Diagnostic Evaluation Using Salivary Gland Ultrasonography in Primary Sjögren’s Syndrome
Abstract
1. Introduction
2. Material and Methods
2.1. Patients
2.2. Cytokine Detection
2.3. Ultrasonography for the Major Salivary Glands
2.4. Clinical Evaluation
2.5. Scores of ESSDAI and ESSPRI
2.6. Subjective Sicca Symptoms and Fatigue
2.7. Saliva Production
2.8. Statistical Analysis
3. Results
3.1. Ultrasonographic Evaluation of Major Salivary Glands
3.2. ESSDAI and ESSPRI Index Values
3.3. Serological Analysis
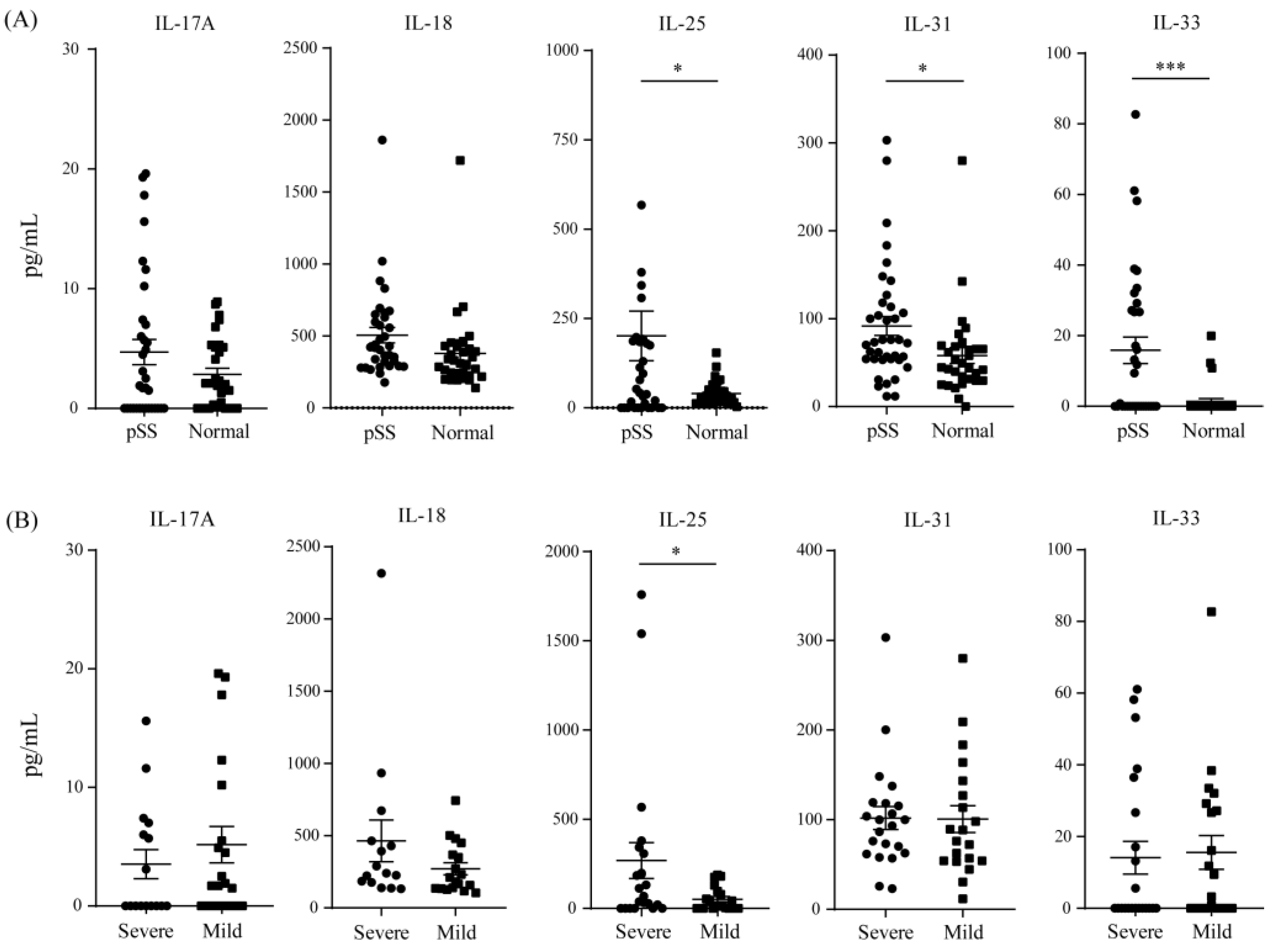
3.4. Cytokine Detection
4. Discussion
5. Conclusions
Author Contributions
Funding
Institutional Review Board Statement
Informed Consent Statement
Data Availability Statement
Acknowledgments
Conflicts of Interest
References
- Kassan, S.S.; Moutsopoulos, H.M. Clinical manifestations and early diagnosis of Sjogren syndrome. Arch. Intern. Med. 2004, 164, 1275–1284. [Google Scholar] [CrossRef] [PubMed]
- Royer, B.; Cazals-Hatem, D.; Sibilia, J.; Agbalika, F.; Cayuela, J.M.; Soussi, T.; Maloisel, F.; Clauvel, J.P.; Brouet, J.C.; Mariette, X. Lymphomas in patients with Sjogren’s syndrome are marginal zone B-cell neoplasms, arise in diverse extranodal and nodal sites, and are not associated with viruses. Blood 1997, 90, 766–775. [Google Scholar] [CrossRef] [PubMed]
- Duret, P.M.; Meyer, N.; Saraux, A.; Devauchelle-Pensec, V.; Seror, R.; Le-Guern, V.; Larroche, C.; Perdriger, A.; Sibilia, J.; Guardiolle, V.; et al. Seasonal effect on fatigue, pain and dryness in primary Sjogren’s syndrome. Arthr. Res. Ther. 2020, 22, 39. [Google Scholar] [CrossRef] [PubMed]
- Goodchild, C.E.; Treharne, G.J.; Booth, D.A.; Bowman, S.J. Daytime patterning of fatigue and its associations with the previous night’s discomfort and poor sleep among women with primary Sjogren’s syndrome or rheumatoid arthritis. Musculoskelet. Care 2010, 8, 107–117. [Google Scholar] [CrossRef] [PubMed]
- Jacobson, D.L.; Gange, S.J.; Rose, N.R.; Graham, N.M. Epidemiology and estimated population burden of selected autoimmune diseases in the United States. Clin. Immunol. Immunopathol. 1997, 84, 223–243. [Google Scholar] [CrossRef]
- Vitali, C.; Bombardieri, S.; Jonsson, R.; Moutsopoulos, H.M.; Alexander, E.L.; Carsons, S.E.; Daniels, T.E.; Fox, P.C.; Fox, R.I.; Kassan, S.S.; et al. Classification criteria for Sjogren’s syndrome: A revised version of the European criteria proposed by the American-European Consensus Group. Ann. Rheum. Dis. 2002, 61, 554–558. [Google Scholar] [CrossRef]
- Mossel, E.; van Ginkel, M.S.; Haacke, E.A.; Arends, S.; Liefers, S.C.; Delli, K.; van Nimwegen, J.F.; Stel, A.J.; Spijkervet, F.K.L.; Vissink, A.; et al. Histopathology, salivary flow and ultrasonography of the parotid gland: Three complementary measurements in primary Sjogren’s syndrome. Rheumatology 2021, 61, 2472–2482. [Google Scholar] [CrossRef]
