Seven-Year Longitudinal Study: Clinical Evaluation of Knee Osteoarthritic Patients Treated with Mesenchymal Stem Cells
Abstract
1. Introduction
2. Material and Methods
2.1. Study Design
- intensity of symptoms (Knee Society score < 60)
- duration of symptoms > 3 months
- refractory to nonoperative treatment
- age between 18–80 years
- history or signs of oncologic disease
- systemic metabolic disease (diabetes, thyroid diseases etc.)
2.2. Tissue Sampling, Isolation and Propagation of AD-MSCs
2.3. Safety Assessment and Cell Administration
2.4. Scoring and Evaluation
2.5. Statistical Analysis
3. Results
3.1. Clinical Results
3.2. Radiological Results
3.2.1. X-ray Examination
3.2.2. Magnetic Resonance Examination
4. Discussion
5. Conclusions
Supplementary Materials
Author Contributions
Funding
Institutional Review Board Statement
Informed Consent Statement
Data Availability Statement
Conflicts of Interest
References
- Wang, Y.; Yuan, M.; Guo, Q.; Lu, S.; Peng, J. Mesenchymal Stem Cells for Treating Articular Cartilage Defects and Osteoarthritis. Cell Transplant. 2015, 24, 1661–1678. [Google Scholar] [CrossRef] [PubMed]
- Orozco, L.; Munar, A.; Soler, R.; Alberca, M.; Soler, F.; Huguet, M.; Sentís, J.; Sánchez, A.; García-Sancho, J. Treatment of Knee Osteoarthritis with Autologous Mesenchymal Stem Cells: A Pilot Study. Transplantation 2013, 95, 1535–1541. [Google Scholar] [CrossRef] [PubMed]
- Sawitzke, A.D.; Shi, H.; Finco, M.F.; Dunlop, D.D.; Harris, C.L.; Singer, N.G.; Bradley, J.D.; Silver, D.; Jackson, C.G.; Lane, N.E.; et al. Clinical Efficacy and Safety of Glucosamine, Chondroitin Sulphate, Their Combination, Celecoxib or Placebo Taken to Treat Osteoarthritis of the Knee: 2-Year Results from GAIT. Ann. Rheum. Dis. 2010, 69, 1459–1464. [Google Scholar] [CrossRef] [PubMed]
- Moseley, J.B.; O’Malley, K.; Petersen, N.J.; Menke, T.J.; Brody, B.A.; Kuykendall, D.H.; Hollingsworth, J.C.; Ashton, C.M.; Wray, N.P. A Controlled Trial of Arthroscopic Surgery for Osteoarthritis of the Knee. N. Engl. J. Med. 2002, 347, 81–88. [Google Scholar] [CrossRef] [PubMed]
- Kirkley, A.; Birmingham, T.B.; Litchfield, R.B.; Giffin, J.R.; Willits, K.R.; Wong, C.J.; Feagan, B.G.; Donner, A.; Griffin, S.H.; D’Ascanio, L.M.; et al. A Randomized Trial of Arthroscopic Surgery for Osteoarthritis of the Knee. N. Engl. J. Med. 2008, 359, 1097–1107. [Google Scholar] [CrossRef] [PubMed]
