High Interleukin 21 Levels in Patients with Systemic Lupus Erythematosus: Association with Clinical Variables and rs2221903 Polymorphism
Abstract
1. Introduction
2. Materials and Methods
2.1. Subjects
2.2. Quantification of IL-21 Serum Levels and Anti-dsDNA Antibodies
2.3. Genotyping of IL21 rs2221903 and rs2055979 Polymorphisms
2.4. Statistical Analysis
3. Results
3.1. Subjects’ Demographic and Clinical Characteristics
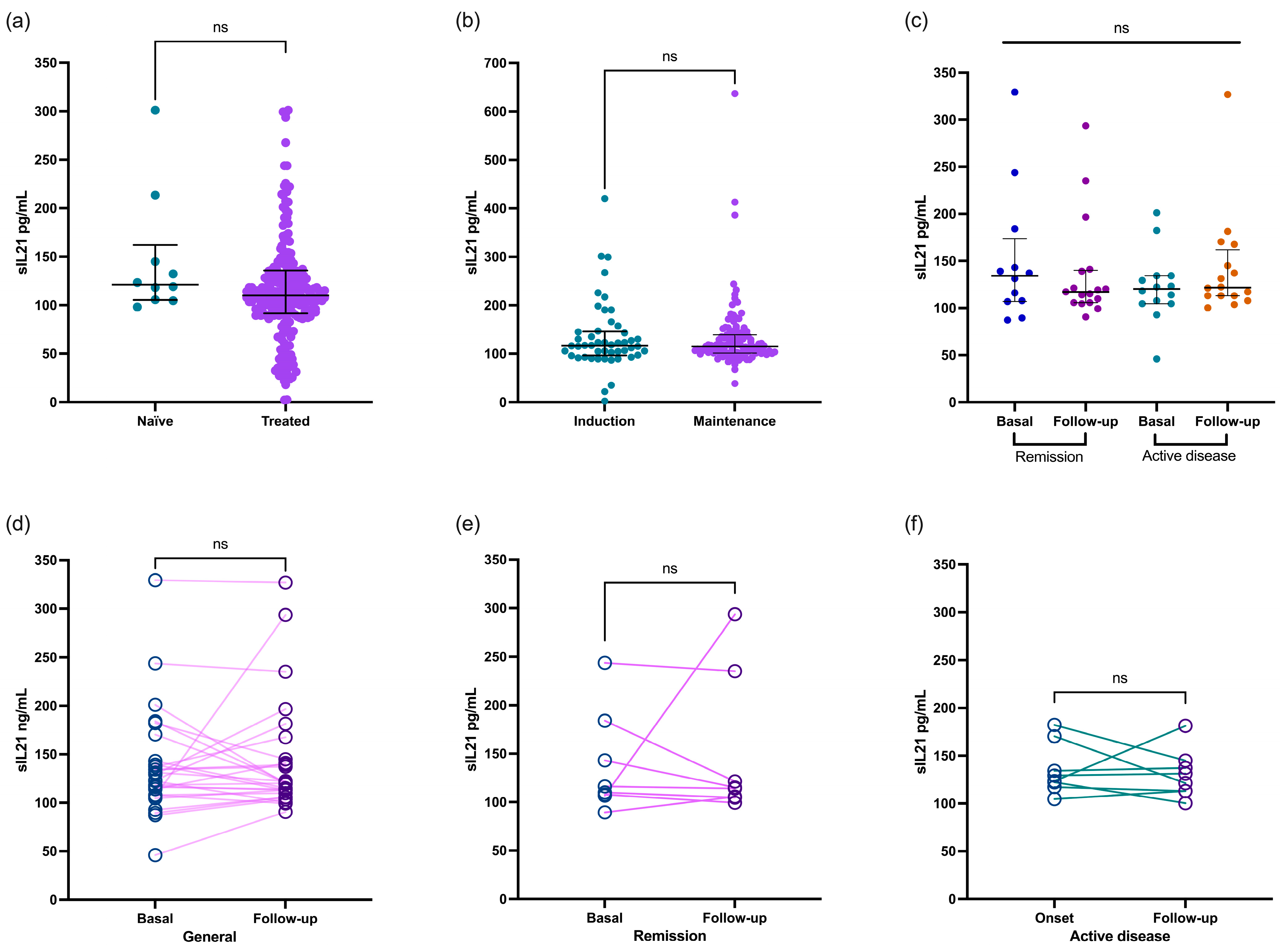
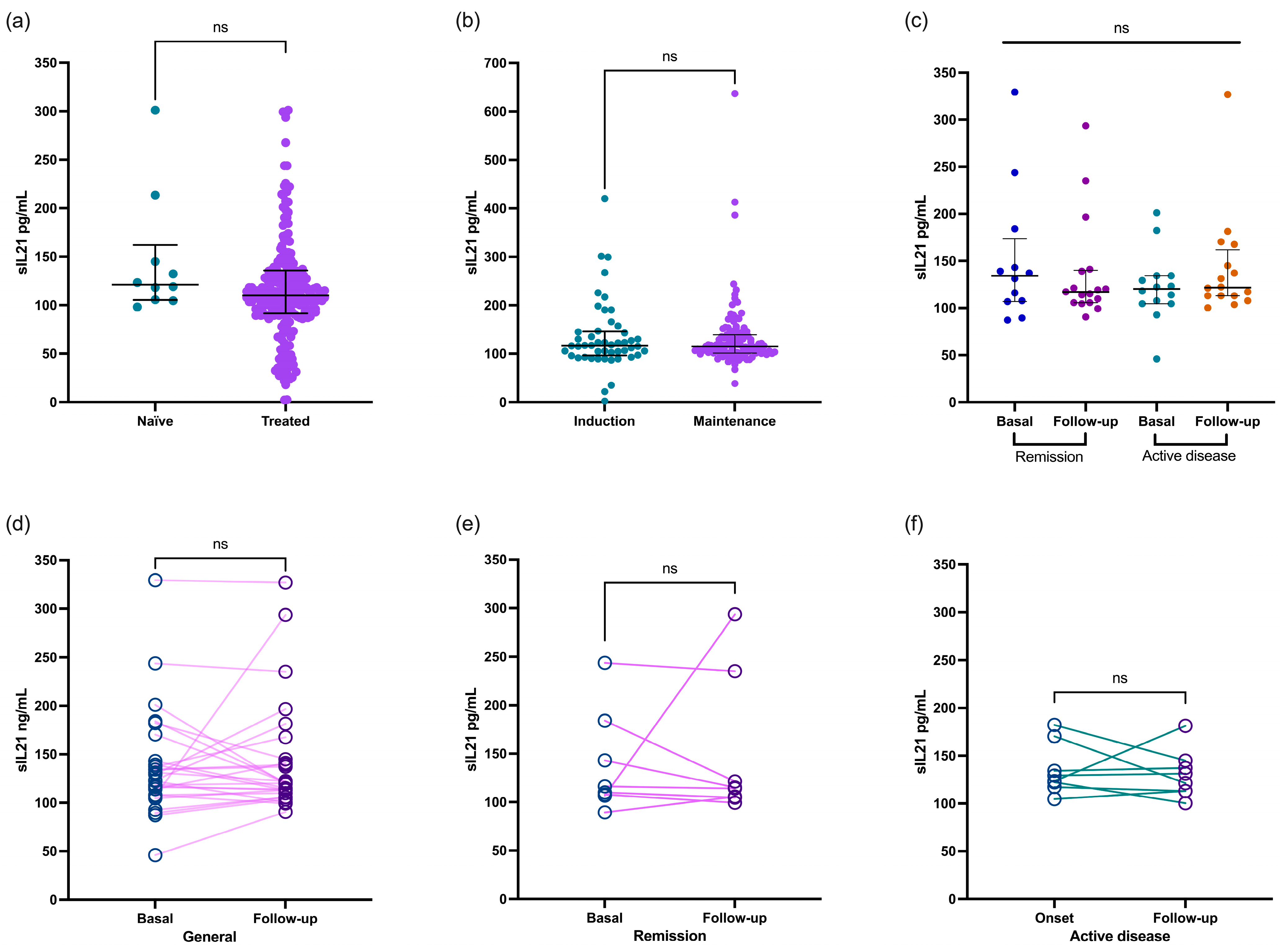
3.2. Association of IL-21 Levels with Clinical Phenotype of Patients with SLE
3.3. Genotype and Allele Frequencies of rs2221903 and rs2055979 Polymorphisms
3.4. Haplotype Analysis
3.5. Association of rs2221903 and rs2055979 Polymorphisms with IL-21 Levels, SLICC Damage Index, and Anti-dsDNA Antibodies
4. Discussion
5. Conclusions
Supplementary Materials
Author Contributions
Funding
Institutional Review Board Statement
Informed Consent Statement
Data Availability Statement
Acknowledgments
Conflicts of Interest
References
- Rahman, A.; Isenberg, D.A. Mechanisms of Disease: Systemic Lupus Erythematosus. N. Engl. J. Med. 2008, 358, 929–939. [Google Scholar] [CrossRef]
- Bengtsson, A.A.; Sturfelt, G.; Truedsson, L.; Blomberg, J.; Alm, G.; Vallin, H.; Rönnblom, L. Activation of Type I Interferon System in Systemic Lupus Erythematosus Correlates with Disease Activity but Not with Antiretroviral Antibodies. Lupus 2016, 9, 664–671. [Google Scholar] [CrossRef] [PubMed]
- Duarte, A.L.B.P.; Dantas, A.T.; De Ataíde Mariz, H.; Dos Santos, F.A.; Da Silva, J.C.; Da Rocha, L.F.; Galdino, S.L.; Galdino Da Rocha Pitta, M. Decreased Serum Interleukin 27 in Brazilian Systemic Lupus Erythematosus Patients. Mol. Biol. Rep. 2013, 40, 4889–4892. [Google Scholar] [CrossRef]
