Biologic Therapy in Refractory Non-Multiple Sclerosis Optic Neuritis Isolated or Associated to Immune-Mediated Inflammatory Diseases. A Multicenter Study
Abstract
1. Introduction
2. Experimental Section
2.1. Design and Enrollment Criteria
2.2. Outcome Variables
2.3. Data Collection and Statistical Analysis
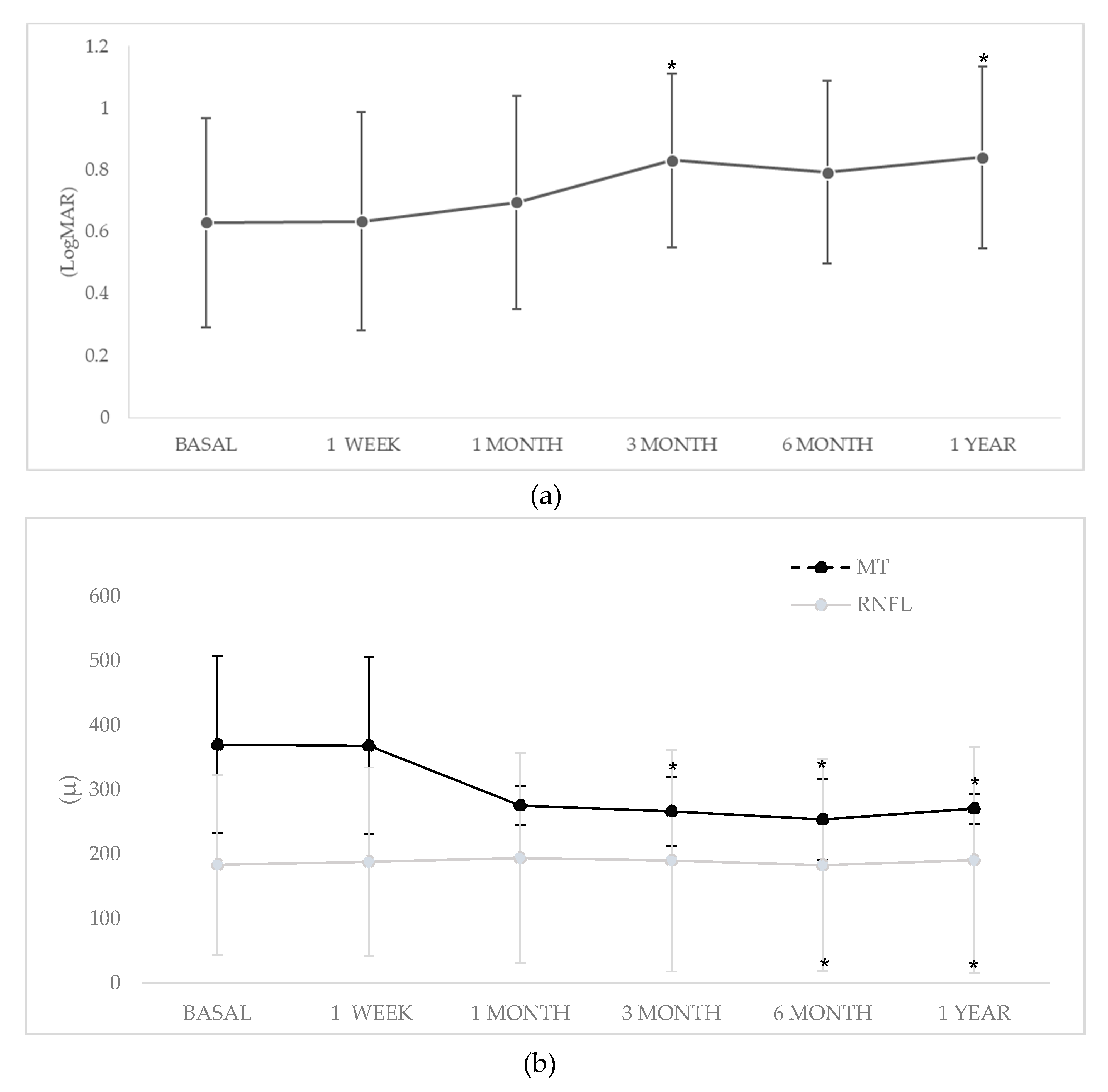
3. Results
3.1. Demographic and Clinical Features at Baseline
3.2. Biologic Therapy and Efficacy
3.3. Safety of Biologic Therapy
4. Discussion
Author Contributions
Funding
Conflicts of Interest
References
- Burton, E.V.; Greenberg, B.M.; Frohman, E.M. Optic neuritis: A mechanistic view. Pathophysiology 2011, 18, 81–92. [Google Scholar] [CrossRef] [PubMed]
- Beck, R.W. The Optic Neuritis Treatment Trial. Arch. Ophthalmol. 1988, 106, 1051–1053. [Google Scholar] [CrossRef] [PubMed]
- Beck, R.W.; Gal, R.L. Treatment of acute optic neuritis: A summary of findings from the optic neuritis treatment trial. Arch. Ophthalmol. 2008, 126, 994–995. [Google Scholar] [CrossRef] [PubMed]
- Seror, R.; Richez, C.; Sordet, C.; Rist, S.; Gossec, L.; Direz, G.; Houvenagel, E.; Berthelot, J.-M.; Pagnoux, C.; Dernis, E.; et al. Pattern of demyelination occurring during anti-TNF-α therapy: A French national survey. Rheumatology 2019, 21, 868–874. [Google Scholar] [CrossRef] [PubMed]
- Gaier, E.D.; Boudreault, K.; Rizzo, J.F.; Falardeau, J.; Cestari, D.M. Atypical Optic Neuritis. Curr. Neurol. Neurosci. Rep. 2015, 15, 76. [Google Scholar] [CrossRef] [PubMed]
- Stellmann, J.P.; Krumbholz, M.; Friede, T.; Gahlen, A.; Borisow, N.; Fischer, K.; Hellwig, K.; Pache, F.; Ruprecht, K.; Havla, J.; et al. Immunotherapies in neuromyelitis optica spectrum disorder: Efficacy and predictors of response. J. Neurol. Neurosurg. Psychiatry 2017, 88, 639–647. [Google Scholar] [CrossRef]
- Warren, F.A. Atypical optic neuritis. J. Neuro Ophthalmol. 2014, 34, e12–e13. [Google Scholar] [CrossRef]
- Boudreault, K.; Durand, M.L.; Rizzo, J.F. Investigation-directed approach to inflammatory optic neuropathies. Semin. Ophthalmol. 2016, 31, 117–130. [Google Scholar] [CrossRef]
- Kale, N. Optic neuritis as an early sign of multiple sclerosis. Eye Brain 2016, 8, 195–202. [Google Scholar] [CrossRef]
- Malik, A.; Ahmed, M.; Golnik, K. Treatment options for atypical optic neuritis. Indian J. Ophthalmol. 2014, 62, 982–984. [Google Scholar]
- Gal, R.L.; Vedula, S.S.; Beck, R. Corticosteroids for treating optic neuritis. Cochrane Database Syst. Rev. 2015. [Google Scholar] [CrossRef]
- Toosy, A.T.; Mason, D.F.; Miller, D.H. Optic neuritis. Lancet Neurol. 2014, 13, 83–99. [Google Scholar] [CrossRef]
