Association between Metabolic Obesity Phenotypes and the Burden of Hospitalized Postmenopausal Patients Concomitant with Osteoporosis: A Retrospective Cohort Study Based on the National Readmission Database
Abstract
1. Introduction
2. Materials and Methods
2.1. Data Source
2.2. Data Collection
2.3. Definitions
2.4. Outcome
2.5. Statistical Analysis
3. Results
3.1. Baseline Characteristics of Participants According to Metabolic Obesity Phenotypes
3.2. Metabolically Unhealthy Statuses Rather Than Obesity Elevated Unplanned Readmission Rates
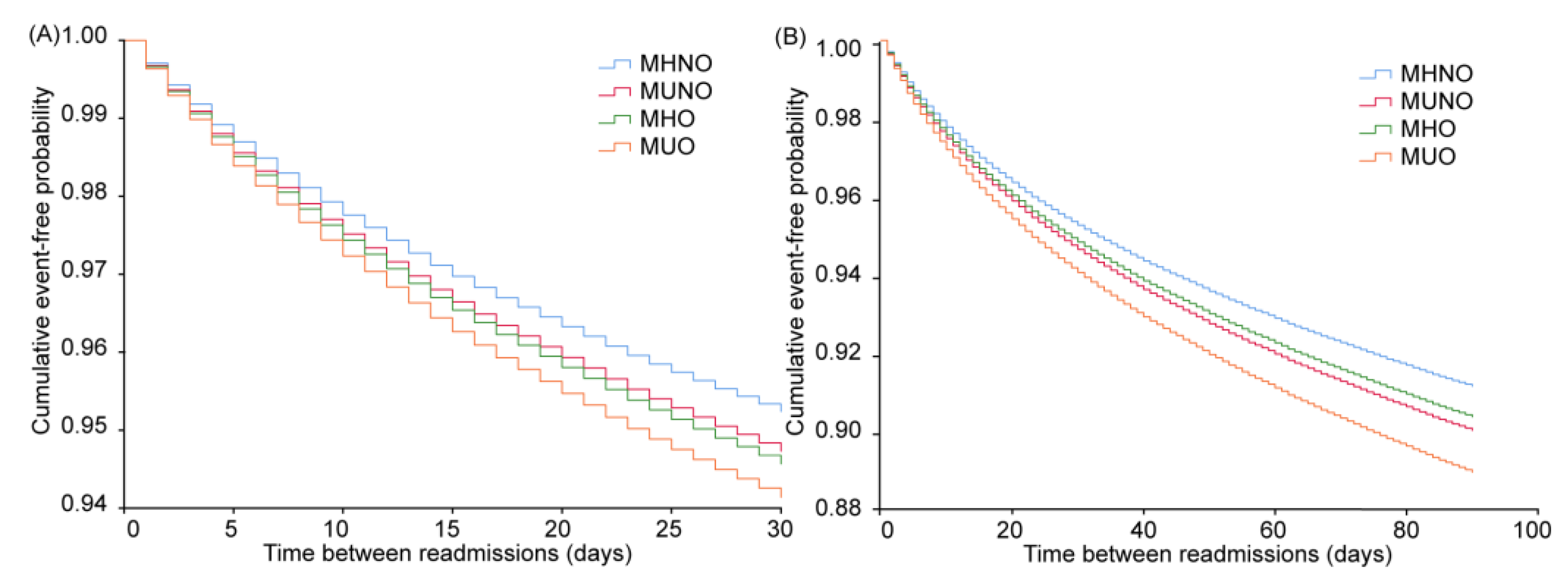
3.3. Associations of Metabolically Obesity Phenotypes with 30- or 90-Day Readmissions
3.4. Associations between Obesity Categories with/without Specific Metabolic Disorder and 30-Day or 90-Day Readmissions
3.5. Associations between Obesity Categories Combined with Number of MS Risks and 30-Day or 90-Day Readmissions
3.6. Prevalence of Fragility Fractures at Initial Admission, and LOS and TOTCHG among Metabolically Obesity Phenotypes during Unplanned 30- and 90-Day Readmissions
4. Discussion
5. Conclusions
Supplementary Materials
Author Contributions
Funding
Institutional Review Board Statement
Informed Consent Statement
Data Availability Statement
Acknowledgments
Conflicts of Interest
References
- Ruff, C.; Gerharz, A.; Groll, A.; Stoll, F.; Wirbka, L.; Haefeli, W.E.; Meid, A.D. Disease-dependent variations in the timing and causes of readmissions in Germany: A claims data analysis for six different conditions. PLoS ONE 2021, 16, e0250298. [Google Scholar] [CrossRef]
- World Health Organization. Assessment of Fracture Risk and Its Application to Screening for Postmenopausal Osteoporosis; Report of a WHO Study Group; WHO: Geneva, Switzerland, 1994. [Google Scholar]
- Wright, N.C.; Looker, A.C.; Saag, K.G.; Curtis, J.R.; Delzell, E.S.; Randall, S.; Dawson-Hughes, B. The recent prevalence of osteoporosis and low bone mass in the United States based on bone mineral density at the femoral neck or lumbar spine. J. Bone Miner. Res. 2014, 29, 2520–2526. [Google Scholar] [CrossRef]
- Bussell, M.E. Improving bone health: Addressing the burden through an integrated approach. Aging Clin. Exp. Res. 2021, 33, 2777–2786. [Google Scholar] [CrossRef]
- Kanis, J.A.; Cooper, C.; Rizzoli, R.; Reginster, J.Y.; Scientific Advisory Board of the European Society for Clinical and Economic Aspects of Osteoporosis (ESCEO); Committees of Scientific Advisors and National Societies of the International Osteoporosis Foundation (IOF). European guidance for the diagnosis and management of osteoporosis in postmenopausal women. Osteoporos. Int. 2019, 30, 3–44. [Google Scholar] [CrossRef]
- Marinho, B.C.; Guerra, L.P.; Drummond, J.B.; Silva, B.C.; Soares, M.M. The burden of osteoporosis in Brazil. Arq. Bras. Endocrinol. E Metabol. 2014, 58, 434–443. [Google Scholar] [CrossRef]