- Lan, Y.; Luo, B.; Wang, J.L.; Jiang, Y.W.; Wei, Y.S. The Association of Interleukin-21 Polymorphisms with Interleukin-21 Serum Levels and Risk of Systemic Lupus Erythematosus. Gene 2014, 538, 94–98. [Google Scholar] [CrossRef] [PubMed]
- Robak, E.; Kulczycka-Siennicka, L.; Gerlicz, Z.; Kierstan, M.; Korycka-Wolowiec, A.; Sysa-Jedrzejowska, A. Correlations between Concentrations of Interleukin (IL)-17A, IL-17B and IL-17F, and Endothelial Cells and Proangiogenic Cytokines in Systemic Lupus Erythematosus Patients. Eur. Cytokine Netw. 2013, 24, 60–68. [Google Scholar] [CrossRef]
- Sun, Z.; Zhang, R.; Wang, H.; Jiang, P.; Zhang, J.; Zhang, M.; Gu, L.; Yang, X.; Zhang, M.; Ji, X. Serum IL-10 from Systemic Lupus Erythematosus Patients Suppresses the Differentiation and Function of Monocyte-Derived Dendritic Cells. J. Biomed. Res. 2012, 26, 456–466. [Google Scholar] [CrossRef] [PubMed]
- Jin, X.; Chen, J.; Wu, J.; Lu, Y.; Li, B.; Fu, W.; Wang, W.; Cui, D. Aberrant Expansion of Follicular Helper T Cell Subsets in Patients with Systemic Lupus Erythematosus. Front. Immunol. 2022, 13, 928359. [Google Scholar] [CrossRef]
- Pontarini, E.; Murray-Brown, W.J.; Croia, C.; Lucchesi, D.; Conway, J.; Rivellese, F.; Fossati-Jimack, L.; Astorri, E.; Prediletto, E.; Corsiero, E.; et al. Unique Expansion of IL-21+ Tfh and Tph Cells under Control of ICOS Identifies Sjögren’s Syndrome with Ectopic Germinal Centres and MALT Lymphoma. Ann. Rheum. Dis. 2020, 79, 1588–1599. [Google Scholar] [CrossRef]
- Tian, Y.; Zajac, A.J. IL-21 and T Cell Differentiation: Consider the Context. Trends Immunol. 2016, 37, 557. [Google Scholar] [CrossRef]
- Yang, Y.; Zhang, M.; Ye, Y.; Ma, S.; Fan, L.; Li, Z. High Frequencies of Circulating Tfh-Th17 Cells in Myasthenia Gravis Patients. Neurol. Sci. 2017, 38, 1599–1608. [Google Scholar] [CrossRef]
