared with placebo/control showed not statistically significant differences with a low-quality evidence (SDM: −0.23 [–0.69, 0.23]). Authors’ conclusions: In articular TMD, minimally invasive procedures were shown to be significantly more effective than conservative treatment for both PI reduction and improvement of MMO, on a short- (up to 5 months) and intermediate-term (6 months to 4 years). The present NMA supports the challenge for a paradigm shift in articular TMD towards minimally invasive procedures as first-line therapy for the short-term improvement in pain and MMO. |
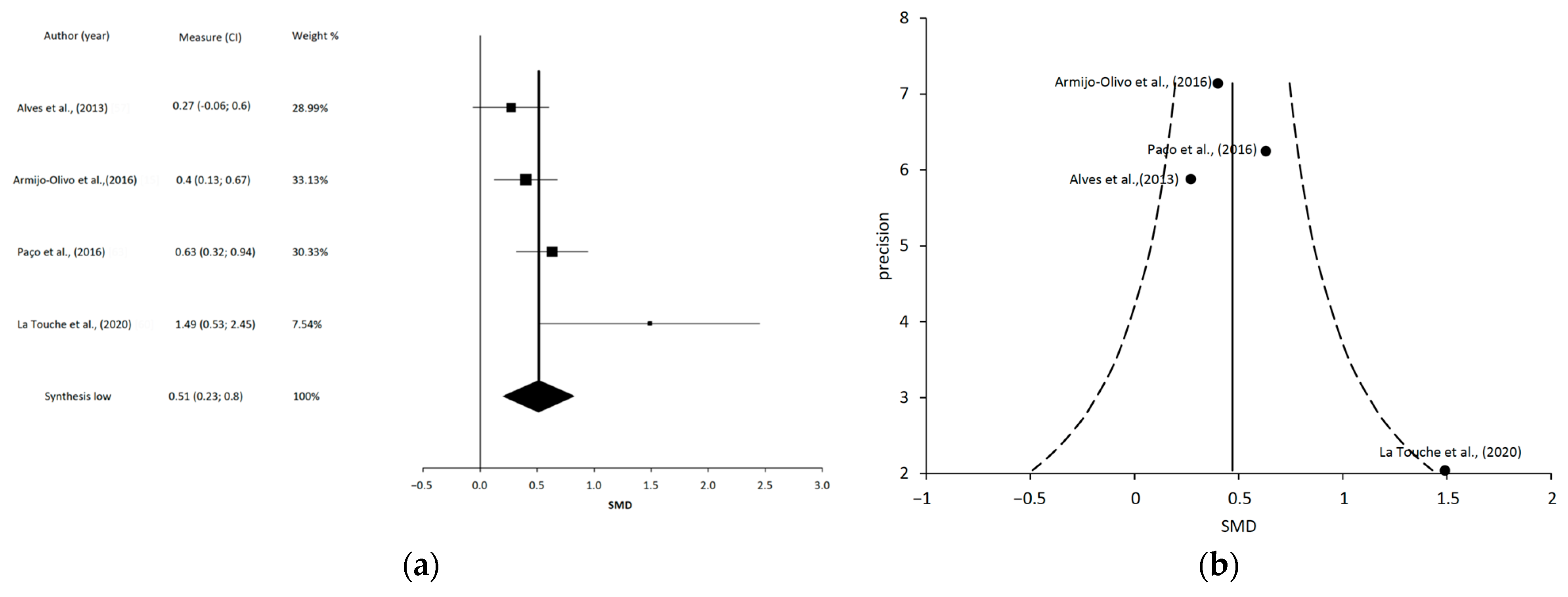
| Alves et al., 2013 [57] | 2 RCTs (n = 175) | To assess the efficacy of mandibular manipulation alone or in combination with other techniques in the treatment of acute and chronic DDWR. | Mean Age (y): 41.5 (18–65) Diagnosis: DDWR according to MRI diagnosis. | Intervention groups: Mandibular manipulation alone or with other conservative treatment. Comparison groups: Palliative care, no treatment, arthroscopic surgery, medical managing. | Conservative therapy vs. other treatments on pain reduction: 2 (158) Conservative therapy vs. other treatments on mandibular function: 2 (159) | Pain Reduction: PI (VAS), MPQ and SSI Mandibular Function: MFIQ, CMI and DAL score MMO (mm): NA | At 8 weeks follow-up, there were not statistically differences on MMO, PI and mandibular function for physical medicine vs. palliative care and physical medicine vs. controls. At 60 month follow-up, there were not statistically differences in pain outcomes or mandibular function for rehabilitation vs. medical management, rehabilitation vs. arthroscopic surgery and rehabilitation vs. arthroplasty. MA showed non-significant differences favored conservative therapy vs. other treatments regarding the improvement of PI [SMD, −0.27; 95% CI, −0.61 to 0.08; p = 0.13); heterogeneity (Tau2: 0.00: Chi2: 0.00, df = 1 (p = 0.97); I2 = 0%); test of overall effect: Z = 1.50 (p = 0.13)] and the mandibular function. Authors’ conclusions: Mandibular manipulation (MT) in association with other conservative therapies may be considered and is sometimes suggested as the first choice for the treatment of anterior DDWR of the TMJ, because it is minimally invasive and inexpensive, avoiding unnecessary surgical procedures. Because good-quality evidence is also lacking for the alternatives, the intervention can be pragmatically used as an initial therapy. |
| Armijo-Olivo et al., 2016 [15] | 48 RCTs (n = 2749) | To summarize the evidence, evaluate the quality of RCTs and determine the magnitude of the effect of the effectiveness of ET and MT in TMD. | Mean Age (y): NA (>18) Diagnosis: TMD according to RDC/TMD or any clinical diagnosis involving signs and symptoms of TMD. | Intervention groups: Any type of MT or TE intervention alone or in combination with other therapies. Comparison groups: Standard care, placebo, and control. | MMO in postural training vs. control group in myogenous TMD: 2 (n = 100) PI in MT + TE vs. control at 4 weeks to 3 months in arthrogenous TMD: 5 (n = 213) MMO in general jaw exercises vs. other treatments in mixed TMD: 7 (n = 270) | PI: VAS, MPQ, Total pain Rating Index, 11-point graded chronic pain scale, NRS and VRS MMO (mm): NA PPT (kg/cm2/s): Algometer | MA showed that posture correction exercises increased MMO compared with control in myogenous TMD. A general jaw exercise program showed no significant difference in the MMO (MD = −0.25 mm [−2.08, 1.57]; Tau2 = 0.00; x2 = 2.36; df = 6 (p = 0.85); I2 = 0%; Z = 0.27 (p = 0.79)) compared with ST, global re-education posture, ST + counselling, or standard conservative care, in mixed TMD. PI at 4 weeks to 3 months was significantly reduced in subjects receiving MT combined with TE when compared with ST, self-care, or medications (SMD = 0.40 [0.13, 0.68];]; Tau2 = 0.00; x2 = 2.90; df = 4 (p = 0.58); I2 = 0%; Z = 2.86 (p = 0.004)). Authors’ conclusions: No high-quality evidence was found about the effectiveness of TE and MT for treatment of TMD. Postural and mandibular exercises are positive for treating muscular and articular TMD. MT in the cervical spine decreases pain and increases mandibular ROM in muscular TMD. Exercise is not superior to other treatments in mixed TMD. A general exercise program was effective compared to arthrocentesis/arthrography for the treatment of articular TMD, with conservative treatments as the first line of treatment. |
| Brochado et al., 2019 [16] | 35 RCTs (n = 1596) | To evaluate the effectiveness of non-invasive therapies to decrease pain and improve movements in TMD patients. | Mean Age (y): NA Diagnosis: Muscular TMD according to RDC/TMD, Helkimo index, Fonseca questionnaire and other non-standardized evaluation protocols. | Intervention groups: Non-invasive therapies Comparison groups: Other therapies, placebo/sham, and no treatment. | No MA | PI: VAS (0–10) and Verbal Pain Scale (0–10) MMO (mm): Millimeter ruler and caliper Mandibular Function: NA | The results demonstrated that 27 (77%) of the studies presented reduction in PI and 22 (62%) improvement in mandibular function. When analyzing the differences between treatments at the end of the protocols, 20 (57%) of the studies showed no significant difference in PI. Significant improvement in MMO was described only in 13 (37%) studies using LLLT (17%), acupuncture (6%), MT (6%), TENS (3%), OMT (3%), and benzodiazepine (3%). The combination of MT and oral TE/behavioral education (9%) or LLLT and oral TE (3%) had significantly better results than the therapies alone or placebo. Authors’ conclusions: In this review, non-invasive therapies were the first choice for TMD patients and all of them improve, at least partially, TMD signs and symptoms. Therefore, non-invasive treatments can provide pain relief and should be prescribed before surgical procedures. LLLT, ST, oral TE/behavioral education were the most used therapies. LLLT was the therapy with the higher number of studies showing positive results compared to placebo, control, or other therapies |
| Calixtre et al., 2015 [17] | 8 RCTs (n = 331) | To evaluate the isolated effect of MT in improving TMJ function. | Mean Age (y): NA (18–65) Diagnosis: TMD according to NA | Intervention groups: MT Comparison groups: Placebo, standard treatment, and other treatments. | No MA | PI: VAS MMO (mm): Caliper PPT of the masticatory muscles (kg/cm2/s): Algometer | Moderate and low evidence that myofascial release and massage techniques are more effective than placebo or no intervention for MMO and pain outcomes. There is also moderate evidence that no significant difference exists between myofascial release and toxin botulinum for improvement on the same outcomes. There is moderate evidence that atlanto-occipital joint thrust manipulation is more effective than placebo in improving MMO in individuals with TMD. However, there is low evidence that C7-T1 thrust manipulation does not improve PPT in subjects with TMD when compared to placebo manipulation. In addition, an upper cervical mobilization showed high-quality evidence on reducing PI and increasing PPT comparing to placebo. MT osteopathic technique protocols showed greater MMO, PI and PPT improvement when compared to a usual care. Authors’ conclusions: MT reduces PI and increases MMO and PPTs in TMD, depending on the technique used. |
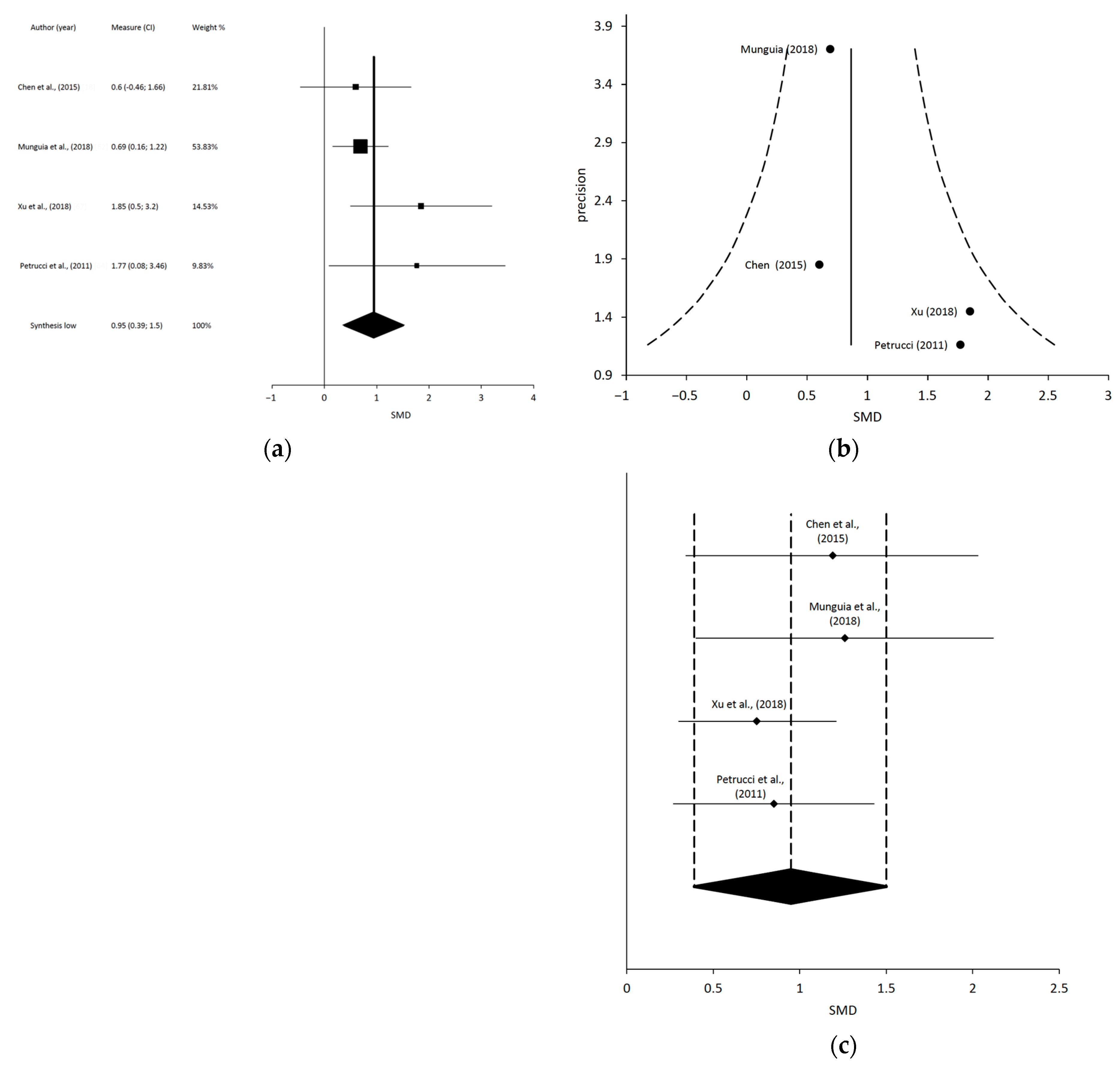
| Chen et al., 2015 [18] | 14 RCTs (n = 454) | To evaluate the effectiveness of LLLT for patients suffering from TMD. | Mean Age (y): NA Diagnosis: Muscular, articular, or mixed TMD according to NA | Intervention groups: LLLT Comparison groups: Placebo LLLT. | PI (VAS) at the final follow-up point: 10 (368) Change in PI (VAS) between baseline and end of the follow-up: 8 (255) Active MMO at the follow up time point: 5 (184) Passive MMO at the final follow-up time point: 2 (104) | PI: VAS TMJ function (mm): Active MMO, Passive MMO, PE and LE | MA showed that -significant differences between LLLT and placebo on PI at the final follow-up time point [WMD = −19.39; 95% CI = −40.80 to 2.03; heterogeneity (Tau2:1147.16: Chi2: 808.30, df = 9 (p< 0.00001); I2 = 99%); test of overall effect: Z = 1.77 (p = 0.08)] and on PI change between baseline and end of the follow-up. Significantly better active MMO in the LLLT group vs. placebo [WMD = 4.18; 95% CI = 0.73 to 7.63; heterogeneity (Tau2: 10.21: Chi2: 14.57, df = 4 (p = 0.006); I2 = 73%); test of overall effect: Z = 2.38 (p = 0.02)] and better passive MMO in the LLLT group at the final follow-up time point. Additionally, there were significantly better right LE in the LLLT group and significant better PE in the LLLT group, but no significant difference in left LE between groups at the final follow-up time point. Authors’ conclusions: This study indicates that using LLLT significantly improve the functional outcomes but has limited efficacy in reducing PI in patients with TMD. |
| de Melo et al., 2020 [46] | 5 RCTs (n = 279) | To evaluate the effectiveness of MT in the treatment of myofascial TMD. | Mean Age (y): NA (12–69) Diagnosis: Myofascial TMD according to RDC/TMD | Intervention groups: MT only, MT with counselling Comparison groups: No intervention, BTX injection, home PT and counselling. | No MA | PI: NA Oral Function: NA | The effectiveness of MT was closely related to counselling techniques. Their effectiveness was noticeably higher when these two types of treatment were combined. MT was better than no treatment in one study and better than counselling in another study. However, MT combined with counselling was not statistically better than counselling alone, and MT was not more efficient than BTX. MT combined with home therapy was better than home therapy alone in one study. Authors’ conclusions: The frequent applications of botulinum toxin represent a high-cost treatment with statistically similar efficacy to MT. Although no superiority was found for MT, it is a low cost, reversible, non-invasive, and efficient treatment for myofascial TMD pain. |
| Dickerson et al., 2017 [19] | 6 RCTs (n = 419) | The effectiveness of TE for individuals with TMD | Mean Age (y): NA (13–75) Diagnosis: TMD according to NA | Intervention groups: TE (mobility and mixed exercise therapy) Comparison groups: Placebo and other treatments. | TE vs. control in PI: 3 (n = 152) TE vs. control in function: 2 (n = 78) TE vs. control in TMJ ROM (MMO, LE and PE): 3 (n = 172) | PI: VAS, SF36 pain, and others NA Function: SF36, MFIQ, and others NA Temporomandibular joint ROM (caliper): MMO (mm), LE (mm) and PE (mm) | This review indicates TE had moderate treatment effects in the short-term and varying amounts of long-term treatment effects in patients with TMD. TE does not appear be a significant direct improvement with oral functional improvements despite improvements of ROM. The improvements of ROM came from the TE emphasizing mobility interventions and a mixed multidimensional treatment program. Although the mixed TE approach twice weekly appears to be the most effective treatment method for pain outcomes. MA showed thar TE was superior to control only in the mixed approach intervention in reducing PI (SMD = 0.824 with a 95% CI; p = 0.011). Statistically insignificant regarding function between intervention and control groups between all TE groups. A significant difference was demonstrated through assessment of MMO favoring the mixed approach and mobility groups (SMD = 0.820 with a 95% CI; p = 0.018). Authors’ conclusions: Patients with TMD have less PI and better jaw ROM after TE targeting mobility or a mixed, multidimensional approach. |
| Florjanski et al., 2019 [45] | 10 RCTs (n = 153) | To determine the effects and efficiency of masticatory muscle activity management based on BF. | Mean Age (y): NA (20–60) Diagnosis: TMD according to RDC/TMD, American Academy of sleep medicine criteria, self-report sign and symptoms and electromyography monitoring by night. | Intervention groups: BF training (visual, audio, and vibratory) and CES Comparison groups: TENS, ST, and no intervention. | No MA | PI: VAS (0–10) and NRS (0–10) PPT (kg/cm2/s): Algometer Muscle activity: Electromyography (EMG) Sleep bruxism episodes (nº): EMG | The results showed a significant decrease in PI, reduction in EMG of masticatory muscles and a significant decrease in sleep bruxism events by using BF training but no changes in PI and PPT by using CES. Most of the studies suggested a significant correlation between usage of biofeedback and reduction in masticatory muscle activity, with a very low to moderate quality of evidence. Only in one study, the tendency was marked but not statistically significant with a low quality of evidence. Authors’ conclusions: BF is useful in decreasing masticatory muscle activity. However, further studies on a larger group of participants considering coexisting genetic and environmental factors that can modify the effect of biofeedback on masticatory muscles are needed to verify the results of the treatment and long-term follow-ups to clarify permanence. Additionally, the efficiency of different protocols remains unclear. |