- Watts, N.B. Postmenopausal Osteoporosis: A Clinical Review. J. Women’s Health 2018, 27, 1093–1096. [Google Scholar] [CrossRef]
- Camacho, P.M.; Petak, S.M.; Binkley, N.; Diab, D.L.; Eldeiry, L.S.; Farooki, A.; Harris, S.T.; Hurley, D.L.; Kelly, J.; Lewiecki, E.M.; et al. American Association of Clinical Endocrinologists/American College of Endocrinology Clinical Practice Guidelines for the diagnosis and treatment of postmenopausal osteoporosis-2020 Update. Endocr. Pract. 2020, 26 (Suppl. 1), 1–46. [Google Scholar] [CrossRef]
- Khandelwal, S. Obesity in midlife: Lifestyle and dietary strategies. Climacteric 2020, 23, 140–147. [Google Scholar] [CrossRef]
- Vigevano, F.; Gregori, G.; Colleluori, G.; Chen, R.; Autemrongsawat, V.; Napoli, N.; Qualls, C.; Villareal, D.T.; Armamento-Villareal, R. In Men With Obesity, T2DM Is Associated With Poor Trabecular Microarchitecture and Bone Strength and Low Bone Turnover. J. Clin. Endocrinol. Metab. 2021, 106, 1362–1376. [Google Scholar] [CrossRef]
- Gower, B.A.; Casazza, K. Divergent effects of obesity on bone health. J. Clin. Densitom. 2013, 16, 450–454. [Google Scholar] [CrossRef]
- Professor, F.M. High fat levels in muscles, liver, blood, and bone marrow linked to poor bone health. But a healthy weight and healthy diet can help stave off bone loss, osteoporosis. Duke Med. Health News 2013, 19, 4–5. [Google Scholar]
- Al-Safi, Z.A.; Polotsky, A.J. Obesity and menopause. Best practice & research. Clin. Obstet. Gynaecol. 2015, 29, 548–553. [Google Scholar] [CrossRef]
- Blake, J.; Cosman, F.A.; Lewiecki, E.M.; McClung, M.R.; Pinkerton, J.V.; Shapiro, M. Management of Osteoporosis in Postmenopausal Women: The 2021 Position Statement of The North American Menopause Society. Menopause-J. North Am. Menopause Soc. 2021, 28, 973–997. [Google Scholar] [CrossRef]
- De Paoli, M.; Zakharia, A.; Werstuck, G.H. The Role of Estrogen in Insulin Resistance: A Review of Clinical and Preclinical Data. Am. J. Pathol. 2021, 191, 1490–1498. [Google Scholar] [CrossRef]
- Christakis, M.K.; Hasan, H.; de Souza, L.R.; Shirreff, L. The effect of menopause on metabolic syndrome: Cross-sectional results from the Canadian Longitudinal Study on Aging. Menopause 2020, 27, 999–1009. [Google Scholar] [CrossRef]
- Deibert, P.; König, D.; Vitolins, M.Z.; Landmann, U.; Frey, I.; Zahradnik, H.P.; Berg, A. Effect of a weight loss intervention on anthropometric measures and metabolic risk factors in pre- versus postmenopausal women. Nutr. J. 2007, 6, 31. [Google Scholar] [CrossRef]
- Simoncig-Netjasov, A.; Vujović, S.; Ivović, M.; Tančić-Gajić, M.; Drezgić, M. Gaining weight and components of metabolic syndrome in the period of menopause. Srp. Arh. Celok. Lek. 2008, 136, 505–513. [Google Scholar] [CrossRef]