- Coquet, J.M.; Kyparissoudis, K.; Pellicci, D.G.; Besra, G.; Berzins, S.P.; Smyth, M.J.; Godfrey, D.I. IL-21 Is Produced by NKT Cells and Modulates NKT Cell Activation and Cytokine Production. J. Immunol. 2007, 178, 2827–2834. [Google Scholar] [CrossRef] [PubMed]
- Kuchen, S.; Robbins, R.; Sims, G.P.; Sheng, C.; Phillips, T.M.; Lipsky, P.E.; Ettinger, R. Essential Role of IL-21 in B Cell Activation, Expansion, and Plasma Cell Generation during CD4 + T Cell-B Cell Collaboration. J. Immunol. 2007, 179, 5886–5896. [Google Scholar] [CrossRef] [PubMed]
- Spolski, R.; Leonard, W.J. Interleukin-21: A Double-Edged Sword with Therapeutic Potential. Nat. Rev. Drug Discov. 2014, 13, 379–395. [Google Scholar] [CrossRef] [PubMed]
- Lee, J.; Shin, E.K.; Lee, S.Y.; Her, Y.M.; Park, M.K.; Kwok, S.K.; Ju, J.H.; Park, K.S.; Kim, H.Y.; Cho, M.L.; et al. Oestrogen Up-Regulates Interleukin-21 Production by CD4+ T Lymphocytes in Patients with Systemic Lupus Erythematosus. Immunology 2014, 142, 573–580. [Google Scholar] [CrossRef] [PubMed]
- Shater, H.; Fawzy, M.; Farid, A.; El-Amir, A.; Fouad, S.; Madbouly, N. The Potential Use of Serum Interleukin-21 as Biomarker for Lupus Nephritis Activity Compared to Cytokines of the Tumor Necrosis Factor (TNF) Family. Lupus 2022, 31, 55–64. [Google Scholar] [CrossRef] [PubMed]
- Wang, L.; Zhao, P.; Ma, L.; Shan, Y.; Jiang, Z.; Wang, J.; Jiang, Y. Increased Interleukin 21 and Follicular Helper T-like Cells and Reduced Interleukin 10+ B Cells in Patients with New-Onset Systemic Lupus Erythematosus. J. Rheumatol. 2014, 41, 1781–1792. [Google Scholar] [CrossRef] [PubMed]
