Abstract
Background/Objectives: Systemic sclerosis (SSc) is an autoimmune connective tissue disease characterized by fibrosis and vascular damage, significantly increasing the risk of heart failure (HF). Methods: This cross-sectional study included 61 SSc patients (92% female, mean age 63 ± 13 years), excluding those with pulmonary arterial hypertension, referred to a tertiary pulmonary hypertension center. HF stages were classified according to updated guidelines. Clinical, echocardiographic, hemodynamic, and functional capacity data were analyzed in relation to HF stages. Results: A total of 48% of patients had pre-symptomatic HF (5% stage A, 43% stage B), while 38% had symptomatic HF (stage C). Advanced HF stages were significantly associated with older age (p = 0.02) and multiorgan involvement (p = 0.045) but not with SSc subtype or autoantibodies. Structural and functional echocardiographic abnormalities were prevalent (77% and 10%, respectively). Markers of elevated ventricular filling pressure such as left atrial volume (p = 0.011) and E/e’ ratio (p = 0.03) correlated with HF severity. Functional impairment was observed with lower 6 min walk test (6MWT) distance (p = 0.017), reduced VO2 peak (p = 0.015), and increased VE/VCO2 slope (p = 0.002). Resting pulmonary artery wedge pressure did not correlate with HF stage (p = 0.93). VE/VCO2 slope and 6MWT were independently associated with HF severity. Conclusions: Preclinical and symptomatic HF are highly prevalent in SSc patients. HF staging was linked to disease severity, age, and cardiovascular risk factors. Functional capacity tests (6MWT and CPET) serve as valuable tools for HF risk stratification. These findings highlight the critical need for comprehensive cardiovascular assessment and targeted management strategies to mitigate HF progression in SSc patients.
1. Introduction
Systemic sclerosis (SSc) is a rare autoimmune connective tissue disease (CTD) characterized by immune dysregulation, vascular damage, and progressive fibrosis of the skin and other internal organs, resulting in significant morbidity and mortality [1,2]. Based on the extent of skin involvement, SSc is classified as either limited or diffuse [3]. Profiling the expression of specific autoantibodies, including anti-centromere, anti-topoisomerase, and anti-RNA polymerase III, provides important prognostic insights into disease course and outcomes [4]. Pulmonary arterial hypertension (PAH) is one of the most feared cardiovascular complications of SSc and is classically associated with limited SSc and anti-centromere antibodies. However, primary cardiac involvement has been increasingly acknowledged as a common complication of SSc and can be found in both limited and diffuse forms [5]. SSc-related primary cardiac dysfunction results from microvascular dysfunction and inflammatory-fibrotic infiltration, affecting the coronary circulation, conduction system, myocardium, and pericardium [2,5]. Consequently, a broad spectrum of cardiac disorders may develop, including ischemia, arrhythmias, pericarditis, myocarditis, and both ventricular systolic and diastolic dysfunction [6,7].
Due to this diverse cardiac involvement and the common presence of extracardiac manifestations in SSc, diagnosing primary cardiac disease is challenging and requires a high index of suspicion. Most patients present nonspecific symptoms, such as exertional dyspnea and fatigue [8,9]. Diagnosis typically requires a multimodal approach, integrating findings from several techniques, including cardiac imaging, biomarkers, cardiopulmonary function tests, and invasive hemodynamic assessment [2,5]. Several studies have shown that SSc patients have a threefold increased risk of developing heart failure (HF), a disease with a significant impact on their quality of life and survival [6,10]. There is a need for an early diagnosis of primary cardiac cardiomyopathy associated with SSc and the development of specific treatments to prevent the progression of cardiac fibrosis.
HF is currently viewed as a progressive condition that mainly affects people with cardiovascular risk factors (CRFs) (e.g., elderly, hypertension, obesity, diabetes; HF stage A) that will develop several structural and functional cardiac changes over time (left ventricle hypertrophy, diastolic dysfunction, etc.; HF stage B), with the eventual onset of symptoms such as exertional intolerance (HF stage C) and progression to a more severe disease stage with the need for advanced HF therapies (HF stage D). This classification, put forward by the American Heart Association, encourages the diagnosis of HF at an earlier stage and the implementation of treatments that could change its natural history by preventing or postponing its symptomatic stages [11]. Despite a similar prevalence of some common CRFs, SSc patients have a threefold increased risk of experiencing cardiovascular events [12]. Furthermore, left ventricular (LV) diastolic dysfunction is present in one-third of SSc patients and precedes the development of symptomatic HF [13].
In this study, we aimed to assess the prevalence of HF stages in SSc patients without PAH and to study its clinical and functional correlates.
2. Materials and Methods
2.1. Study Design and Studied Population
We performed an observational cross-sectional study involving consecutive patients referred to the pulmonary hypertension unit at Centro Hospitalar Universitário de Santo António (CHUdSA) since April 2017, who underwent right heart catheterization (RHC) for suspected PAH based on one of the following criteria: an intermediate-to-high echocardiographic probability of pulmonary hypertension (PH), as defined by 2022 ESC/ERS Guidelines for the diagnosis and treatment of pulmonary hypertension [14]; a high probability of PAH according to the DETECT score [15]; or otherwise unexplained exertional dyspnea. Subjects had to be over 18 years of age and had to meet the ACR/EULAR 2013 Classification Criteria for diagnosis of SSc [3]. Clinical data such as age, sex, body mass index (BMI), New York Heart Association (NYHA) functional class, comorbidities, medication, and pulmonary function tests were extracted from clinical records. Patients with a diagnosis of PAH (Group 1 PH) were excluded from this study. The various stages of HF have been defined based on the 2022 AHA/ACC/HFSA Guideline for the Management of Heart Failure [11]. The scope of this study is centered on patients with SSc who are experiencing HF from Stage A to D. Stage 0 indicates no risk factors and no structural heart disease.