- Kim, H.Y.; Kim, Y. Associations of obesity with osteoporosis and metabolic syndrome in Korean postmenopausal women: A cross-sectional study using national survey data. Arch. Osteoporos. 2019, 14, 64. [Google Scholar] [CrossRef]
- Nationwide Readmissions Database (NRD) Database Documentation. Available online: https://www.hcup-us.ahrq.gov/db/nation/nrd/nrddbdocumentation.jsp (accessed on 9 June 2022).
- Aguayo, E.; Antonios, J.; Sanaiha, Y.; Dobaria, V.; Sareh, S.; Huynh, A.; Benharash, P.; King, J.C. National Trends in Readmission and Resource Utilization After Pancreatectomy in the United States. J. Surg. Res. 2020, 255, 304–310. [Google Scholar] [CrossRef]
- Park, Y.M.M.; Choi, M.K.; Lee, S.S.; Shivappa, N.; Han, K.; Steck, S.E.; Hébert, J.R.; Merchant, A.T.; Sandler, D.P. Dietary inflammatory potential and risk of mortality in metabolically healthy and unhealthy phenotypes among overweight and obese adults. Clin. Nutr. 2019, 38, 682–688. [Google Scholar] [CrossRef]
- Alberti, K.G.M.M.; Eckel, R.H.; Grundy, S.M.; Zimmet, P.Z.; Cleeman, J.I.; Donato, K.A.; Fruchart, J.C.; James, W.P.T.; Loria, C.M.; Smith, S.C., Jr. Harmonizing the metabolic syndrome: A joint interim statement of the International Diabetes Federation Task Force on Epidemiology and Prevention; National Heart, Lung, and Blood Institute; American Heart Association; World Heart Federation; International Atherosclerosis Society; and International Association for the Study of Obesity. Circulation 2009, 120, 1640–1645. [Google Scholar] [CrossRef]
- Shaharyar, S.; Roberson, L.L.; Jamal, O.; Younus, A.; Blaha, M.J.; Ali, S.S.; Zide, K.; Agatston, A.A.; Blumenthal, R.S.; Conceição, R.D.; et al. Obesity and metabolic phenotypes (metabolically healthy and unhealthy variants) are significantly associated with prevalence of elevated C-reactive protein and hepatic steatosis in a large healthy Brazilian population. J. Obes. 2015, 2015, 178526. [Google Scholar] [CrossRef]
- Hills, J.; Sivaganesan, A.; Khan, I.; Chotai, S.; Weisenthal, B.; Freeman, T.; Butler, M.; Wick, J.; Daryoush, J.; Asher, A.; et al. Causes and Timing of Unplanned 90-day Readmissions Following Spine Surgery. Spine 2018, 43, 991–998. [Google Scholar] [CrossRef]
- Gupta, A.; Allen, L.A.; Bhatt, D.L.; Cox, M.; DeVore, A.D.; Heidenreich, P.A.; Hernandez, A.F.; Peterson, E.D.; Matsouaka, R.A.; Yancy, C.W.; et al. Association of the Hospital Readmissions Reduction Program Implementation With Readmission and Mortality Outcomes in Heart Failure. JAMA Cardiol. 2018, 3, 44–53. [Google Scholar] [CrossRef]
- Centers for Medicare & Medicaid Services. Hospital Readmission Reduction Program (HRRP). Available online: https://www.cms.gov/Medicare/Quality-Initiatives-Patient-Assessment-Instruments/Value-Based-Programs/HRRP/Hospital-Readmission-Reduction-Program (accessed on 9 June 2022).