| Fricton et al., 2009 [58] | 10 RCTs (n = 423) | To examine the effectiveness of TE interventions in the management of TTH and jaw pain in myofascial TMD. | Mean Age (y): NA Diagnosis: Muscular TMD, headache attributed to TMD and TTH according to NA. | Intervention groups: TE and postural improvement Control groups: No treatment, placebo, and other treatments. | TE compared with no treatment or placebo (education) in PI: 4 (n = 159) | Headache and jaw PI: NA MMO (mm): NA | Jaw-stretching exercises, ice, stretching exercises, massage, and relaxation therapy reduce PI and frequency of headache in headache attributed to TMD or muscular TMD vs. no treatment. Posture exercises with palliative instructions improved head and neck PI significantly more than a placebo-like palliative instruction only. Addition of posture correction was not associate with a net benefit over that of CBT alone or self-management alone. Addition of a TE program to other interventions for PI on headache and myofascial TMD, including patient education, ST, massage, heat, and other PT modalities did not show differences between groups with or without the exercise program. The MA demonstrated that there is a small but statistically significant trend for a favorable effect of TE compared with no treatment or placebo in the reduction in PI in patients with muscular TMD. Authors’ conclusions: The results suggest that exercise, particularly stretching and postural relaxation, has therapeutic value for PI on TTH and myofascial TMD, and should be included in the treatment regimen for these conditions. Although this review provides support for the use of exercise in treating TTH and myofascial TMD, it is still unclear what exercises work best, on what patients they work best, what outcomes can be expected, and what factors cause treatment failure. |
| Herrera-Valencia et al., 2020 [20] | 6 RCTs (n = 304) | To evaluate the medium- and long-term efficacy of MT for TMD, alone or in combination with TE. | Mean Age (y): 42.5 (34–51) Diagnosis: Mixed TMD: mouth opening pain and/or limitation, myofascial symptoms, non-reducing disc displacement. | Intervention groups: MT or MT + TE Comparison groups: TE, BTX injections, education, stand self-care. | No MA | PI: VAS Active MMO (mm): NA Passive MMO (mm): NA PPT: Algometer | A significant improvement in PI around (4/10 points) and MMO (4.35–15 mm) compared to baseline was observed after MT. Comparing the effects of MT, TE and education, the differences in PI and MMO seemed to be non-significant in the medium term (3–6 months). The reason why these differences in results are observed between the different studies at 3 months may be the types of TE used. Authors’ conclusions: MT seems to be an effective treatment for TMD in the medium term, although the effect appears to decrease over time. However, when complemented with TE, these effects can be maintained in the long term. |
| Jing et al., 2021 [59] | 16 RTCs (n = 538) | To compare the effects of different energy density LLLT in the management of TMD patients. | Mean Age (y): NA (14–76) Diagnosis: TMD according to RDC/TMD, American Academy of Orofacial Pain criteria. | Intervention groups: Different LLLT applications (d1: <10 J/cm2, d2: 10–50 J/cm2, d3: 50–100 J/cm2 and d4: >100 J/cm2) Comparison group: Placebo LLLT and control. | LLLT (d1) vs. placebo at 1 month follow-up on PI reduction: 5 (n = 160) | PI: VAS (0–10) | The MA showed that when comparing LLLT vs. placebo at 1 month follow-up on PI reduction, overall effect of LLLT showed no statistically significant differences with a low quality of evidence. Only d1 LLLT (<10 J/cm2) showed more PI reduction than placebo but no statistically significant difference was found. There was no statistically significant difference on PI reduction in favoring placebo vs. d3 LLLT (> 50 J/cm2). Authors’ conclusions: When energy density is not greater than 10 J/cm2, LLLT makes statistically significant pain reduction in the initial management of TMD. One month later, LLLT is more effective than placebo in pain management, but the result does not reach the point of statistical significance. For clinical application, d1 (energy density no greater than 10 J/cm2) LLLT is recommended for short-term pain management of TMD patients. |
| La Touche et al., 2022 [47] | 10 RCTs (n = 509) | To analyze the effectiveness of exercise and MT interventions in patients with disc displacement without reduction. | Mean Age (y): 43 (12–74) Diagnosis: Disc displacement without reduction according to DC/TMD with or without magnetic resonance imaging (MRI). | Intervention groups: TE or MT, in combination or in isolation Comparison groups: Other treatment or no treatment. | No MA | PI: VAS or NRS MMO (mm): Millimeter ruler and Micrometer caliper | Limited evidence exists to suggest that TE significantly improves MMO in patients with disc displacement without reduction compared to ST; however, results regarding PI reduction were similar for both treatments. Limited evidence also suggests that non-supervised and supervised exercise significantly improves PI after surgical treatment in patients with disc displacement without reduction. Authors’ conclusions: Results show that interventions based on TE, or MT may be beneficial and play a role in the treatment of disc displacement without reduction. Limited evidence suggests that exercise significantly improves MMO in comparison to ST. However, due to the heterogeneity of the included studies, these results should be interpreted with caution; it is not possible to determine which is the best type of intervention or which parameters might be most beneficial in these patients. |
| La Touche et al., 2020 [60] | 6 RTCs (n = 163) | To evaluate the effectiveness of cervical MT in patients with TMD and to compare the effectiveness of cervical MT vs. cervical MT + craniomandibular MT treatment in patients with TMD. | Mean Age (y): NA (18–65) Diagnosis: Myofascial or mixed TMD according to RDC/TMD. | Intervention groups: Cervical MT and cervical MT + craniomandibular MT Comparison groups: Placebo, sham, no intervention, and other non-MT interventions. | Cervical MT vs. Other Non-MT interventions on PI: 3 (n = 130) Cervical MT vs. Other Non-MT interventions on PPT in temporalis muscle: 3 (n = 130) Cervical MT vs. Other Non-MT interventions on PPT in masseter muscle: 3 (n = 130) Cervical MT vs. Cervical MT + Craniomandibular MT on PI: 2 (n = 88) Cervical MT vs. Cervical MT + Craniomandibular MT on MMO: 2 (n = 88) | Pin: VAS (0–10) and NRS (0–10). PPT (kg/cm2): Algometer MMO (mm): NA | When comparing cervical MT vs. other non-MT interventions, it was observed significant improvements in PI levels and PPT in masseter and temporalis muscles (0.15 to 1.5 kg/cm 2) for the cervical MT interventions. When comparing cervical MT vs. cervical MT + Craniomandibular MT significant reduction was found in PI at 3- and 6-month follow-up for both interventions, but the combined intervention showed greater improvement than the cervical MT intervention at 6-moths follow-up, in one study. Improve in MMO was significantly higher with the combined intervention at 3-month follow-up. The MA showed that when comparing cervical MT vs. other non-MT interventions, statistically significant differences in short-term PI reduction with a large clinical effect (SMD = −1.49, 95% CI = −2.45 to 0.54, Q = 10.75, p = 0.05, I2 = 81.3%) with no evidence of publication bias Egger’s test (SE = 1.461, T = −5.331, p = 0.118). Statistically significant differences in short-term increases in masseter PPT with a large clinical effect and for short-term temporalis PPT with a moderate clinical effect, with no evidence of publication bias for the masseter studies but there was a bias for the temporalis studies. When comparing cervical MT vs. cervical MT + craniomandibular MT, there were statistically significant differences in the short-term reduction in PI with large clinical effects, and statistically significant differences for MMO in the short-term reduction in pain-free MMO with large clinical effect. Authors’ conclusions: Cervical MT is more effective in decreasing PI than placebo MT or minimal intervention, with moderate evidence and cervical MT + craniomandibular MT achieved greater short-term reductions in PI and increased MMO over cervical intervention alone in TMD and headache, with low-quality evidence. These conclusions should be interpreted with caution due to the scarce evidence found in the literature. |
| Machado et al., 2018 [21] | 18 RCTs (n = 412) | To evaluate the effectiveness of the injection of different substances and DN in the treatment of myofascial TMD pain. | Mean Age (y): NA (18–69) Diagnosis: Myofascial TMD according to RDC/TMD, American Academy of Orofacial Pain criteria, classification of the International Headache Society and other non-standardized criteria. | Intervention groups: DN and wet needling Comparison groups: Wet needling, sham needling, and other treatment. | No MA | PI: VAS (0–10) and NRS (0–10). PPT (kg/cm2 or kPa or kg or kgf): Algometer MMO (mm): NA | When comparing DN vs. substance injection, there were favorable results for PI in all groups, but none of the studies showed statistical difference between them. When comparing DN vs. substance injection vs. sham needling vs. other treatments, lidocaine and laser therapy were all effective for deactivation of trigger points. When comparing DN vs. sham needling, DN was efficient in improving PPT in two studies and MMO in one study. When comparing ND vs. other treatments, there was a greater reduction in PI at rest and on masticatory function for DN in comparison with a methocarbamol/paracetamol combination, but no significant improvement in MMO was observed. Authors’ conclusions: Definitive conclusions about the therapies evaluated cannot be made due to the lack of adequate quality of the selected studies. |
| Martins et al., 2016 [61] | 8 RCTs (n = 375) | To analyze the effectiveness of MT in TMD patients and compare them to control treatments. | Mean Age (y): NA (12–44) Diagnosis: TMD according to NA. | Intervention groups: Active and passive interventions of MT Comparison groups: Active control groups. | MT vs. control PI during active MMO: 3 (n = 128) MT vs. Control on active MMO: 5 (n = 184) | PI: VAS and NRS. TMJ ROM (mm): Active MMO, Passive MMO, Pain-free MMO, LE, PE | MA showed that there was a significant difference and a large effect in favor of MT when compared to active control on active MMO (SMD = 0.83 [0.42, 1.25]; Tau2 = 0.10; Chi2 = 7.19; df = 4 (p = 0.13); I2 = 44%; Z = 3.93 (p < 0.0001)) and significant difference and large effect in favor of MT when compared to active control group on PI during active MMO. Authors’ conclusions: Significant results for MT to increase active MMO and decrease PI during active MMO. Musculoskeletal manipulations approaches are effective for the treatment of TMD. In the short term, there is a larger effect for musculoskeletal manual approaches manipulations compared to other conservative treatments for TMD. |
| McNeely et al., 2006 [48] | 12 RCTs (n = 480) | To evaluate the methodological quality of, and summarize the evidence from, randomized controlled trials (RCTs) that examined the effectiveness of PT interventions in the management of TMD. | Mean Age (y): NA (18–76) Diagnosis: Muscular, articular, or mixed TMD according to RDC/TMD or authors own diagnosis criteria. | Intervention groups: TE alone, MT alone, TE + MT, acupuncture and electrophysical modalities Comparison groups: Other treatment and sham. | No MA | PI: Pain scale (0–5), 6-poit pain scale (0–6), VAS (0–10) and NRS (0–10) Pain-free MMO (mm): Ruler LE (mm): Ruler PPT (kg/cm2/s): Algometer Clinical disfunction score | Posture training in combination with other therapies on myogenous TMD reported significant improvements in PI and MMO, PPT, and the modified SSI, in favor of the addition of postural exercise training. Significant improvement in PI and MMO in favor of the MT + TE vs. occlusal ST on anteriorly displaced temporomandibular disks in patients with articular TMD. PRFE therapy was not found to be significantly better than sham PRFE for articular TMD. TENS were not significantly better than muscular awareness relaxation therapy, sham TENS, or BF. Significant improvements were found in MMO and EMG activity for the muscular awareness relaxation therapy group when compared with treatment with TENS and sham TENS. BF was not found to be significantly better in reducing PI when compared with relaxation therapy or occlusal ST. However, it did result in significant improvement in MMO when compared to occlusal ST. LLLT showed significant improvements in active and passive MMO and in LE, compared with sham laser. However, no significant differences were found in PI reduction between the groups. Authors’ conclusions: The results of this systematic review support the use of active and passive oral exercises and exercises to improve posture as effective interventions to reduce symptoms associated with TMD. There is inadequate information to either support or refute the use of acupuncture in the treatment of TMD. There is no evidence to support the use of electrophysical modalities to reduce TMD pain; however, the evidence suggests improvements in MMO may result from treatment with muscular awareness relaxation therapy, BF training, and LLLT treatment. Most of the studies included in this review were of very poor methodological quality; therefore, these findings must be interpreted with caution. |
| Medlicott et al., 2006 [49] | 22 RCTs (n = 924) 8 not-RCTs | Analyze the effectiveness of PT interventions for TMD. | Mean Age (y): NA Diagnosis: Muscular TMD, DDWR, Arthralgia, arthritis, and arthrosis according to RDC/TMD. | Intervention groups: TE, MT, electrotherapy, relaxation training, BF and TE + electrotherapy Comparison groups: No treatment, placebo and ST. | No MA | PI: VAS PPT (kg/cm2/s): Algometer MFIQ Modified SSI MMO (mm): NA LE (mm): NA | TE and MT, alone or in combination, may be effective in the short term in increasing MMO in people with TMD resulting from acute disk displacement, acute arthritis, or acute or chronic myofascial TMD. Mid-laser therapy may decrease PI and improve MMO and LE in people with TMD secondary to acute disk displacement and may be more effective than other electrotherapy modalities in the short term. Relaxation techniques and BF, EMG training, proprioceptive re-education may be more effective than placebo treatment or occlusal ST in decreasing PI and increasing MMO in people with acute or chronic muscular TMD in the short term and the long term. Authors’ conclusions: Programs involving combinations of TE, MT, postural correction, and relaxation techniques may decrease PI and increase MMO in the short term in people with TMD resulting from acute disk displacement, acute arthritis, or acute myofascial TMD. |