- Jeong, I.H.; Park, B.; Kim, S.-H.; Hyun, J.-W.; Joo, J.; Kim, H.J. Comparative analysis of treatment outcomes in patients with neuromyelitis optica spectrum disorder using multifaceted endpoints. Mult. Scler. J. 2015, 22, 329–339. [Google Scholar] [CrossRef] [PubMed]
- Trebst, C.; Jarius, S.; Berthele, A.; Paul, F.; Schippling, S.; Wildemann, B.; Borisow, N.; Kleiter, I.; Aktas, O.; Kümpfel, T. Update on the diagnosis and treatment of neuromyelitis optica: Recommendations of the Neuromyelitis Optica Study Group (NEMOS). J. Neurol. 2014, 261, 1–16. [Google Scholar] [CrossRef] [PubMed]
- Kimbrough, D.J.; Fujihara, K.; Jacob, A.; Lana-Peixoto, M.A.; Isabel Leite, M.; Levy, M.; Marignier, R.; Nakashima, I.; Palace, J.; De Seze, J.; et al. Treatment of neuromyelitis optica: Review and recommendations. Mult. Scler. Relat. Disord. 2012, 1, 180–187. [Google Scholar] [CrossRef] [PubMed]
- Yamamura, T.; Kleiter, I.; Fujihara, K.; Palace, J.; Greenberg, B.; Zakrzewska-Pniewska, B.; Patti, F.; Tsai, C.-P.; Saiz, A.; Yamazaki, H.; et al. Trial of Satralizumab in Neuromyelitis Optica Spectrum Disorder. N. Engl. J. Med. 2019, 381, 2114–2124. [Google Scholar] [CrossRef]
- Pittock, S.J.; Berthele, A.; Fujihara, K.; Kim, H.J.; Levy, M.; Palace, J.; Nakashima, I.; Terzi, M.; Totolyan, N.; Viswanathan, S.; et al. Eculizumab in Aquaporin-4–Positive Neuromyelitis Optica Spectrum Disorder. N. Engl. J. Med. 2019, 381, 614–625. [Google Scholar] [CrossRef]
- Cree, B.A.C.; Bennett, J.L.; Kim, H.J.; Weinshenker, B.G.; Pittock, S.J.; Wingerchuk, D.M.; Fujihara, K.; Paul, F.; Cutter, G.R.; Marignier, R.; et al. Inebilizumab for the treatment of neuromyelitis optica spectrum disorder (N-MOmentum): A double-blind, randomised placebo-controlled phase 2/3 trial. Lancet 2019, 394, 1352–1363. [Google Scholar] [CrossRef]
- Hayward-Koennecke, H.; Reindl, M.; Martin, R.; Schippling, S. Tocilizumab treatment in severe recurrent anti-MOG-associated optic neuritis. Neurology 2019, 92, 765–767. [Google Scholar] [CrossRef]
- Gao, F.; Chai, B.; Gu, C.; Wu, R.; Dong, T.; Yao, Y.; Zhang, Y. Effectiveness of rituximab in neuromyelitis optica: A meta-analysis. BMC Neurol. 2019, 19, 36. [Google Scholar] [CrossRef]
- Araki, M.; Matsuoka, T.; Miyamoto, K.; Kusunoki, S.; Okamoto, T.; Murata, M.; Miyake, S.; Aranami, T.; Yamamura, T. Efficacy of the anti-IL-6 receptor antibody tocilizumab in neuromyelitis optica. Neurology 2014, 82, 1302–1306. [Google Scholar] [CrossRef] [PubMed]