- Takagi, Y.; Sasaki, M.; Eida, S.; Katayama, I.; Hashimoto, K.; Nakamura, H.; Shimizu, T.; Morimoto, S.; Kawakami, A.; Sumi, M. Comparison of salivary gland MRI and ultrasonography findings among patients with Sjogren’s syndrome over a wide age range. Rheumatology 2021, 61, 1986–1996. [Google Scholar] [CrossRef]
- Zabotti, A.; Zandonella Callegher, S.; Tullio, A.; Vukicevic, A.; Hocevar, A.; Milic, V.; Cafaro, G.; Carotti, M.; Delli, K.; De Lucia, O.; et al. Salivary Gland Ultrasonography in Sjogren’s Syndrome: A European Multicenter Reliability Exercise for the HarmonicSS Project. Front. Med. 2020, 7, 581248. [Google Scholar] [CrossRef]
- Hocevar, A.; Ambrozic, A.; Rozman, B.; Kveder, T.; Tomsic, M. Ultrasonographic changes of major salivary glands in primary Sjogren’s syndrome. Diagnostic value of a novel scoring system. Rheumatology 2005, 44, 768–772. [Google Scholar] [CrossRef]
- Zhang, X.; Feng, R.; Zhao, J.; Wang, Y.; He, J.; Liu, L.; Cheng, Y.; Yao, H.; Tang, S.; Chen, J.; et al. Salivary gland ultrasonography in primary Sjogren’s syndrome from diagnosis to clinical stratification: A multicentre study. Arthrit. Res. Ther. 2021, 23, 305. [Google Scholar] [CrossRef]
- Min, H.K.; Kim, S.H.; Lee, K.A.; Jo, J.H.; So, Y.; Chung, H.W.; Lee, S.H.; Kim, H.R. Correlation between salivary gland ultrasonography and scintigraphy in primary Sjogren’s Syndrome. Rheumatology 2021, 61, 3414–3419. [Google Scholar] [CrossRef]
- Hartkamp, A.; Geenen, R.; Bijl, M.; Kruize, A.A.; Godaert, G.L.; Derksen, R.H. Serum cytokine levels related to multiple dimensions of fatigue in patients with primary Sjogren’s syndrome. Ann. Rheum. Dis. 2004, 63, 1335–1337. [Google Scholar] [CrossRef]
- Nakanishi, K. Unique Action of Interleukin-18 on T Cells and Other Immune Cells. Front. Immunol. 2018, 9, 763. [Google Scholar] [CrossRef] [PubMed]
- Dinarello, C.A. Interleukin-18 and the pathogenesis of inflammatory diseases. Semin. Nephrol. 2007, 27, 98–114. [Google Scholar] [CrossRef]
- Sakai, A.; Sugawara, Y.; Kuroishi, T.; Sasano, T.; Sugawara, S. Identification of IL-18 and Th17 cells in salivary glands of patients with Sjogren’s syndrome, and amplification of IL-17-mediated secretion of inflammatory cytokines from salivary gland cells by IL-18. J. Immunol. 2008, 181, 2898–2906. [Google Scholar] [CrossRef] [PubMed]
- Rank, M.A.; Kobayashi, T.; Kozaki, H.; Bartemes, K.R.; Squillace, D.L.; Kita, H. IL-33-activated dendritic cells induce an atypical TH2-type response. J. Allergy Clin. Immunol. 2009, 123, 1047–1054. [Google Scholar] [CrossRef]