- Ruppar, T.M.; Cooper, P.S.; Mehr, D.R.; Delgado, J.M.; Dunbar-Jacob, J.M. Medication Adherence Interventions Improve Heart Failure Mortality and Readmission Rates: Systematic Review and Meta-Analysis of Controlled Trials. J. Am. Heart Assoc. 2016, 5, e002606. [Google Scholar] [CrossRef]
- Dalleur, O.; Beeler, P.E.; Schnipper, J.L.; Donzé, J. 30-Day Potentially Avoidable Readmissions Due to Adverse Drug Events. J. Patient Saf. 2021, 17, e379–e386. [Google Scholar] [CrossRef]
- Ballard, J.; Rankin, W.; Roper, K.L.; Weatherford, S.; Cardarelli, R. Effect of Ambulatory Transitional Care Management on 30-Day Readmission Rates. Am. J. Med. Qual. 2018, 33, 583–589. [Google Scholar] [CrossRef]
- Duan, M.; Shu, T.; Zhao, B.; Xiang, T.; Wang, J.; Huang, H.; Zhang, Y.; Xiao, P.; Zhou, B.; Xie, Z.; et al. Explainable machine learning models for predicting 30-day readmission in pediatric pulmonary hypertension: A multicenter, retrospective study. Front. Cardiovasc. Med. 2022, 9, 919224. [Google Scholar] [CrossRef]
- Black, D.M.; Cummings, S.R.; Karpf, D.B.; Cauley, J.A.; Thompson, D.E.; Nevitt, M.C.; Bauer, D.C.; Genant, H.K.; Haskell, W.L.; Marcus, R.; et al. Randomised trial of effect of alendronate on risk of fracture in women with existing vertebral fractures. Fracture Intervention Trial Research Group. Lancet 1996, 348, 1535–1541. [Google Scholar] [CrossRef]
- Fuleihan, G.E.-H.; Stock, J.L.; McClung, M.R.; Saifi, G. A national random survey of bone mineral density reporting in the United States. J. Clin. Densitom. 2002, 5, 3–9. [Google Scholar] [CrossRef]
- Cohen, A.; Dempster, D.W.; Recker, R.R.; Lappe, J.M.; Zhou, H.; Zwahlen, A.; Müller, R.; Zhao, B.; Guo, X.E.; Lang, T.; et al. Abdominal fat is associated with lower bone formation and inferior bone quality in healthy premenopausal women: A transiliac bone biopsy study. J. Clin. Endocrinol. Metab. 2013, 98, 2562–2572. [Google Scholar] [CrossRef]
- Mirzababaei, A.; Mirzaei, K.; Khorrami-Nezhad, L.; Maghbooli, Z.; Keshavarz, S.A. Metabolically healthy/unhealthy components may modify bone mineral density in obese people. Arch. Osteoporos. 2017, 12, 95. [Google Scholar] [CrossRef]
- Wang, Y.; Lin, H.; Li, Q.; Guan, L.; Zhao, M.; Zhong, F.; Liu, J.; Yuan, Z.; Guo, H.; Song, Y.; et al. Association between different obesity phenotypes and hypothyroidism: A study based on a longitudinal health management cohort. Endocrine 2021, 72, 688–698. [Google Scholar] [CrossRef]
- Wong, S.K.; Chin, K.-Y.; Suhaimi, F.H.; Ahmad, F.; Ima-Nirwana, S. The Relationship between Metabolic Syndrome and Osteoporosis: A Review. Nutrients 2016, 8, 347. [Google Scholar] [CrossRef]
- Adami, S.; Braga, V.; Zamboni, M.; Gatti, D.; Rossini, M.; Bakri, J.; Battaglia, E. Relationship between lipids and bone mass in 2 cohorts of healthy women and men. Calcif. Tissue Int. 2004, 74, 136–142. [Google Scholar] [CrossRef]
- Yamaguchi, T.; Sugimoto, T.; Yano, S.; Yamauchi, M.; Sowa, H.; Chen, Q.; Chihara, K. Plasma lipids and osteoporosis in postmenopausal women. Endocr. J. 2002, 49, 211–217. [Google Scholar] [CrossRef]
- Barrett-Connor, E.; Kritz-Silverstein, D. Does hyperinsulinemia preserve bone? Diabetes Care 1996, 19, 1388–1392. [Google Scholar] [CrossRef]