| Melis et al., 2019 [22] | 4 RCTs (n = 215) | To evaluate the efficacy of OMT for the treatment of TMD | Mean Age (y): NA Diagnosis: TMD according to NA. | Intervention groups: OMT + self-care, OMT, LLLT + OMT and LLLT + OME Comparison groups: Self-care, no treatment, stabilization appliance and sham LLLT. | No MA | PI: NRS, VRS, MPQ and SSI. MMO (mm): NA Head posture: Horizontal distance of the tragus of the ear to the acromion, neck inclination and cranium rotation | This SR found a statistically and clinically significant decrease in PI, with no difference between the groups when comparing OMT + self-care vs. self-care alone, and a clinically non-significant change in head posture. When comparing OMT vs. no treatment, no difference in PI was seen, but there was a significant difference in otologic and orofacial symptoms. When comparing OMT vs. stabilization appliance, PI in both groups decreased, but there were better results in the OMT treatment group. When comparing LLLT + OME, OMT, placebo LLLT + OME and LLLT, general decrease in PI in all groups, with stability at 3-month follow-up. LLLT + OMT/OME was more effective than LLLT alone, both for reducing TMD symptoms and to rehabilitate orofacial function. Authors’ conclusions: Even though scientific evidence is weak because of the limited number and low quality of RCTs available in the literature, OMT, similar to other conservative and reversible treatments, has favorable cost–benefit and risk–benefit ratios; therefore, such therapy can be advised for patients with TMD and associated orofacial myofunctional disorders. |
| Munguia et al., 2018 [62] | 8 RCTs (n = 255) | To determine the efficacy of LLLT in treating myofascial TMD compared to placebo. | Mean Age (y): NA (16–60) Diagnosis: Myofascial TMD according to RDC/TMD and six myofascial pain syndrome criteria. | Intervention groups: LLLT Comparison groups: Sham LLLT. | Change and differences in PI at the end of treatment: 6 (n = 176) Change and differences in PI at 3–4 weeks follow-up: 5 (n = 160) MMO just after treatment: 2 (n = 59) MMO at 1 month follow-up: 2 (n = 59) | PI: VAS MMO (mm): NA | MA showed that LLLT vs. placebo provided a significantly greater reduction for PI from baseline to the end of the treatment with a moderate quality of evidence, and for PI after 3 to 4 weeks follow-up (SDM = –1.405 [−2.611 to −0.199]; p = 0.022; I2 = 91%), with a moderate quality of evidence. Improvement in the LLLT group after treatment was on average 2.2 points better on a VAS (0–10), so the improvements in this review may be clinically significant. LLLT provided a non-significant increase in MMO just after treatment compared to placebo, with a low quality of evidence, and a significant increase in MMO at 1 month after treatment (SDM = 0.686 [0.151, 1.220]; p = 0.012; I2 = 0%), with a low quality of evidence. Authors’ conclusions: LLLT seems to be effective in reducing PI in patients with myofascial TMD with moderate-quality evidence and increasing MMO with low-quality evidence. However, due to the high heterogeneity, small number of studies, and high risk of bias of the included studies, the results are not definitive, and further well-designed studies are needed. |
| Paço et al., 2016 [63] | 7 RTCs (n = 329) | To analyze the effects of PT management of TMD. | Mean Age (y): NA Diagnosis: TMD according to RDC/TMD, patients’ medical history and Rx and medical and dental examination. | Intervention groups: MT + exercise, MT + house PT, MT alone and DN Comparison groups: ST, control, education, self-care, sham. | Any PT treatment vs. other intervention/placebo/no intervention on PI at rest: 6 (n = 317) Any PT treatment vs. other intervention/placebo/no intervention on MMO: 7 (n = 329) | PI: VAS, MPQ, 11-point GCPS and NPS Mandibular Function: MFIQ Active MMO (mm): NA Passive MMO (mm): NA PPT (kg/cm2/s): Algometer | The 1/3 studies assessed found a significant PI reduction at rest while the other 2/3 found no significant differences between the PT and control groups. Two studies found a significant difference between the intraoral myofascial therapy (IMT) and education and self-care groups that favored the IMT group, although it was not clinically significant. One study showed significant differences favoring DN vs. sham group. Two studies assessed no significant differences in MPQ between the PT and control groups. The 1/3 studies (using DN) assessed improvements over the masseters muscle PPT. Two studies assessed passive MMO and found no differences between groups. On active MMO, one study showed a significant increase in the experimental group and three studies found no differences between the physiotherapy and control groups. The MA showed that PT treatment vs. other intervention/placebo/no intervention on PI at rest was a statistically significant better favoring intervention [SMD = −0.63 (−0.95 to −0.31); 95% CI, −0.95 to −0.31; heterogeneity: I2 = 0.0%. p = 0.447; Egger’s test: p = 0.264]. When the analysis was performed restricted to studies that presented the same diagnostic criteria, the estimated summary remained similar. There was an improvement in MMO favoring intervention, although the differences found were not significant [SMD = 0.33 (−0.07 to 0.72); 95% CI; I2 = 61.9%; p = 0.007; Egger’s test: p = 0.575]. When the analysis was performed restricted to studies that presented the same diagnostic criteria, the estimated summary remained similar. Authors’ conclusions: In this review, PT interventions were more effective than other treatment modalities and sham treatment in the management of TMD for PI reduction, and there was a tendency toward improved for active MMO. However, these results are not definitive and should be interpreted with caution, mostly due to the small number of included studies and to the variability of the instruments used to assess the outcomes. |
| Pretucci et al., 2011 [64] | 6 RTCs (n = 191) | To assess the scientific evidence on the efficacy of LLLT in the treatment of TMD. | Mean Age (y): NA (20–68) Diagnosis: TMD according to Anamnesis, muscle palpation, TMJ palpation, TMJ auscultation, radiographs, and MRI. | Intervention group: LLLT Control group: Sham LLLT. | LLLT vs. placebo on PI: 6 (n = 191) LLLT vs. placebo on MMO and LE: 2 (n = 65) | PI: VAS (mm) MMO (mm): NA Left LE (mm): NA Right LE (mm): NA | Two RCTs reported a non-significant difference in PI reduction between pre- and post-treatment, while the difference was statistically significant in the remaining four trials. The WMD for the MMO differences in baseline–end between LLLT and placebo groups was 4.04 mm and those for right LE and left LE were 1.64 and 1.90 mm, respectively. The MA showed that there was a reduction in PI for LLLT, but the MD of PI reduction was not statistically significant in comparison to placebo [MD: 7.77 (−2.49 to 18.02); 95% CI; heterogeneity: tau2 = 85.74; x2 = 11.08, df = 5 (p = 0.05); I2 = 55%; Test for overall effect: Z = 1.48 (p = 0.14)]. There was a significant difference in MMO with no heterogeneity in the LLLT group vs. placebo [MD: 4.04 (3.06 to 5.02); 95% CI; heterogeneity: Tau2 = 0.00; x2 = 0.04, df = 1 (p = 0.84); I2 = 0%; test for overall effect: Z = 8.10 (p = 0.00001)]. There was a significant difference in right LE with high heterogeneity in the LLLT group vs. placebo and there was a non-significant difference with high heterogeneity in left LE in the LLLT group vs. placebo. Authors’ conclusions: The results of this systematic review and MA indicated that there is no evidence to support the use of LLLT in the treatment of TMD. |
| Randhawa et al., 2016 [50] | 7 RCTs (n = 753) | To investigate the effectiveness of non-invasive interventions compared with other intervention, placebo/sham interventions, or no intervention in improving self-rated recovery, functional recovery, or clinical outcomes in adults and children with TMD. | Mean Age (y): 44 (18–70) Diagnosis: Persistent TMD (>3 months) or TMD of variable duration according to the RDC/TMD axis II, GCPS score (0, I, II low, II high, III or IV), self-report pain and tenderness of the muscles of mastication and TMJ region and limited mandibular movements. | Intervention groups: Non-invasive interventions Comparison groups: Other interventions, placebo/sham interventions or no interventions | No MA | PI: VAS and GCPS MMO (mm): NA | There were statistically significant between-group differences at 12 months for PI favoring structured self-care management vs. usual treatment. At the 6-month follow-up, participants in the IMT group reported greater improvement in jaw PI at rest, jaw PI upon MMO, and jaw PI upon clenching. However, there were no differences in PI between IMT with structured education and TMD stretching compared with IMT alone. Authors’ conclusions: Our review suggests that patients with persistent TMD may benefit from self-care management, or IMT. The current evidence does not support the use of occlusal device to reduce pain and disability in patients with TMD. Other conservative interventions for the management of TMD have not been supported by studies with a low risk of bias. |
| Melo et al., 2018 [51] | 1 RCT (n = 70 women) 2 Not-RCT (n = 64 women) | To evaluate systematically the evidence of the efficacy of Global Postural re-education in the treatment of pain in individuals with TMD. | Mean Age (y): 22.56 ± 3.40 to 36.2 ± 9.8 Diagnosis: TMD according to Helkimo index or DC/TMD. | Intervention groups: Global postural re-education (type of TE) Comparison groups: No treatment or static segmental stretching. | No MA | PI: VAS or DC/TMD (Axis 1) PPT (kg/cm2/s): Algometer | All included studies found the same positive effects in the RPG and the static segmental stretching groups compared to the control groups in the short term. The effects seem to diminish in the medium term. Authors’ conclusions: It was possible to conclude that GPRS to be effective in reducing pain present in TMD, in which it was emphasized the treatment of muscle chains added to body awareness and breathing. Considering the results obtained in this review, it is evident that there is no superiority between GPR, postural exercises and static segmental stretching. However, more randomized clinical trials with greater methodological rigor are needed. |
| Tunér et al., 2019 [51] | 39 RCTs (1391) | To review all documents regarding PBMT application in TMD patients and to suggest a preliminary evidence-based protocol for PBMT administration for these patients. | Mean Age (y): NA Diagnosis: TMD according to NA. | Intervention groups: PBMT Comparison groups: Placebo. | No MA | PI: VAS Mandibular function: CMI MMO (mm): NA PPT: NA EMG: NA | The findings of the included articles suggested that PBMT was an effective way of decreasing PI as compared with placebo in TMD patients (29 studies out of 39). Moreover, PBM improved mandibular movements in eight studies and reduced patients’ anxiety in two studies. Collecting information of these heterogeneous RTCs showed beneficial impacts of PBM on reducing PI at the short-term follow-up (10 days to 4 weeks). Functionality of TMJ was assessed in terms of MMO, EMG and CMI, indicating that the total effect favored PBM in comparison with placebo. Moreover, four studies indicated PPT improved by PBM. Authors’ conclusions: Despite the observed limitation of PMBT, it seems that PBM can relieve PI in TMD patients and improve mandibular functionality. Given the high discrepancy within the included studies in this review, we highlight the need for further precise RCTs with larger sample sizes to assess its efficacy. |
| Lanas-Teran et al., 2019 [53] | 13 RCTs (n = 546) | To establish whether there is evidence that LLLT can reduce the main symptoms of TMD and to determine the most effective application protocol. | Mean Age (y): NA Diagnosis: Mixed TMD according to NA. | Intervention groups: LLLT Comparison groups: Other laser types, other treatments, or ST | No MA | PI: NA MMO: NA Masticatory difficulty: adapted VAS Jaw movements (mm): PE and LE | An energy density of 3 J/cm2 decreased PI in the groups treated by LLLT but most authors used energy densities of 4 J/cm² and 8 J/cm², also with favorable results in terms of improvement in TMD symptoms. In some studies, groups treated with lasers showed an improvement in pain of up to 4 fold the pain levels of the placebo group. However, some authors found no significant difference between scores in this outcome after 4 weeks. Some authors evaluated jaw movements in terms of PE and LE, finding out an increase in dimensions of these jaw movements after LLLT. Authors’ conclusions: LLLT may be considered an alternative in the relief of symptoms of clinical TMD manifestations; however, there is no evidence of one protocol being superior to all the others. |
| Van der Meer et al., 2020 [65] (Corrigendum data; PMID: 33622659) | 5 RCTs (n = 220) | To evaluate the effectiveness of PT on concomitant headache PI in patients with TMD. | Mean Age (y): NA (28–36) Diagnosis: Headache + TMD according to DC/TMD. | Intervention groups: PT Comparison groups: Counseling, ST, global postural re-education, education, and MT. | Overall PT vs. control on headache PI: 5 (n = 220) Counseling + exercise vs. counselling and/or ST on headache PI: 3 (n = 153) | Headache PI: VAS and colored analog scale | When comparing static stretching vs. global stretching (Global postural re-education) in one study, there was a large effect size in favor of static stretching on reducing headache PI with a low quality of evidence. When comparing orofacial and cervical MT vs. cervical MT in one study, orofacial and cervical MT was superior to cervical MT alone, reducing headache PI, with a low quality of evidence. MA showed that when comparing PT vs. control on headache PI, PT had a small overall effect, but not significant, on reducing headache PI, with a very low quality of evidence. When comparing counselling + TE vs. counselling and/or ST on headache PI, there were no difference in effects, with a low quality of evidence. Authors’ conclusions: PT interventions presented a small, but not significant, effect on reducing headache PI in subjects with TMD, with a low level of certainty. As orofacial PT and cervical MT do appear to be effective to reduce headache PI, a specialized physical therapist should be part of the health care team for the treatment of TMD and headache, although they may not be available in all countries. |