- Reynolds, J.A.; McCarthy, E.M.; Haque, S.; Ngamjanyaporn, P.; Sergeant, J.C.; Lee, E.; Lee, E.; Kilfeather, S.A.; Parker, B.; Bruce, I.N. Cytokine Profiling in Active and Quiescent SLE Reveals Distinct Patient Subpopulations. Arthritis Res. Ther. 2018, 20, 173. [Google Scholar] [CrossRef] [PubMed]
- Sagrero-Fabela, N.; Ortíz-Lazareno, P.C.; Salazar-Camarena, D.C.; Cruz, A.; Cerpa-Cruz, S.; Muñoz-Valle, J.F.; Marín-Rosales, M.; Alvarez-Gómez, J.A.; Palafox-Sánchez, C.A. BAFFR Expression in Circulating T Follicular Helper (CD4+CXCR5+PD-1+) and T Peripheral Helper (CD4+CXCR5−PD-1+) Cells in Systemic Lupus Erythematosus. Lupus 2023, 32, 1093–1104. [Google Scholar] [CrossRef]
- Qi, J.H.; Qi, J.; Xiang, L.N.; Nie, G. Association between IL-21 Polymorphism and Systemic Lupus Erythematosus: A Meta-Analysis. Genet. Mol. Res. 2015, 14, 9595–9603. [Google Scholar] [CrossRef]
- Carreño-Saavedra, N.M.; Reyes-Pérez, I.V.; Machado-Sulbaran, A.C.; Martínez-Bonilla, G.E.; Ramírez-Dueñas, M.G.; Muñoz-Valle, J.F.; Olaya-Valdiviezo, V.; García-Iglesias, T.; Martínez-García, E.A.; Sánchez-Hernández, P.E. IL-21 (Rs2055979 and Rs2221903)/IL-21R (Rs3093301) Polymorphism and High Levels of IL-21 Are Associated with Rheumatoid Arthritis in Mexican Patients. Genes 2023, 14, 878. [Google Scholar] [CrossRef]
- Ali Abdulla, A.; Abdulaali Abed, T.; Razzaq Abdul-Ameer, W. Impact of IL-21 Gene Polymorphisms (Rs2055979) and the Levels of Serum IL-21 on the Risk of Multiple Sclerosis. Arch. Razi Inst. 2022, 77, 71–76. [Google Scholar] [CrossRef]
- Gharibi, T.; Kazemi, T.; Aliparasti, M.R.; Farhoudi, M.; Almasi, S.; Dehghanzadeh, R.; Seyfizadeh, N.; Babaloo, Z. Investigation of IL-21 Gene Polymorphisms (Rs2221903, Rs2055979) in Cases with Multiple Sclerosis of Azerbaijan, Northwest Iran. Am. J. Clin. Exp. Immunol. 2015, 4, 7. Available online: https://www.ncbi.nlm.nih.gov/pmc/articles/PMC4494115/ (accessed on 6 May 2020).
