Correlation Between Thyroid Function and Ambulatory Blood Pressure Monitoring
Abstract
1. Introduction
2. Material and Methods
2.1. Biochemical and Hormone Assays
2.2. ABPM
2.3. Definition of Cardiovascular Risk Factors
2.4. Statistics
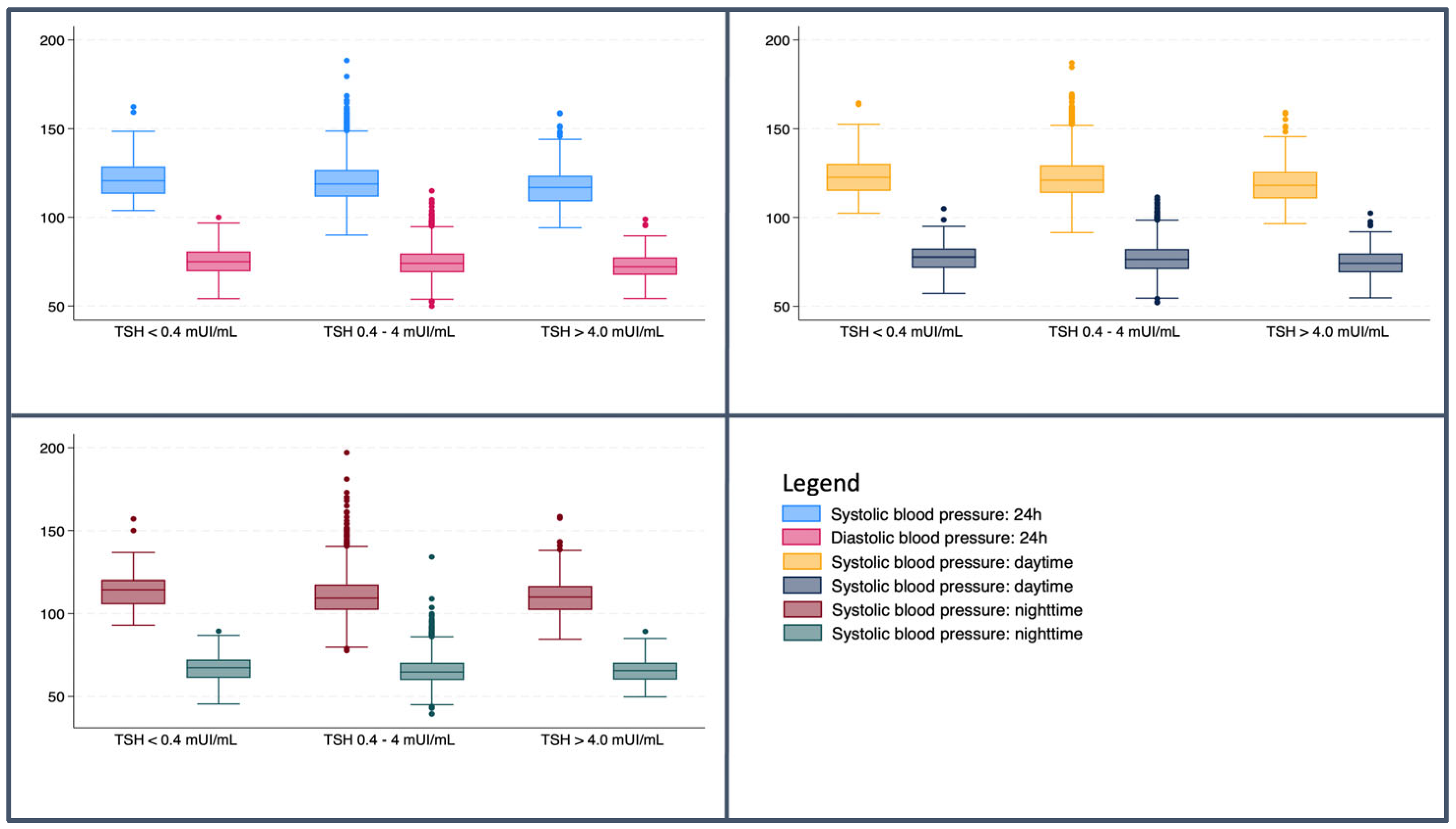
3. Results
4. Discussion
5. Conclusions
Author Contributions
Funding
Institutional Review Board Statement
Informed Consent Statement
Data Availability Statement
Conflicts of Interest
References
- Cappola, A.R.; Ladenson, P.W. Hypothyroidism and atherosclerosis. J. Clin. Endocrinol. Metab. 2003, 88, 2438–2444. [Google Scholar] [CrossRef]
- Biondi, B. Mechanisms in endocrinology: Heart failure and thyroid dysfunction. Eur. J. Endocrinol. 2012, 167, 609–618. [Google Scholar] [CrossRef]
- Parle, J.V.; Maisonneuve, P.; Sheppard, M.C.; Boyle, P.; Franklyn, J.A. Prediction of all-cause and cardiovascular mortality in elderly people from one low serum thyrotropin result: A 10-year cohort study. Lancet 2001, 358, 861–865. [Google Scholar] [CrossRef]
- Sawin, C.T.; Geller, A.; Wolf, P.A.; Belanger, A.J.; Baker, E.; Bacharach, P.; Wilson, P.W.; Benjamin, E.J.; D’Agostino, R.B. Low serum thyrotropin concentrations as a risk factor for atrial fibrillation in older persons. N. Engl. J. Med. 1994, 331, 1249–1252. [Google Scholar] [CrossRef]
- Delitala, A.P.; Pilia, M.G.; Ferreli, L.; Loi, F.; Curreli, N.; Balaci, L.; Schlessinger, D.; Cucca, F. Prevalence of unknown thyroid disorders in a Sardinian cohort. Eur. J. Endocrinol. 2014, 171, 143–149. [Google Scholar] [CrossRef]
- Ross, D.S.; Burch, H.B.; Cooper, D.S.; Greenlee, M.C.; Laurberg, P.; Maia, A.L.; Rivkees, S.A.; Samuels, M.; Sosa, J.A.; Stan, M.N.; et al. 2016 American Thyroid Association Guidelines for Diagnosis and Management of Hyperthyroidism and Other Causes of Thyrotoxicosis. Thyroid 2016, 26, 1343–1421. [Google Scholar] [CrossRef]
- Jonklaas, J.; Bianco, A.C.; Bauer, A.J.; Burman, K.D.; Cappola, A.R.; Celi, F.S.; Cooper, D.S.; Kim, B.W.; Peeters, R.P.; Rosenthal, M.S.; et al. Guidelines for the treatment of hypothyroidism: Prepared by the american thyroid association task force on thyroid hormone replacement. Thyroid 2014, 24, 1670–1751. [Google Scholar] [CrossRef] [PubMed]
- Kim, J.; Prasitlumkum, N.; Randhawa, S.; Banerjee, D. Association between Subclinical Hypothyroidism and Incident Hypertension in Women: A Systematic Review and Meta-Analysis. J. Clin. Med. 2021, 10, 3318. [Google Scholar] [CrossRef] [PubMed]
