The Association Between Significant Mitral Regurgitation and Atrial Fibrillation Recurrence Post-Ablation
Abstract
1. Introduction
2. Methods
2.1. Data Collection
2.2. Echocardiography
2.3. Study Endpoint
2.4. Statistical Methods
3. Results
3.1. Baseline Characteristics and Their Association with AF Recurrence
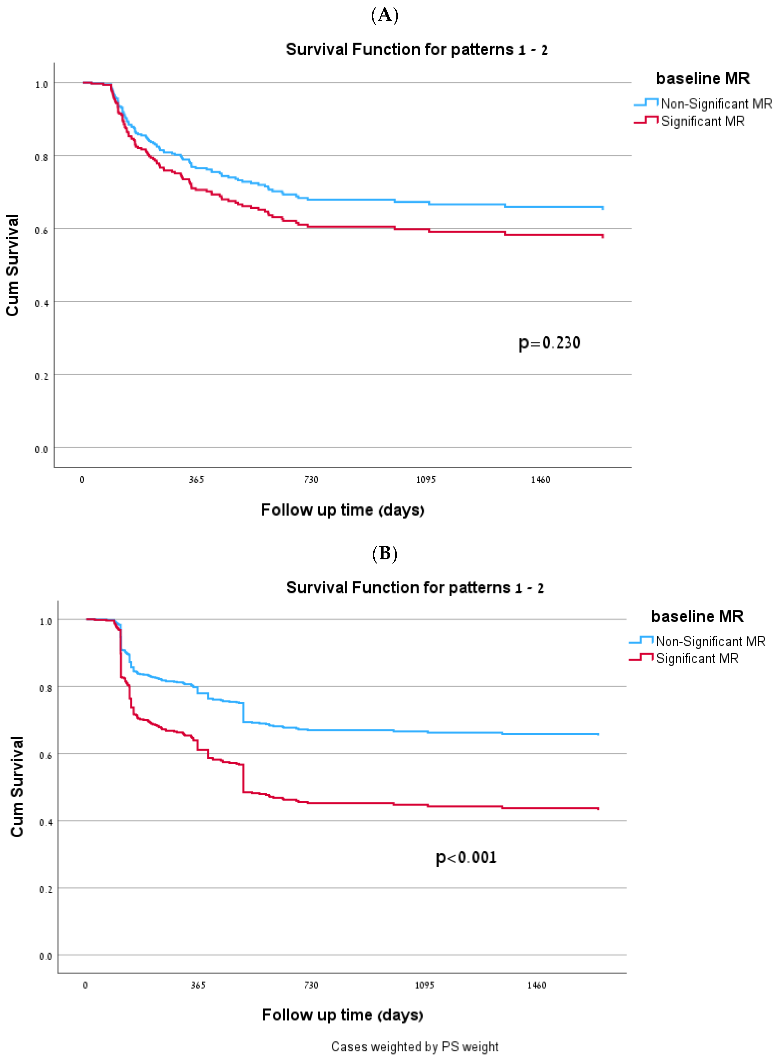
3.2. Association Between MR Severity and AF Recurrence, Based on IPTW Pseudo-Population
4. Discussion
Limitations
5. Conclusions
Supplementary Materials
Author Contributions
Funding
Institutional Review Board Statement
Informed Consent Statement
Data Availability Statement
Conflicts of Interest
References
- Schnabel, R.B.; Yin, X.; Gona, P.; Larson, M.G.; Beiser, S.; McManus, D.; Newton, C.; Lubitz, A.; Magnani, W.; Ellinor, T.; et al. 50 year trends in atrial fibrillation prevalence, incidence, risk factors, and mortality in the Framingham Heart Study: A cohort study. Lancet 2015, 386, 154–162. [Google Scholar] [CrossRef]
- Chugh, S.S.; Havmoeller, R.; Narayanan, K.; Singh, D.; Rienstra, M.; Benjamin, E.J.; Gillum, R.F.; Kim, H.; McAnulty, J.H., Jr.; Zheng, J.; et al. Worldwide epidemiology of atrial fibrillation: A Global Burden of Disease 2010 Study. Circulation 2014, 129, 837–847. [Google Scholar] [CrossRef]
- Sheikh, A.; Patel, N.J.; Nalluri, N.; Agnihotri, K.; Spagnola, J.; Patel, A.; Asti, D.; Kanotra, R.; Khan, H.; Savani, C.; et al. Trends in Hospitalization for Atrial Fibrillation: Epidemiology, Cost, and Implications for the Future. Prog. Cardiovasc. Dis. 2015, 58, 105–116. [Google Scholar] [CrossRef] [PubMed]
- Singh, J.P.; Evans, J.C.; Levy, D.; Larson, M.G.; Freed, L.A.; Fuller, D.L.; Lehman, B.; Benjamin, E.J. Prevalence and clinical determinants of mitral, tricuspid, and aortic regurgitation (the Framingham Heart Study). Am. J. Cardiol. 1999, 83, 897–902. [Google Scholar] [CrossRef] [PubMed]
- Jones, E.C.; Devereux, R.B.; Roman, M.J.; Liu, J.E.; Fishman, D.; Lee, E.T.; Welty, T.K.; Fabsitz, R.R.; Howard, B.V. Prevalence and correlates of mitral regurgitation in a population-based sample (the Strong Heart Study). Am. J. Cardiol. 2001, 87, 298–304. [Google Scholar] [CrossRef]
- Goliasch, G.; Bartko, P.E.; Pavo, N.; Neuhold, S.; Wurm, R.; Mascherbauer, J.; Lang, I.M.; Strunk, G.; Hülsmann, M. Refining the prognostic impact of functional mitral regurgitation in chronic heart failure. Eur. Heart J. 2017, 39, 39–46. [Google Scholar] [CrossRef] [PubMed]
- Messika-Zeitoun, D.; Bellamy, M.; Avierinos, J.-F.; Breen, J.; Eusemann, C.; Rossi, A.; Behrenbeck, T.; Scott, C.; Tajik, J.A.; Enriquez-Sarano, M. Left atrial remodelling in mitral regurgitation—Methodologic approach, physiological determinants, and outcome implications: A prospective quantitative Doppler-echocardiographic and electron beam-computed tomographic study. Eur. Heart J. 2007, 28, 1773–1781. [Google Scholar] [CrossRef]