- Albassam, F.; Longoni, G.; Yea, C.; Wilbur, C.; Grover, S.A.; Yeh, E.A. Rituximab in children with myelin oligodendrocyte glycoprotein antibody and relapsing neuroinflammatory disease. Dev. Med. Child Neurol. 2020, 62, 390–395. [Google Scholar] [CrossRef] [PubMed]
- Baughman, R.; Weiss, K.L.; Golnik, K.C.; BaughmanWeiss, K.L.; Golnik, K.C.; Weiss, K.L.; Golnik, K.C. Neuro-ophthalmic sarcoidosis. Eye Brain 2012, 4, 13. [Google Scholar] [CrossRef] [PubMed]
- Bradshaw, M.J.; Pawate, S.; Sparks, J.A. Neurosarcoidosis BT—Neurorheumatology: A Comprehenisve Guide to Immune Mediated Disorders of the Nervous System; Cho, T.A., Bhattacharyya, S., Helfgott, S., Eds.; Springer International Publishing: Cham, Switzerland, 2019; pp. 73–85. [Google Scholar]
- Sfikakis, P.P.; Arida, A.; Ladas, D.S.; Markomichelakis, N. Induction of ocular Behçet’s disease remission after short-term treatment with infliximab: A case series of 11 patients with a follow-up from 4 to 16 years. Clin. Exp. Rheumatol. 2019, 37, 137–141. [Google Scholar]
- Desbois, A.C.; Addimanda, O.; Bertrand, A.; Deroux, A.; Pérard, L.; Depaz, R.; Hachulla, E.; Lambert, M.; Launay, D.; Subran, B.; et al. Efficacy of Anti-TNFα in Severe and Refractory Neuro-Behcet Disease: An Observational Study. Medicine 2016, 95, e3550. [Google Scholar] [CrossRef]
- Hatemi, G.; Seyahi, E.; Fresko, I.; Talarico, R.; Hamuryudan, V. One year in review 2018: Behçet’s syndrome. Clin. Exp. Rheumatol. 2018, 36, S13–S27. [Google Scholar]
- Abel, A.; McClelland, C.; Lee, M.S. Critical review: Typical and atypical optic neuritis. Surv. Ophthalmol. 2019, 64, 770–779. [Google Scholar] [CrossRef]
- Kupersmith, M.J.; Alban, T.; Zeiffer, B.; Lefton, D. Contrast-enhanced MRI in acute optic neuritis: Relationship to visual performance. Brain 2002, 125, 812–822. [Google Scholar] [CrossRef]
- Thompson, A.J.; Banwell, B.L.; Barkhof, F.; Carroll, W.M.; Coetzee, T.; Comi, G.; Correale, J.; Fazekas, F.; Filippi, M.; Freedman, M.S.; et al. Diagnosis of multiple sclerosis: 2017 revisions of the McDonald criteria. Lancet Neurol. 2018, 17, 162–173. [Google Scholar] [CrossRef]
- Riancho-Zarrabeitia, L.; Calvo-Río, V.; Blanco, R.; Mesquida, M.; Adan, A.M.; Herreras, J.M.; Aparicio, Á.; Peiteado-Lopez, D.; Cordero-Coma, M.; García Serrano, J.L.; et al. Anti-TNF-α therapy in refractory uveitis associated with sarcoidosis: Multicenter study of 17 patients. Semin. Arthritis Rheum. 2015, 45, 361–368. [Google Scholar] [CrossRef]
- Riancho-Zarrabeitia, L.; Delgado-Alvarado, M.; Riancho, J.; Oterino, A.; Sedano, M.J.; Rueda-Gotor, J.; Pérez-Martín, I.; González-Vela, M.C.; Berciano, J.; González-Gay, M.A.; et al. Anti-TNF-α therapy in the management of severe neurosarcoidosis: A report of five cases from a single centre and literature review. Clin. Exp. Rheumatol. 2014, 32, 275–284. [Google Scholar]