- Bombardieri, M.; Barone, F.; Pittoni, V.; Alessandri, C.; Conigliaro, P.; Blades, M.C.; Priori, R.; McInnes, I.B.; Valesini, G.; Pitzalis, C. Increased circulating levels and salivary gland expression of interleukin-18 in patients with Sjogren’s syndrome: Relationship with autoantibody production and lymphoid organization of the periductal inflammatory infiltrate. Arthrit. Res. Ther. 2004, 6, R447–R456. [Google Scholar] [CrossRef] [PubMed]
- Manoussakis, M.N.; Boiu, S.; Korkolopoulou, P.; Kapsogeorgou, E.K.; Kavantzas, N.; Ziakas, P.; Patsouris, E.; Moutsopoulos, H.M. Rates of infiltration by macrophages and dendritic cells and expression of interleukin-18 and interleukin-12 in the chronic inflammatory lesions of Sjogren’s syndrome: Correlation with certain features of immune hyperactivity and factors associated with high risk of lymphoma development. Arthrit. Rheum. 2007, 56, 3977–3988. [Google Scholar] [CrossRef]
- Jung, S.M.; Lee, J.; Baek, S.Y.; Lee, J.H.; Lee, J.; Park, K.S.; Park, S.H.; Kim, H.Y.; Kwok, S.K. The Interleukin 33/ST2 axis in patients with primary Sjogren syndrome: Expression in serum and salivary glands, and the clinical association. J. Rheumatol. 2015, 42, 264–271. [Google Scholar] [CrossRef]
- Margiotta, D.P.; Navarini, L.; Vadacca, M.; Lo Vullo, M.; Pignataro, F.; Basta, F.; Afeltra, A. The IL33/ST2 axis in Sjogren syndrome in relation to disease activity. Eur. Rev. Med. Pharmacol. Sci. 2016, 20, 1295–1299. [Google Scholar] [PubMed]
- Gan, Y.; Zhao, X.; He, J.; Liu, X.; Li, Y.; Sun, X.; Li, Z. Increased Interleukin-17F is Associated with Elevated Autoantibody Levels and More Clinically Relevant Than Interleukin-17A in Primary Sjogren’s Syndrome. J. Immunol. Res. 2017, 2017, 4768408. [Google Scholar] [CrossRef] [PubMed]
- Liu, R.; Gao, C.; Chen, H.; Li, Y.; Jin, Y.; Qi, H. Analysis of Th17-associated cytokines and clinical correlations in patients with dry eye disease. PLoS ONE 2017, 12, e0173301. [Google Scholar] [CrossRef]
- Nguyen, C.Q.; Hu, M.H.; Li, Y.; Stewart, C.; Peck, A.B. Salivary gland tissue expression of interleukin-23 and interleukin-17 in Sjogren’s syndrome: Findings in humans and mice. Arthrit. Rheum. 2008, 58, 734–743. [Google Scholar] [CrossRef]
- Katsifis, G.E.; Rekka, S.; Moutsopoulos, N.M.; Pillemer, S.; Wahl, S.M. Systemic and local interleukin-17 and linked cytokines associated with Sjogren’s syndrome immunopathogenesis. Am. J. Pathol. 2009, 175, 1167–1177. [Google Scholar] [CrossRef]
- Boumba, D.; Skopouli, F.N.; Moutsopoulos, H.M. Cytokine mRNA expression in the labial salivary gland tissues from patients with primary Sjogren’s syndrome. Br. J. Rheumatol. 1995, 34, 326–333. [Google Scholar] [CrossRef]
- Guggino, G.; Lin, X.; Rizzo, A.; Xiao, F.; Saieva, L.; Raimondo, S.; Di Liberto, D.; Candore, G.; Ruscitti, P.; Cipriani, P.; et al. Interleukin-25 Axis Is Involved in the Pathogenesis of Human Primary and Experimental Murine Sjogren’s Syndrome. Arthrit. Rheumatol. 2018, 70, 1265–1275. [Google Scholar] [CrossRef] [PubMed]