2.2. Echocardiography
Echocardiographic image acquisition was performed by a certified cardiologist using a Vivid E95 ultrasound scanner with an M5Sc-D Transducer (2–5 MHz; GE Healthcare, Horten, Norway). Standard 2D images with the patient in a left lateral decubitus position were saved in cine loop digital format, as well as static images of pulsed-wave Doppler, continuous-wave Doppler, and tissue Doppler. All images were analyzed offline using EchoPAC software (versions 201 and 206, GE Healthcare, Horten, Norway). Diastolic function was assessed as recommended by current ASE/EACVI guidelines [16], using the following variables: annular e’ velocities (septal and lateral), mitral E velocity, mitral E/e’ ratio (average e’ from septal and lateral walls), left atrial volume index (LAVI), and tricuspid regurgitation peak velocity. For speckle-tracking echocardiography, images (apical four-, two-, and long-axis 2D) were recorded in a digital raw-data format for posterior analysis using EchoPAC software (version 206, GE Healthcare, Horten, Norway), which automatically tracked the myocardial tissue with manual adjustments to region of interest and tracking made when necessary. Global longitudinal strain (GLS) was obtained according to the consensus documents of the EACVI/ASE/Industry TaskForce [17].
2.3. Invasive Hemodynamic Assessment
The hemodynamic assessment was performed using a Swan-Ganz catheter by right heart catheterization according to our institution protocol: at rest, with no sedation, through an echo-guided internal jugular vein or brachial vein approach by trained operators. Pulmonary artery, right atrial, and pulmonary arterial wedge pressure (PAWP) were recorded at the end of a quiet respiratory cycle. Cardiac output (CO) was calculated from an average of at least three measurements using the thermodilution method. Pulmonary vascular resistance (PVR) was calculated using the standard formulas [18].
2.4. Submaximal and Maximal Exercise Testing
The 6-min walk test (6MWT) was performed in a 30-meter-long corridor under the same environmental conditions. Participants were instructed to walk the maximal distance in 6 min. Resting stops were allowed when patients found it necessary. The equation for reference values used is the one proposed by Enright and colleagues [19]. Blood pressure was measured before and after the test.
All patients able to exercise underwent a maximal cardiopulmonary exercise test (CPET). CPET was performed on a treadmill (Medisoft, Medel 870C) and analyzed through Blue Cherry® Software (version 1.3.3.3, Geratherm® Respiratory GmbH, Bad Kissingen, Germany). CPET parameters were registered every 30 s. The exercise protocol was chosen after a brief interview to assess the patient’s level of physical activity [20]. The patients were encouraged to make maximum effort (peak RER of 1.1).
2.5. Statistical Analysis
All data were expressed as mean ± standard deviation (sd) or percentage (%), as appropriate. Histograms were used to assess the normality of data distribution. Patients were divided into groups according to their HF stage. Continuous variables were compared between groups by one-way ANOVA, and categorical variables were compared using the Pearson χ2 test or Fisher exact test, as appropriate. Statistical analyses were conducted using STATA 16.1 (StataCorp LLC, College Station, TX, USA). A two-sided p-value < 0.05 was considered significant.
3. Results
3.1. Population Characteristics
We studied 61 patients with SSc, whose clinical characteristics are presented in Table 1. They were mostly females (92%), with a mean age of 63 ± 13 years. Limited SSc was the most common SSc subtype (75%). Ninety-four percent of the patients presented more than one organ involvement attributed to SSc at the baseline assessment. The skin was the most affected organ (95%), followed by peripheral vessels (80%), the gastrointestinal tract (49%), the lungs (43%), the joints (10%), and the kidneys (1%).
Table 1.
Clinical characteristics of systemic sclerosis patients according to heart failure stages.
3.2. Heart Failure Staging
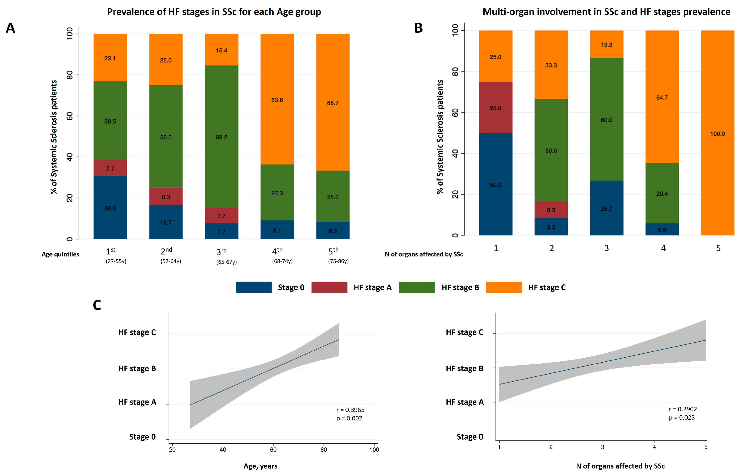
Forty-eight percent of the studied patients were classified into pre-symptomatic HF stages (5% for stage A and 43% for stage B), while 38% had symptomatic HF (stage C). In the HF stage B, 32% of patients showed elevated NT-proBNP levels. No patients were classified into advanced HF stage D. HF stages were significantly correlated with plasmatic NT-proBNP levels and age (Table 1, Figure 1).
Figure 1.