| Vier et al., 2019 [66] | 7 RCTs (n = 199) | To investigate the effects of DN on orofacial pain of myofascial pain origin in patients with TMD. | Mean Age (y): NA (>18) Diagnosis: Myofascial TMD according to RDC/TMD, Helkimo and HIS. | Intervention groups: DN Comparison groups: Placebo, sham, and other interventions. | DN vs. Sham in PI: 2 (n = 70) DN vs. Sham in PPT: 3 (n = 82) DN vs. Sham in Pain free MMO: 2 (n = 62) DN vs. other interventions in PI: 2 (n = 68) DN vs. other interventions in PPT: 2 (n = 36) | PI: VAS and NRS PPT (kg/cm2/s): Algometer Pain-free MMO (mm): Millimeter ruler and caliper | MA showed not statistically significant difference between DN vs. sham on PI [MD = 0.30 (−0.83, 1.43); Tau2 = 0.24; Chi 2 = 1.32; df = 1 (p = 0.25); I2 =24%; Z = 0.52 (p = 0.60)], better results for DN vs. other interventions on PI [MD = −0.74 (−1.25, −0.22); Chi2 = 1.32; df = 1 (p = 0.25); I2 = 24%; Z = 2.80 (p = 0.005)], better results for DN vs. sham for PPT [MD = −0.56 (−0.81, −0.31); Tau2 = 0.03; Chi2 = 4.41; df = 2 (p = 0.11); I2 = 55%; Z = 4.40 (p < 0.0001)], not statistically significant difference between DN vs. other interventions for PPT [MD = 0.08 (−0.12, 0.27); Chi2 = 0.17; df = 1 (p = 0.68); I2 = 0%; Z = 0.79 (p = 0.43)] and not statistically significant difference between DN vs. sham for pain-free MMO [MD = −0.12 (−3.04, 2.80); Tau2 = 1.78; Chi2 = 1.66; df = 1 (p = 0.20); I2 = 40%; Z = 0.08 (p = 0.93)] in the short term, with a very low quality of evidence. Authors’ conclusions: DN is better than other interventions for PI as well as than sham therapy on PPT, but there is very low-quality evidence and a small effect size. |
| Xu et al., 2018 [67] | 31 RCTs (n = 963) | To evaluate the effect of LLLT versus placebo in patients with TMD. | Mean Age (y): NA Diagnosis: TMD according to NA. | Intervention groups: LLLT Comparison groups: Sham LLLT. | MA of LLLT vs. Placebo: PI at the final follow-up time point: 17 (n = 643) Mean difference (MD)of PI between the baseline and the final follow-up time point: 19 (n = 679) Active MMO at the final follow-up point: 9 (n = 301) Passive MMO at the final follow-up time point: 3 (n = 144) LE at the final follow-up time point: 12 (n = 477) PE at the final follow-up time point: 5 (n = 157) | PI: VAS Active MMO (mm): NA Passive MMO (mm): NA LE (mm): NA PE (mm): NA PPT (kg/cm2 or kpa or mm): Algometer | MA showed statistically significant reduction in PI at the final follow-up time point favored LLLT vs. placebo when combining any LLLT dose and any follow-up time point. Subgroup analysis showed significant differences between LLLT and placebo groups at high dosage and unknown dosage. However, there were no significant differences between the two groups at low dosage. There were significant differences between the two groups at the short-term follow-up (<2 weeks). However, LLLT failed to show significant favorable effects on PI scores at long-term follow up (>2 weeks) compared to placebo (WMD = −14.84; 95% CI = −35.35–5.68; p = 0.16; I2 =97%). The overall effect favored LLLT over placebo in active MMO (WMD = 6.37 [2.82, 9.93]; p = 0.0004; I2 = 95%), LE, and PE. For PPT, it was impossible to estimate the overall effect size across the different scales. Four studies showed a significant change, while two reported no change of PPT in the LLLT group compared to the placebo group. Authors’ conclusions: The overall effect illustrated that LLLT effectively relieves PI over placebo and improves functional outcomes such as MMO in TMD patients, in the short term (< 2 weeks). |
| Zwiri et al., 2020 [54] | 32 studies (n = 1172) 25 RCTs (n = NA) and 7 Non-RCTs (n = NA) | To evaluate the effectiveness of LLLT application in TMD and review the evidence from previous studies with their sample size and methodology in the management of TMD. | Mean Age (y): NA (15–73) Diagnosis: TMD according to NA. | Intervention groups: LLLT Comparison groups: Conventional treatment modalities. | No MA | PI: NA MMO (mm): NA | In this systematic review, 25/32 studies reported a reduction in PI compared with conventional treatment, while 7/32 studies did not find any significant difference, being the Ga-Al-As (LLLT) laser with a variation of 780–904 nm wavelength the most used to treat the TMD patients in the studies. Authors’ conclusions: After this review, LLLT can be recommended as a beneficial treatment approach for TMD patients. |
| Study | Group | Type of Intervention | Intervention Description | Characteristics of the Session (Treatment Time, Dosage, Intensity) | Total Intervention Time, Frequency of Sessions per Week and/or Day, and Total Number of Sessions | Follow-Up Time Points |
|---|---|---|---|---|---|---|
| Al-Moraissi et al., 2020 [55] | Intervention group: | DN, acupuncture, WN | DN: It refers to direct needling consisting of dry needling, with thin monofilament needle without any chemical agent injected directly (superficial or deep) into the masticatory muscles. Acupuncture: Penetration of the dry needling, thin filiform needles into proximal- and distal-specific acupoints according to Western biomedical acupuncture and traditional Chinese medicine. WN: Intramuscular injections in the masticatory muscles. Substances used were BTX, lidocaine, granisetron, mepivacaine, collagen and platelet-rich plasma. | Total session time: NA Intensity: NA Dosage: NA | Total intervention time: NA Frequency of sessions per week and/or day: NA Total number of sessions: From 1 to 4 | Immediate post-treatment, 3 weeks, 1 month, and 6 months |
| Comparison group: | Placebo | |||||
| Al-Moraissi et al., 2020 [56] | Intervention group: | Conservative treatment, intra-articular injections of HA or CS, arthroscopy alone, arthrocentesis with or without HA, CS and PRP, arthroscopy with or without HA and PRP, and open joint surgery | Conservative treatment: Muscle exercises and occlusal ST. Arthroscopy alone: Included lysis and lavage using normal saline or Ringer solution without injection of any medication. Open joint surgery: Which includes discectomy, high condylectomy, disc repositioning and arthroplasty. | Total session time: NA Intensity: NA Dosage: NA | Total intervention time: NA Frequency of sessions per week and/or day: NA Total number of sessions: NA | 5 months, 6 months, and 4 years |
| Comparison group: | Intra-articular injection (IAI) of normal saline, inactive laser | |||||
| Alves et al., 2013 [53] | Intervention group: | MT + physical medicine | MT (Mandibular Manipulation): Forcing the mandible with consecutive movements, inferior, anterior, superior, and posterior. Physical medicine: Which included mandibular manipulation, occlusal techniques, and NSAIDs. | Total session time: NA Intensity: NA Dosage: NA | Total intervention time: NA Frequency of sessions per week and/or day: NA Total number of sessions: NA | 1 week, 1 month, 2 months, 3 months, 6 months, 12 months, 18 months, 24 months, and 60 months |
| Comparison group: | Medical management, arthroscopic surgery, arthroplasty, palliative care, and controls | |||||
| Armijo-Olivo et., al 2016 [15] | Intervention group: | TE, MT, TE + other interventions, and MT + TE | TE: Any kind of exercises as: posture correction exercises, general jaw exercises alone or in combined with a neck exercise program, jaw/neck exercise alone or as part of a conservative intervention. MT: Facial manipulation, intra-oral myofascial therapy, mobilization of the cervical spine mobilization of atlantoaxial joint, manipulation of the upper thoracic spine, massage to masticatory muscles, mobilizations of TMJ joint. TE + other interventions: Jaw/neck exercises alone or combined with other therapies such as medications, surgery or selfcare recommendations. MT + TE: MT + jaw/neck exercise program, MT + stretching techniques. | Total session time: 12 min–1 h Intensity: NA Dosage: NA | Total intervention time: From 2 weeks to 12 months Frequency of sessions per week and/or day: 3–6 times/day 1–3 sessions/week Total number of sessions: NA | Immediately post-treatment, 4 weeks, 6 weeks, 2 months, 3 months, 6 months, 9 months, 12 months |
| Comparison group: | ST, medication, auriculotemporal nerve block, arthroscopy, arthroplasty, medical self-care, placebo, waiting list control, standard care, BTX | |||||
| Brochado et al., 2019 [16] | Intervention group: | Occlusal ST, LLLT, PBMT, US, TENS, MT, TE (oral exercises), TEd (behavioral education), and acupuncture | LLLT: Application of light within the red and near infra-red wavelength range of 600–1000 nm. US: Application of mechanical vibrations at frequencies above 16 Hz generated by a piezoelectric effect using a frequency between 1.0 and 3.0 MHz. TENS: Modulates the control system of endogenous pain. MT: NA. Behavioral education: Any type of self-management or self-care that includes cognitive behavioral techniques as education about negative habits and counseling, relaxation techniques, and home exercises. Oral exercises: Any type of stretching and strengthening masticatory muscles and relaxation exercises, increasing mobility, tissue regeneration and helping patients to overcome the fear of moving the TMJ. | Total session time: NA Intensity: NA Dosage: NA | Total intervention time: NA Frequency of sessions per week and/or day: NA Total number of sessions: NA | Immediately post-treatment |
| Comparison group: | Other treatments, placebo/sham, no treatment | |||||
| Calixtre et al., 2015 [17] | Intervention group: | MT | MT: Intra-oral myofascial release techniques, massage therapy on masticatory muscles, atlanto-occipital joint thrust manipulation, thoracic manipulation, and mobilization for the upper cervical spine. | Total session time: NA Intensity: NA Dosage: mobilization velocity (0.5 Hz). | Total intervention time: NA Frequency of sessions per week and/or day: NA Total number of sessions: From 1 to 10 sessions | Immediately post-treatment, 2 days, 3 days, 4 weeks, 5 weeks, 6 weeks, 2 months, 6 months, 12 months |
| Comparison group: | Placebo, standard treatment, other treatments | |||||
| Chen et al., 2015 [18] | Intervention group: | LLLT | LLLT: Is a non-thermal type of light, thought to reduce inflammation through inhibition of PEG2 formation and suppression of cyclooxygenase 2. Types of LLLT used: GaAIAs, Nd: YAG, HeNe with wavelength from 632 to 1064 nm. | Total session time: 10–180 s Intensity: Wavelength: 632–1064 nm Energy per point: 0.3–480 (J/point per session) Dosage: Energy density: 1.5–112.5 J × cm2 | Total intervention time: NA Frequency of sessions per week and/or day: From 1 to 12 sessions/week Total number of sessions: From 3 to 20 sessions | 1 and 3 months |
| Comparison group: | Placebo (sham therapy) | |||||
| de Melo et al., 2020 [46] | Intervention group: | MT + TE, and MT + TE + counseling | MT: Mobilization of the TMJ and/or soft tissues of the masticatory muscles and/or massage. TE: Passive or active stretching exercises, isometric tension against resistance exercises, and guided opening and closing of the mandibular movements. | Total session time: 10–50 min Intensity: NA Dosage: Stretching: 1 min, and coordination exercises: 20 repetitions | Total intervention time: 4 weeks Frequency of sessions per week and/or day: 3 sessions/week Total number of sessions: NA | 4 weeks, 6 weeks, 3 months, 6 months, and 1 year |
| Comparison group: | BTX injections, home physical therapy alone, no treatment, and counseling | |||||
| Dickerson et al., 2017 [19] | Intervention group: | MT + TE | MT: NA. TE: Intervention based on mobility, motor control, postural education, and mixed exercise therapy (combined interventions). | Total session time: 10–45 min Intensity: NA Dosage: Sets 5–10, repetitions 2–10, isometric exercises holding 10–30 s | Total intervention time: NA Frequency of sessions per week and/or day: 2–4 times/day, 1–2 sessions/week Total number of sessions: NA | 10 min after treatment, 4 weeks, 17 weeks, and 52 weeks |
| Comparison group: | Another type of treatment, and placebo | |||||
| Florjanski et al., 2019 [45] | Intervention group: | TE (BFB training): visual BFB, vibratory BFB, audio BFB, and contingent electrical stimulation | EMG Biofeedback: Providing biological information from muscles to patients in real-time that would otherwise be unknown. Surface electrodes are placed on the skin to measure frequency, intensity, and duration of muscle contraction. In these interventions, electrodes were placed over the master muscle, temporalis muscle or both. BFB: Patient modifies muscle activity with self-control, based on a constant feedback of a registered signal. Audio, visual, and vibratory signals were used. Contingent electrical stimulation: Is a method, in which the device emits a non-painful electrical pulse to the chosen muscle region when EMG activity exceeds the individually determined threshold. | Total session time: 20 min–8 h Intensity: NA Dosage: NA | Total intervention time: 2 nights–12 weeks Frequency of sessions per week and/or day: NA Total number of sessions: 2–42 sessions | 5 nights, and 2 weeks |
| Comparison group: | TENS treatment, occlusal ST, and control group | |||||