- Della Valle, C.J.; Dittle, E.; Moric, M.; Sporer, S.M.; Buvanendran, A. A Prospective Randomized Trial of Mini-Incision Posterior and Two-Incision Total Hip Arthroplasty. Clin. Orthop. 2010, 468, 3348–3354. [Google Scholar] [CrossRef] [PubMed]
- Bascarevic, Z.; Vukasinovic, Z.; Slavkovic, N.; Dulic, B.; Trajkovic, G.; Bascarevic, V.; Timotijevic, S. Alumina-on-Alumina Ceramic versus Metal-on-Highly Cross-Linked Polyethylene Bearings in Total Hip Arthroplasty: A Comparative Study. Int. Orthop. 2010, 34, 1129–1135. [Google Scholar] [CrossRef]
- Rutjes, A.W.S.; Jüni, P.; da Costa, B.R.; Trelle, S.; Nüesch, E.; Reichenbach, S. Viscosupplementation for Osteoarthritis of the Knee: A Systematic Review and Meta-Analysis. Ann. Intern. Med. 2012, 157, 180–191. [Google Scholar] [CrossRef] [PubMed]
- Kon, E.; Mandelbaum, B.; Buda, R.; Filardo, G.; Delcogliano, M.; Timoncini, A.; Fornasari, P.M.; Giannini, S.; Marcacci, M. Platelet-Rich Plasma Intra-Articular Injection versus Hyaluronic Acid Viscosupplementation as Treatments for Cartilage Pathology: From Early Degeneration to Osteoarthritis. Arthrosc. J. Arthrosc. Relat. Surg. Off. Publ. Arthrosc. Assoc. N. Am. Int. Arthrosc. Assoc. 2011, 27, 1490–1501. [Google Scholar] [CrossRef]
- Fodor, P.B.; Paulseth, S.G. Adipose Derived Stromal Cell (ADSC) Injections for Pain Management of Osteoarthritis in the Human Knee Joint. Aesthet. Surg. J. 2016, 36, 229–236. [Google Scholar] [CrossRef]
- Hudetz, D.; Borić, I.; Rod, E.; Jeleč, Ž.; Kunovac, B.; Polašek, O.; Vrdoljak, T.; Plečko, M.; Skelin, A.; Polančec, D.; et al. Early Results of Intra-Articular Micro-Fragmented Lipoaspirate Treatment in Patients with Late Stages Knee Osteoarthritis: A Prospective Study. Croat. Med. J. 2019, 60, 227–236. [Google Scholar] [CrossRef] [PubMed]
- Garza, J.R.; Campbell, R.E.; Tjoumakaris, F.P.; Freedman, K.B.; Miller, L.S.; Santa Maria, D.; Tucker, B.S. Clinical Efficacy of Intra-Articular Mesenchymal Stromal Cells for the Treatment of Knee Osteoarthritis: A Double-Blinded Prospective Randomized Controlled Clinical Trial. Am. J. Sports Med. 2020, 48, 588–598. [Google Scholar] [CrossRef] [PubMed]
- El Bitar, Y.F.; Lindner, D.; Jackson, T.J.; Domb, B.G. Joint-Preserving Surgical Options for Management of Chondral Injuries of the Hip. J. Am. Acad. Orthop. Surg. 2014, 22, 46–56. [Google Scholar] [CrossRef] [PubMed]