- Sawalha, A.H.; Kaufman, K.M.; Kelly, J.A.; Adler, A.J.; Aberle, T.; Kilpatrick, J.; Wakeland, E.K.; Li, Q.Z.; Wandstrat, A.E.; Karp, D.R.; et al. Genetic Association of Interleukin-21 Polymorphisms with Systemic Lupus Erythematosus. Ann. Rheum. Dis. 2008, 67, 458–461. [Google Scholar] [CrossRef]
- Hochberg, M.C. Updating the American College of Rheumatology Revised Criteria for the Classification of Systemic Lupus Erythematosus. Arthritis Rheum. 1997, 40, 1725. [Google Scholar] [CrossRef]
- Guzman, J.; Cardiel, M.H.; Arce-Salinas, A.; Sanchez-Guerrero, J.; Alarcon-Segovia, D. Measurement of Disease Activity in Systemic Lupus Erythematosus. Prospective Validation of 3 Clinical Indices. J. Rheumatol. 1992, 19, 1551–1558. Available online: https://pubmed.ncbi.nlm.nih.gov/1464867/ (accessed on 6 May 2020). [PubMed]
- Gladman, D.D.; Ibañez, D.; Urowltz, M.B. Systemic Lupus Erythematosus Disease Activity Index 2000. J. Rheumatol. 2002, 29, 288–291. [Google Scholar] [CrossRef]
- Gorodezky, C.; Alaez, C.; Vázquez-García, M.N.; De La Rosa, G.; Infante, E.; Balladares, S.; Toribio, R.; Pérez-Luque, E.; Muñoz, L. The Genetic Structure of Mexican Mestizos of Different Locations: Tracking Back Their Origins through MHC Genes, Blood Group Systems, and Microsatellites. Hum. Immunol. 2001, 62, 979–991. [Google Scholar] [CrossRef] [PubMed]
- World Medical Asociation (AMM). Declaración de Helsinki de la AMM—Principios Éticos para las Investigaciones Médicas en Seres Humanos; World Medical Asociation Inc.: Ferney-Voltaire, France, 2013; pp. 1–8. [Google Scholar]
- Miller, S.A.; Dykes, D.D.; Polesky, H.F. A Simple Salting out Procedure for Extracting DNA from Human Nucleated Cells. Nucleic Acids Res. 1988, 16, 1215. [Google Scholar] [CrossRef]
- Li, Z.; Zhang, Z.; He, Z.; Tang, W.; Li, T.; Zeng, Z.; He, L.; Shi, Y. A Partition-Ligation-Combination-Subdivision Em Algorithm for Haplotype Inference with Multiallelic Markers: Update of the SHEsis (http://Analysis.Bio-x.cn). Cell Res. 2009, 19, 519–523. [Google Scholar] [CrossRef]
- Shi, Y.Y.; He, L. SHEsis, a Powerful Software Platform for Analyses of Linkage Disequilibrium, Haplotype Construction, and Genetic Association at Polymorphism Loci. Cell Res. 2005, 15, 97–98. [Google Scholar] [CrossRef]
- Long, D.; Chen, Y.; Wu, H.; Zhao, M.; Lu, Q. Clinical Significance and Immunobiology of IL-21 in Autoimmunity. J. Autoimmun. 2019, 99, 1–14. [Google Scholar] [CrossRef]
- Ren, H.M.; Lukacher, A.E.; Rahman, Z.S.M.; Olsen, N.J. New Developments Implicating IL-21 in Autoimmune Disease. J. Autoimmun. 2021, 122, 102689. [Google Scholar] [CrossRef]
- Nakou, M.; Papadimitraki, E.D.; Fanouriakis, A.; Bertsias, G.K.; Choulaki, C.; Goulidaki, N.; Sidiropoulos, P.; Boumpas, D.T. Interleukin-21 Is Increased in Active Systemic Lupus Erythematosus Patients and Contributes to the Generation of Plasma B Cells. Clin. Exp. Rheumatol. 2013, 31, 0172–0179. Available online: https://www.clinexprheumatol.org/abstract.asp?a=5562 (accessed on 5 March 2020).
- Makiyama, A.; Chiba, A.; Noto, D.; Murayama, G.; Yamaji, K.; Tamura, N.; Miyake, S. Expanded Circulating Peripheral Helper T Cells in Systemic Lupus Erythematosus: Association with Disease Activity and B Cell Differentiation. Rheumatology 2019, 58, 1861–1869. [Google Scholar] [CrossRef]
- Herber, D.; Brown, T.P.; Liang, S.; Young, D.A.; Collins, M.; Dunussi-Joannopoulos, K. IL-21 Has a Pathogenic Role in a Lupus-Prone Mouse Model and Its Blockade with IL-21R.Fc Reduces Disease Progression. J. Immunol. 2007, 178, 3822–3830. [Google Scholar] [CrossRef]
- Wang, N.; Gao, C.; Cui, S.; Qin, Y.; Zhang, C.; Yi, P.; Di, X.; Liu, S.; Li, T.; Gao, G.; et al. Induction Therapy Downregulates the Expression of Th17/Tfh Cytokines in Patients with Active Lupus Nephritis. Am. J. Clin. Exp. Immunol. 2018, 7, 67. Available online: https://www.ncbi.nlm.nih.gov/pmc/articles/PMC6146154/ (accessed on 10 June 2024).