| Fricton et al., 2009 [58] | Intervention group: | TE | TE: Jaw stretching, neck stretching, posture training, standardized physiotherapy exercise, repetitive range of motion exercise, exercise in combination with other treatment. | Total session time: NA Total session time: NA Intensity: NA Dosage: NA | Total intervention time: NA Frequency of session per week and/or day: NA Frequency of sessions per week and/or day: NA Total number of sessions: NA | Immediately post-treatment, 2, 3, 6, 9, and 12 months |
| Comparison group: | Non-intervention, placebo exercises, self-management, and other treatments | |||||
| Herrera Valencia et al., 2020 [20] | Intervention group: | MT + TE | MT: Caudal mobilization of the TMJ, manual treatment of the temporal and masseter muscles, cervical region treatment, TMJ neurodynamics, TMJ manipulation, TMJ traction mobilization, lateral and medial pterygoid muscle, and sphenopalatine ganglion treatments. TE: Cervical muscles isometric exercises and/or opening TMJ exercises. TEd: Health education and good habits communicated during the session by the clinical therapist. | Total session time: 10–50 min Intensity: NA Dosage: NA | Total intervention time: 2–18 weeks Frequency of session per week and/or day: 0.5–2 sessions per week Total number of sessions: 2–24 sessions | 3, 4, and 12 months |
| Comparison group: | BTX injection, TEd, no treatment, TE, and ST | |||||
| Jing et al., 2020 [59] | Intervention group: | LLLT | LLLT: Application of LLLT using different laser types: GaAs, AlGasAs, GaAlAs, HeNe, Nd: YAG, and InGaAlP. | Total session time: 10–180 s Intensity: Wavelength: 632.8–1064 nm Dosage: Energy density: 1–105 J × cm −2 Exposure time per point: 10 s–10 min | Total intervention time: From 2 weeks to 8 weeks Frequency of session per week and/or day: NA Total number of sessions: 1–20 sessions | 1 month |
| Comparison group: | Placebo, and control group | |||||
| La Touche et al., 2020 [49] | Intervention group: | TE and MT, in combination or in isolation | TE: Self-mobilization exercises related to jaw opening and closing or side-to-side movement. In addition, some interventions combined mobilization exercises with isometric strength exercises or specific jaw muscle stretching exercises. MT: Mobilization of the TMJ using traction and translation movements and massage techniques on the masseter and temporal muscle. | Total session time: NA Intensity: NA Dosage: NA | Total intervention time: From 1 to 8 weeks Frequency of sessions per week and/or day: 3–5 times/day Total number of sessions: NA | 1 week and 52 weeks |
| Comparison group: | Surgery, no treatment after surgical treatment, ST, and NSAIDs | |||||
| La Touche et al., 2020 [60] | Intervention group: | MT + TE | MT: Mobilizations or high velocity manipulations of the cervical region, TMJ mobilizations, neuromuscular and nerve tissues techniques in the craniomandibular region. TE: Muscle conditioning for the cervical region and coordination exercises for masticatory muscles and therapeutic exercises for the craniomandibular region. | Total session time: NA Intensity: NA Dosage: NA | Total intervention time: NA Frequency of sessions per week and/or day: NA Total number of sessions: NA | 48 h, 5 weeks, 6 weeks, 3 months, and 6 months |
| Comparison group: | Placebo, sham mobilizations, no intervention, cervical MT alone | |||||
| Machado et al., 2018 [21] | Intervention group: | DN, WN, LLLT and infrared laser therapy | DN: DN in trigger point or close to it, by means of different length needles. Wet needling: Injection of substances in the trigger point. Substances used were procaine 1%, lidocaine 0.25% or 0.5%, lidocaine 0.25% + 0.2 mL corticoid, 0.2 mL BTX, 1 mL, lidocaine 0.5% 1 ml, 0.2 mL botulinum toxin, 1 mL granisetron, and 0.2 mL ketamine. Laser: Infrared laser and LLLT (GaA1As). | Total session time: NA Intensity: Infrared laser: 795 nm at 80 mW power LLLT: GaA1As 100 mW Dosage: Infrared laser: 4 or 8 J/cm2 LLLT: 80 J/cm2 | Total intervention time: NA Frequency of sessions per week and/or day: NA Total number of sessions: NA | 30 min after infiltration, 24 h, 1 week, 2 weeks, 1 month, 2 months, 3 months, and 6 months |
| Comparison group: | DN as placebo, local anesthetic, false needling, methocarbamol and paracetamol combination drug therapy, saline solution 0.9%, 0.7%, and fascial manipulation | |||||
| Martins et al., 2016 [61] | Intervention group: | MT | MT (musculoskeletal manual approaches): Techniques as distraction mobilization technique, passive traction and translation movements, massage in jaw elevator muscle, osteopathic manipulative treatment, atlanto-occipital thrust, intraoral myofascial therapy, accessory movements, tender-trigger point and muscle stretching and tissue, cervical and TMJ mobilization and TMJ stabilization. | Total session time: NA Total session time: NA Intensity: NA Dosage: Number of MT techniques varied from 1 to 5 | Total intervention time: 1 day to 24 weeks Frequency of sessions per week and/or day: 1 to 3 times/week Total number of sessions: NA | NA |
| Comparison group: | Home exercise massage, usual care, sham treatment, and ST | |||||
| McNeely et al., 2006 [48] | Intervention group: | TE + other therapy, MT + TE, traditional TE, conventional therapy + oral exercise device, Ted (CBT) + posture correction, and electrophysical modalities: PRFE, LLLT, TENS1, and biofeedback | TE: Any type of jaw exercises o postural correction exercises, with or without any device, to improve strength and mobility in the region. MT: Techniques of manual mobilization, to reduce pain and restore mobility. Ted (CBT): Education on chronic pain, stress reduction, and relaxation training. | Total session time: TE: 1–5 min MT: NA EFM: 30 min Intensity: NA Dosage: NA | Total intervention time: TE: 4 weeks to 12 months Electrophysical Modalities: 1 week to 4 months Frequency of sessions per week and/or day: TE: 2 session per week to 1 session per month EFM: 1 per week to 3 per week Total number of sessions: TE: 8–16 sessions EFM: 3–20 sessions | TE: 0 to 12 months Electrophysical Modalities: 0 to 1 month |
| Comparison group: | Occlusal ST, no treatment, CBT, TMD self -management instructions alone, sham, relaxation therapy | |||||
| Medlicott et al., 2006 [49] | Intervention group: | TE, MT, electrotherapy, relaxation training, and TEd | TE: Masticatory and neck musculature chilling, stretching exercises, home-exercise program MMO against resistance, active ROM exercises, coordination exercises and postural correction exercises. MT: Manual mobilization and massage techniques. Electrotherapy: PRFE, microcurrent electrical neuromuscular stimulation, LLLT, short-wave diathermy, TENS and ultrasound. Relaxation training and TE: Breathing and postural relaxation techniques, muscle relaxation techniques, EMG Biofeedback, relaxation tape and stress management education. | Total session time: TE and MT: NA. Electrotherapy: 40 sec–30 min Intensity: NA Dosage: TENS: 2–100 Hz Ultrasound: pulsed, 0.08–0.5 W/cm2 LLLT: 830–904 nm RPFE: 250 kHz Relaxation training and TE: NA | Total intervention time: TE and MT: 2 weeks to 6 months Electrotherapy: 2 weeks to 6 weeks Relaxation training and TE: 3 weeks to 8 weeks Frequency of sessions per week and/or day: TE and MT: 1/3 to 3 sessions per week Electrotherapy: 1 to 3 sessions/week Relaxation training and TE: 1 to 2 sessions/week Total number of sessions: TE and MT: 1 to 18 sessions Electrotherapy: 2 to 12 sessions Relaxation training and TE: 3 to 8 sessions | Immediately post-treatment, and 12 months |
| Comparison group: | No treatment, occlusal ST, waiting list control, sham/placebo techniques | |||||
| Melis et al., 2019 [22] | Intervention group: | TE (OMT) + self-care, TE (OMT), LLLT + OMT, LLLT + OME | TE (OMT): It is based on oral exercises, which included tongue, neck, shoulders, and jaw exercises. The list exercises were not always described, but the aim was to favor an increase in blood circulation and pain relief, mandibular posture and mobility without deviations, coordination of the muscles of the stomatognathic system and equilibration of the stomatognathic functions compatibly with dental occlusion. | Total session time: NA Intensity: NA Dosage: NA | Total intervention time: NA Frequency of sessions per week and/or day: NA Total number of sessions: 9–13 sessions | Immediately post-treatment, 1 week, 4 weeks, 19 weeks, and 7 months |
| Comparison group: | Self-care, no treatment, stabilization appliance, placebo LLLT | |||||
| Melo et al., 2018 [51] | Intervention group: | TE (global postural re-education training) | TE (global postural re-education training): This method is based on composition of muscle chains and advocates the global stretching of the muscles that compose them, based on the principle that dysfunctions can arise due to the retractions of muscle chains present throughout the body. | Total session time: 15–45 min Intensity: NA Dosage: NA | Total intervention time: 2–2.5 months Frequency of sessions per week and/or day: 1–2 per week Total number of sessions: 8–16 sessions | NA |
| Comparison group: | Static segmental stretching exercises, and no treatment | |||||
| Munguia et al., 2018 [62] | Intervention groups: | LLLT | LLLT: It refers to Class IIIb lasers with less than 600 mW of power. It improves local microcirculation, resulting in increased oxygen supply to the hypoxic cells related to the trigger point area. Different laser types were used: diode laser, GaAIAS, GaAlAs diode laser, YAG laser, In-Ga-Al-P, and infrared laser. | Total session time: 19 s to 10 min Intensity: NA Dosage: Laser energy density (J/cm2): from 6.4 to 105; power density (mW): from 50 to 250; pulsed (HZ) or continuous mode; 1500 or continuous mode | Total intervention time: 4–5 weeks Frequency of sessions per week and/or day: 2–3 sessions/week Total number of sessions: 4–10 sessions | Immediately post-treatment |
| Comparison groups: | Sham laser (inactive laser) | |||||
| Paço et al., 2016 [63] | Intervention groups: | MT + TE, MT + home physical exercise, TE, MT, and DN | NA | Total session time: NA Intensity: NA Dosage: NA | Total intervention time: 1 day–6 weeks Frequency of sessions per week and/or day: NA Total number of sessions: NA | Immediately post-treatment, 6 weeks, 20 weeks, 24 weeks, 46 weeks, and 1 year |
| Comparison groups: | ST, control group, TEd and self-care, home physical TE | |||||
| Petrucci et al., 2011 [64] | Intervention groups: | LLLT | LLLT: Is a non-thermal type of light that is considered that this effect is a consequence of the reduction in levels of prostaglandin E2, which is among the most important proinflammatory mediators. Reduction in prostaglandin E2 could be observed within a range of dose between 0.4 and 19 J and within a range of power density between 5 and 21.2 mW/cm2. Different laser types were used: GaAlAs, HeNe, and GaAs. | Total session time: 10–180 s Intensity: Maximum pulse: 17–500 mW Dosage: Power density: 3500–38887 mW/cm2 Dose: 0.3–10 J | Total intervention time: NA Frequency of sessions per week and/or day: 1–3 sessions/week Total number of sessions: 3–20 sessions | 1 month |
| Comparison groups: | Sham LLLT (placebo) | |||||
| Randhawa et al., 2016 [50] | Intervention groups: | Self-care management, MT (myofascial therapy), structured TEd | Structured self-care management: Education, guided reading with structured feedback, relaxation and stress management training, self-monitoring of signs and symptoms, development of a “personal TMD self-care plan,” supervised practice and reinforcement of dentist-prescribed self-care treatments, and maintenance and relapse prevention. MT (intraoral myofascial therapy): Intraoral temporalis release; intraoral medial and lateral pterygoid (origin) technique; and intraoral sphenopalatine ganglion technique. TEd (structured education): Patients were instructed on chewing technique and relaxation stretching. They also attended short lectures on basic TMJ anatomy, biomechanics, disk displacement and dysfunction, and the role of psychoemotional factors in TMD. | Total session time: NA Intensity: NA Dosage: NA | Total intervention time: 5 weeks–2.5 months Frequency of sessions per week and/or day: 0.3–2 sessions/week Total number of sessions: 3–10 sessions | Post-intervention, 6 and 12 months |
| Comparison groups: | Physiotherapy, education, medication, intraoral flat-plane occlusal appliances, and waiting list | |||||
| Turner et., 2019 [52] | Intervention groups: | LLLT | LLLT: Applied to TMJ and masticatory muscles. | Total session time: 10 s–20 min Intensity: NA Dosage: Energy density varied between 4 and 112.5 J/cm2 | Total intervention time: NA Frequency of sessions per week and/or day: 1 sessions/week–5 sessions per week Total number sessions: 1–20 sessions | 48 h, 10 and 12 days, 180 days, 3, 4, 5, 6 and 8 weeks and 12 months |
| Comparison groups: | Placebo, and NSAIDs (piroxicam) | |||||
| Lanas-Teran et al., 2019 [53] | Intervention group: | LLLT | LLLT: Application of different laser types: GaAIAs 660–904 nm, Nd: Yang 1064 nm, HeNe 632.8 nm. LLLT: Due to their analgesic and anti-inflammatory effects, various types of lasers, such as HeNe and GaAlAs, are used in the management of TMD, each one being used at different wavelengths. The treatment is non-invasive, fast, and safe. Types of LLLT used: GaAIAs, Nd: Yang, HeNe. | Total session time: 10–180 s Intensity: Wavelength: GaAIas 660–904, Nd: Yang 1064, HeNe 632.8 nm Dosage: Energy density: 1.5–52.5 J × cm−2 Power density: 17–500 mW2 | Total intervention time: NA Frequency of session per week and/or day: NA Total number of sessions: 3–20 sessions | Immediately post-treatment, and 180 days |
| Comparison group: | Laser GaAIAs (780–830 nm), ST, sham laser), occlusal ST, and sham laser | |||||