- Delitala, A.P.; Scuteri, A.; Fiorillo, E.; Lakatta, E.G.; Schlessinger, D.; Cucca, F. Role of Adipokines in the Association between Thyroid Hormone and Components of the Metabolic Syndrome. J. Clin. Med. 2019, 8, 764. [Google Scholar] [CrossRef] [PubMed]
- Delitala, A.P.; Steri, M.; Pilia, M.G.; Dei, M.; Lai, S.; Delitala, G.; Schlessinger, D.; Cucca, F. Menopause modulates the association between thyrotropin levels and lipid parameters: The SardiNIA study. Maturitas 2016, 92, 30–34. [Google Scholar] [CrossRef]
- Volzke, H.; Ittermann, T.; Schmidt, C.O.; Dorr, M.; John, U.; Wallaschofski, H.; Stricker, B.H.; Felix, S.B.; Rettig, R. Subclinical hyperthyroidism and blood pressure in a population-based prospective cohort study. Eur. J. Endocrinol. 2009, 161, 615–621. [Google Scholar] [CrossRef] [PubMed]
- Ittermann, T.; Thamm, M.; Wallaschofski, H.; Rettig, R.; Volzke, H. Serum thyroid-stimulating hormone levels are associated with blood pressure in children and adolescents. J. Clin. Endocrinol. Metab. 2012, 97, 828–834. [Google Scholar] [CrossRef] [PubMed]
- Zhang, J.; Huang, C.; Meng, Z.; Fan, Y.; Yang, Q.; Zhang, W.; Gao, Y.; Yang, Z.; Cai, H.; Bian, B.; et al. Gender-Specific Differences on the Association of Hypertension with Subclinical Thyroid Dysfunction. Int. J. Endocrinol. 2019, 2019, 6053068. [Google Scholar] [CrossRef]
- Abasilim, C.; Persky, V.; Sargis, R.M.; Argos, M.; Daviglus, M.; Freels, S.; Cai, J.; Tsintsifas, K.; Isasi, C.R.; Peters, B.A.; et al. Thyroid-related Hormones and Hypertension Incidence in Middle-Aged and Older Hispanic/Latino Adults: The HCHS/SOL Study. J. Endocr. Soc. 2024, 8, bvae088. [Google Scholar] [CrossRef]
- Birck, M.G.; Janovsky, C.; Goulart, A.C.; Meneghini, V.; Pititto, B.A.; Sgarbi, J.A.; Teixeira, P.F.S.; Bensenor, I.M. Associations of TSH, free T3, free T4, and conversion ratio with incident hypertension: Results from the prospective Brazilian Longitudinal Study of Adult Health (ELSA-Brasil). Arch. Endocrinol. Metab. 2024, 68, e230301. [Google Scholar] [CrossRef]
- Cai, P.; Peng, Y.; Chen, Y.; Wang, Y.; Wang, X. Blood pressure characteristics of subclinical hypothyroidism: An observation study combined with office blood pressure and 24-h ambulatory blood pressure. J. Hypertens. 2021, 39, 453–460. [Google Scholar] [CrossRef]
- Kwon, B.J.; Roh, J.W.; Lee, S.H.; Lim, S.M.; Park, C.S.; Kim, D.B.; Jang, S.W.; Chang, K.; Kim, H.Y.; Ihm, S.H. A high normal thyroid-stimulating hormone is associated with arterial stiffness, central systolic blood pressure, and 24-hour systolic blood pressure in males with treatment-naive hypertension and euthyroid. Int. J. Cardiol. 2014, 177, 949–956. [Google Scholar] [CrossRef] [PubMed]