- Psaty, B.M.; Manolio, T.A.; Kuller, L.H.; Kronmal, R.A.; Cushman, M.; Fried, L.P.; White, R.; Furberg, C.D.; Rautaharju, P.M. Incidence of and Risk Factors for Atrial Fibrillation in Older Adults. Circulation 1997, 96, 2455–2461. [Google Scholar] [CrossRef]
- Gertz, Z.M.; Raina, A.; Mountantonakis, S.E.; Zado, E.S.; Callans, D.J.; Marchlinski, F.E.; Keane, M.G.; Silvestry, F.E. The impact of mitral regurgitation on patients undergoing catheter ablation of atrial fibrillation. Europace 2011, 13, 1127–1132. [Google Scholar] [CrossRef]
- Yafasov, M.; Olsen, F.J.; Shabib, A.; Skaarup, K.G.; Lassen, M.C.H.; Johansen, N.D.; Jensen, M.T.; Jensen, G.B.; Schnohr, P.; Møgelvang, R.; et al. Even mild mitral regurgitation is associated with incident atrial fibrillation in the general population. Eur. Heart J. Cardiovasc. Imaging 2024, 25, 579–586. [Google Scholar] [CrossRef]
- Arora, S.; Brown, Z.D.; Sivaraj, K.; Hendrickson, M.J.; Mazzella, A.J.; Chang, P.P.; Vaduganathan, M.; Qamar, A.; Gehi, A.K.; Pandey, A.; et al. The Relationship Between Atrial Fibrillation, Mitral Regurgitation, and Heart Failure Subtype: The ARIC Study. J. Card. Fail. 2022, 28, 883–892. [Google Scholar] [CrossRef]
- Naser, J.A.; Michelena, H.I.; Lin, G.; Scott, C.G.; Lee, E.; Kennedy, A.M.; Noseworthy, P.A.; Pellikka, P.A.; Nkomo, V.T.; Pislaru, S.V. Incidence, risk factors, and outcomes of atrial functional mitral regurgitation in patients with atrial fibrillation or sinus rhythm. Eur. Heart J. Cardiovasc. Imaging 2023, 24, 1450–1457. [Google Scholar] [CrossRef]
- Abe, Y.; Takahashi, Y.; Shibata, T. Looking into the Mechanistic Link Between Mitral Regurgitation and Atrial Fibrillation. Cardiol. Clin. 2021, 39, 281–288. [Google Scholar] [CrossRef]
- Qiao, Y.; Wu, L.; Hou, B.; Sun, W.; Zheng, L.; Ding, L.; Chen, G.; Zhang, S.; Yao, Y. Functional mitral regurgitation. Medicine 2016, 95, e4333. [Google Scholar] [CrossRef]
- Zhao, D.; Zhang, F.; Liu, X.; Li, M.; Zhang, L.; Hu, J.; Li, F.; Wu, J. Efficacy of catheter ablation for atrial fibrillation in patients with significant functional mitral regurgitation. Medicine 2023, 102, e33231. [Google Scholar] [CrossRef]
- Praz, F.; Borger, M.A.; Lanz, J.; Marin-Cuartas, M.; Abreu, A.; Adamo, M.; Marsan, N.A.; Barili, F.; Bonaros, N.; Cosyns, B.; et al. 2025 ESC/EACTS Guidelines for the management of valvular heart disease: Developed by the task force for the management of valvular heart disease of the European Society of Cardiology (ESC) and the European Association for Cardio-Thoracic Surgery (EACTS). Eur. Heart J. 2025, 67, ezaf276. [Google Scholar] [CrossRef]
- Stone, G.W.; Lindenfeld, J.; Abraham, W.T.; Kar, S.; Lim, D.S.; Mishell, J.M.; Whisenant, B.; Grayburn, P.A.; Rinaldi, M.; Kapadia, S.R.; et al. Transcatheter Mitral-Valve Repair in Patients with Heart Failure. N. Engl. J. Med. 2018, 379, 2307–2318. [Google Scholar] [CrossRef]