| Van der Meer et al., 2020 [65] | Intervention groups: | Counseling + relaxation exercises + MT + TE + TEd | MT: Stretching + auto-massage jaw muscles, static stretching of cervical spine, upper limbs, and mandibular muscles. TE: Home exercises, jaw muscles and joint exercises. TEd: NA. | Total session time: From several minutes for home therapy to full 30 to 40 min sessions with a therapist Intensity: NA Dosage: NA | Total intervention time: NA Frequency of sessions per week and/or day: From daily for 3 months to weekly for 8 weeks Total number sessions: NA | From 2 weeks to 6 months |
| Comparison groups: | Counseling + occlusal appliance, global posture re-education, TEd, ST, cervical MT | |||||
| Vier et al., 2019 [66] | Intervention groups: | DN | DN: Applied in masseter muscle, lateral pterygoid muscle, temporalis muscle, digastric muscle, splenius muscle, sternocleidomastoid muscle, and trapezius muscle. Other interventions: WN, LLLT, sham LLLT, and pain education. | Total session time: From 2 to 30 min Intensity: NA Dosage: NA | Total intervention time: 1–5 weeks Frequency of sessions per week and/or day: 1 session/week Total number of sessions: NA | From 24 h to 10 weeks |
| Comparison groups: | Placebo/sham therapy, and other interventions | |||||
| Xu et al., 2018 [67] | Intervention group: | LLLT | LLLT: Application sites were generally the TMJ and/or temporomandibular muscles. Types of LLLT used: GaAlAs, GaAs, Nd: YAG, HeNe, InGaAlP, and diode laser. | Total session time: 10 s–45 min Intensity: Wavelength: 632.8–1064 nm Dosage: 1.5–112.5 J/cm2 | Total intervention time: NA Frequency of sessions per week and/or day: 1–7 sessions/week Total number of sessions: 3–20 sessions | Immediately post-treatment, 3 months |
| Comparison group: | Placebo, sham laser | |||||
| Zwiri et al., 2020 [54] | Intervention groups: | LLLT | LLLT: Has a low energy intensity and its effect is based on the light absorption process, which is between 630 and 1300 nm. The main impacts are bio stimulative, regenerative, analgesic and anti-inflammatory. Different types of LLLT used were Ga-Al-As, GaAs, semiconductor Ga-Al LLLT | Total session time: From 1.06 s to 8 min Dosage and intensity: Wavelength: 780 to 904 nm Energy: 1.5–144 J/cm2 | Total intervention time: NA Frequency of sessions per week and/or day: 2–3 sessions per day for 1 week. 2–3 sessions per week for 4 weeks Total number of sessions of treatment: 6–24 sessions | NA |
| Comparison groups: | NA |
3.2. Methodological Quality Results
3.3. Risk of Bias Results
3.4. Evidence Map
3.5. Effects of Manual Therapy and Therapeutic Exercise Interventions
3.5.1. Isolated Manual Therapy Interventions
3.5.2. Isolated Therapeutic Exercise Interventions
3.5.3. Combined Manual Therapy and Therapeutic Exercise Interventions
3.5.4. Results of Quantitative Meta-Meta-Analysis of Combined Manual Therapy and Therapeutic Exercise Interventions
3.6. Effect of LLLT Interventions
Quantitative Meta-Meta-Analysis of LLLT Intervention Results
3.7. Effect of Dry Needling Interventions
3.8. Effect of Combined Physical Therapy Interventions
3.9. Effect of Biofeedback Interventions
3.10. Grades of Evidence
4. Discussion
4.1. Clinical Implications
4.2. Limitations
5. Conclusions
Author Contributions
Funding
Institutional Review Board Statement
Informed Consent Statement
Data Availability Statement
Conflicts of Interest
Appendix A
| Database | Search Strategy | Filters | Results (Date) |
|---|---|---|---|
|
PubMed (1950 to 2021) | ((“physical therapy”) OR (“manual therapy”) OR (“exercise”) OR (“dry needling”) OR (“soft tissue therapy”) OR (“soft tissue mobilization”) OR (“massage”) OR (“massage therapy”) OR (“therapeutic exercise”) OR (“education”) OR (“laser therapy”) OR (“oral myofunctional therapy”) OR (“relaxation”) OR (“relaxation techniques”) OR (“biofeedback”) OR (“cold”) OR (“thermotherapy”) OR (“cryotherapy”) OR (“heat”) OR (“TENS”) OR (“cold therapy”) OR (“heat therapy”) OR (“laser”) OR (“electrotherapy”) OR (“ultrasound therapy”) OR (“microwave”)) AND ((“temporomandibular joint”) OR (“temporomandibular disorders”) OR (“chronic temporomandibular disorders”) OR (“temporomandibular disorder”) OR (“myofascial masticatory pain”) OR (“masticatory muscle pain”) OR (“masticatory pain”) OR (“Headache attributed to TMD”) OR (“headache attributed to temporomandibular disorder”) OR (“Disc displacement with reduction”) OR (“temporomandibular degenerative joint disease”) OR (“temporomandibular subluxation”)) | Systematic review Meta-analysis | 105 (26 April 2021) |
|
PEDro (1950 to 2021) | Abstract and Title: Temporomandibular Disorders Method: Systematic Review When Searching: Match all search terms (AND) | Not applicable | 46 (26 April 2021) |
|
SciELO (1997 to 2021) | ((“physical therapy”) OR (“manual therapy”) OR (“exercise”) OR (“dry needling”) OR (acupuncture) OR (“soft tissue therapy”) OR (“soft tissue mobilization”) OR (“massage”) OR (“massage therapy”) OR (“therapeutic exercise”) OR (“education”) OR (“laser therapy”) OR (“oral myofunctional therapy”) OR (“relaxation”) OR (“relaxation techniques”) OR (biofeedback) OR (“cold”) OR (“thermotherapy”) OR (“cryotherapy”) OR (“heat”) OR (“TENS”) OR (“cold therapy”) OR (“heat therapy”) OR (“laser”) OR (“electrotherapy”) OR (“ultrasound therapy”) OR (“microwave”)) AND ((“temporomandibular joint”) OR (“temporomandibular disorders”) OR (“chronic temporomandibular disorders”) OR (“temporomandibular disorder”) OR (“myofascial masticatory pain”) OR (“masticatory muscle pain”) OR (“masticatory pain”) OR (“Headache attributed to TMD”) OR (“headache attributed to temporomandibular disorder”) OR (“Disc displacement with reduction”) OR (“temporomandibular degenerative joint disease”) OR (“temporomandibular subluxation”)) | Review article | 20 (26 April 2021) |
|
LILACS (1998 to 2021) | ((“physical therapy”) OR (“manual therapy”) OR (“exercise”) OR (“dry needling”) OR (acupuncture) OR (“soft tissue therapy”) OR (“soft tissue mobilization”) OR (“massage”) OR (“massage therapy”) OR (“therapeutic exercise”) OR (“education”) OR (“laser therapy”) OR (“oral myofunctional therapy”) OR (“relaxation”) OR (“relaxation techniques”) OR (biofeedback) OR (“cold”) OR (“thermotherapy”) OR (“cryotherapy”) OR (“heat”) OR (“TENS”) OR (“cold therapy”) OR (“heat therapy”) OR (“laser”) OR (“electrotherapy”) OR (“ultrasound therapy”) OR (“microwave”)) AND ((“temporomandibular joint”) OR (“temporomandibular disorders”) OR (“chronic temporomandibular disorders”) OR (“temporomandibular disorder”) OR (“myofascial masticatory pain”) OR (“masticatory muscle pain”) OR (“masticatory pain”) OR (“Headache attributed to TMD”) OR (“headache attributed to temporomandibular disorder”) OR (“Disc displacement with reduction”) OR (“temporomandibular degenerative joint disease”) OR (“temporomandibular subluxation”)) | Systematic review | 14 (26 April 2021) |
| EBSCOhost | “temporomandibular disorders” AND “physiotherapy”: 9 articles “temporomandibular disorders” AND “manual therapy” AND “systematic revision”: 4 articles “temporomandibular disorders” AND “laser” AND “systematic revision”: 4 articles “temporomandibular disorders” AND “tens” AND “systematic revison”: 0 articles “temporomandibular disorders” AND “exercise or physical activity” AND “systematic revision”: 15 articles “temporomandibular disorders” AND “relaxation” AND “SR”: 5 articles | Not applicable | 37 (January 2021) |
| Google Scholar | With the exact sentence: “Temporomandibular disorders” With at least one of this: “physical therapy” “manual therapy” exercise “dry needling” “soft tissue therapy” “soft tissue mobilization” massage “massage therapy” Words shown: “in the tittle of the paper” | Not applicable | 123 (January 2021) |
| Database | Study | Reason for Exclusion |
|---|---|---|
| PUBMED | Buescher et al., 2007 | Study Design |
| Amorim et al., 2017 | Population | |
| List et al., 2010 | Study Design | |
| Christidis et al., 2019 | Intervention | |
| Manfredini et al., 2015 | Population | |
| Porporatti et al., 2019 | Intervention | |
| Jung et al., 2011 | Intervention | |
| Alajbeg et al., 2015 | Intervention | |
| Wu et al., 2017 | Intervention | |
| La Touche et al., 2010 (July-August) | Intervention | |
| Michiels et al., 2016 | Population | |
| Cho et al., 2010 | Intervention | |
| Türp et al., 2007 | Intervention | |
| Al-Ani et al., 2005 | Intervention | |
| Vos et al., 2013 | Intervention | |
| Aggarwal et al., 2011 | Intervention | |
| Türp et al., 2004 | Intervention | |
| Tengrungsun et al., 2012 | Population | |
| La Touche et al., 2010 (January) | Intervention | |
| Peixoto et al., 2021 | Intervention | |
| Crider et al., 2005 | Study Design | |
| Brosseau et al., 2007 | Removed from Database | |
| Aggarwal et al., 2015 | Removed from Database | |
| Ernst et al., 1999 | Intervention | |
| Fernandes et al., 2017 | Intervention | |
| Brantingham et al., 2013 | Population | |
| Machado et al., 2019 | Intervention | |
| Fertout et al., 2019 | Study Design | |
| Stechman-Neto et al., 2016 | Population | |
| Zhang et al., 2015 | Intervention | |
| De Meurechy et al., 2019 | Population | |
| Häggman-Henrikson et al., 2013 | Population | |
| Tesch et al., 2021 | Study Design | |
| Herpich et al., 2015 | Study Design | |
| Melis et al., 2012 | Study Design | |
| Maia et al., 2012 | Study Design | |
| Shukla et al., 2016 | Study Design | |
| Crider et al., 1999 | Study Design | |
| LILACS | Camara et al., 2014 | Population |
| Fragelli et al., 2013 | Intervention | |
| SciELO | Giovanna Pimentel et al., 2018 | Intervention |
| Fernanda Chiarion et al. 2018 | Study Design | |
| Valenzuela-Chaigneau et al. 2018 | Intervention | |
| Marcelo et al. 2017 | Study Design | |
| Anieli da Costa et al. 2017 | Study Design | |
| Andreia Valle de et al. 2021 | Study Design | |
| Thânia Orlando et al. 2016 | Intervention | |
| Moreira Moraes et al. 2015 | Study Design | |
| Moreira Moraes et al. 2015 (Safar Giovanardi) | Study Design | |
| André Luís et al. 2015 | Intervention | |
| Thaís C. et al. 2014 | Intervention | |
| Machado et al. 2014 | Study Design | |
| Nikita Gupta et al. 2013 | Study Design | |
| Carvalho et al., 2012 | Population | |
| Eduardo Grossmann et al., 2012 | Study Design | |
| Assis et al., 2012 | Study Design | |
| Maluf et al., 2008 | Study Design | |
| Guinot-Moya et al., 2004 | Study Design | |
| Conti et al., 2003 | Study Design |
| Article | Funding |
|---|---|
| Al-Moraissi et al., 2020 [55] | NA |
| Al-Moraissi et al., 2020 [56] | NA |
| Alves et al., 2013 [57] | NA |
| Armijo-Olivo et. al., 2016 [15] | Canadian Institutes of Health Research, the Alberta Innovates Health Solution, the STIHR Training Program of Knowledge Translation Canada and the Music and Motion Fellowship from the Faculty of Rehabilitation Medicine of the University of Alberta. |
| Brochado et al., 2019 [16] | NA |
| Calixtre et al., 2015 [17] | Brazilian National Council for Scientific and Technological Development |
| Chen et al., 2015 [18] | NA |
| de Melo et al., 2020 [46] | NA |
| Dickerson et al., 2017 [19] | NA |
| Florjanski et al., 2019 [45] | NA |
| Fricton et al., 2009 [58] | National Institute of Dental and Craniofacial Research’s TMJ Implant Registry and Repository |
| Herrera-Valencia et al., 2020 [20] | Department of Physiotherapy, Faculty of Health Sciences, University of Málaga (Spain) |
| Jing et al., 2020 [59] | National Natural Science Foundation of China |
| La Touche et al., 2020 [47] | NA |
| La Touche et al., 2020 [60] | NA |
| Machado et al., 2018 [21] | NA |
| Martins et al., 2016 [61] | NA |
| McNeely et al., 2006 [48] | NA |
| Medicott et al., 2006 [49] | NA |
| Melis et al., 2019 [22] | NA |
| Melo et al., 2018 [51] | NA |
| Munguia et al., 2018 [62] | NA |
| Paco et al., 2016 [63] | Institute of Research and Advanced Training in Health Sciences and Technologies |
| Petrucci et al., 2011 [64] | NA |
| Randhawa et al., 2016 [50] | Canadian Research Chairs programs |
| Turner et al., 2019 [52] | NA |
| Lanas-Teran et al., 2019 [53] | NA |
| Van der Meer et al., 2020 [65] | NA |
| Vier et al., 2019 [66] | NA |
| Xu et al., 2018 [67] | National Natural Science Foundation of China, Shaanxi Province Natural Science Basic Research Foundation of China, and key discipline foundation of Xi’an Medical University |
| Zwiri et al., 2020 [54] | University Sains Malaysia |
| Included Systematic Reviews and Meta-Analyses | ||||
|---|---|---|---|---|
| Clinical Trials | Alves et al., 2013 [57] | Armijo-Olivo et al., 2016 [15] | Paço et al., 2016 [63] | La Touche et al., 2020 [60] |
| Minakuchi et al., 2001 | x | x | ||
| Schiffman et al., 2007 | x | x | ||
| Carmeli et al., 2001 | x | x | ||
| Haketa et al., 2010 | x | |||
| Ismail et al., 2007 | x | |||
| Craane et al., 2012 a | x | |||
| Cranee et al., 2012 b | x | |||
| Kalamir et al., 2012 | x | |||
| Kalamir et al., 2013 | x | |||
| Tuncer et al., 2013 | x | |||
| Corum et al., 2018 | x | |||
| La Touche et al., 2013 | x | |||
| Calixtre et al., 2018 | x | |||
| Included Systematic Reviews and Meta-Analyses | |||
|---|---|---|---|
| Clinical Trials | Martins et al., 2016 [61] | Paço et al., 2016 [63] | Dickerson et al., 2017 [19] |
| Taylor et al., 1994 | x | ||
| Ismali et al., 2007 | x | ||
| Cuccia et al., 2009 | x | ||
| Von Piekartz et al., 2010 | x | ||
| Tuncer et al., 2013 | x | x | |
| Carmeli et al., 2001 | x | ||
| Craane et al., 2012a | x | x | |
| Craane et al., 2012b | x | ||
| Kalamir et al., 2012 | x | x | |
| Kalamir et al., 2013 | x | ||
| Fernández-Carnero et al., 2010 | x | ||
| Felicio et al., 2010 | |||
| Included Systematic Reviews and Meta-Analyses | ||||
|---|---|---|---|---|
| Clinical Trials | Chen et al., 2015 [18] | Mungia et al., 2018 [62] | Petrucci et al., 2011 [64] | Xu et al., 2018 [67] |
| Carrasco et al., 2008 | x | x | x | |
| De Cunha et al., 2008 | x | x | ||
| Demirkol et al., 2015 | x | x | x | |
| Emshoff et al., 2008 | x | x | ||
| Ferreira et al., 2013 | x | |||
| Kulekcioglu et al., 2003 | x | x | ||
| Marini et al., 2010 | x | x | ||