- Kohno, I.; Iwasaki, H.; Okutani, M.; Mochizuki, Y.; Sano, S.; Satoh, Y.; Ishihara, T.; Ishii, H.; Ijiri, H.; Komori, S.; et al. Circadian blood pressure and heart rate profiles in normotensive patients with mild hyperthyroidism. Chronobiol. Int. 1998, 15, 337–347. [Google Scholar] [CrossRef]
- Iglesias, P.; Acosta, M.; Sanchez, R.; Fernandez-Reyes, M.J.; Mon, C.; Diez, J.J. Ambulatory blood pressure monitoring in patients with hyperthyroidism before and after control of thyroid function. Clin. Endocrinol. 2005, 63, 66–72. [Google Scholar] [CrossRef]
- Adrees, M.; Gibney, J.; El-Saeity, N.; Boran, G. Effects of 18 months of L-T4 replacement in women with subclinical hypothyroidism. Clin. Endocrinol. 2009, 71, 298–303. [Google Scholar] [CrossRef]
- Zhou, Y.; Wang, Y.; Yu, T.; Li, Y.; Mi, M.; Su, J.; Ge, J. Subclinical hypothyroidism during pregnancy and the impact of levothyroxine therapy on pregnancy outcomes in women. PeerJ 2025, 13, e19343. [Google Scholar] [CrossRef]
- Goodarzi-Khoigani, M.; Aminorroaya, A.; Mohammadi, R. Effect of Levothyroxine Therapy on Gestational Hypertension and Pre-Eclampsia in Pregnant Women with Subclinical Hypothyroidism, Hypothyroidism, and Thyroid Autoimmunity: A Systematic Review and Meta-analysis. Cardiovasc. Hematol. Disord. Drug Targets 2025, 25, 2–20. [Google Scholar] [CrossRef] [PubMed]
- Abdi, H.; Gharibzadeh, S.; Tasdighi, E.; Amouzegar, A.; Mehran, L.; Tohidi, M.; Azizi, F. Associations Between Thyroid and Blood Pressure in Euthyroid Adults: A 9-Year Longitudinal Study. Horm. Metab. Res. 2018, 50, 236–241. [Google Scholar] [CrossRef] [PubMed]
- Cai, P.; Peng, Y.; Chen, Y.; Li, L.; Chu, W.; Wang, Y.; Wang, X. Association of thyroid function with white coat hypertension and sustained hypertension. J. Clin. Hypertens. 2019, 21, 674–683. [Google Scholar] [CrossRef] [PubMed]
- Russell, W.; Harrison, R.F.; Smith, N.; Darzy, K.; Shalet, S.; Weetman, A.P.; Ross, R.J. Free triiodothyronine has a distinct circadian rhythm that is delayed but parallels thyrotropin levels. J. Clin. Endocrinol. Metab. 2008, 93, 2300–2306. [Google Scholar] [CrossRef]
- Bassett, J.H.; Harvey, C.B.; Williams, G.R. Mechanisms of thyroid hormone receptor-specific nuclear and extra nuclear actions. Mol. Cell Endocrinol. 2003, 213, 1–11. [Google Scholar] [CrossRef]
