Left Atrial Stiffness Increases after Trans-Catheter Atrial Septal Closure
Abstract
1. Introduction
2. Materials and Methods
2.1. Patient Selection
2.2. Indication of Trans-Catheter ASD Closure
2.3. The Procedure of Trans-Catheter ASD Closure
2.4. Data Collection
2.5. LA Stiffness
2.6. Statistical Analyses
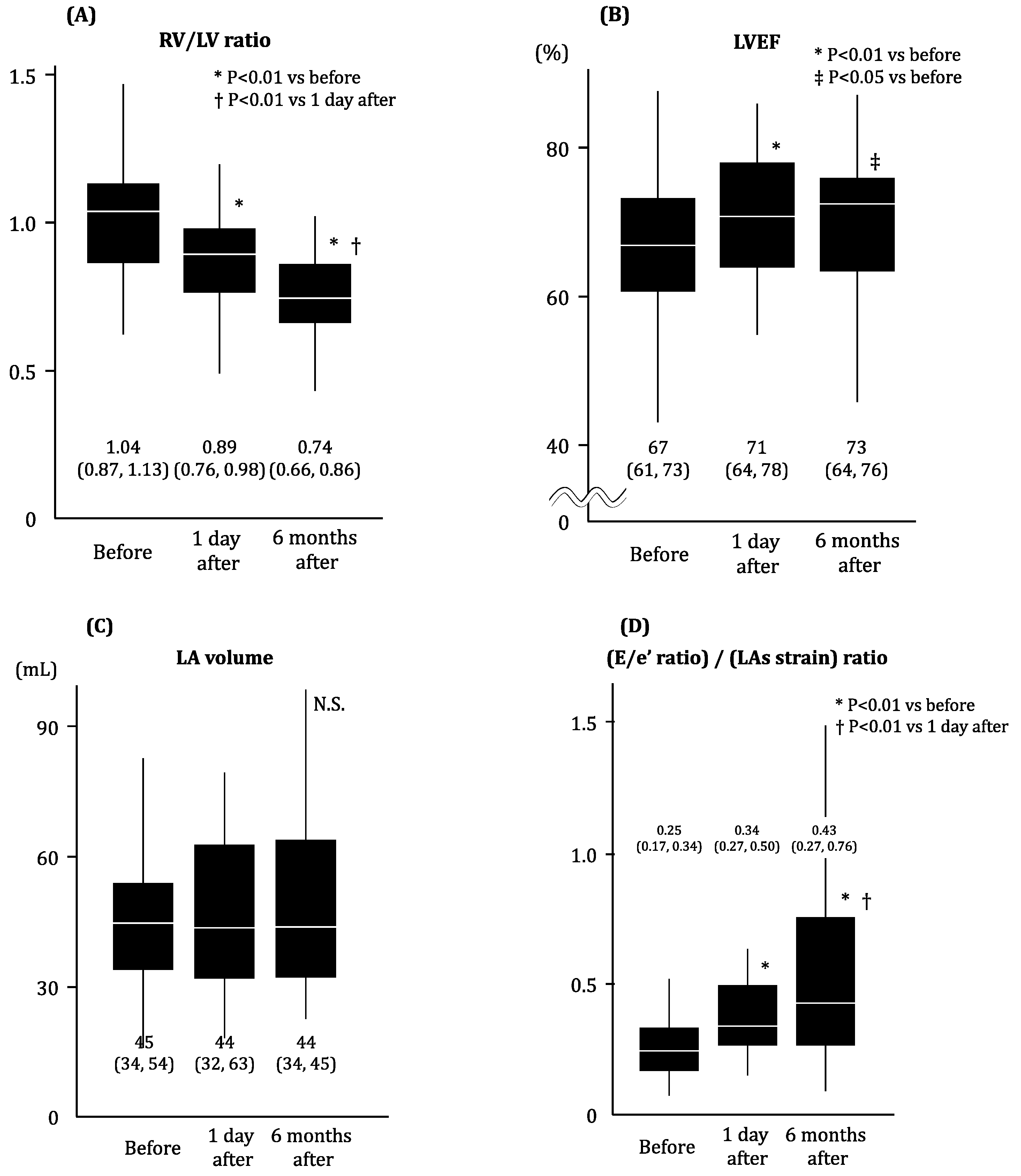
3. Results
3.1. Baseline Characteristics
3.2. Baseline Echocardiography Data
3.3. Procedure Data
3.4. Post-Procedure Data
3.5. Predictors for the High LA Stiffness at 6-Month Follow-Up
4. Discussion
4.1. The Efficacy of Trans-Catheter ASD Closure
4.2. Clinical Implication of LA Stiffness following Trans-Catheter ASD Closure
4.3. Limitations
5. Conclusions
Author Contributions
Funding
Institutional Review Board Statement
Informed Consent Statement
Data Availability Statement
Conflicts of Interest
References
- Geva, T.; Martins, J.D.; Wald, R.M. Atrial septal defects. Lancet 2014, 383, 1921–1932. [Google Scholar] [CrossRef] [PubMed]
- Udholm, S.; Nyboe, C.; Karunanithi, Z.; Christensen, A.I.; Redington, A.; Nielsen-Kudsk, J.E.; Hjortdal, V.E. Lifelong burden of small unrepaired atrial septal defect: Results from the Danish National Patient Registry. Int. J. Cardiol. 2019, 283, 101–106. [Google Scholar] [CrossRef] [PubMed]
- Du, Z.D.; Hijazi, Z.M.; Kleinman, C.S.; Silverman, N.H.; Larntz, K. Comparison between transcatheter and surgical closure of secundum atrial septal defect in children and adults: Results of a multicenter nonrandomized trial. J. Am. Coll. Cardiol. 2002, 39, 1836–1844. [Google Scholar] [CrossRef] [PubMed]
- Abrahamyan, L.; Dharma, C.; Alnasser, S.; Fang, J.; Austin, P.C.; Lee, D.S.; Osten, M.; Horlick, E.M. Long-Term Outcomes After Atrial Septal Defect Transcatheter Closure by Age and Against Population Controls. JACC Cardiovasc. Interv. 2021, 14, 566–575. [Google Scholar] [CrossRef] [PubMed]
- Kurt, M.; Wang, J.; Torre-Amione, G.; Nagueh, S.F. Left atrial function in diastolic heart failure. Circ. Cardiovasc. Imaging 2009, 2, 10–15. [Google Scholar] [CrossRef] [PubMed]
- Gibson, D.N.; Di Biase, L.; Mohanty, P.; Patel, J.D.; Bai, R.; Sanchez, J.; Burkhardt, J.D.; Heywood, J.T.; Johnson, A.D.; Rubenson, D.S.; et al. Stiff left atrial syndrome after catheter ablation for atrial fibrillation: Clinical characterization, prevalence, and predictors. Heart Rhythm. 2011, 8, 1364–1371. [Google Scholar] [CrossRef] [PubMed]
- Mehta, S.; Charbonneau, F.; Fitchett, D.H.; Marpole, D.G.; Patton, R.; Sniderman, A.D. The clinical consequences of a stiff left atrium. Am. Heart J. 1991, 122, 1184–1191. [Google Scholar] [CrossRef] [PubMed]