- Domb, B.G.; El Bitar, Y.F.; Lindner, D.; Jackson, T.J.; Stake, C.E. Arthroscopic Hip Surgery with a Microfracture Procedure of the Hip: Clinical Outcomes with Two-Year Follow-Up. Hip Int. J. Clin. Exp. Res. Hip Pathol. Ther. 2014, 24, 448–456. [Google Scholar] [CrossRef] [PubMed]
- Davatchi, F.; Abdollahi, B.S.; Mohyeddin, M.; Shahram, F.; Nikbin, B. Mesenchymal Stem Cell Therapy for Knee Osteoarthritis. Preliminary Report of Four Patients. Int. J. Rheum. Dis. 2011, 14, 211–215. [Google Scholar] [CrossRef] [PubMed]
- Pers, Y.-M.; Rackwitz, L.; Ferreira, R.; Pullig, O.; Delfour, C.; Barry, F.; Sensebe, L.; Casteilla, L.; Fleury, S.; Bourin, P.; et al. Adipose Mesenchymal Stromal Cell-Based Therapy for Severe Osteoarthritis of the Knee: A Phase I Dose-Escalation Trial. Stem Cells Transl. Med. 2016, 5, 847–856. [Google Scholar] [CrossRef]
- Emadedin, M.; Aghdami, N.; Taghiyar, L.; Fazeli, R.; Moghadasali, R.; Jahangir, S.; Farjad, R.; Baghaban Eslaminejad, M. Intra-Articular Injection of Autologous Mesenchymal Stem Cells in Six Patients with Knee Osteoarthritis. Arch. Iran. Med. 2012, 15, 422–428. [Google Scholar] [PubMed]
- Spasovski, D.; Spasovski, V.; Baščarević, Z.; Stojiljković, M.; Vreća, M.; Anđelković, M.; Pavlović, S. Intra-Articular Injection of Autologous Adipose-Derived Mesenchymal Stem Cells in the Treatment of Knee Osteoarthritis. J. Gene Med. 2018, 20, e3002. [Google Scholar] [CrossRef]
- Vega, A.; Martín-Ferrero, M.A.; Del Canto, F.; Alberca, M.; García, V.; Munar, A.; Orozco, L.; Soler, R.; Fuertes, J.J.; Huguet, M.; et al. Treatment of Knee Osteoarthritis With Allogeneic Bone Marrow Mesenchymal Stem Cells: A Randomized Controlled Trial. Transplantation 2015, 99, 1681–1690. [Google Scholar] [CrossRef]
- Chahal, J.; Gómez-Aristizábal, A.; Shestopaloff, K.; Bhatt, S.; Chaboureau, A.; Fazio, A.; Chisholm, J.; Weston, A.; Chiovitti, J.; Keating, A.; et al. Bone Marrow Mesenchymal Stromal Cell Treatment in Patients with Osteoarthritis Results in Overall Improvement in Pain and Symptoms and Reduces Synovial Inflammation. Stem Cells Transl. Med. 2019, 8, 746–757. [Google Scholar] [CrossRef]
- Jo, C.H.; Chai, J.W.; Jeong, E.C.; Oh, S.; Shin, J.S.; Shim, H.; Yoon, K.S. Intra-Articular Injection of Mesenchymal Stem Cells for the Treatment of Osteoarthritis of the Knee: A 2-Year Follow-up Study. Am. J. Sports Med. 2017, 45, 2774–2783. [Google Scholar] [CrossRef] [PubMed]