| Sattayut et al., 2012 | x | |||
| Venancio et al., 2005 | x | x | ||
| Carrasco et al., 2009 | x | x | ||
| Cetiner et al., 2006 | x | |||
| De Moraes Maia et al., 2014 | x | |||
| Venezian et al., 2010 | x | |||
| Conti et al., 1997 | x | |||
| De Abreu venancio et al., 2005 | x | |||
| Carrasco et al., 2009b | x | |||
| Carrasco et al., 2009c | x | |||
| De Carli et al., 2013 | x | |||
| Mazzetto et al., 2017 | x | |||
| Wang et al., 2001 | x | |||
| Included Systematic Reviews and Meta-Analyses | ||||
|---|---|---|---|---|
| Clinical Trials | Chen et al., 2015 [18] | Mungia et al., 2018 [62] | Petrucci et al., 2011 [64] | Xu et al., 2018 [67] |
| Ahrari et al., 2014 | x | x | ||
| Da Silva et al., 2012 | x | x | ||
| Kulekgioglu et al., 2003 | x | x | x | |
| Marini et al., 2010 | x | x | ||
| Venancio et al., 2005 | x | x | ||
| Carrasco et al., 2009 | x | |||
| Cetiner et al., 2006 | x | |||
| De Moraes Maia et al., 2014 | x | |||
| Demirkol et al., 2015 | x | |||
| Venezian et al., 2010 | x | |||
| De Abreu venancio et al., 2005 | x | |||
| Röhling et al., 2011 | x | |||
| Wang et al., 2011 | x | |||
| Conti et al., 1997 | x | |||
References
- List, T.; Jensen, R.H. Temporomandibular Disorders: Old Ideas and New Concepts. Cephalalgia 2017, 37, 692–704. [Google Scholar] [CrossRef] [PubMed]
- Dubner, R.; Ohrbach, R.; Dworkin, S.F. The Evolution of TMD Diagnosis: Past, Present, Future. J. Dent. Res. 2016, 95, 1093–1101. [Google Scholar] [CrossRef]
- Marim, G.C.; Machado, B.C.Z.; Trawitzki, L.V.V.; de Felício, C.M. Tongue Strength, Masticatory and Swallowing Dysfunction in Patients with Chronic Temporomandibular Disorder. Physiol. Behav. 2019, 210, 112616. [Google Scholar] [CrossRef]
- Schiffman, E.; Ohrbach, R.; Truelove, E.; Look, J.; Anderson, G.; Goulet, J.-P.; List, T.; Svensson, P.; Gonzalez, Y.; Lobbezoo, F.; et al. Diagnostic Criteria for Temporomandibular Disorders (DC/TMD) for Clinical and Research Applications: Recommendations of the International RDC/TMD Consortium Network* and Orofacial Pain Special Interest Group. J. Oral Facial Pain Headache 2014, 28, 6–27. [Google Scholar] [CrossRef]
- Talaat, W.M.; Adel, O.I.; al Bayatti, S. Prevalence of Temporomandibular Disorders Discovered Incidentally during Routine Dental Examination Using the Research Diagnostic Criteria for Temporomandibular Disorders. Oral Surgery Oral Med. Oral Pathol. Oral Radiol. 2018, 125, 250–259. [Google Scholar] [CrossRef]
- Wieckiewicz, M.; Grychowska, N.; Nahajowski, M.; Hnitecka, S.; Kempiak, K.; Charemska, K.; Balicz, A.; Chirkowska, A.; Zietek, M.; Winocur, E. Prevalence and Overlaps of Headaches and Pain-Related Temporomandibular Disorders Among the Polish Urban Population. J. Oral Facial Pain Headache 2020, 34, 31–39. [Google Scholar] [CrossRef] [PubMed]
- Valesan, L.F.; Da-Cas, C.D.; Réus, J.C.; Denardin, A.C.S.; Garanhani, R.R.; Bonotto, D.; Januzzi, E.; de Souza, B.D.M. Prevalence of Temporomandibular Joint Disorders: A Systematic Review and Meta-Analysis. Clin. Oral Investig. 2021, 25, 441–453. [Google Scholar] [CrossRef] [PubMed]
- Kusdra, P.M.; Stechman-Neto, J.; De Leão, B.L.C.; Martins, P.F.A.; Lacerda, A.B.M.d.; Zeigelboim, B.S. Relationship between Otological Symptoms and TMD. Int. Tinnitus J. 2018, 22, 30–34. [Google Scholar] [CrossRef]
- Calixtre, L.B.; Oliveira, A.B.; de Sena Rosa, L.R.; Armijo-Olivo, S.; Visscher, C.M.; Alburquerque-Sendín, F. Effectiveness of Mobilisation of the Upper Cervical Region and Craniocervical Flexor Training on Orofacial Pain, Mandibular Function and Headache in Women with TMD. A Randomised, Controlled Trial. J. Oral Rehabil. 2019, 46, 109–119. [Google Scholar] [CrossRef]
- Ferrillo, M.; Marotta, N.; Giudice, A.; Calafiore, D.; Curci, C.; Fortunato, L.; Ammendolia, A.; de Sire, A. Effects of Occlusal Splints on Spinal Posture in Patients with Temporomandibular Disorders: A Systematic Review. Healthcare 2022, 10, 739. [Google Scholar] [CrossRef]
- Gil-Martínez, A.; Paris-Alemany, A.; López-de-Uralde-Villanueva, I.; la Touche, R. Management of Pain in Patients with Temporomandibular Disorder (TMD): Challenges and Solutions. J. Pain Res. 2018, 11, 571–587. [Google Scholar] [CrossRef] [PubMed]
- Furquim, B.D.; Flamengui, L.M.S.P.; Conti, P.C.R. TMD and Chronic Pain: A Current View. Dent. Press J. Orthod. 2015, 20, 127–133. [Google Scholar] [CrossRef] [PubMed]
- Ferrillo, M.; Nucci, L.; Giudice, A.; Calafiore, D.; Marotta, N.; Minervini, G.; d’Apuzzo, F.; Ammendolia, A.; Perillo, L.; de Sire, A. Efficacy of Conservative Approaches on Pain Relief in Patients with Temporomandibular Joint Disorders: A Systematic Review with Network Meta-Analysis. Cranio 2022. [Google Scholar] [CrossRef] [PubMed]
- Florjański, W.; Orzeszek, S. Role of Mental State in Temporomandibular Disorders: A Review of the Literature. Dent. Med. Probl. 2021, 58, 127–133. [Google Scholar] [CrossRef] [PubMed]
- Armijo-Olivo, S.; Pitance, L.; Singh, V.; Neto, F.; Thie, N.; Michelotti, A. Effectiveness of Manual Therapy and Therapeutic Exercise for Temporomandibular Disorders: Systematic Review and Meta-Analysis. Phys. Ther. 2016, 96, 9–25. [Google Scholar] [CrossRef] [PubMed]
- Brochado, F.T.; De Jesus, L.H.; Martins, M.D.; Chaves, K.D. Non-Invasive Therapies for Management of Temporomandibular Disorders: A Systematic Review. Clin. Biomed. Res. 2019, 39, 230–243. [Google Scholar] [CrossRef]
- Calixtre, L.B.; Moreira, R.F.C.; Franchini, G.H.; Alburquerque-Sendín, F.; Oliveira, A.B. Manual Therapy for the Management of Pain and Limited Range of Motion in Subjects with Signs and Symptoms of Temporomandibular Disorder: A Systematic Review of Randomised Controlled Trials. J. Oral Rehabil. 2015, 42, 847–861. [Google Scholar] [CrossRef]
- Chen, J.; Huang, Z.; Ge, M.; Gao, M. Efficacy of Low-Level Laser Therapy in the Treatment of TMDs: A Meta-Analysis of 14 Randomised Controlled Trials. J. Oral Rehabil. 2015, 42, 291–299. [Google Scholar] [CrossRef]
- Dickerson, S.M.; Weaver, J.M.; Boyson, A.N.; Thacker, J.A.; Junak, A.A.; Ritzline, P.D.; Donaldson, M.B. The Effectiveness of Exercise Therapy for Temporomandibular Dysfunction: A Systematic Review and Meta-Analysis. Clin. Rehabil. 2017, 31, 1039–1043. [Google Scholar] [CrossRef]
- Herrera-Valencia, A.; Ruiz-Muñoz, M.; Martin-Martin, J.; Cuesta-Vargas, A.; González-Sánchez, M. Effcacy of Manual Therapy in TemporomandibularJoint Disorders and Its Medium-and Long-TermEffects on Pain and Maximum Mouth Opening: A Systematic Review and Meta-Analysis. J. Clin. Med. 2020, 9, 3404. [Google Scholar] [CrossRef]
- Machado, E.; Machado, P.; Wandscher, V.F.; Marchionatti, A.M.E.; Zanatta, F.B.; Kaizer, O.B. A Systematic Review of Different Substance Injection and Dry Needling for Treatment of Temporomandibular Myofascial Pain. Int. J. Oral Maxillofac. Surg. 2018, 47, 1420–1432. [Google Scholar] [CrossRef]
- Melis, M.; di Giosia, M.; Zawawi, K.H. Oral Myofunctional Therapy for the Treatment of Temporomandibular Disorders: A Systematic Review. Cranio® 2019, 40, 41–47. [Google Scholar] [CrossRef] [PubMed]
- Shukla, D.; Muthusekhar, M. Efficacy of Low-Level Laser Therapy in Temporomandibular Disorders: A Systematic Review. Natl. J. Maxillofac. Surg. 2016, 7, 62. [Google Scholar] [CrossRef] [PubMed]
- Cerón, L.; Pacheco, M.; Delgado Gaete, A.; Bravo Torres, W.; Astudillo Rubio, D. Therapies for Sleep Bruxism in Dentistry: A Critical Evaluation of Systematic Reviews. Dent. Med. Probl. 2022. [Google Scholar] [CrossRef] [PubMed]
- Bougioukas, K.I.; Liakos, A.; Tsapas, A.; Ntzani, E.; Haidich, A.B. Preferred Reporting Items for Overviews of Systematic Reviews Including Harms Checklist: A Pilot Tool to Be Used for Balanced Reporting of Benefits and Harms. J. Clin. Epidemiol. 2018, 93, 9–24. [Google Scholar] [CrossRef] [PubMed]
- Methley, A.M.; Campbell, S.; Chew-Graham, C.; McNally, R.; Cheraghi-Sohi, S. PICO, PICOS and SPIDER: A Comparison Study of Specificity and Sensitivity in Three Search Tools for Qualitative Systematic Reviews. BMC Health Serv. Res. 2014, 14, 579. [Google Scholar] [CrossRef]
- Amir-Behghadami, M.; Janati, A. Population, Intervention, Comparison, Outcomes and Study (PICOS) Design as a Framework to Formulate Eligibility Criteria in Systematic Reviews. Emerg. Med. J. 2020, 37, 387. [Google Scholar] [CrossRef]
- Schiffman, E.; Ohrbach, R. Executive Summary of the Diagnostic Criteria for Temporomandibular Disorders for Clinical and Research Applications. J. Am. Dent. Assoc. 2016, 147, 438–445. [Google Scholar] [CrossRef]
- Moher, D. CONSORT: An Evolving Tool to Help Improve the Quality of Reports of Randomized Controlled Trials. Consolidated Standards of Reporting Trials. JAMA 1998, 279, 1489–1491. [Google Scholar] [CrossRef]
- Higgins, J.P.; Thomas, J.; Chandler, J.; Cumpston, M.; Li, T.; Page, M.J.; Welch, V.A. (Eds.) Cochrane Handbook for Systematic Reviews of Interventions; Version 5; The Cochrane Collaboration: London, UK, 2011. [Google Scholar]
- Shea, B.J.; Reeves, B.C.; Wells, G.; Thuku, M.; Hamel, C.; Moran, J.; Moher, D.; Tugwell, P.; Welch, V.; Kristjansson, E.; et al. AMSTAR 2: A Critical Appraisal Tool for Systematic Reviews That Include Randomised or Non-Randomised Studies of Healthcare Interventions, or Both. BMJ 2017, 358, j4008. [Google Scholar] [CrossRef]
- McHugh, M.L. Interrater Reliability: The Kappa Statistic. Biochem. Med. 2012, 22, 276–282. [Google Scholar] [CrossRef]
- Whiting, P.; Savović, J.; Higgins, J.P.T.; Caldwell, D.M.; Reeves, B.C.; Shea, B.; Davies, P.; Kleijnen, J.; Churchill, R. ROBIS: A New Tool to Assess Risk of Bias in Systematic Reviews Was Developed. J. Clin. Epidemiol. 2016, 69, 225–234. [Google Scholar] [CrossRef] [PubMed]
- Miake-Lye, I.M.; Hempel, S.; Shanman, R.; Shekelle, P.G. What Is an Evidence Map? A Systematic Review of Published Evidence Maps and Their Definitions, Methods, and Products. Syst. Rev. 2016, 5, 1–21. [Google Scholar] [CrossRef] [PubMed]
- Dipietro, L.; Campbell, W.W.; Buchner, D.M.; Erickson, K.I.; Powell, K.E.; Bloodgood, B.; Hughes, T.; Day, K.R.; Piercy, K.L.; Vaux-Bjerke, A.; et al. Physical Activity, Injurious Falls, and Physical Function in Aging: An Umbrella Review. Med. Sci. Sports Exerc. 2019, 51, 1303–1313. [Google Scholar] [CrossRef] [PubMed]
- Bax, L.; Yu, L.-M.M.; Ikeda, N.; Tsuruta, H.; Moons, K.G.M.M. Development and Validation of MIX: Comprehensive Free Software for Meta-Analysis of Causal Research Data. BMC Med. Res. Methodol. 2006, 6, 50. [Google Scholar] [CrossRef] [PubMed]
- Lewis, S.; Clarke, M. Forest Plots: Trying to See the Wood and the Trees. BMJ 2001, 322, 1479–1480. [Google Scholar] [CrossRef]
- Hedges, L.V. Estimation of Effect Size from a Series of Independent Experiments. Psychol. Bull. 1982, 92, 490–499. [Google Scholar] [CrossRef]
- Cohen, J. A Power Primer. Psychol. Bull. 1992, 112, 155–159. [Google Scholar] [CrossRef]
- Higgins, J.P.T.T.; Thompson, S.G.; Deeks, J.J.; Altman, D.G. Measuring Inconsistency in Meta-Analyses. BJM 2003, 327, 557–560. [Google Scholar] [CrossRef]
- Huedo-Medina, T.B.; Sánchez-Meca, J.; Marín-Martínez, F.; Botella, J. Assessing Heterogeneity in Meta-Analysis: Q Statistic or I2 Index? Psychol. Methods 2006, 11, 193–206. [Google Scholar] [CrossRef]
- DerSimonian, R.; Laird, N. Meta-Analysis in Clinical Trials. Control Clin. Trials 1986, 7, 177–188. [Google Scholar] [CrossRef] [PubMed]
- Pieper, D.; Antoine, S.L.; Mathes, T.; Neugebauer, E.A.M.; Eikermann, M. Systematic Review Finds Overlapping Reviews Were Not Mentioned in Every Other Overview. J. Clin. Epidemiol. 2014, 67, 368–375. [Google Scholar] [CrossRef] [PubMed]
- Lunny, C.; Pieper, D.; Thabet, P.; Kanji, S. Managing Overlap of Primary Study Results across Systematic Reviews: Practical Considerations for Authors of Overviews of Reviews. BMC Med. Res. Methodol. 2021, 21, 1–14. [Google Scholar] [CrossRef]
- Florjanski, W.; Malysa, A.; Orzeszek, S.; Smardz, J.; Olchowy, A.; Paradowska-Stolarz, A.; Wieckiewicz, M. Evaluation of Biofeedback Usefulness in Masticatory Muscle Activity Management-A Systematic Review. J. Clin. Med. 2019, 8, 766. [Google Scholar] [CrossRef]
- de Melo, L.; Bezerra de Medeiros, A.; Campos, M.; Bastos Machado de Resende, C.; Barbosa, G.; de Almeida, E. Manual Therapy in the Treatment of Myofascial Pain Related to Temporomandibular Disorders: A Systematic Review. J. Oral Facial Pain Headache 2020, 34, 141–148. [Google Scholar] [CrossRef]
- La Touche, R.; Boo-Mallo, T.; Zarzosa-Rodríguez, J.; Paris-Alemany, A.; Cuenca-Martínez, F.; Suso-Martí, L. Manual Therapy and Exercise in Temporomandibular Joint Disc Displacement without Reduction. A Systematic Review. Cranio® 2022, 40, 440–450. [Google Scholar] [CrossRef] [PubMed]
- McNeely, M.L.; Armijo Olivo, S.; Magee, D.J. A Systematic Review of the Effectiveness of Physical Therapy Interventions for Temporomandibular Disorders. Phys. Ther. 2006, 86, 710–725. [Google Scholar] [CrossRef] [PubMed]
- Medlicott, M.S.; Harris, S.R. A Systematic Review of the Effectiveness of Exercise, Manual Therapy, Electrotherapy, Relaxation Training, and Biofeedback in the Management of Temporomandibular Disorder. Phys. Ther. 2006, 86, 955–973. [Google Scholar] [CrossRef]
- Randhawa, K.; Bohay, R.; Côté, P.; van der Velde, G.; Sutton, D.; Wong, J.J.; Yu, H.; Southerst, D.; Varatharajan, S.; Mior, S.; et al. The Effectiveness of Noninvasive Interventions for Temporomandibular Disorders: A Systematic Review by the Ontario Protocol for Traffic Injury Management (OPTIMa) Collaboration. Clin. J. Pain 2016, 32, 260–278. [Google Scholar] [CrossRef]
- Melo, M.M.S.; Pataro, S.M.S. Eficácia Da Reeducação Postural Global Na Dor de Indivíduos Com Disfunção Temporomandibular: Uma Revisão Sistemática. Rev. Pesqui. Fisioter 2018, 8, 437–447. [Google Scholar] [CrossRef]
- Tunér, J.; Hosseinpour, S.; Fekrazad, R. Photobiomodulation in Temporomandibular Disorders. Photobiomodul. Photomed. Laser Surg. 2019, 37, 826–836. [Google Scholar] [CrossRef]