- Kim, D.; Seo, J.H.; Choi, K.H.; Lee, S.H.; Choi, J.O.; Jeon, E.S.; Yang, J.H. Prognostic Implications of Left Atrial Stiffness Index in Heart Failure Patients With Preserved Ejection Fraction. JACC Cardiovasc. Imaging 2023, 16, 435–445. [Google Scholar] [CrossRef] [PubMed]
- Tanaka, S.; Imamura, T.; Narang, N.; Fukuda, N.; Ueno, H.; Kinugawa, K. Practical Therapeutic Management of Percutaneous Atrial Septal Defect Closure. Intern. Med. 2022, 61, 15–22. [Google Scholar] [CrossRef] [PubMed]
- Faccini, A.; Butera, G. Atrial septal defect (ASD) device trans-catheter closure: Limitations. J. Thorac. Dis. 2018, 10, S2923–S2930. [Google Scholar] [CrossRef] [PubMed]
- Butera, G.; Romagnoli, E.; Saliba, Z.; Chessa, M.; Sangiorgi, G.; Giamberti, A.; Cappato, R.; Bussadori, C.; Abella, R.; Pelissero, G.; et al. Percutaneous closure of multiple defects of the atrial septum: Procedural results and long-term follow-up. Catheter. Cardiovasc. Interv. 2010, 76, 121–128. [Google Scholar] [CrossRef] [PubMed]
- Hanninen, M.; Kmet, A.; Taylor, D.A.; Ross, D.B.; Rebeyka, I.; Vonder Muhll, I.F. Atrial septal defect closure in the elderly is associated with excellent quality of life, functional improvement, and ventricular remodelling. Can. J. Cardiol. 2011, 27, 698–704. [Google Scholar] [CrossRef] [PubMed]
- Monfredi, O.; Luckie, M.; Mirjafari, H.; Willard, T.; Buckley, H.; Griffiths, L.; Clarke, B.; Mahadevan, V.S. Percutaneous device closure of atrial septal defect results in very early and sustained changes of right and left heart function. Int. J. Cardiol. 2013, 167, 1578–1584. [Google Scholar] [CrossRef] [PubMed]
- Du, Z.D.; Cao, Q.L.; Koenig, P.; Heitschmidt, M.; Hijazi, Z.M. Speed of normalization of right ventricular volume overload after transcatheter closure of atrial septal defect in children and adults. Am. J. Cardiol. 2001, 88, 1450–1453. [Google Scholar] [CrossRef] [PubMed]
- Chigurupati, K.; Reshmi, L.J.; Gadhinglajkar, S.; Venkateshwaran, S.; Sreedhar, R. Pulmonary edema following transcatheter closure of atrial septal defect. Ann. Card. Anaesth. 2015, 18, 441–444. [Google Scholar] [CrossRef] [PubMed]
- Masutani, S.; Taketazu, M.; Ishido, H.; Iwamoto, Y.; Yoshiba, S.; Matsunaga, T.; Kobayashi, T.; Senzaki, H. Effects of age on hemodynamic changes after transcatheter closure of atrial septal defect: Importance of ventricular diastolic function. Heart Vessel. 2012, 27, 71–78. [Google Scholar] [CrossRef]