- Song, Y.; Du, H.; Dai, C.; Zhang, L.; Li, S.; Hunter, D.J.; Lu, L.; Bao, C. Human Adipose-Derived Mesenchymal Stem Cells for Osteoarthritis: A Pilot Study with Long-Term Follow-up and Repeated Injections. Regen. Med. 2018, 13, 295–307. [Google Scholar] [CrossRef] [PubMed]
- Lee, W.-S.; Kim, H.J.; Kim, K.-I.; Kim, G.B.; Jin, W. Intra-Articular Injection of Autologous Adipose Tissue-Derived Mesenchymal Stem Cells for the Treatment of Knee Osteoarthritis: A Phase IIb, Randomized, Placebo-Controlled Clinical Trial. Stem Cells Transl. Med. 2019, 8, 504–511. [Google Scholar] [CrossRef]
- Kohn, M.D.; Sassoon, A.A.; Fernando, N.D. Classifications in Brief: Kellgren-Lawrence Classification of Osteoarthritis. Clin. Orthop. 2016, 474, 1886–1893. [Google Scholar] [CrossRef] [PubMed]
- Keenan, O.J.F.; Holland, G.; Maempel, J.F.; Keating, J.F.; Scott, C.E.H. Correlations between Radiological Classification Systems and Confirmed Cartilage Loss in Severe Knee Osteoarthritis. Bone Jt. J. 2020, 102-B, 301–309. [Google Scholar] [CrossRef]
- Marlovits, S.; Striessnig, G.; Resinger, C.T.; Aldrian, S.M.; Vecsei, V.; Imhof, H.; Trattnig, S. Definition of Pertinent Parameters for the Evaluation of Articular Cartilage Repair Tissue with High-Resolution Magnetic Resonance Imaging. Eur. J. Radiol. 2004, 52, 310–319. [Google Scholar] [CrossRef] [PubMed]
- Marlovits, S.; Singer, P.; Zeller, P.; Mandl, I.; Haller, J.; Trattnig, S. Magnetic Resonance Observation of Cartilage Repair Tissue (MOCART) for the Evaluation of Autologous Chondrocyte Transplantation: Determination of Interobserver Variability and Correlation to Clinical Outcome after 2 Years. Eur. J. Radiol. 2006, 57, 16–23. [Google Scholar] [CrossRef]
- Wiggers, T.G.; Winters, M.; Van Den Boom, N.A.; Haisma, H.J.; Moen, M.H. Autologous Stem Cell Therapy in Knee Osteoarthritis: A Systematic Review of Randomised Controlled Trials. Br. J. Sports Med. 2021, 55, 1161–1169. [Google Scholar] [CrossRef]
- Han, X.; Yang, B.; Zou, F.; Sun, J. Clinical Therapeutic Efficacy of Mesenchymal Stem Cells Derived from Adipose or Bone Marrow for Knee Osteoarthritis: A Meta-Analysis of Randomized Controlled Trials. J. Comp. Eff. Res. 2020, 9, 361–374. [Google Scholar] [CrossRef]
- Agarwal, N.; Mak, C.; Bojanic, C.; To, K.; Khan, W. Meta-Analysis of Adipose Tissue Derived Cell-Based Therapy for the Treatment of Knee Osteoarthritis. Cells 2021, 10, 1365. [Google Scholar] [CrossRef]