- Heinze, G.; Jüni, P. An overview of the objectives of and the approaches to propensity score analyses. Eur. Heart J. 2011, 32, 1704–1708. [Google Scholar] [CrossRef]
- Austin, P.C.; Stuart, E.A. Moving towards best practice when using inverse probability of treatment weighting (IPTW) using the propensity score to estimate causal treatment effects in observational studies. Stat. Med. 2015, 34, 3661–3679. [Google Scholar] [CrossRef]
- Drukker, L.; Shen, O.; Rottenstreich, M.; Farkash, R.; Samueloff, A.; Sela, H.Y. To drain or not to drain: Intraperitoneal closed-suction drainage placement during cesarean delivery. J. Matern. Fetal Neonatal Med. 2019, 34, 3021–3028. [Google Scholar] [CrossRef]
- Njoku, A.; Kannabhiran, M.; Arora, R.; Reddy, P.; Gopinathannair, R.; Lakkireddy, D.; Dominic, P. Left atrial volume predicts atrial fibrillation recurrence after radiofrequency ablation: A meta-analysis. Europace 2018, 20, 33–42. [Google Scholar] [CrossRef]
- Vlachakis, P.K.; Apostolos, A.; Theofilis, P.; Karakasis, P.; Koniari, I.; Kordalis, A.; Leventopoulos, G.; Drakopoulou, M.; Leontsinis, I.; Tousoulis, D.; et al. Atrial Fibrillation Recurrence After Catheter Ablation: The Puzzle We Have and the Pieces We Need. Pacing Clin. Electrophysiol. 2025, 48, 985–998. [Google Scholar] [CrossRef]
- Yao, Y.; Zhang, Z.; Xue, J.; Chen, Z.; Cai, X.; Han, J.; Zhou, X.; Luo, W.; Long, Z.; Lu, Z.; et al. Echocardiographic Mitral Annular Calcification is Associated with Atrial Fibrillation Recurrence After Catheter Ablation. Am. J. Cardiol. 2023, 193, 55–60. [Google Scholar] [CrossRef]
- Takada, H.; Tanaka, H.; Yokota, S.; Mukai, J.; Suto, M.; Soga, F.; Hatani, Y.; Matsuzoe, H.; Hatazawa, K.; Matsumoto, K.; et al. Association of Relatively Short Posterior Mitral Leaflet with Mitral Regurgitation in Patients with Atrial Fibrillation. Circ. J. Off. J. Jpn. Circ. Soc. 2019, 83, 2312–2319. [Google Scholar] [CrossRef]
- Nakamura, K.; Takagi, T.; Kogame, N.; Asami, M.; Toyoda, Y.; Enomoto, Y.; Hara, H.; Moroi, M.; Noro, M.; Sugi, K.; et al. Impact of atrial mitral and tricuspid regurgitation on atrial fibrillation recurrence after ablation. J. Electrocardiol. 2021, 66, 114–121. [Google Scholar] [CrossRef]
- Morishima, I.; Okumura, K.; Morita, Y.; Kanzaki, Y.; Takagi, K.; Yoshida, R.; Nagai, H.; Ikai, Y.; Furui, K.; Yoshioka, N.; et al. High-Normal Thyroid-Stimulating Hormone Shows a Potential Causal Association with Arrhythmia Recurrence After Catheter Ablation of Atrial Fibrillation. J. Am. Heart Assoc. 2018, 17, e009158. [Google Scholar] [CrossRef] [PubMed]
- Li, Z.; Liu, X.X.; Huang, Q.; Song, Y.Q.; Guo, X.Y.; Ma, C.S. Measurement of Serum Ultra-Sensitive Thyroid-Stimulating Hormone Levels to Determine the Risk for Recurrence of Atrial Fibrillation Following Catheter Ablation in 575 Patients from a Single Center. Med. Sci. Monit. Int. Med. J. Exp. Clin. Res. 2023, 29, e937958-1–e937958-7. [Google Scholar] [CrossRef]