- Shah, S.J.; Borlaug, B.A.; Chung, E.S.; Cutlip, D.E.; Debonnaire, P.; Fail, P.S.; Gao, Q.; Hasenfuß, G.; Kahwash, R.; Kaye, D.M.; et al. Atrial shunt device for heart failure with preserved and mildly reduced ejection fraction (REDUCE LAP-HF II): A randomised, multicentre, blinded, sham-controlled trial. Lancet 2022, 399, 1130–1140. [Google Scholar] [CrossRef] [PubMed]
- Hasenfuß, G.; Hayward, C.; Burkhoff, D.; Silvestry, F.E.; McKenzie, S.; Gustafsson, F.; Malek, F.; Van der Heyden, J.; Lang, I.; Petrie, M.C.; et al. A transcatheter intracardiac shunt device for heart failure with preserved ejection fraction (REDUCE LAP-HF): A multicentre, open-label, single-arm, phase 1 trial. Lancet 2016, 387, 1298–1304. [Google Scholar] [CrossRef]




| N | 40 |
|---|---|
| Demographics | |
| Age, years | 69 (56, 75) |
| Male, n (%) | 12 (30) |
| Body surface area, m2 | 1.50 (1.43, 1.69) |
| NYHA class I/II/III/IV | 20/16/4/0 |
| AF, n (%) | 10 (25) |
| History of AF ablation, n (%) | 8 (20) |
| Hypertension, n (%) | 16 (40) |
| Diabetes mellitus, n (%) | 4 (10) |
| Ischemic heart disease, n (%) | 2 (5) |
| Medication | |
| Loop diuretics, n (%) | 10 (25) |
| RAS inhibitor, n (%) | 13 (33) |
| β blocker, n (%) | 10 (25) |
| Calcium channel blocker, n (%) | 13 (33) |
| Laboratory data | |
| Serum albumin, g/dL | 4.2 (4.0, 4.5) |
| Serum creatinine, mg/dL | 0.70 (0.61, 0.85) |
| Serum total-bilirubin, mg/dL | 0.7 (0.6, 0.9) |
| Hemoglobin, g/dL | 13.2 (12.7, 14.3) |
| Plasma BNP, pg/mL | 36.1 (16.7, 121.2) |
| Hemodynamic | |
| Systolic blood pressure, mmHg | 129 (108, 138) |
| Diastolic blood pressure, mmHg | 70 (64, 77) |
| Heart rate, bpm | 70 (63, 75) |
| Mean PAP, mmHg | 19 (14, 23) |
| PAWP, mmHg | 9 (7, 11) |
| RAP, mmHg | 6 (4, 9) |
| Qp/Qs | 2.27 (1.96, 2.86) |
| PVR, wood·unit | 1.08 (0.74, 1.66) |
| Echocardiography | |
| LA volume, mL | 45 (34, 54) |
| LV end-diastolic dimension, mm | 39 (37, 43) |
| LV end-systolic dimension, mm | 24 (23, 29) |
| LV ejection fraction, % | 67 (61, 73) |
| Trans-mitral flow | |
| E, cm/s | 62 (54, 71) |
| DcT, ms | 194 (160, 233) |
| e’ (average), cm/s | 8.2 (6.7, 10.1) |
| E/e’ | 7.4 (5.8, 8.3) |
| RV end-diastolic dimension, mm | 41 (37, 44) |
| TAPSE, mm | 26 (20, 29) |
| RV fractional area change, % | 49 (41, 55) |
| RV/LV ratio | 1.04 (0.87, 1.13) |
| LAs (average) strain, % | 31 (23, 40) |
| E/e’ ratio/LAs strain | 0.25 (0.17, 0.34) |
| Odds Ratio | 95% Confidence Interval | p Value | |
|---|---|---|---|
| Demographic data | |||
| Age, per 1 year | 1.37 | 1.06–1.77 | 0.0166 |
| Diabetes | 6.20 | 0.70–54.61 | 0.1003 |
| Hypertension | 2.33 | 0.45–12.23 | 0.3161 |
| Atrial fibrillation | 6.00 | 1.05–34.1 | 0.0421 |
| NYHA, per 1 degree | 4.38 | 1.14–16.8 | 0.0310 |