- Lanas-Teran, G.; Vallejo-Rosero, K.; Zindel-Deboni, M.C.; Naclério-Homem, M.G. Is Low-Level Laser Therapy (Lllt) Effective in Relieving the Symptoms of Temporomandibular Disorders (TMDS)? A Systematic Review. Rev. Fac. Odontol. Univ. Antioq. 2019, 31, 136–146. [Google Scholar] [CrossRef]
- Zwiri, A.; Alrawashdeh, M.A.; Khan, M.; Ahmad, W.M.A.W.; Kassim, N.K.; Ahmed Asif, J.; Suan Phaik, K.; Husein, A.; Ab-Ghani, Z. Effectiveness of the Laser Application in Temporomandibular Joint Disorder: A Systematic Review of 1172 Patients. Pain Res. Manag. 2020, 2020, 1–11. [Google Scholar] [CrossRef]
- Al-Moraissi, E.A.; Alradom, J.; Aladashi, O.; Goddard, G.; Christidis, N. Needling Therapies in the Management of Myofascial Pain of the Masticatory Muscles: A Network Meta-Analysis of Randomised Clinical Trials. J. Oral Rehabil. 2020, 47, 910–922. [Google Scholar] [CrossRef] [PubMed]
- Al-Moraissi, E.A.; Wolford, L.M.; Ellis, E.; Neff, A. The Hierarchy of Different Treatments for Arthrogenous Temporomandibular Disorders: A Network Meta-Analysis of Randomized Clinical Trials. J. Cranio-Maxillofac. Surg. 2020, 48, 9–23. [Google Scholar] [CrossRef] [PubMed]
- Alves, B.M.F.; Macedo, C.R.; Januzzi, E.; Grossmann, E.; Atallah, Á.N.; Peccin, S. Mandibular Manipulation for the Treatment of Temporomandibular Disorder. J. Craniofac. Surg. 2013, 24, 488–493. [Google Scholar] [CrossRef] [PubMed]
- Fricton, J.; Velly, A.; Ouyang, W.; Look, J.O. Does Exercise Therapy Improve Headache? A Systematic Review with Meta-Analysis. Curr. Pain Headache Rep. 2009, 13, 413–419. [Google Scholar] [CrossRef]
- Jing, G.; Zhao, Y.; Dong, F.; Zhang, P.; Ren, H.; Liu, J.; Liu, Y.; Yu, C.; Hu, J.; Bao, G.; et al. Effects of Different Energy Density Low-Level Laser Therapies for Temporomandibular Joint Disorders Patients: A Systematic Review and Network Meta-Analysis of Parallel Randomized Controlled Trials. Lasers Med. Sci. 2021, 36, 1101–1108. [Google Scholar] [CrossRef]
- La Touche, R.; Martínez García, S.; Serrano García, B.; Proy Acosta, A.; Adraos Juárez, D.; Fernández Pérez, J.J.; Angulo-Díaz-Parreño, S.; Cuenca-Martínez, F.; Paris-Alemany, A.; Suso-Martí, L. Effect of Manual Therapy and Therapeutic Exercise Applied to the Cervical Region on Pain and Pressure Pain Sensitivity in Patients with Temporomandibular Disorders: A Systematic Review and Meta-Analysis. Pain Med. 2020, 21, 2373–2384. [Google Scholar] [CrossRef]
- Martins, W.R.; Blasczyk, J.C.; Aparecida Furlan de Oliveira, M.; Lagôa Gonçalves, K.F.; Bonini-Rocha, A.C.; Dugailly, P.-M.; de Oliveira, R.J. Efficacy of Musculoskeletal Manual Approach in the Treatment of Temporomandibular Joint Disorder: A Systematic Review with Meta-Analysis. Man. Ther. 2016, 21, 10–17. [Google Scholar] [CrossRef]
- Munguia, F.; Jang, J.; Salem, M.; Clark, G.; Enciso, R. Efficacy of Low-Level Laser Therapy in the Treatment of Temporomandibular Myofascial Pain: A Systematic Review and Meta-Analysis. J. Oral Facial Pain Headache 2018, 32, 287–297. [Google Scholar] [CrossRef] [PubMed]
- Paço, M.; Peleteiro, B.; Duarte, J.; Pinho, T. The Effectiveness of Physiotherapy in the Management of Temporomandibular Disorders: A Systematic Review and Meta-Analysis. J. Oral Facial Pain Headache 2016, 30, 210–220. [Google Scholar] [CrossRef] [PubMed]
- Petrucci, A.; Sgolastra, F.; Gatto, R.; Mattei, A.; Monaco, A. Effectiveness of Low-Level Laser Therapy in Temporomandibular Disorders: A Systematic Review and Meta-Analysis. J. Oral Amp; Facial Pain Headache 2011, 25, 298–307. [Google Scholar]
- van der Meer, H.A.; Calixtre, L.B.; Engelbert, R.H.H.; Visscher, C.M.; van der Sanden, M.W.N.; Speksnijder, C.M. Effects of Physical Therapy for Temporomandibular Disorders on Headache Pain Intensity: A Systematic Review. Musculoskelet. Sci. Pr. 2020, 50, 102277. [Google Scholar] [CrossRef] [PubMed]
- Vier, C.; deAlmeida, M.B.; Neves, M.L.; Santos, A.R.S.d.; Bracht, M.A. The Effectiveness of Dry Needling for Patients with Orofacial Pain Associated with Temporomandibular Dysfunction: A Systematic Review and Meta-Analysis. Braz. J. Phys. Ther. 2019, 23, 3–11. [Google Scholar] [CrossRef]
- Xu, G.Z.; Jia, J.; Jin, L.; Li, J.H.; Wang, Z.Y.; Cao, D.Y. Low-Level Laser Therapy for Temporomandibular Disorders: A Systematic Review with Meta-Analysis. Pain Res. Manag. 2018, 2018, 1–13. [Google Scholar] [CrossRef]
- Maísa Soares, G.; Rizzatti-Barbosa, C.M. Chronicity Factors of Temporomandibular Disorders: A Critical Review of the Literature. Braz. Oral Res. 2015, 29, 1–6. [Google Scholar] [CrossRef]
- Zakrzewska, J.M. Temporomandibular Disorders, Headaches and Chronic Pain. J. Pain Palliat Care Pharmacother 2015, 29, 61–63, discussion 63. [Google Scholar] [CrossRef]
- Vierck, C.J. Mechanisms Underlying Development of Spatially Distributed Chronic Pain (Fibromyalgia). Pain 2006, 124, 242–263. [Google Scholar] [CrossRef]








| Study | 1 | 2 | 3 | 4 | 5 | 6 | 7 | 8 | 9 | 10 | 11 | 12 | 13 | 14 | 15 | 16 | Score | Overall Confidence |
|---|---|---|---|---|---|---|---|---|---|---|---|---|---|---|---|---|---|---|
| Al-Moraissi et al., 2020 [55] | 2 | 2 | 0 | 1 | 2 | 2 | 0 | 2 | 2 | 0 | 2 | 2 | 2 | 2 | 2 | 2 | 25 | Low |
| Al-Moraissi et al., 2020 [56] | 2 | 2 | 0 | 1 | 2 | 2 | 0 | 2 | 2 | 0 | 2 | 2 | 0 | 2 | 2 | 2 | 23 | Critically low |
| Alves et al., 2013 [57] | 2 | 0 | 0 | 0 | 2 | 2 | 2 | 1 | 2 | 0 | 0 | 0 | 2 | 2 | 0 | 0 | 15 | Critically low |
| Armijo-Olivo et al., 2016 [15] | 2 | 2 | 0 | 1 | 2 | 2 | 0 | 2 | 2 | 0 | 2 | 2 | 2 | 2 | 2 | 2 | 25 | Low |
| Brochado et al., 2019 [16] | 0 | 0 | 0 | 0 | 2 | 2 | 0 | 0 | 2 | 0 | 0 | 0 | 0 | 2 | 0 | 0 | 8 | Critically low |
| Calixtre et al., 2015 [17] | 2 | 0 | 0 | 1 | 2 | 2 | 2 | 1 | 2 | 0 | 0 | 0 | 2 | 2 | 0 | 2 | 18 | Critically low |
| Chen et al., 2015 [18] | 2 | 0 | 0 | 0 | 2 | 2 | 0 | 1 | 0 | 0 | 2 | 0 | 0 | 2 | 2 | 2 | 15 | Critically low |
| De Melo et al., 2020 [46] | 0 | 0 | 0 | 0 | 2 | 2 | 2 | 2 | 2 | 0 | 0 | 0 | 2 | 2 | 0 | 2 | 16 | Critically low |
| Dickerson et al., 2017 [19] | 2 | 0 | 0 | 1 | 2 | 0 | 2 | 2 | 2 | 0 | 2 | 0 | 0 | 0 | 0 | 2 | 15 | Critically low |
| Florjanski et al., 2019 [45] | 0 | 0 | 0 | 0 | 2 | 2 | 0 | 1 | 0 | 0 | 0 | 0 | 0 | 0 | 0 | 2 | 7 | Critically low |
| Fricton et al., 2009 [58] | 0 | 0 | 2 | 0 | 2 | 0 | 0 | 1 | 2 | 0 | 2 | 0 | 0 | 2 | 0 | 2 | 13 | Critically low |
| Herrera-Valencia et al., 2020 [20] | 2 | 1 | 0 | 0 | 2 | 0 | 0 | 1 | 2 | 0 | 0 | 0 | 0 | 0 | 0 | 2 | 10 | Critically low |
| Jing et al., 2021 [59] | 2 | 2 | 0 | 0 | 2 | 2 | 0 | 1 | 2 | 0 | 2 | 2 | 2 | 2 | 2 | 2 | 23 | Critically low |
| La Touche et al., 2020 [47] | 2 | 1 | 0 | 1 | 2 | 2 | 0 | 2 | 2 | 0 | 0 | 0 | 0 | 2 | 0 | 2 | 16 | Critically low |
| La Touche et al., 2020 [60] | 2 | 1 | 0 | 1 | 2 | 0 | 0 | 1 | 2 | 0 | 2 | 2 | 2 | 2 | 2 | 0 | 19 | Low |
| Machado et al., 2018 [21] | 2 | 2 | 0 | 1 | 2 | 2 | 0 | 2 | 2 | 0 | 0 | 0 | 2 | 2 | 0 | 2 | 19 | Critically low |
| Martins et al., 2016 [61] | 2 | 2 | 0 | 0 | 2 | 0 | 0 | 1 | 2 | 0 | 2 | 2 | 2 | 2 | 2 | 2 | 21 | Critically low |
| Mc Neely et al., 2006 [48] | 2 | 0 | 0 | 2 | 2 | 0 | 2 | 1 | 2 | 0 | 0 | 0 | 2 | 2 | 0 | 0 | 15 | Critically low |
| Medlicott et al., 2006 [49] | 0 | 0 | 0 | 0 | 0 | 0 | 0 | 1 | 1 | 0 | 0 | 0 | 2 | 2 | 0 | 0 | 6 | Critically low |
| Melis et al., 2019 [22] | 0 | 0 | 0 | 2 | 2 | 0 | 0 | 2 | 2 | 0 | 0 | 0 | 2 | 2 | 0 | 2 | 14 | Critically low |
| Melo et al., 2018 [51] | 0 | 0 | 0 | 0 | 0 | 0 | 0 | 2 | 2 | 0 | 0 | 0 | 0 | 0 | 0 | 2 | 6 | Critically low |
| Munguia et al., 2018 [62] | 2 | 1 | 0 | 0 | 2 | 2 | 0 | 2 | 2 | 0 | 2 | 2 | 2 | 2 | 2 | 2 | 23 | Critically low |
| Paço et al., 2016 [63] | 2 | 0 | 0 | 0 | 2 | 2 | 0 | 1 | 2 | 0 | 2 | 2 | 2 | 2 | 2 | 2 | 21 | Critically low |
| Petrucci et al., 2011 [64] | 2 | 0 | 0 | 1 | 2 | 0 | 2 | 2 | 2 | 0 | 2 | 2 | 2 | 2 | 2 | 0 | 21 | Low |
| Randhawa et al., 2016 [50] | 2 | 2 | 0 | 0 | 2 | 2 | 0 | 2 | 2 | 0 | 0 | 0 | 2 | 2 | 0 | 0 | 16 | Critically low |
| Tunér et al., 2019 [52] | 2 | 1 | 0 | 0 | 2 | 1 | 2 | 1 | 1 | 0 | 0 | 0 | 0 | 2 | 0 | 2 | 14 | Critically low |
| Lanas-Teran et al., 2019 [53] | 2 | 1 | 0 | 0 | 2 | 0 | 0 | 0 | 2 | 0 | 0 | 0 | 0 | 2 | 0 | 2 | 11 | Critically low |
| Van der Meer et al., 2020 [65] | 2 | 2 | 0 | 0 | 2 | 2 | 2 | 2 | 2 | 0 | 2 | 2 | 2 | 2 | 2 | 2 | 26 | Low |
| Vier et al., 2019 [66] | 2 | 2 | 0 | 0 | 2 | 2 | 0 | 2 | 2 | 0 | 2 | 2 | 2 | 2 | 2 | 0 | 22 | Critically low |
| Xu et al., 2018 [67] | 2 | 0 | 0 | 0 | 2 | 2 | 0 | 2 | 1 | 0 | 2 | 2 | 2 | 2 | 2 | 2 | 21 | Critically low |
| Zwiri et al., 2020 [54] | 0 | 0 | 0 | 0 | 2 | 2 | 0 | 1 | 0 | 0 | 0 | 0 | 0 | 0 | 0 | 2 | 7 | Critically low |
| Phase 2 | Phase 3 | ||||
|---|---|---|---|---|---|
| Study | Study Elegibility Criteria | Identification and Selection of Studies | Data Collection and study Apraisal | Synthesis and Findings | Risk of Bias in the Review |
| Al-Moraissi et al., 2020 [55] | ![]() | ![]() | ![]() | ![]() | ![]() |
| Al-Moraissi et al., 2020 [56] | ![]() | ![]() | ![]() | ![]() | ![]() |
| Alves et al., 2013 [57] | ![]() | ![]() | ![]() | ![]() | ![]() |
| Armijo-Olivo et al., 2016 [15] | ![]() | ![]() | ![]() | ![]() | ![]() |
| Brochado et al., 2019 [16] | ![]() | ![]() | ![]() | ![]() | ![]() |
| Calixtre et al., 2015 [17] | ![]() | ![]() | ![]() | ![]() | ![]() |
| Chen et al., 2015 [18] | ![]() | ![]() | ![]() | ![]() | ![]() |
| De Melo et al., 2020 [46] | ![]() | ![]() | ![]() | ![]() | ![]() |
| Dickerson et al., 2017 [19] | ![]() | ![]() | ![]() | ![]() | ![]() |
| Florjanski et al., 2019 [45] | ![]() | ![]() | ![]() | ![]() | ![]() |
| Fricton et al., 2009 [58] | ![]() | ![]() | ![]() | ![]() | ![]() |
| Herrera-Valencia et al., 2020 [20] | ![]() | ![]() | ![]() | ![]() | ![]() |
| Jing et al., 2021 [59] | ![]() | ![]() | ![]() | ![]() | ![]() |
| Lanas-Teran et al., 2019 [53] | ![]() | ![]() | ![]() | ![]() | ![]() |
| La Touche et al., 2020 [47] | ![]() | ![]() | ![]() | ![]() | ![]() |
| La Touche et al., 2020 [60] | ![]() | ![]() | ![]() | ![]() | ![]() |
| Machado et al., 2018 [21] | ![]() | ![]() | ![]() | ![]() | ![]() |
| Martins et al., 2016 [61] | ![]() | ![]() | ![]() | ![]() | ![]() |
| Mc Neely et al., 2006 [48] | ![]() | ![]() | ![]() | ![]() | ![]() |
| Medlicott et al., 2006 [49] | ![]() | ![]() | ![]() | ![]() | ![]() |
| Melis et al., 2019 [22] | ![]() | ![]() | ![]() | ![]() | ![]() |
| Melo et al., 2018 [51] | ![]() | ![]() | ![]() | ![]() | ![]() |
| Munguia et al., 2018 [62] | ![]() | ![]() | ![]() | ![]() | ![]() |
| Paço et al., 2016 [63] | ![]() | ![]() | ![]() | ![]() | ![]() |
| Petrucci et al., 2011 [64] | ![]() | ![]() | ![]() | ![]() | ![]() |
| Randhawa et al., 2016 [50] | ![]() | ![]() | ![]() | ![]() | ![]() |
| Tunér et al., 2019 [52] | ![]() | ![]() | ![]() | ![]() | ![]() |
| Van der Meer et al., 2020 [65] | ![]() | ![]() | ![]() | ![]() | ![]() |
| Vier et al., 2019 [66] | ![]() | ![]() | ![]() | ![]() | ![]() |
| Xu et al., 2018 [67] | ![]() | ![]() | ![]() | ![]() | ![]() |
| Zwiri et al., 2020 [54] | ![]() | ![]() | ![]() | ![]() | ![]() |
= low risk;
= high risk;
= unclear risk.| Criteria | Effect | Evidence | |||||
|---|---|---|---|---|---|---|---|
|
Outcome. Intervention Type (Nº of Meta-Analyses) | Applicability | Generalizability | Risk of Bias or Study Limitations | Quantity and Consistency | Magnitude and Precision of Effect | SMD (95% CI) | |
| Pain intensity | |||||||
| LLLT (4) | Strong | Moderate | Limited | Limited | Limited | 0.8 (1.44 to 0.17) | Limited |
| MT + EX (4) | Strong | Moderate | Moderate | Limited | Moderate | 0.51 (0.8 to 0.23) | Moderate |
| MMO | |||||||
| LLLT (4) | Strong | Moderate | Limited | Limited | Moderate | 0.9 (1.5 to 0.39) | Moderate |
| MT + EX (3) | Moderate | Moderate | Limited | Limited | Limited | 0.62 (0.25 to 1.00) | Limited |
Disclaimer/Publisher’s Note: The statements, opinions and data contained in all publications are solely those of the individual author(s) and contributor(s) and not of MDPI and/or the editor(s). MDPI and/or the editor(s) disclaim responsibility for any injury to people or property resulting from any ideas, methods, instructions or products referred to in the content. |
© 2023 by the authors. Licensee MDPI, Basel, Switzerland. This article is an open access article distributed under the terms and conditions of the Creative Commons Attribution (CC BY) license (https://creativecommons.org/licenses/by/4.0/).
Share and Cite
Arribas-Pascual, M.; Hernández-Hernández, S.; Jiménez-Arranz, C.; Grande-Alonso, M.; Angulo-Díaz-Parreño, S.; La Touche, R.; Paris-Alemany, A. Effects of Physiotherapy on Pain and Mouth Opening in Temporomandibular Disorders: An Umbrella and Mapping Systematic Review with Meta-Meta-Analysis. J. Clin. Med. 2023, 12, 788. https://doi.org/10.3390/jcm12030788
Arribas-Pascual M, Hernández-Hernández S, Jiménez-Arranz C, Grande-Alonso M, Angulo-Díaz-Parreño S, La Touche R, Paris-Alemany A. Effects of Physiotherapy on Pain and Mouth Opening in Temporomandibular Disorders: An Umbrella and Mapping Systematic Review with Meta-Meta-Analysis. Journal of Clinical Medicine. 2023; 12(3):788. https://doi.org/10.3390/jcm12030788
Chicago/Turabian StyleArribas-Pascual, Manuel, Sofia Hernández-Hernández, Christian Jiménez-Arranz, Mónica Grande-Alonso, Santiago Angulo-Díaz-Parreño, Roy La Touche, and Alba Paris-Alemany. 2023. "Effects of Physiotherapy on Pain and Mouth Opening in Temporomandibular Disorders: An Umbrella and Mapping Systematic Review with Meta-Meta-Analysis" Journal of Clinical Medicine 12, no. 3: 788. https://doi.org/10.3390/jcm12030788
APA StyleArribas-Pascual, M., Hernández-Hernández, S., Jiménez-Arranz, C., Grande-Alonso, M., Angulo-Díaz-Parreño, S., La Touche, R., & Paris-Alemany, A. (2023). Effects of Physiotherapy on Pain and Mouth Opening in Temporomandibular Disorders: An Umbrella and Mapping Systematic Review with Meta-Meta-Analysis. Journal of Clinical Medicine, 12(3), 788. https://doi.org/10.3390/jcm12030788