- Hang, Y.; Dedkov, E.I.; Teplitsky, D.; Weltman, N.Y.; Pol, C.J.; Rajagopalan, V.; Lee, B.; Gerdes, A.M. Both hypothyroidism and hyperthyroidism increase atrial fibrillation inducibility in rats. Circ. Arrhythm. Electrophysiol. 2013, 6, 952–959. [Google Scholar]
- Pierucci, N.; Mariani, M.V.; Iannetti, G.; Maffei, L.; Coluccio, A.; Laviola, D.; Palombi, M.; Trivigno, S.; Spadafora, L.; Chourda, E.; et al. Atrial cardiomyopathy: New pathophysiological and clinical aspects. Minerva Cardiol. Angiol. 2025; online ahead of print. [Google Scholar]
- Goette, A.; Corradi, D.; Dobrev, D.; Aguinaga, L.; Cabrera, J.-A.; Chugh, S.S.; de Groot, J.R.; Soulat-Dufour, L.; Fenelon, G.; Hatem, S.N.; et al. Atrial cardiomyopathy revisited- evolution of a concept: A clinical consensus statement of the European Heart Rhythm Association (EHRA) of the ESC, the Heart Rhythm Society (HRS), the Asian Pacific Heart Rhythm Society, and the Latin American Heart Rhythm Society. Europace 2024, 26, euae204. [Google Scholar]
- Nattel, S.; Harada, M. Atrial remodeling and atrial fibrillation: Recent advances and translational perspectives. J. Am. Coll. Cardiol. 2014, 63, 2335–2344. [Google Scholar] [CrossRef]


| Variable | Overall Population (n = 444) | AF Recurrence (n = 104) | No AF Recurrence (n = 340) | p Value |
|---|---|---|---|---|
| Clinical parameters | ||||
| Age (y) | 64 ± 12 | 63 ± 12 | 64 ± 12 | 0.743 |
| Gender (male) | 267 (60%) | 66 (63.5%) | 201 (59.1%) | 0.429 |
| Paroxysmal AF * | 251 (59.2%) | 53 (53.5%) | 198 (60.9%) | 0.191 |
| Ablation technique & post-ablation F/U ** | ||||
| Cryoballoon ablation | 318 (71.6%) | 76 (73.1%) | 242 (71.2%) | 0.706 |
| 24-h ECG Holter ** | 3.8 [2.9–4.2] | 3.7 [2.6–4.1] | 3.9 [2.7–4.4] | 0.963 |
| Comorbidities | ||||
| IHD | 63 (15%) | 16 (15.4%) | 47 (16.8%) | 0.682 |
| Hypertension | 262 (61%) | 61 (58.7%) | 201 (59.1%) | 0.953 |
| Diabetes mellitus | 88 (20%) | 16 (15.4%) | 72 (21.2%) | 0.197 |
| Smoker | 54 (13%) | 8 (7.7%) | 46 (13.5%) | 0.112 |
| Hyperlipidemia | 133 (31%) | 24 (23.1%) | 109 (32.1%) | 0.069 |
| CHF | 49 (11%) | 11 (10.6%) | 38 (11.2%) | 0.870 |
| TIA/Stroke | 35 (8%) | 8 (7.7%) | 27 (7.9%) | 0.939 |
| CHA2DS2-VASc Score ≥ 3 | 163 (38%) | 38 (36.5%) | 125 (36.8%) | 0.979 |
| Medications at discharge | ||||
| Beta blockers | 222 (51%) | 52 (52%) | 170 (50%) | 0.982 |
| Diuretics | 74 (17%) | 20 (19.2%) | 54 (15.9%) | 0.415 |
| ACEi | 81 (19%) | 18 (17.3%) | 63 (18.5%) | 0.785 |
| ARBs | 40 (9%) | 8 (7.7%) | 32 (9.4%) | 0.596 |
| MRA | 50 (13%) | 11 (10.6%) | 39 (11.5%) | 0.955 |
| Antiarrhythmic class III | 25 (6%) | 7 (6.7%) | 18 (5.3%) | 0.480 |
| Antiarrhythmic class Ic | 83 (21%) | 10 (9.6%) | 73 (21.5%) | 0.011 |
| Follow-up (days) | 574 (127–1515) | 869 (537–1503) | 452 (76–1458) | <0.001 |
| TTE parameters | ||||
| MR severity | 0.843 | |||
| None | 86 (18.3%) | 17 (16.3%) | 69 (20.3%) | |
| Mild | 187 (42.1%) | 45 (43.3%) | 142 (41.7%) | |
| Mild–moderate | 89 (20%) | 19 (18.3%) | 70 (20.6%) | |