- Beane, O.S.; Fonseca, V.C.; Cooper, L.L.; Koren, G.; Darling, E.M. Impact of Aging on the Regenerative Properties of Bone Marrow-, Muscle-, and Adipose-Derived Mesenchymal Stem/Stromal Cells. PLoS ONE 2014, 9, e115963. [Google Scholar] [CrossRef] [PubMed]
- Huang, R.; Li, W.; Zhao, Y.; Yang, F.; Xu, M. Clinical Efficacy and Safety of Stem Cell Therapy for Knee Osteoarthritis: A Meta-Analysis. Medicine 2020, 99, e19434. [Google Scholar] [CrossRef] [PubMed]
- Freitag, J.; Bates, D.; Wickham, J.; Shah, K.; Huguenin, L.; Tenen, A.; Paterson, K.; Boyd, R. Adipose-Derived Mesenchymal Stem Cell Therapy in the Treatment of Knee Osteoarthritis: A Randomized Controlled Trial. Regen. Med. 2019, 14, 213–230. [Google Scholar] [CrossRef] [PubMed]
- Davatchi, F.; Sadeghi Abdollahi, B.; Mohyeddin, M.; Nikbin, B. Mesenchymal Stem Cell Therapy for Knee Osteoarthritis: 5 Years Follow-up of Three Patients. Int. J. Rheum. Dis. 2016, 19, 219–225. [Google Scholar] [CrossRef] [PubMed]
- Stute, N.; Holtz, K.; Bubenheim, M.; Lange, C.; Blake, F.; Zander, A.R. Autologous Serum for Isolation and Expansion of Human Mesenchymal Stem Cells for Clinical Use. Exp. Hematol. 2004, 32, 1212–1225. [Google Scholar] [CrossRef]
- Bogdanova, A.; Bērziņš, U.; Brūvere, R.; Eivazova, G.; Kozlovska, T. Adipose-Derived Stem Cells Cultured in Autologous Serum Maintain the Characteristics of Mesenchymal Stem Cells. Proc. Latv. Acad. Sci. Sect. B Nat. Exact Appl. Sci. 2010, 64, 106–113. [Google Scholar] [CrossRef]





| Baseline | 60 months | 84 months | |
|---|---|---|---|
| Age (year), mean (SD) | 63 (10.4) | 69.3 years (44–83) | 72.2 years (46.3–85.5) |
| Sex (No) | 3 male, 6 female | 2 male, 6 female | 2 male, 6 female |
| BMI, mean (SD) (kg/m2) | 29.5 (3.97) | 30.4 (4.79) | 29.2 (4.03) |
| KL grade 1 | 0 | 0 | 0 |
| KL grade 2 | 4 | 2 | 0 |
| KL grade 3 | 3 | 3 | 3 |
| KL grade 4 | 4 | 5 | 7 |
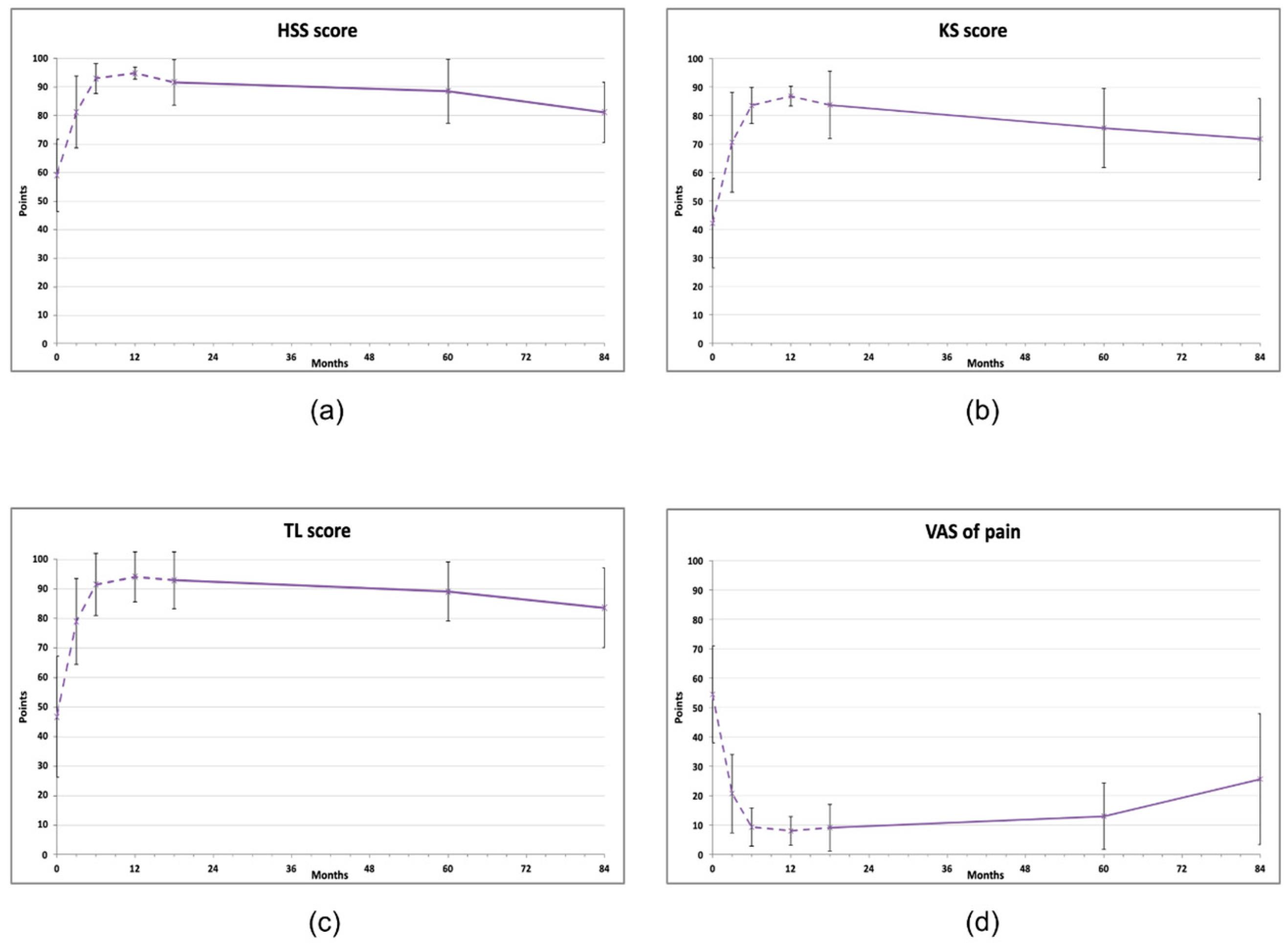
| Baseline | 3 months | 6 months | 12 months | 18 months | 60 months | 84 months | ANOVA | |
|---|---|---|---|---|---|---|---|---|
| KS score (max = 100) | 42.1 ± 15.71 | 70.6 ± 17.53 ** | 83.5 ± 6.36 ** | 86.8 ± 3.49 ** | 83.7 ± 11.86 ** | 75.6 ± 13.88 * | 69.7 ± 15.64 | F = 14.94 ** |
| HSS score (max = 100) | 59.0 ± 12.68 | 81.2 ± 12.64 ** | 92.9 ± 5.26 | 94.8 ± 2.09 ** | 91.6 ± 7.93 ** | 88.5 ± 11.25 ** | 79.8 ± 11.36 | F = 27.66 ** |