Relationship between heart failure (HF) stages, age and multi-organ involvement in systemic sclerosis (SSc) patients. Panel (A), prevalence of HF stages according to age quintiles. Panel (B), prevalence of HF stages for the number of organs involved in SSc, excluding cardiac dysfunction. Panel (C), linear regression of HF stages with age (left-side plot) and number of organs involved in SSc (right-side plot) with shaded 95% confidence interval. Pearson correlation coefficient (r).
Comorbidities not included in HF staging criteria were not associated with HF stages (Table 1). The number of organs affected by SSc, excluding the heart, was associated with HF stages severity (Figure 1). No significant association was found between the organ involved, disease duration, capillaroscopy, SSc antibodies, and HF stages. Regarding treatment at the baseline, neurohormonal blockers (angiotensin-converting enzyme inhibitors, angiotensin II receptor blockers, beta-adrenolytics, and aldosterone receptor antagonists), loop diuretics, statins, and anticoagulants were more frequent in more advanced HF stages. Targeted therapies for SSc, including vasodilators, immunomodulators, and corticosteroids, were similar across HF stages (Table 1).
3.3. Cardiac Phenotype and Central Hemodynamics
The index volume of the left atrium (LAVi) differed across HF stages. The ratio between early mitral inflow velocity and mitral annular early diastolic velocity (E/e’), a surrogate of LV filling pressure was also different across HF stages, being higher in those with more advanced HF. Three patients had HF with left ventricular ejection fraction (LVEF) below 50% (LVEF ranging from 46 to 48%). Other echocardiographic parameters, including GLS and LVEF, showed no significant variation among HF stages (Table 2).
Table 2.
Echocardiographic, hemodynamic, and pulmonary characteristics in SSc patients.
In right heart catheterization, three patients with HF stage B presented PH (two of them with group 2 PH and one considered to be multifactorial PH). HF stage C was presented in five patients with group 2 PH. Hemodynamic variables assessed invasively, such as mean pulmonary arterial pressure (MPAP) and PAWP, were equivalent across HF stages (Table 2).
3.4. Cardiopulmonary Exercise Test and 6-Minute Walking Test
All patients performed the 6MWT and the walking distance correlated with HF stage severity (Table 3). CPET was performed in 48 patients (79%). At peak, VO2, VCO2, and PET CO2 decreased with HF severity. Conversely, the VE/VCO2 slope, a marker of ventilatory inefficiency, increased with HF severity (Table 3).
Table 3.
Submaximal and maximal functional capacity across HF stages in SSc patients.
In multivariate regression analysis, 6MWT distance and VE/VCO2 slope were independently correlated with HF stages (Table 4). The results of the regression analysis also showed that while age, dyslipidemia, hypertension, and the number of organs affected by SSc were initially associated with HF stage severity, after adjustment, only hypertension remained statistically significant (Table 4).
Table 4.
Univariate and multivariate linear regression models for HF stages in SSc patients.
4. Discussion
The main findings of our study are the following. First, we observed a significant prevalence of symptomatic HF (stage C) in SSc patients referred for suspected, but not confirmed, PAH. Second, 43% of asymptomatic patients were found to be at an increased risk of developing HF (stage B HF). These symptomatic and presymptomatic HF stages were more frequent in elderly patients, in those with cardiovascular risk factors, and in those with multiorgan involvement by the SSc. Third, there were no significant differences in resting invasive hemodynamics, namely PAWP; however, functional parameters such as walked distance at 6MWT, peak VO2, or VE/VCO2 slope at CPET correlated with HF staging.
Our findings emphasize the importance of recognizing cardiac involvement in SSc. The prevalence of symptomatic HF (stage C) of 38%, alongside 42% of preclinical HF stage (stage B), suggests a substantial burden of cardiac dysfunction within this population. Symptomatic HF is particularly prevalent in SSc patients with PAH [21,22]. However, evidence on the prevalence of HF in SSc patients without PAH is limited. Jiang et al. found cardiac involvement in 53% of SSc patients, with 4% of them exhibiting symptomatic HF [23]. The higher prevalence of symptomatic HF in our study may be explained by the study design (we studied SSc patients referred for PH suspicion), the older age of our cohort, and the use of the most recent criteria for HF definition [11].
Multiorgan involvement in SSc has been linked to early disease onset and greater disease severity [24,25], although its association with HF is not well documented. Our findings suggest a positive correlation between the extent of multiorgan involvement and HF severity. Therefore, multiorgan involvement in SSc patients should raise clinical suspicion of cardiovascular complications, including HF.
The close association between uncontrolled CRFs and the onset of HF is well established [11]. The prevalence of CRFs in this SSc cohort was notably high. About one-third of patients had hypertension, and that was linked to HF severity. While we did not specifically assess blood pressure control, it is likely that this high-risk population could benefit from lower blood pressure targets (systolic BP < 120 mmHg) to prevent HF, as shown in the SPRINT trial [26]. Diabetes and obesity were also common, affecting 15% and 16% of patients, respectively. These patients may benefit from antidiabetic drugs with favorable effects on weight control and cardiovascular protection, such as GLP-1 receptor agonists and SGLT2 inhibitors [27].
The inflammatory-fibrotic myocardial milieu in SSc is associated with a threefold risk of cardiovascular events compared to the general population [12]. It has been hypothesized that the vascular dysfunction underlying Raynaud’s phenomenon also affects the coronary microvasculature, contributing to ischemic abnormalities detected on cardiac stress imaging despite the absence of epicardial coronary artery disease [5]. This condition, currently defined as ischemia with no obstructive coronary artery disease (INOCA), is frequently observed in SSc patients and is associated with an increased risk of cardiovascular events and mortality [28,29]. Recent advancements in non-invasive cardiac imaging, including coronary flow reserve assessment via coronary computed tomography angiography (CCTA), cardiac magnetic resonance (CMR), and positron emission tomography (PET), may enhance risk stratification and facilitate more tailored therapeutic approaches in this population [30,31].