- Ohyama, K.; Moriyama, M.; Hayashida, J.N.; Tanaka, A.; Maehara, T.; Ieda, S.; Furukawa, S.; Ohta, M.; Imabayashi, Y.; Nakamura, S. Saliva as a potential tool for diagnosis of dry mouth including Sjogren’s syndrome. Oral Dis. 2015, 21, 224–231. [Google Scholar] [CrossRef] [PubMed]
- De Vita, S.; Lorenzon, G.; Rossi, G.; Sabella, M.; Fossaluzza, V. Salivary gland echography in primary and secondary Sjogren’s syndrome. Clin. Exp. Rheumatol. 1992, 10, 351–356. [Google Scholar]
- Baldini, C.; Luciano, N.; Tarantini, G.; Pascale, R.; Sernissi, F.; Mosca, M.; Caramella, D.; Bombardieri, S. Salivary gland ultrasonography: A highly specific tool for the early diagnosis of primary Sjogren’s syndrome. Arthrit. Res. Ther. 2015, 17, 146. [Google Scholar] [CrossRef]
- Luciano, N.; Ferro, F.; Bombardieri, S.; Baldini, C. Advances in salivary gland ultrasonography in primary Sjogren’s syndrome. Clin. Exp. Rheumatol. 2018, 36 (Suppl. S114), 159–164. [Google Scholar] [PubMed]
- Zhao, J.; Chen, W.; Huang, X.; Peng, S.; Zhu, T.; Deng, Z.; Liang, P.; Chang, H.; Fan, B.J. Serum Th1 and Th17 related cytokines and autoantibodies in patients with Posner-Schlossman syndrome. PLoS ONE 2017, 12, e0175519. [Google Scholar] [CrossRef] [PubMed]
- Liuqing, W.; Liping, X.; Hui, S.; Jing, L. Elevated IL-37, IL-18 and IL-18BP serum concentrations in patients with primary Sjogren’s syndrome. J. Investig. Med. 2017, 65, 717–721. [Google Scholar] [CrossRef]
- Awada, A.; Nicaise, C.; Ena, S.; Schandene, L.; Rasschaert, J.; Popescu, I.; Gangji, V.; Soyfoo, M.S. Potential involvement of the IL-33-ST2 axis in the pathogenesis of primary Sjogren’s syndrome. Ann. Rheum. Dis. 2014, 73, 1259–1263. [Google Scholar] [CrossRef]
- Akdis, M.; Aab, A.; Altunbulakli, C.; Azkur, K.; Costa, R.A.; Crameri, R.; Duan, S.; Eiwegger, T.; Eljaszewicz, A.; Ferstl, R.; et al. Interleukins (from IL-1 to IL-38), interferons, transforming growth factor beta, and TNF-alpha: Receptors, functions, and roles in diseases. J. Allergy Clin. Immunol. 2016, 138, 984–1010. [Google Scholar] [CrossRef]
- Pollard, R.P.; Abdulahad, W.H.; Bootsma, H.; Meiners, P.M.; Spijkervet, F.K.; Huitema, M.G.; Burgerhof, J.G.; Vissink, A.; Kroese, F.G. Predominantly proinflammatory cytokines decrease after B cell depletion therapy in patients with primary Sjogren’s syndrome. Ann. Rheum. Dis. 2013, 72, 2048–2050. [Google Scholar] [CrossRef] [PubMed]
- Fei, Y.; Zhang, W.; Lin, D.; Wu, C.; Li, M.; Zhao, Y.; Zeng, X.; Zhang, F. Clinical parameter and Th17 related to lymphocytes infiltrating degree of labial salivary gland in primary Sjogren’s syndrome. Clin. Rheumatol. 2014, 33, 523–529. [Google Scholar] [CrossRef] [PubMed]