- Liu, C.; Lv, H.; Li, Q.; Fu, S.; Tan, J.; Wang, C.; Wang, X.; Ma, Y. Effect of thyrotropin suppressive therapy on heart rate variability and QT dispersion in patients with differentiated thyroid cancer. Medicine 2020, 99, e21190. [Google Scholar] [CrossRef]

| Variable | Female | Male | p Value | Total |
| n | 1862 | 1415 | 3277 | |
| Age, yrs | 48.3 (36.4–61.0) | 51.8 (39.8–65.2) | <0.001 | 49.7 (38.0–63.0) |
| BMI, Kg/m2 | 24.2 (21.4–27.8) | 26.9 (24.5–29.6) | <0.001 | 25.6 (22.6–28.8) |
| TSH, uUI/mL | 1.68 (1.15–2.47) | 1.39 (0.96–1.99) | <0.001 | 1.53 (1.06–2.28) |
| FT4, ng/dL | 1.07 (0.97–1.23) | 1.08 (0.98–1.23) | 0.216 | 1.08 (0.97–1.23) |
| SBP, mmHg | 118 (109–131) | 128 (119–140) | <0.001 | 123 (112–136) |
| DBP, mmHg | 74 (69–80) | 79 (73–87) | <0.001 | 76 (70–83) |
| Total cholesterol, mg/dL | 216 (190–243) | 216 (187–241) | 0.266 | 216 (189–242) |
| LDL, mg/dL | 133 (111–157) | 138 (114–162) | 0.007 | 135 (112–158) |
| HDL, mg/dL | 60 (52–69) | 49 (42–57) | <0.001 | 55 (47–65) |
| Triglycerides, mg/dL | 88 (65–122) | 111 (81–160) | <0.001 | 97 (71–137) |
| Diabetes, n (%) | 95 (5.1%) | 118 (8.3) | <0.001 | 213 (6.5%) |
| Hypertension, n (%) | 443 (23.8%) | 556 (39.3%) | <0.001 | 999 (30.5%) |
| Dyslipidemia, n (%) | 520 (27.9%) | 476 (33.6%) | <0.001 | 996 (30.4%) |
| CV event, n (%) | 29 (1.6%) | 49 (3.5%) | <0.001 | 78 (2.4%) |
| Smoke, n (%) | 254 (13.6%) | 320 (22.6%) | <0.001 | 574 (17.5%) |
| Menopause, n (%) | 858 (46.1%) | - | - | - |
| ABPM parameter | Female | Male | p Value | Total |
| 24 h | ||||
| SBP, mmHg | 116.9 ± 11 | 123.8 ± 11.3 | <0.001 | 119.9 ± 11.6 |
| DBP, mmHg | 72.9 ± 7.41 | 76.5 ± 8.05 | <0.001 | 74.5 ± 7.91 |
| MAP, mmHg | 88.3 ± 8.12 | 92.5 ± 8.53 | <0.001 | 90.1 ± 8.56 |
| HR, bpm | 77.3 ± 8.51 | 73.0 ± 8.69 | <0.001 | 75.5 ± 8.85 |
| Daytime | ||||
| SBP, mmHg | 119.1 ± 11.3 | 126.1 ± 11.5 | <0.001 | 122.1 ± 11.9 |
| DBP, mmHg | 75.1 ± 7.71 | 78.8 ± 8.4 | <0.001 | 76.7 ± 8.23 |
| MAP, mmHg | 90.5 ± 8.41 | 94.8 ± 8.85 | <0.001 | 92.4 ± 8.86 |
| HR, bpm | 79.4 ± 8.9 | 74.9 ± 9.13 | <0.001 | 77.5 ± 9.28 |
| Nighttime | ||||
| SBP, mmHg | 107.5 ± 14.9 | 113.5 ± 16.0 | <0.001 | 110.1 ± 15.7 |
| DBP, mmHg | 63.6 ± 9.38 | 67.0 ± 10.6 | <0.001 | 65.1 ± 10.1 |
| MAP, mmHg | 78.8 ± 10.9 | 82.8 ± 12.0 | <0.001 | 80.6 ± 11.6 |
| HR, bpm | 68.5 ± 10.5 | 65.3 ± 10.7 | <0.001 | 67.1 ± 10.7 |
| ABPM parameter | Females | Males | ||
| rho | p Value | rho | p Value | |
| 24 h * | ||||
| SBP | −0.061 | 0.004 | −0.070 | 0.008 |
| DBP | −0.016 | 0.454 | −0.055 | 0.033 |