Most HF patients in stages B and C had preserved LVEF, with a high prevalence of left ventricular diastolic dysfunction (LVDD), which is consistent with prior studies. Reported LVDD prevalence varies widely in the literature (17–67%) depending on the studied population and diagnostic criteria applied [13,21,32]. This supports HFpEF as the predominant type of HF in SSc [10,33]. Therefore, these patients should be treated according to current guideline recommendations, with emphasis on CRF control and the use of SGLT2 inhibitors for prognosis modification [11,34]. Among chronic inflammatory diseases, SSc, along with systemic lupus erythematosus, carries the highest risk of HF development [33]. The prevalence of HFpEF is likely related to chronic low-level systemic inflammation and immune dysregulation, which contribute to myocardial fibrosis and LVDD [35]. Controlling inflammation may prevent HF progression in SSc, though this remains speculative [5,36].
This study also underscores the importance of SSc phenotyping over time, particularly regarding PAH and LVDD development. Pulmonary vasodilators are commonly used to treat patients with PAH associated with SSc (SSc-PAH) and also patients without PAH but with Raynaud phenomena [14]. Therefore, caution should be taken, as, in the presence of LVDD, pulmonary vasodilators can be associated with clinical worsening due to the development of pulmonary edema [37].
Echocardiography and NT-proBNP are important tools to identify patients at risk of HF development among SSc patients. The most common cardiac abnormalities observed were increased left atrial (LA) volume and elevated E/e’ ratio, both of which indicate increased left heart filling pressures—a key feature of HF. Echocardiography is essential as the standard diagnostic tool for characterizing and monitoring heart disease [5]. Annual comprehensive echocardiographic evaluations are recommended for SSc patients to detect early ventricular dysfunction [38]. Echocardiography coupled with GLS technology can be useful in detecting subtle changes in myocardial function in SSc patients. Although we did not find significant differences between clinical and subclinical HF stages, GLS is being increasingly recognized as an important tool for identifying early ventricular dysfunction in asymptomatic SSc patients [39]. However, a major limitation of LVEF, GLS, and other non-invasive echocardiographic markers is their load dependence, which is particularly relevant in SSc. This is due not only to vascular dysfunction and the high prevalence of CRFs but also to the frequent use of vasodilatory therapy, which may complicate the identification of subtle functional abnormalities. Despite being underexplored in this population, myocardial work (MW) assessment by echocardiography represents a promising approach for comprehensive, load-independent myocardial evaluation [40]. Interestingly, MW appears to be significantly reduced in SSc patients despite having a normal echocardiographic assessment on standard evaluation [41]. Complementing myocardial functional assessment, emerging cardiac magnetic resonance (CMR) mapping techniques have shown potential in detecting subtle fibrosis and other pathological changes in SSc [42]. These advances may, in the future, enable the earlier identification of SSc-related cardiomyopathy and subclinical HF stages.
NT-proBNP plays a crucial role in diagnosing HF, and elevated levels should raise suspicion of its presence [11,34]. The DETECT algorithm includes NT-proBNP quantification and is currently recommended for SSc patients [14]. While primarily used for PAH screening, NT-proBNP may also aid in detecting both clinical and subclinical SSc-related cardiomyopathy. However, interpreting elevated NT-proBNP levels requires caution, as various conditions beyond HF can contribute to its increase. Therefore, NT-proBNP should be assessed alongside clinical evaluation and other diagnostic tools, following current recommendations for HF diagnosis and staging [11]. In our study, 32% of stage B patients had elevated NT-proBNP levels. In addition, NT-proBNP has demonstrated diagnostic and prognostic value in asymptomatic SSc patients, with elevated levels being able to predict 3-year mortality [43].
Our data also reveal an association between HF severity and functional impairment in SSc patients without PAH. Lower 6MWT distances were independently associated with HF severity. Although decreased 6MWT performance is expected in symptomatic HF, this study highlights that even in asymptomatic patients, 6MWT may identify individuals at risk of HF progression. Consistent with the link between multiorgan involvement and HF stages, other studies have shown that reduced 6MWT distance correlates with SSc severity [44]. CPET is often used in this population for evaluating dyspnea and assessing the functional impact of SSc. In line with 6MWT, HF severity was associated with reduced peak VO2 and ventilatory inefficiency assessed by VE/VCO2 slope during CPET [45]. A low VO2 peak and a low anaerobic threshold on CPET can differentiate functional impairment due to cardiac involvement from respiratory limitations or pulmonary vasculopathy in SSc [46]. Notably, resting invasive hemodynamic parameters did not distinguish HF stages, emphasizing the diagnostic value of functional tests like 6MWT and CPET in assessing HFpEF and HF staging [47]. Patients in HF stages B and C had a higher proportion of post-capillary hypertension (PAWP > 15 mmHg); however, no differences were found between these groups. Interestingly, Sarma et al. recently questioned the significance of elevated PAWP in limiting exercise capacity in HFpEF patients, suggesting that mechanisms other than PAWP may contribute to dyspnea and exercise intolerance in SSc patients [48].