- Martín-Varillas, J.L.; Calvo-Río, V.; Beltrán, E.; Sánchez-Bursón, J.; Mesquida, M.; Adán, A.; Hernandez, M.V.; Garfella, M.H.; Pascual, E.V.; Martínez-Costa, L.; et al. Successful Optimization of Adalimumab Therapy in Refractory Uveitis Due to Behçet’s Disease. Ophthalmology 2018, 125, 1444–1451. [Google Scholar] [CrossRef]
- Atienza-Mateo, B.; Martín-Varillas, J.L.; Calvo-Río, V.; Demetrio-Pablo, R.; Beltrán, E.; Sánchez-Bursón, J.; Mesquida, M.; Adan, A.; Hernández, M.V.; Hernández-Garfella, M.; et al. Comparative study of infliximab versus adalimumab in refractory uveitis due to Behçet disease, National multicenter study of 177 cases. Arthritis Rheumatol. 2019, 71, 2081–2089. [Google Scholar] [CrossRef]
- Calvo-Río, V.; Blanco, R.; Santos-Gómez, M.; Rubio-Romero, E.; Cordero-Coma, M.; Gallego-Flores, A.; Veroz, R.; Torre, I.; Hernández, F.F.; Atanes, A.; et al. Golimumab in refractory uveitis related to spondyloarthritis. Multicenter study of 15 patients. Semin. Arthritis Rheum. 2016, 46, 95–101. [Google Scholar] [CrossRef] [PubMed]
- Calderón-Goercke, M.; Loricera, J.; Aldasoro, V.; Castañeda, S.; Villa, I.; Humbría, A.; Moriano, C.; Romero-Yuste, S.; Narváez, J.; Gómez-Arango, C.; et al. Tocilizumab in giant cell arteritis. Observational, open-label multicenter study of 134 patients in clinical practice. Semin. Arthritis Rheum. 2019, 49, 126–135. [Google Scholar] [CrossRef] [PubMed]
- Calvo-Río, V.; de la Hera, D.; Blanco, R.; Beltrán-Catalán, E.; Loricera, J.; Cañal, J.; Ventosa, J.; Cifrián, J.M.; Ortiz-Sanjuán, F.; Rueda-Gotor, J.; et al. Golimumab in uveitis previously treated with other anti-TNF-alpha drugs: A retrospective study of three cases from a single centre and literature review. Clin. Exp. Rheumatol. 2014, 32, 864–868. [Google Scholar]
- Fernández-Díaz, C.; Loricera, J.; Castañeda, S.; López-Mejías, R.; Ojeda-García, C.; Olivé, A.; Rodríguez-Muguruza, S.; Carreira, P.E.; Pérez-Sandoval, T.; Retuerto, M.; et al. Abatacept in patients with rheumatoid arthritis and interstitial lung disease: A national multicenter study of 63 patients. Semin. Arthritis Rheum. 2018, 48, 22–27. [Google Scholar] [CrossRef] [PubMed]
- Calvo-Río, V.; de la Hera, D.; Beltrán-Catalán, E.; Blanco, R.; Hernández, M.; Martínez-Costa, L.; Loricera, J.; Cañal, J.; Ventosa, J.; Ortiz-Sanjuán, F.; et al. Tocilizumab in uveitis refractory to other biologic drugs: A study of 3 cases and a literature review. Clin. Exp. Rheumatol. 2014, 32, S54–S57. [Google Scholar] [PubMed]