- Lee, S.Y.; Han, S.J.; Nam, S.M.; Yoon, S.C.; Ahn, J.M.; Kim, T.I.; Kim, E.K.; Seo, K.Y. Analysis of tear cytokines and clinical correlations in Sjogren syndrome dry eye patients and non-Sjogren syndrome dry eye patients. Am. J. Ophthalmol. 2013, 156, 247–253 e241. [Google Scholar] [CrossRef] [PubMed]
- Alunno, A.; Bistoni, O.; Caterbi, S.; Bartoloni, E.; Cafaro, G.; Gerli, R. Serum interleukin-17 in primary Sjogren’s syndrome: Association with disease duration and parotid gland swelling. Clin. Exp. Rheumatol. 2015, 33, 129. [Google Scholar]
- Baldini, C.; Ferro, F.; Elefante, E.; Bombardieri, S. Biomarkers for Sjogren’s syndrome. Biomark. Med. 2018, 12, 275–286. [Google Scholar] [CrossRef] [PubMed]
- Beckman, K.A.; Luchs, J.; Milner, M.S.; Ambrus, J.L., Jr. The Potential Role for Early Biomarker Testing as Part of a Modern, Multidisciplinary Approach to Sjogren’s Syndrome Diagnosis. Adv. Ther. 2017, 34, 799–812. [Google Scholar] [CrossRef] [PubMed]
- Szodoray, P.; Alex, P.; Brun, J.G.; Centola, M.; Jonsson, R. Circulating cytokines in primary Sjogren’s syndrome determined by a multiplex cytokine array system. Scand. J. Immunol. 2004, 59, 592–599. [Google Scholar] [CrossRef] [PubMed]
- Rose, W.A., 2nd; Okragly, A.J.; Hu, N.N.; Daniels, M.R.; Martin, A.P.; Koh, Y.T.; Kikly, K.; Benschop, R.J. Interleukin-33 Contributes Toward Loss of Tolerance by Promoting B-Cell-Activating Factor of the Tumor-Necrosis-Factor Family (BAFF)-Dependent Autoantibody Production. Front. Immunol. 2018, 9, 2871. [Google Scholar] [CrossRef] [PubMed]
- Theander, E.; Mandl, T. Primary Sjogren’s syndrome: Diagnostic and prognostic value of salivary gland ultrasonography using a simplified scoring system. Arthrit. Care Res. 2014, 66, 1102–1107. [Google Scholar] [CrossRef]
- Jousse-Joulin, S.; D’Agostino, M.A.; Nicolas, C.; Naredo, E.; Ohrndorf, S.; Backhaus, M.; Tamborrini, G.; Chary-Valckenaere, I.; Terslev, L.; Iagnocco, A.; et al. Video clip assessment of a salivary gland ultrasound scoring system in Sjogren’s syndrome using consensual definitions: An OMERACT ultrasound working group reliability exercise. Ann. Rheum. Dis. 2019, 78, 967–973. [Google Scholar] [CrossRef]


| Characteristics | SS Patients (n = 35) | Mild (n = 20) | Severe (n = 15) | p-Value |
|---|---|---|---|---|
| Mean Age, yr (SD) | 49.9 (11.9) | 48.5(12.9) | 49.5 (10.6) | 0.8128 a |
| Female, n (%) | 34 (97.8) | 19 (95.0) | 15 (100) | 1.0000 b |
| Disease duration, yr (SD) | 0.58 (0.32) | 0.61 (0.32) | 0.53 (0.31) | 0.4982 a |
| ESSDAI, mean (SD) | 4.77 (4.82) | 3.80 (3.00) | 6.07 (6.40) | 0.2199 a |
| Salivary gland ultrasonography scores (SD) | 1.17 (0.82) | 0.55 (0.51) | 2.00 (0.00) | <0.0001 a |
| Parotid gland, scoring (SD) | 1.14 (0.81) | 0.55 (0.51) | 1.93 (0.26) | <0.0001 a |