Our study has some limitations that should be acknowledged. The limited sample size reduces the statistical power to adjust for potential confounders. However, given the rarity of SSc, our sample size is comparable to similar studies. We recruited patients referred to a PH unit, limiting our findings’ generalizability to a more general population of patients with SSc. However, the main conclusions remain valid in this challenging clinical context. The cross-sectional design of our study does not allow us to make temporal inferences between patients classified in the different HF stages. However, it is plausible that the common understanding informed by longitudinal cohorts of at-risk HF patients can be applied to SSc patients. Additionally, a detailed characterization of capillaroscopic patterns and their relationship with cardiac microvascular involvement was not available. Further studies should explore this aspect to enhance our understanding of the interplay between microvascular dysfunction and cardiac involvement in SSc.
5. Conclusions
In conclusion, our study reveals a notable prevalence of symptomatic HF in patients with SSc, with 38% meeting the criteria for symptomatic HF (stage C). The observed prevalence of preclinical HF stages underscores the importance of early detection and intervention to prevent the progression to symptomatic HF. Cardiovascular comorbidities are prevalent, and controlling them may significantly impact this high-risk population. Cardiopulmonary exercise capacity was associated with HF severity, suggesting a decline in functional capacity as HF progresses.
Author Contributions
M.I.O. and B.B. contributed equally to this work. Conceptualization, M.S. and B.B.; Methodology, M.I.O. and M.S.; Software, B.B.; Validation, M.I.O., B.B. and M.S.; Formal Analysis, B.B.; Investigation, M.I.O., B.B., J.R.G. and M.S.; Resources, M.I.O.; Data Curation, M.I.O. and B.B.; Writing—Original Draft Preparation, M.I.O. and B.B.; Writing—Review and Editing, M.I.O., B.B., J.R.G. and M.S.; Visualization, M.I.O., B.B. and M.S.; Supervision, M.S.; Project Administration, M.S.; Funding Acquisition, M.I.O. and M.S. All authors have read and agreed to the published version of the manuscript.
Funding
This research was funded by the Fundação para a Ciência e Tecnologia: UIDB/00617/2020; DFA/BD/9135/2020; UIDB/00215/2020; UIDP/00215/2020; LA/P/0064/2020.
Institutional Review Board Statement
The study was conducted according to the guidelines of the Declaration of Helsinki and approved by the Ethics Committee of Unidade Local de Saúde de Santo António (2020.031; 023-DEFI/025-CE; approval date 10 February 2020).
Informed Consent Statement
Patient consent was waived due to the observational nature of the study, where no identifiable personal data were collected, ensuring full anonymity of the participants and compliance with ethical standards.
Data Availability Statement
On request, the corresponding author must provide access to the database.
Acknowledgments
The authors acknowledge the support of colleagues and institutions that contributed to this study. We also extend our gratitude to the patients and their families for their participation and trust.
Conflicts of Interest
The authors declare no conflicts of interest.
References
- Pope, J.E.; Denton, C.P.; Johnson, S.R.; Fernandez-Codina, A.; Hudson, M.; Nevskaya, T. State-of-the-art evidence in the treatment of systemic sclerosis. Nat. Rev. Rheumatol. 2023, 19, 212–226. [Google Scholar] [CrossRef] [PubMed]
- Saketkoo, L.A.; Frech, T.; Varjú, C.; Domsic, R.; Farrell, J.; Gordon, J.K.; Mihai, C.; Sandorfi, N.; Shapiro, L.; Poole, J.; et al. A comprehensive framework for navigating patient care in systemic sclerosis: A global response to the need for improving the practice of diagnostic and preventive strategies in SSc. Best Pract. Res. Clin. Rheumatol. 2021, 35, 101707. [Google Scholar] [CrossRef] [PubMed]
- Van den Hoogen, F.; Khanna, D.; Fransen, J.; Johnson, S.R.; Baron, M.; Tyndall, A.; Matucci-Cerinic, M.; Naden, R.P.; Medsger, T.A., Jr.; Carreira, P.E.; et al. 2013 classification criteria for systemic sclerosis: An American college of rheumatology/European league against rheumatism collaborative initiative. Ann. Rheum. Dis. 2013, 72, 1747–1755. [Google Scholar] [CrossRef] [PubMed]
- Nihtyanova, S.I.; Denton, C.P. Autoantibodies as predictive tools in systemic sclerosis. Nat. Rev. Rheumatol. 2010, 6, 112–116. [Google Scholar] [CrossRef]