- Ahmed, Y.M.; Erfan, D.M.; Hafez, S.F.; Shehata, I.H.; Morshedy, N.A. The Association of Single Nucleotide Polymorphism of Interleukin-21 Gene and Serum Interleukin-21 Levels with Systemic Lupus Erythematosus. Egypt. J. Med. Human. Genet. 2017, 18, 129–136. [Google Scholar] [CrossRef]
- Hagn, M.; Ebel, V.; Sontheimer, K.; Schwesinger, E.; Lunov, O.; Beyer, T.; Fabricius, D.; Barth, T.F.E.; Viardot, A.; Stilgenbauer, S.; et al. CD5+ B Cells from Individuals with Systemic Lupus Erythematosus Express Granzyme B. Eur. J. Immunol. 2010, 40, 2060–2069. [Google Scholar] [CrossRef]
- Hirahara, S.; Katsumata, Y.; Kawasumi, H.; Kawaguchi, Y.; Harigai, M. Serum Levels of Soluble Programmed Cell Death Protein 1 and Soluble Programmed Cell Death Protein Ligand 2 Are Increased in Systemic Lupus Erythematosus and Associated with the Disease Activity. Lupus 2020, 29, 686–696. [Google Scholar] [CrossRef] [PubMed]
- Chevalier, N.; Thorburn, A.N.; Macia, L.; Tan, J.; Juglair, L.; Yagita, H.; Yu, D.; Hansbro, P.M.; Mackay, C.R. Inflammation and Lymphopenia Trigger Autoimmunity by Suppression of IL-2-Controlled Regulatory T Cell and Increase of IL-21-Mediated Effector T Cell Expansion. J. Immunol. 2014, 193, 4845–4858. [Google Scholar] [CrossRef] [PubMed]
- Wang, S.; Wang, J.; Kumar, V.; Karnell, J.L.; Naiman, B.; Gross, P.S.; Rahman, S.; Zerrouki, K.; Hanna, R.; Morehouse, C.; et al. IL-21 Drives Expansion and Plasma Cell Differentiation of Autoreactive CD11chiT-Bet+ B Cells in SLE. Nat. Commun. 2018, 9, 1758. [Google Scholar] [CrossRef]
- Kang, K.Y.; Kim, H.O.; Kwok, S.K.; Ju, J.H.; Park, K.S.; Sun, D.I.; Jhun, J.Y.; Oh, H.J.; Park, S.H.; Kim, H.Y. Impact of Interleukin-21 in the Pathogenesis of Primary Sjögren’s Syndrome: Increased Serum Levels of Interleukin-21 and Its Expression in the Labial Salivary Glands. Arthritis Res. Ther. 2011, 13, R179. [Google Scholar] [CrossRef]
- Shen, C.; Xue, X.; Zhang, X.; Wu, L.; Duan, X.; Su, C. Dexamethasone Reduces Autoantibody Levels in MRL/Lpr Mice by Inhibiting Tfh Cell Responses. J. Cell Mol. Med. 2021, 25, 8329–8337. [Google Scholar] [CrossRef]
- Feng, X.; Wang, D.; Chen, J.; Lu, L.; Hua, B.; Li, X.; Tsao, B.P.; Sun, L. Inhibition of Aberrant Circulating Tfh Cell Proportions by Corticosteroids in Patients with Systemic Lupus Erythematosus. PLoS ONE 2012, 7, e51982. [Google Scholar] [CrossRef]
- Li, Y.; Rauniyar, V.K.; Yin, W.F.; Hu, B.; Ouyang, S.; Xiao, B.; Yang, H. Serum IL-21 Levels Decrease with Glucocorticoid Treatment in Myasthenia Gravis. Neurol. Sci. 2014, 35, 29–34. [Google Scholar] [CrossRef]
- Sauna, Z.E.; Kimchi-Sarfaty, C. Understanding the Contribution of Synonymous Mutations to Human Disease. Nat. Rev. Genet. 2011, 12, 683–691. [Google Scholar] [CrossRef]
- Ding, L.; Wang, S.; Chen, G.M.; Leng, R.X.; Pan, H.F.; Ye, D.Q. A Single Nucleotide Polymorphism of IL-21 Gene Is Associated with Systemic Lupus Erythematosus in a Chinese Population. Inflammation 2012, 35, 1781–1785. [Google Scholar] [CrossRef]