| Dose of loop diuretics, per 20 mg | 4.50 | 1.31–15.42 | 0.0167 |
| Hemoglobin, per 1 g/dL | 0.41 | 0.20–0.86 | 0.0174 |
| Plasma BNP, per 1 pg/mL | 1.35 | 1.11–1.65 | 0.0028 |
| Echocardiographic data | |||
| LA volume, per 1 mL | 1.06 | 1.01–1.11 | 0.0131 |
| LV end-diastolic dimension, per 1 mm | 0.85 | 0.69–1.05 | 0.1376 |
| LV ejection fraction, per 1% | 0.99 | 0.90–1.09 | 0.8385 |
| RV end-diastolic dimension, per 1 mm | 1.20 | 0.96–1.45 | 0.0564 |
| RV/LV ratio, per 1 | 2.49 | 1.14–5.46 | 0.0216 |
| TAPSE, per 1 mm | 0.76 | 0.64–0.93 | 0.0074 |
| ASD long diameter, per 1 mm | 1.22 | 1.02–1.46 | 0.0273 |
| Hemodynamic data | |||
| Qp, per 1 L/min | 1.09 | 0.81–1.47 | 0.5715 |
| Qs, per 1 L/min | 0.19 | 0.04–0.78 | 0.0218 |
| Qp/Qs, per 0.1 | 7.03 | 1.72–28.81 | 0.0067 |
| Mean BP, per 1 mmHg | 0.98 | 0.93–1.03 | 0.3888 |
| Mean PAP, per 1 mmHg | 1.29 | 1.04–1.59 | 0.0215 |
| Mean PAWP, per 1 mmHg | 1.29 | 1.00–1.65 | 0.0460 |
| Mean RAP, per 1 mmHg | 1.51 | 1.06–2.17 | 0.0238 |
| Others | |||
| Device size, per 1 mm | 1.08 | 0.94–1.23 | 0.2709 |
Disclaimer/Publisher’s Note: The statements, opinions and data contained in all publications are solely those of the individual author(s) and contributor(s) and not of MDPI and/or the editor(s). MDPI and/or the editor(s) disclaim responsibility for any injury to people or property resulting from any ideas, methods, instructions or products referred to in the content. |
© 2024 by the authors. Licensee MDPI, Basel, Switzerland. This article is an open access article distributed under the terms and conditions of the Creative Commons Attribution (CC BY) license (https://creativecommons.org/licenses/by/4.0/).
Share and Cite
Tanaka, S.; Imamura, T.; Fukuda, N.; Ueno, H.; Kinugawa, K. Left Atrial Stiffness Increases after Trans-Catheter Atrial Septal Closure. J. Clin. Med. 2024, 13, 327. https://doi.org/10.3390/jcm13020327
Tanaka S, Imamura T, Fukuda N, Ueno H, Kinugawa K. Left Atrial Stiffness Increases after Trans-Catheter Atrial Septal Closure. Journal of Clinical Medicine. 2024; 13(2):327. https://doi.org/10.3390/jcm13020327
Chicago/Turabian StyleTanaka, Shuhei, Teruhiko Imamura, Nobuyuki Fukuda, Hiroshi Ueno, and Koichiro Kinugawa. 2024. "Left Atrial Stiffness Increases after Trans-Catheter Atrial Septal Closure" Journal of Clinical Medicine 13, no. 2: 327. https://doi.org/10.3390/jcm13020327
APA StyleTanaka, S., Imamura, T., Fukuda, N., Ueno, H., & Kinugawa, K. (2024). Left Atrial Stiffness Increases after Trans-Catheter Atrial Septal Closure. Journal of Clinical Medicine, 13(2), 327. https://doi.org/10.3390/jcm13020327