| Moderate | 54 (12.2%) | 14 (13.5%) | 40 (11.8%) | |
| Moderate–severe | 22 (5%) | 7 (6.7%) | 15 (4.4%) | |
| Severe | 6 (1.3%) | 2 (1.9%) | 4 (1.2%) | |
| ‘Significant’ MR (moderate– severe and severe) | 28 (6.3%) | 9 (8.6%) | 19 (5.6%) | 0.130 |
| TTE timing before ablation (days) | 4 (1–42) | 3 (1–29) | 4 (1–42) | 0.601 |
| LA short axis (cm) | 4.5 [4.1–4.9] | 4.7 [4.0–5.0] | 4.5 [4.1–4.9] | 0.367 |
| EF | 0.574 | |||
| <40% | 37 (10%) | 9 (8.6%) | 28 (8.2%) | |
| 40–50% | 50 (13%) | 14 (13.4%) | 36 (10.6%) | |
| 50%≤ | 298 (77%) | 64 (61.5%) | 234 (68.8%) | |
| Variable | HR | 95% Confidence Interval | p Value |
|---|---|---|---|
| Significant MR | 2.41 | 1.80–3.22 | <0.001 |
| Antiarrhythmic class Ic | 0.17 | 0.10–0.33 | <0.001 |
| Age (y) | 0.97 | 0.95–0.98 | <0.001 |
| Gender (female) | 0.68 | 0.48–0.95 | 0.026 |
| Variable | HR | 95% Confidence Interval | p Value |
|---|---|---|---|
| Significant MR | 2.11 | 1.43–5.73 | 0.003 |
| LA short axis (≥47 mm) * | 1.71 | 1.03–2.80 | 0.058 |
| Persistent AF versus PAF | 1.36 | 0.78–3.57 | 0.142 |
| EF < 50% | 2.26 | 0.93–5.51 | 0.075 |
| Antiarrhythmic class Ic | 0.39 | 0.11–0.95 | 0.144 |
| Age (y) | 0.96 | 0.94–0.98 | 0.057 |
| Gender | 0.53 | 0.18–1.03 | 0.153 |
Disclaimer/Publisher’s Note: The statements, opinions and data contained in all publications are solely those of the individual author(s) and contributor(s) and not of MDPI and/or the editor(s). MDPI and/or the editor(s) disclaim responsibility for any injury to people or property resulting from any ideas, methods, instructions or products referred to in the content. |
© 2025 by the authors. Licensee MDPI, Basel, Switzerland. This article is an open access article distributed under the terms and conditions of the Creative Commons Attribution (CC BY) license (https://creativecommons.org/licenses/by/4.0/).
Share and Cite
Gershman, A.; Farkash, R.; Abu-Salman, A.; Shuvy, M.; Rav-Acha, M. The Association Between Significant Mitral Regurgitation and Atrial Fibrillation Recurrence Post-Ablation. J. Clin. Med. 2025, 14, 7300. https://doi.org/10.3390/jcm14207300
Gershman A, Farkash R, Abu-Salman A, Shuvy M, Rav-Acha M. The Association Between Significant Mitral Regurgitation and Atrial Fibrillation Recurrence Post-Ablation. Journal of Clinical Medicine. 2025; 14(20):7300. https://doi.org/10.3390/jcm14207300
Chicago/Turabian StyleGershman, Arni, Rivka Farkash, Amjad Abu-Salman, Mony Shuvy, and Moshe Rav-Acha. 2025. "The Association Between Significant Mitral Regurgitation and Atrial Fibrillation Recurrence Post-Ablation" Journal of Clinical Medicine 14, no. 20: 7300. https://doi.org/10.3390/jcm14207300
APA StyleGershman, A., Farkash, R., Abu-Salman, A., Shuvy, M., & Rav-Acha, M. (2025). The Association Between Significant Mitral Regurgitation and Atrial Fibrillation Recurrence Post-Ablation. Journal of Clinical Medicine, 14(20), 7300. https://doi.org/10.3390/jcm14207300