- Martínez-Cortés, G.; Salazar-Flores, J.; Gabriela Fernández-Rodríguez, L.; Rubi-Castellanos, R.; Rodríguez-Loya, C.; Velarde-Félix, J.S.; Franciso Mũoz-Valle, J.; Parra-Rojas, I.; Rangel-Villalobos, H. Admixture and Population Structure in Mexican-Mestizos Based on Paternal Lineages. J. Hum. Genet. 2012, 57, 568–574. [Google Scholar] [CrossRef] [PubMed]



| Variables | SLE (n = 300) | 
|---|---|
| Demographic features | |
| Age, years; median (p25–p75) | 35 (25–48) | 
| Gender (F/M) | 283/17 | 
| Disease features | |
| Disease duration, years; median (p25–p75) | 4 (1.4–11.0) | 
| Mex-SLEDAI score; median (p25–p75) | 2 (1–6) | 
| Inactive, n (%) | 123 (41.0) | 
| Mild–moderate, n (%) | 124 (41.3) | 
| Severe, n (%) | 53 (17.7) | 
| SLICC score; median (p25–75) | 0 (0–1) | 
| Non-damage, n (%) | 201 (67.0) | 
| Damage, n (%) | 99 (33.0) | 
| Clinical domain | |
| Hematologic †, n (%) | 134 (44.7) | 
| Mucocutaneous ‡, n (%) | 102 (34.0) | 
| Constitutional §, n (%) | 76 (25.3) | 
| Renal ¶, n (%) | 66 (22.0) | 
| Musculoskeletal ††, n (%) | 51 (17.0) | 
| Neuropsychiatric ‡‡, n (%) | 19 (6.3) | 
| Serosal §§, n (%) | 12 (4.0) | 
| Treatment | |
| Prednisone, n (%) | 204 (68.0) | 
| rednisone dose; median (p25–p75) | 10 (5.0–20.0) | 
| Antimalarial, n (%) | 175 (58.3) | 
| Azathioprine, n (%) | 144 (48.0) | 
| Methotrexate, n (%) | 55 (18.3) | 
| Mycophenolate Mofetil, n (%) | 28 (9.3) | 
| Cyclophosphamide, n (%) | 27 (9.0) | 
| Autoantibodies | |
| Antinuclear antibodies, n (%) | 277/287 (96.5) | 
| Anti-dsDNA, n (%) | 180/268 (67.2) | 
| Anti-RNP, n (%) | 45/122 (36.9) | 
| Anti-Ro, n (%) | 40/123 (32.5) | 
| Anti-Sm, n (%) | 32/141 (22.7) | 
| Anti-La, n (%) | 17/128 (13.3) | 
| Biochemical analysis | |
| Glucose (mg/dL) | 91 (39.0–383.0) | 
| Serum creatinine (mg/dL) | 0.9 (0.1–10.2) | 
| Serum urea (mg/dL) | 36.5 (1.5–2.7) | 
| Blood cell count | |
| Hemoglobin | 12.6 (4.1–19.8) | 
| Hematocrit | 38.6 (8.3–58.1) | 
| Leukocytes | 5.7 (4.3–7.45) | 
| Lymphocytes | 1.3 (0.8–1.9) | 
| Neutrophils | 3.8 (2.6–5.2) | 
| Platelets | 243 (188–294) | 
| ESR (mm/h) | 33.0 (1.0–135.0) | 
| HC n = 300 (%) | SLE n = 300 (%) | p-Value | OR (95% CI) | pc-Value | |
|---|---|---|---|---|---|
| rs2221903 (+3268 T>C) | |||||
| TT | 258 (86.29) | 236 (78.67) | 1 | - | - | 
| TC | 40 (13.38) | 58 (19.33) | 0.039 | 1.58 (1.02–2.46) | 0.078 | 
| CC | 1 (0.33) | 6 (2.00) | 0.046† | 6.56 (1.07–75.60) | 0.092 | 
| T | 556 (92.98) | 530 (88.33) | 1 | - | - | 
| C | 42 (7.02) | 70 (11.67) | 0.005 | 1.75 (1.17–2.61) | - | 
| Dominant model | |||||
| TT | 258 (86.29) | 236 (78.67) | 1 | - | - | 
| TC + CC | 41 (13.71) | 64 (21.33) | 0.014 | 1.71 (1.11–2.62) | - | 
| Recessive model | |||||
| TT + TC | 298 (99.67) | 294 (98.00) | 1 | - | - | 
| CC | 1 (0.33) | 6 (2.00) | 0.058 † | 0.16 (0.02–1.37) | - | 
| rs2055979 (+1439 C>A) | |||||
| CC | 90 (30.00) | 87 (29.00) | 1 | - | - | 
| CA | 153 (51.00) | 154 (51.33) | 0.830 | 1.04 (0.72–1.51) | 1 | 
| AA | 57 (19.00) | 59 (19.67) | 0.775 | 1.07 (0.67–1.71) | 1 | 