| TL score (max = 100) | 46.7 ± 20.5 | 79.0 ± 14.56 ** | 91.5 ± 10.55 ** | 94.1 ± 8.42 ** | 92.9 ± 9.55 ** | 89.1 ± 9.94 ** | 81.1 ± 15.66 * | F = 30.01 ** |
| VAS of pain (max = 100) | 54.5 ± 16.5 | 20.7 ± 13.3 ** | 9.3 ± 6.5 ** | 8.0 ± 4.9 ** | 9.1 ± 7.9 ** | 13.0 ± 1.14 ** | 28.7 ± 24.39 | F = 15.08 ** |
| ROM (degrees) | 93.2 ± 17.93 | 110.5 ± 10.42 ** | 118.3 ± 12.69 ** | 99.2 ± 10.29 | 102.4 ± 13.88 | 118.6 ± 11.28 ** | 115.5 ± 13.94 ** | F = 7.03 ** |
Disclaimer/Publisher’s Note: The statements, opinions and data contained in all publications are solely those of the individual author(s) and contributor(s) and not of MDPI and/or the editor(s). MDPI and/or the editor(s) disclaim responsibility for any injury to people or property resulting from any ideas, methods, instructions or products referred to in the content. |
© 2024 by the authors. Licensee MDPI, Basel, Switzerland. This article is an open access article distributed under the terms and conditions of the Creative Commons Attribution (CC BY) license (https://creativecommons.org/licenses/by/4.0/).
Share and Cite
Spasovski, D.; Spasovski, V.; Bascarevic, Z.; Stojiljkovic, M.; Andjelkovic, M.; Pavlovic, S. Seven-Year Longitudinal Study: Clinical Evaluation of Knee Osteoarthritic Patients Treated with Mesenchymal Stem Cells. J. Clin. Med. 2024, 13, 3861. https://doi.org/10.3390/jcm13133861
Spasovski D, Spasovski V, Bascarevic Z, Stojiljkovic M, Andjelkovic M, Pavlovic S. Seven-Year Longitudinal Study: Clinical Evaluation of Knee Osteoarthritic Patients Treated with Mesenchymal Stem Cells. Journal of Clinical Medicine. 2024; 13(13):3861. https://doi.org/10.3390/jcm13133861
Chicago/Turabian StyleSpasovski, Dusko, Vesna Spasovski, Zoran Bascarevic, Maja Stojiljkovic, Marina Andjelkovic, and Sonja Pavlovic. 2024. "Seven-Year Longitudinal Study: Clinical Evaluation of Knee Osteoarthritic Patients Treated with Mesenchymal Stem Cells" Journal of Clinical Medicine 13, no. 13: 3861. https://doi.org/10.3390/jcm13133861
APA StyleSpasovski, D., Spasovski, V., Bascarevic, Z., Stojiljkovic, M., Andjelkovic, M., & Pavlovic, S. (2024). Seven-Year Longitudinal Study: Clinical Evaluation of Knee Osteoarthritic Patients Treated with Mesenchymal Stem Cells. Journal of Clinical Medicine, 13(13), 3861. https://doi.org/10.3390/jcm13133861