- Giucă, A.; Gegenava, T.; Mihai, C.M.; Jurcuţ, C.; Săftoiu, A.; Gȋrniţă, D.M.; Popescu, B.A.; Marsan, N.A.; Jurcuț, R. Sclerodermic Cardiomyopathy—A State-of-the-Art Review. Diagnostics 2022, 12, 669. [Google Scholar] [CrossRef]
- Butt, S.A.; Jeppesen, J.L.; Torp-Pedersen, C.; Sam, F.; Gislason, G.H.; Jacobsen, S.; Andersson, C. Cardiovascular Manifestations of Systemic Sclerosis: A Danish Nationwide Cohort Study. J. Am. Heart Assoc. 2019, 8, e013405. [Google Scholar] [CrossRef]
- Nadel, A.; Nadel, M.; Taborska, N.; Stępień, B.; Gajdecki, J.; Brzezińska, O.; Opinc-Rosiak, A.; Makowska, J.; Lewandowska-Polak, A. Heart involvement in patients with systemic sclerosis—What have we learned about it in the last 5 years. Rheumatol. Int. 2024, 44, 1823–1836. [Google Scholar] [CrossRef]
- Almeida, I.; Faria, R.; Vita, P.; Vasconcelos, C. Systemic sclerosis refractory disease: From the skin to the heart. Autoimmun. Rev. 2011, 10, 693–701. [Google Scholar] [CrossRef]
- Ferri, C.; Giuggioli, D.; Sebastiani, M.; Colaci, M.; Emdin, M. Heart involvement and systemic sclerosis. Lupus 2005, 14, 702–707. [Google Scholar] [CrossRef]
- Rei, A.L.; Oliveira, M.I.; Almeida, I.; Santos, M. Prevalence and prognostic significance of heart failure with preserved ejection fraction in systemic sclerosis. Futur. Cardiol. 2022, 18, 17–25. [Google Scholar] [CrossRef]
- Heidenreich, P.A.; Bozkurt, B.; Aguilar, D.; Allen, L.A.; Byun, J.J.; Colvin, M.M.; Deswal, A.; Drazner, M.H.; Dunlay, S.M.; Evers, L.R.; et al. 2022 AHA/ACC/HFSA Guideline for the Management of Heart Failure: Executive Summary: A Report of the American College of Cardiology/American Heart Association Joint Committee on Clinical Practice Guidelines. Circulation 2022, 145, e876–e894. [Google Scholar] [CrossRef] [PubMed]
- Kurmann, R.D.; Sandhu, A.S.; Crowson, C.S.; Matteson, E.L.; Osborn, T.G.; Warrington, K.J.; Mankad, R.; Makol, A. Cardiovascular Risk Factors and Atherosclerotic Cardiovascular Events Among Incident Cases of Systemic Sclerosis: Results from a Population-Based Cohort (1980–2016). Mayo Clin. Proc. 2020, 95, 1369–1378. [Google Scholar] [CrossRef] [PubMed]
- Tennøe, A.H.; Murbræch, K.; Andreassen, J.C.; Fretheim, H.; Garen, T.; Gude, E.; Andreassen, A.; Aakhus, S.; Molberg, Ø.; Hoffmann-Vold, A.-M. Left Ventricular Diastolic Dysfunction Predicts Mortality in Patients with Systemic Sclerosis. J. Am. Coll. Cardiol. 2018, 72, 1804–1813. [Google Scholar] [CrossRef]
- Galie, N.; Humbert, M.; Vachiéry, J.-L.; Gibbs, S.; Lang, I.M.; Torbicki, A.; Simonneau, G.; Peacock, A.; Noordegraaf, A.V.; Beghetti, M.; et al. 2015 ESC/ERS guidelines for the diagnosis and treatment of pulmonary hypertension. Russ. J. Cardiol. 2016, 37, 5–64. [Google Scholar] [CrossRef][Green Version]
- Coghlan, J.G.; Denton, C.P.; Grünig, E.; Bonderman, D.; Distler, O.; Khanna, D.; Müller-Ladner, U.; E Pope, J.; Vonk, M.C.; Doelberg, M.; et al. Evidence-based detection of pulmonary arterial hypertension in systemic sclerosis: The DETECT study. Ann. Rheum. Dis. 2013, 73, 1340–1349. [Google Scholar] [CrossRef]
- Nagueh, S.F.; Smiseth, O.A.; Appleton, C.P.; Byrd, B.F., 3rd; Dokainish, H.; Edvardsen, T.; Flachskampf, F.A.; Gillebert, T.C.; Klein, A.L.; Lancellotti, P.; et al. Recommendations for the Evaluation of Left Ventricular Diastolic Function by Echocardiography: An Update from the American Society of Echocardiography and the European Association of Cardiovascular Imaging. J. Am. Soc. Echocardiogr. 2016, 29, 277–314. [Google Scholar] [CrossRef]
- Badano, L.P.; Kolias, T.J.; Muraru, D.; Abraham, T.P.; Aurigemma, G.; Edvardsen, T.; D’Hooge, J.; Donal, E.; Fraser, A.G.; Marwick, T.; et al. Standardization of left atrial, right ventricular, and right atrial deformation imaging using two-dimensional speckle tracking echocardiography: A consensus document of the EACVI/ASE/Industry Task Force to standardize deformation imaging. Eur. Heart J. Cardiovasc. Imaging 2018, 19, 591–600. [Google Scholar] [CrossRef]
- Simonneau, G.; Montani, D.; Celermajer, D.S.; Denton, C.P.; Gatzoulis, M.A.; Krowka, M.; Williams, P.G.; Souza, R. Haemodynamic definitions and updated clinical classification of pulmonary hypertension. Eur. Respir. J. 2019, 53, 1801913. [Google Scholar] [CrossRef]
- Enright, P.L.; Sherrill, D.L. Reference equations for the six-minute walk in healthy adults. Am. J. Respir. Crit. Care Med. 2020, 201, 393. [Google Scholar] [CrossRef]
- Glaab, T.; Taube, C. Practical guide to cardiopulmonary exercise testing in adults. Respir. Res. 2022, 23, 9. [Google Scholar] [CrossRef]