| Submandibular gland, scoring (SD) | 1.14 (0.81) | 0.55 (0.51) | 1.93 (0.95) | <0.0001 a |
| ESSPRI, mean (SD) | 15.97 (6.40) | 15.45 (7.20) | 16.67 (5.31) | 0.5691 a |
| Sicca syndrome, level score (SD) | 6.11 (2.26) | 5.85 (2.48) | 6.47 (1.96) | 0.4169 a |
| Fatigue, level score (SD) | 5.80 (2.70) | 5.10 (3.16) | 6.73 (1.58) | 0.0546 a |
| Arthralgia, level score (SD) | 4.06 (3.63) | 4.50 (3.35) | 3.25 (3.97) | 0.4261 a |
| RF, n (%) | 14 (40.0) | 5 (25.0) | 9 (60.0) | 0.0365 c |
| Anti-SSA, n (%) | 31 (88.6) | 18 (90.0) | 13 (86.7) | 0.7590 b |
| Anti-SSB, n (%) | 14 (40.0) | 6 (30.0) | 8 (53.3) | 0.1632 c |
| Anti-RNP, n (%) | 0 (0) | 0 (0) | 0 (0) | - |
| Anti-Sm n (%) | 0 (0) | 0 (0) | 0 (0) | - |
| Antinuclear, n (%) | 24 (68.6) | 10 (50.0) | 14 (93.3) | 0.0063 c |
| Low C3, n (%) | 5 (14.3) | 2 (10.0) | 3 (20.0) | 0.4028 c |
| Low C4, n (%) | 2 (5.7) | 0 (0) | 2 (13.3) | 0.0926 b |
| Anti-dsDNA, n (%) | 1 (2.9) | 0 (0) | 1 (6.7) | 0.2414 b |
| High IgG, n (%) | 14 (40.0) | 7 (35.0) | 7 (46.7) | 0.0365 c |
| High IgG4, n (%) | 4 (11.4) | 3 (15.0) | 1 (6.7) | 0.4432 c |
| ESR, n (%) | 7 (20.0) | 3 (15.0) | 4 (26.7) | 0.3932 c |
| CRP, n (%) | 0 (0) | 0 (0) | 0 (0) | - |
| Low saliva production, n (%) | 10 (28.6) | 2 (10.0) | 8 (53.3) | 0.0050 c |
Disclaimer/Publisher’s Note: The statements, opinions and data contained in all publications are solely those of the individual author(s) and contributor(s) and not of MDPI and/or the editor(s). MDPI and/or the editor(s) disclaim responsibility for any injury to people or property resulting from any ideas, methods, instructions or products referred to in the content. |
© 2023 by the authors. Licensee MDPI, Basel, Switzerland. This article is an open access article distributed under the terms and conditions of the Creative Commons Attribution (CC BY) license (https://creativecommons.org/licenses/by/4.0/).
Share and Cite
Chen, Y.-F.; Hsieh, A.-H.; Fang, Y.-F.; Kuo, C.-F. Diagnostic Evaluation Using Salivary Gland Ultrasonography in Primary Sjögren’s Syndrome. J. Clin. Med. 2023, 12, 2428. https://doi.org/10.3390/jcm12062428
Chen Y-F, Hsieh A-H, Fang Y-F, Kuo C-F. Diagnostic Evaluation Using Salivary Gland Ultrasonography in Primary Sjögren’s Syndrome. Journal of Clinical Medicine. 2023; 12(6):2428. https://doi.org/10.3390/jcm12062428
Chicago/Turabian StyleChen, Yen-Fu, Ao-Ho Hsieh, Yao-Fan Fang, and Chang-Fu Kuo. 2023. "Diagnostic Evaluation Using Salivary Gland Ultrasonography in Primary Sjögren’s Syndrome" Journal of Clinical Medicine 12, no. 6: 2428. https://doi.org/10.3390/jcm12062428
APA StyleChen, Y.-F., Hsieh, A.-H., Fang, Y.-F., & Kuo, C.-F. (2023). Diagnostic Evaluation Using Salivary Gland Ultrasonography in Primary Sjögren’s Syndrome. Journal of Clinical Medicine, 12(6), 2428. https://doi.org/10.3390/jcm12062428