| C | 333 (55.50) | 328 (54.67) | 1 | - | - | 
| A | 267 (44.50) | 272 (45.33) | 0.772 | 1.03 (0.82–1.30) | - | 
| Dominant model | |||||
| CC | 90 (30.00) | 87 (29.00) | 1 | - | - | 
| CA + AA | 210 (70.00) | 213 (71.00) | 0.788 | 1.05 (0.74–1.49) | - | 
| Recessive model | |||||
| CC + CA | 243 (81.00) | 241 (80.33) | 1 | - | - | 
| AA | 57 (19.00) | 59 (19.67) | 0.836 | 0.96 (0.64–1.44) | - | 
| Haplotype ‡ | |||||
| TC | 292.13 (48.68) | 261.14 (43.50) | 1 | 0.81 (0.64–1.02) | - | 
| TA | 263.87 (43.98) | 268.86 (44.81) | 0.281 | 1.14 (0.90–1.44) | 0.562 | 
| CC | 39.87 (6.64) | 66.86 (11.14) | 0.004 | 1.87 (1.21–2.85) | 0.008 | 
| Disclaimer/Publisher’s Note: The statements, opinions and data contained in all publications are solely those of the individual author(s) and contributor(s) and not of MDPI and/or the editor(s). MDPI and/or the editor(s) disclaim responsibility for any injury to people or property resulting from any ideas, methods, instructions or products referred to in the content. | 
© 2024 by the authors. Licensee MDPI, Basel, Switzerland. This article is an open access article distributed under the terms and conditions of the Creative Commons Attribution (CC BY) license (https://creativecommons.org/licenses/by/4.0/).
Share and Cite
Espinoza-García, N.; Salazar-Camarena, D.C.; Marín-Rosales, M.; Reyes-Mata, M.P.; Ramírez-Dueñas, M.G.; Muñoz-Valle, J.F.; Borunda-Calderón, I.M.; González-Palacios, A.; Palafox-Sánchez, C.A. High Interleukin 21 Levels in Patients with Systemic Lupus Erythematosus: Association with Clinical Variables and rs2221903 Polymorphism. J. Clin. Med. 2024, 13, 4512. https://doi.org/10.3390/jcm13154512
Espinoza-García N, Salazar-Camarena DC, Marín-Rosales M, Reyes-Mata MP, Ramírez-Dueñas MG, Muñoz-Valle JF, Borunda-Calderón IM, González-Palacios A, Palafox-Sánchez CA. High Interleukin 21 Levels in Patients with Systemic Lupus Erythematosus: Association with Clinical Variables and rs2221903 Polymorphism. Journal of Clinical Medicine. 2024; 13(15):4512. https://doi.org/10.3390/jcm13154512
Chicago/Turabian StyleEspinoza-García, Noemí, Diana Celeste Salazar-Camarena, Miguel Marín-Rosales, María Paulina Reyes-Mata, María Guadalupe Ramírez-Dueñas, José Francisco Muñoz-Valle, Itzel María Borunda-Calderón, Aarón González-Palacios, and Claudia Azucena Palafox-Sánchez. 2024. "High Interleukin 21 Levels in Patients with Systemic Lupus Erythematosus: Association with Clinical Variables and rs2221903 Polymorphism" Journal of Clinical Medicine 13, no. 15: 4512. https://doi.org/10.3390/jcm13154512
APA StyleEspinoza-García, N., Salazar-Camarena, D. C., Marín-Rosales, M., Reyes-Mata, M. P., Ramírez-Dueñas, M. G., Muñoz-Valle, J. F., Borunda-Calderón, I. M., González-Palacios, A., & Palafox-Sánchez, C. A. (2024). High Interleukin 21 Levels in Patients with Systemic Lupus Erythematosus: Association with Clinical Variables and rs2221903 Polymorphism. Journal of Clinical Medicine, 13(15), 4512. https://doi.org/10.3390/jcm13154512
 
        

 
       