- Faludi, R.; Költő, G.; Bartos, B.; Csima, G.; Czirják, L.; Komócsi, A. Five-year follow-up of left ventricular diastolic function in systemic sclerosis patients: Determinants of mortality and disease progression. Semin. Arthritis Rheum. 2014, 44, 220–227. [Google Scholar] [CrossRef] [PubMed]
- Fernández-Codina, A.; Simeón-Aznar, C.P.; Pinal-Fernandez, I.; Rodríguez-Palomares, J.; Pizzi, M.N.; Hidalgo, C.E.; Del Castillo, A.G.; Prado-Galbarro, F.J.; Sarria-Santamera, A.; Fonollosa-Plà, V.; et al. Cardiac involvement in systemic sclerosis: Differences between clinical subsets and influence on survival. Rheumatol. Int. 2015, 37, 75–84. [Google Scholar] [CrossRef] [PubMed]
- Jiang, X.; Zhang, F.; Li, Y.; Ren, J.; Xu, D.; Cai, R.; Yi, Z.; Li, C.; Liu, T.; Zhang, X.; et al. Clinical assessment of cardiac impairment favored by two-dimensional speckle tracking echocardiology in patients with systemic sclerosis. Rheumatology 2022, 61, 2432–2440. [Google Scholar] [CrossRef]
- Pokeerbux, M.R.; Giovannelli, J.; Dauchet, L.; Mouthon, L.; Agard, C.; Lega, J.C.; Allanore, Y.; Jego, P.; Bienvenu, B.; Berthier, S.; et al. Survival and prognosis factors in systemic sclerosis: Data of a French multicenter cohort, systematic review, and meta-analysis of the literature. Arthritis Res. Ther. 2019, 21, 86. [Google Scholar] [CrossRef]
- Jaeger, V.K.; Wirz, E.G.; Allanore, Y.; Rossbach, P.; Riemekasten, G.; Hachulla, E.; Distler, O.; Airò, P.; Carreira, P.E.; Gurman, A.B.; et al. Incidences and Risk Factors of Organ Manifestations in the Early Course of Systemic Sclerosis: A Longitudinal EUSTAR Study. PLoS ONE 2016, 11, e0163894. [Google Scholar] [CrossRef]
- SPRINT Research Group. A Randomized Trial of Intensive versus Standard Blood-Pressure Control. N. Engl. J. Med. 2015, 373, 2103–2116. [Google Scholar]
- Wilcox, T.; De Block, C.; Schwartzbard, A.Z.; Newman, J.D. Diabetic Agents, From Metformin to SGLT2 Inhibitors and GLP1 Receptor Agonists: JACC Focus Seminar. J. Am. Coll. Cardiol. 2020, 75, 1956–1974. [Google Scholar] [CrossRef]
- Follansbee, W.P.; Curtiss, E.I.; Medsger, T.A., Jr.; Steen, V.D.; Uretsky, B.F.; Owens, G.R.; Rodnan, G.P. Physiologic abnormalities of cardiac function in progressive systemic sclerosis with diffuse scleroderma. N. Engl. J. Med. 1984, 310, 142–148. [Google Scholar] [CrossRef]
- Steen, V.D.; Follansbee, W.P.; Conte, C.G.; Medsger, T.A. Thallium perfusion defects predict subsequent cardiac dysfunction in patients with systemic sclerosis. Arthritis Rheum. 1996, 39, 677–681. [Google Scholar] [CrossRef]
- Smilowitz, N.R.; Prasad, M.; Widmer, R.J.; Toleva, O.; Quesada, O.; Sutton, N.R.; Lerman, A.; Reynolds, H.R.; Kesarwani, M.; Savage, M.P.; et al. Comprehensive Management of ANOCA, Part 2-Program Development, Treatment, and Research Initiatives: JACC State-of-the-Art Review. J. Am. Coll. Cardiol. 2023, 82, 1264–1279. [Google Scholar]
- Trimarchi, G.; Pizzino, F.; Paradossi, U.; Gueli, I.A.; Palazzini, M.; Gentile, P.; Di Spigno, F.; Ammirati, E.; Garascia, A.; Tedeschi, A.; et al. Charting the Unseen: How Non-Invasive Imaging Could Redefine Cardiovascular Prevention. J. Cardiovasc. Dev. Dis. 2024, 11, 245. [Google Scholar] [CrossRef] [PubMed]
- Porpáczy, A.; Nógrádi, Á.; Kehl, D.; Strenner, M.; Minier, T.; Czirják, L.; Komócsi, A.; Faludi, R. Impairment of Left Atrial Mechanics Is an Early Sign of Myocardial Involvement in Systemic Sclerosis. J. Card. Fail. 2018, 24, 234–242. [Google Scholar] [CrossRef] [PubMed]
- Rivera, A.S.; Sinha, A.; Ahmad, F.S.; Thorp, E.; Wilcox, J.E.; Lloyd-Jones, D.M.; Feinstein, M.J. Long-Term Trajectories of Left Ventricular Ejection Fraction in Patients With Chronic Inflammatory Diseases and Heart Failure: An Analysis of Electronic Health Records. Circ. Heart Fail. 2021, 14, e008478. [Google Scholar] [CrossRef] [PubMed]
- McDonagh, T.A.; Metra, M.; Adamo, M.; Gardner, R.S.; Baumbach, A.; Böhm, M.; Burri, H.; Butler, J.; Čelutkienė, J.; Chioncel, O.; et al. 2021 ESC Guidelines for the diagnosis and treatment of acute and chronic heart failure. Eur. Heart J. 2021, 42, 3599–3726. [Google Scholar]
- Paulus, W.J.; Zile, M.R. From Systemic Inflammation to Myocardial Fibrosis. Circ. Res. 2021, 128, 1451–1467. [Google Scholar] [CrossRef]
- Verma, S.; Petrie, M.C.; Borlaug, B.A.; Butler, J.; Davies, M.J.; Kitzman, D.W.; Shah, S.J.; Rönnbäck, C.; Abildstrøm, S.Z.; Liisberg, K.; et al. Inflammation in Obesity-Related HFpEF: The STEP-HFpEF Program. J. Am. Coll. Cardiol. 2024, 84, 1646–1662. [Google Scholar]