- Tsuda, K.; Nishio, I.; Masuyama, Y. Bone mineral density in women with essential hypertension. Am. J. Hypertens. 2001, 14 Pt 7, 704–707. [Google Scholar] [CrossRef]
- Hanley, D.A.; Brown, J.P.; Tenenhouse, A.; Olszynski, W.P.; Ioannidis, G.; Berger, C.; Prior, J.C.; Pickard, L.; Murray, T.M.; Anastassiades, T.; et al. Associations among disease conditions, bone mineral density, and prevalent vertebral deformities in men and women 50 years of age and older: Cross-sectional results from the Canadian Multicentre Osteoporosis Study. J. Bone Miner. Res. 2003, 18, 784–790. [Google Scholar] [CrossRef]
- Rendina, D.; D’Elia, L.; Evangelista, M.; de Filippo, G.; Giaquinto, A.; Abate, V.; Barone, B.; Piccinocchi, G.; Prezioso, D.; Strazzullo, P. Metabolic syndrome is associated to an increased risk of low bone mineral density in free-living women with suspected osteoporosis. J. Endocrinol. Investig. 2021, 44, 1321–1326. [Google Scholar] [CrossRef]
- Zhang, X.; Man, K.W.; Li, G.H.; Tan, K.C.; Kung, A.W.; Cheung, C.L. Osteoporosis is a novel risk factor of infections and sepsis: A cohort study. EClinicalMedicine 2022, 49, 101488. [Google Scholar] [CrossRef]






Disclaimer/Publisher’s Note: The statements, opinions and data contained in all publications are solely those of the individual author(s) and contributor(s) and not of MDPI and/or the editor(s). MDPI and/or the editor(s) disclaim responsibility for any injury to people or property resulting from any ideas, methods, instructions or products referred to in the content. |
© 2023 by the authors. Licensee MDPI, Basel, Switzerland. This article is an open access article distributed under the terms and conditions of the Creative Commons Attribution (CC BY) license (https://creativecommons.org/licenses/by/4.0/).
Share and Cite
Jiang, J.; Xu, C.; Yuan, Z.; Han, J.; Wang, Z.; Tian, Y.; Dong, Y.; Xia, W.; Fan, X.; Zhao, J. Association between Metabolic Obesity Phenotypes and the Burden of Hospitalized Postmenopausal Patients Concomitant with Osteoporosis: A Retrospective Cohort Study Based on the National Readmission Database. J. Clin. Med. 2023, 12, 1623. https://doi.org/10.3390/jcm12041623
Jiang J, Xu C, Yuan Z, Han J, Wang Z, Tian Y, Dong Y, Xia W, Fan X, Zhao J. Association between Metabolic Obesity Phenotypes and the Burden of Hospitalized Postmenopausal Patients Concomitant with Osteoporosis: A Retrospective Cohort Study Based on the National Readmission Database. Journal of Clinical Medicine. 2023; 12(4):1623. https://doi.org/10.3390/jcm12041623
Chicago/Turabian StyleJiang, Jie, Chao Xu, Zinuo Yuan, Junming Han, Zhixiang Wang, Yang Tian, Yingchun Dong, Weibo Xia, Xiude Fan, and Jiajun Zhao. 2023. "Association between Metabolic Obesity Phenotypes and the Burden of Hospitalized Postmenopausal Patients Concomitant with Osteoporosis: A Retrospective Cohort Study Based on the National Readmission Database" Journal of Clinical Medicine 12, no. 4: 1623. https://doi.org/10.3390/jcm12041623
APA StyleJiang, J., Xu, C., Yuan, Z., Han, J., Wang, Z., Tian, Y., Dong, Y., Xia, W., Fan, X., & Zhao, J. (2023). Association between Metabolic Obesity Phenotypes and the Burden of Hospitalized Postmenopausal Patients Concomitant with Osteoporosis: A Retrospective Cohort Study Based on the National Readmission Database. Journal of Clinical Medicine, 12(4), 1623. https://doi.org/10.3390/jcm12041623