| Daytime * | ||||
| SBP | −0.066 | 0.002 | −0.080 | 0.002 |
| DBP | −0.026 | 0.232 | −0.060 | 0.021 |
| Nighttime * | ||||
| SBP | −0.036 | 0.800 | 0.022 | 0.401 |
| DBP | 0.029 | 0.001 | 0.030 | 0.254 |
| Dependent Variable | Coeff | s.e. | t | p Value |
| 24 h * | ||||
| SBP | −0.041 | 0.17 | −0.23 | 0.816 |
| DBP | −0.073 | 0.13 | −0.58 | 0.559 |
| Daytime * | ||||
| SBP | −0.113 | 0.18 | −0.63 | 0.527 |
| DBP | −0.140 | 0.13 | −1.08 | 0.281 |
| Nighttime * | ||||
| SBP | 0.188 | 0.19 | 0.96 | 0.338 |
| DBP | 0.197 | 0.13 | 1.47 | 0.141 |
| Dependent Variable | Coeff | s.e. | t | p Value |
| 24 h * | ||||
| SBP | −0.141 | 0.12 | −1.19 | 0.234 |
| DBP | −0.192 | 0.09 | −2.24 | 0.025 |
| Daytime * | ||||
| SBP | −0.166 | 0.12 | −1.36 | 0.173 |
| DBP | −0.021 | 0.09 | −2.36 | 0.018 |
| Nighttime * | ||||
| SBP | −0.069 | 0.13 | −0.52 | 0.601 |
| DBP | −0.142 | 1.00 | −1.49 | 0.137 |
Disclaimer/Publisher’s Note: The statements, opinions and data contained in all publications are solely those of the individual author(s) and contributor(s) and not of MDPI and/or the editor(s). MDPI and/or the editor(s) disclaim responsibility for any injury to people or property resulting from any ideas, methods, instructions or products referred to in the content. |
© 2025 by the authors. Licensee MDPI, Basel, Switzerland. This article is an open access article distributed under the terms and conditions of the Creative Commons Attribution (CC BY) license (https://creativecommons.org/licenses/by/4.0/).
Share and Cite
Profili, N.I.; Fiorillo, E.; Marongiu, M.; Cucca, F.; Delitala, A.P. Correlation Between Thyroid Function and Ambulatory Blood Pressure Monitoring. J. Clin. Med. 2025, 14, 6580. https://doi.org/10.3390/jcm14186580
Profili NI, Fiorillo E, Marongiu M, Cucca F, Delitala AP. Correlation Between Thyroid Function and Ambulatory Blood Pressure Monitoring. Journal of Clinical Medicine. 2025; 14(18):6580. https://doi.org/10.3390/jcm14186580
Chicago/Turabian StyleProfili, Nicia I., Edoardo Fiorillo, Michele Marongiu, Francesco Cucca, and Alessandro P. Delitala. 2025. "Correlation Between Thyroid Function and Ambulatory Blood Pressure Monitoring" Journal of Clinical Medicine 14, no. 18: 6580. https://doi.org/10.3390/jcm14186580
APA StyleProfili, N. I., Fiorillo, E., Marongiu, M., Cucca, F., & Delitala, A. P. (2025). Correlation Between Thyroid Function and Ambulatory Blood Pressure Monitoring. Journal of Clinical Medicine, 14(18), 6580. https://doi.org/10.3390/jcm14186580