- McLaughlin, V.V.; Vachiery, J.-L.; Oudiz, R.J.; Rosenkranz, S.; Galiè, N.; Barberà, J.A.; Frost, A.E.; Ghofrani, H.-A.; Peacock, A.J.; Simonneau, G.; et al. Patients with pulmonary arterial hypertension with and without cardiovascular risk factors: Results from the AMBITION trial. J. Heart Lung Transplant. 2019, 38, 1286–1295. [Google Scholar] [CrossRef]
- Hoffmann-Vold, A.-M.; Distler, O.; Murray, B.; Kowal-Bielecka, O.; Khanna, D.; Allanore, Y. Setting the international standard for longitudinal follow-up of patients with systemic sclerosis: A Delphi-based expert consensus on core clinical features. RMD Open 2019, 5, e000826. [Google Scholar] [CrossRef]
- Stronati, G.; Guerra, F.; Benfaremo, D.; Dichiara, C.; Paolini, F.; Bastianoni, G.; Brugiatelli, L.; Alfieri, M.; Compagnucci, P.; Russo, A.D.; et al. Speckle-tracking global longitudinal strain predicts death and cardiovascular events in patients with systemic sclerosis. Eur. Heart J. Open 2024, 4, oeae023. [Google Scholar] [CrossRef]
- Trimarchi, G.; Carerj, S.; Di Bella, G.; Manganaro, R.; Pizzino, F.; Restelli, D.; Pelaggi, G.; Lofrumento, F.; Licordari, R.; Taverna, G.; et al. Clinical Applications of Myocardial Work in Echocardiography: A Comprehensive Review. J. Cardiovasc. Echogr. 2024, 34, 99–113. [Google Scholar] [CrossRef]
- Magda, Ș.L.; Gheorghiu, A.M.; Mincu, R.I.; Ciobanu, A.O.; Constantinescu, T.; Popa, E.C.; Mihai, C.; Vinereanu, D. Non-Invasive Cardiac and Vascular Monitoring in Systemic Sclerosis: Impact of Therapy on Subclinical Dysfunction. Medicina 2024, 60, 2080. [Google Scholar] [CrossRef] [PubMed]
- Mavrogeni, S.; Bratis, K.; Karabela, G.; Spiliotis, G.; Wijk, K.; Hautemann, D.; Reiber, J.; Koutsogeorgopoulou, L.; Markousis-Mavrogenis, G.; Kolovou, G.; et al. Cardiovascular Magnetic Resonance Imaging clarifies cardiac pathophysiology in early, asymptomatic diffuse systemic sclerosis. Inflamm. Allergy Drug Targets 2015, 14, 29–36. [Google Scholar] [CrossRef] [PubMed]
- Allanore, Y.; Komocsi, A.; Vettori, S.; Hachulla, E.; Hunzelmann, N.; Distler, J.; Avouac, J.; Gobeaux, C.; Launay, D.; Czirjak, L.; et al. N-terminal pro-brain natriuretic peptide is a strong predictor of mortality in systemic sclerosis. Int. J. Cardiol. 2016, 223, 385–389. [Google Scholar] [CrossRef] [PubMed]
- Pugnet, G.; Marjanovic, Z.; Deligny, C.; Boussardon, K.; Benzidia, I.; Puyade, M.; Lansiaux, P.; Vandecasteele, E.; Smith, V.; Farge, D. Reproducibility and Utility of the 6-minute Walk Test in Systemic Sclerosis. J. Rheumatol. 2018, 45, 1273–1280. [Google Scholar] [CrossRef]
- Ewert, R.; Ittermann, T.; Habedank, D.; Held, M.; Lange, T.J.; Halank, M.; Winkler, J.; Gläser, S.; Olschewski, H.; Kovacs, G. Prognostic value of cardiopulmonary exercise testing in patients with systemic sclerosis. BMC Pulm. Med. 2019, 19, 230. [Google Scholar] [CrossRef]
- Boutou, A.K.; Pitsiou, G.G.; Siakka, P.; Dimitroulas, T.; Paspala, A.; Sourla, E.; Chavouzis, N.; Garyfallos, A.; Argyropoulou, P.; Stanopoulos, I. Phenotyping Exercise Limitation in Systemic Sclerosis: The Use of Cardiopulmonary Exercise Testing. Respiration 2016, 91, 115–123. [Google Scholar] [CrossRef]
- Guazzi, M.; Wilhelm, M.; Halle, M.; Van Craenenbroeck, E.; Kemps, H.; de Boer, R.A.; Coats, A.J.; Lund, L.; Mancini, D.; Borlaug, B.; et al. Exercise testing in heart failure with preserved ejection fraction: An appraisal through diagnosis, pathophysiology and therapy—A clinical consensus statement of the Heart Failure Association and European Association of Preventive Cardiology of the European Society of Cardiology. Eur. J. Heart Fail. 2022, 24, 1327–1345. [Google Scholar]
- Sarma, S.; MacNamara, J.P.; Balmain, B.N.; Hearon, C.M.; Wakeham, D.J.; Tomlinson, A.R.; Hynan, L.S.; Babb, T.G.; Levine, B.D. Challenging the Hemodynamic Hypothesis in Heart Failure with Preserved Ejection Fraction: Is Exercise Capacity Limited by Elevated Pulmonary Capillary Wedge Pressure? Circulation 2023, 147, 378–387. [Google Scholar] [CrossRef]
Disclaimer/Publisher’s Note: The statements, opinions and data contained in all publications are solely those of the individual author(s) and contributor(s) and not of MDPI and/or the editor(s). MDPI and/or the editor(s) disclaim responsibility for any injury to people or property resulting from any ideas, methods, instructions or products referred to in the content. |
© 2025 by the authors. Licensee MDPI, Basel, Switzerland. This article is an open access article distributed under the terms and conditions of the Creative Commons Attribution (CC BY) license (https://creativecommons.org/licenses/by/4.0/).