- Kemanetzoglou, E.; Andreadou, E. CNS Demyelination with TNF-α Blockers. Curr. Neurol. Neurosci. Rep. 2017, 17, 36. [Google Scholar] [CrossRef]
- Alexandre, B.; Vandermeeren, Y.; Dewit, O.; Moreels, T.; de Boer, N.; Dhar, A.; Ziady, C.; Shitrit, A.B.G.; Steinwurz, F.; Jojic, N.; et al. Optic neuritis associated or not with TNF antagonists in patients with inflammatory bowel disease. J. Crohn’s Colitis 2016, 10, 541–548. [Google Scholar] [CrossRef]
- Kim, A.; Saffra, N. A case report of adalimumab-associated optic neuritis. J. Ophthalmic Inflamm. Infect. 2012, 2, 145–147. [Google Scholar] [CrossRef] [PubMed][Green Version]
- Lamirel, C.; Newman, N.J.; Biousse, V. Optical coherence tomography (OCT) in optic neuritis and multiple sclerosis. Rev. Neurol. 2010, 166, 978–986. [Google Scholar] [CrossRef]
- Helmut, W.; Martin, S. Diagnostik und Therapie der Optikusneuritis. Dtsch. Arztebl. Int. 2015, 112, 616–626. [Google Scholar]
- Outteryck, O.; Zephir, H.; Defoort, S.; Bouyon, M.; Debruyne, P.; Bouacha, I.; Ferriby, D.; Lacour, A.; Labalette, P.; de Seze, J.; et al. Optical Coherence Tomography in Clinically Isolated Syndrome: No Evidence of Subclinical Retinal Axonal Loss. Arch. Neurol. 2009, 66, 1373–1377. [Google Scholar] [CrossRef] [PubMed][Green Version]
- Virgili, G.; Menchini, F.; Casazza, G.; Hogg, R.; Das, R.R.; Wang, X.; Michelessi, M. Optical coherence tomography (OCT) for detection of macular oedema in patients with diabetic retinopathy. Cochrane Database Syst. Rev. 2015. [Google Scholar] [CrossRef] [PubMed]
- Igarashi, H.; Sakai, F.; Okada, J.; Tazaki, Y.; Kan, S. Magnetic resonance imaging of the brain in patients with migraine. Cephalalgia 1991, 11, 69–74. [Google Scholar] [CrossRef] [PubMed]
- Frederiksen, J.L.; Larsson, H.B.W.; Olesen, J. Correlation of magnetic resonance imaging and CSF findings in patients with acute monosymptomatic optic neuritis. Acta Neurol. Scand. 1992, 86, 317–322. [Google Scholar] [CrossRef]
- Hickman, S.J.; Toosy, A.T.; Jones, S.J.; Altmann, D.R.; Miszkiel, K.A.; MacManus, D.G.; Barker, G.J.; Plant, G.T.; Thompson, A.J.; Miller, D.H. A serial MRI study following optic nerve mean area in acute optic neuritis. Brain 2004, 127, 2498–2505. [Google Scholar] [CrossRef]
- Simon, J.H.; O’Connor, P.; Fleming, P.; Gray, T.; Jacobs, L.; Miller, C.; Munschauer, F.; Kinkel, R.P.; Bolibrush, D.; Cohen, J.; et al. MRI predictors of early conversion to clinically definite MS in the CHAMPS placebo group. Neurology 2002, 59, 998–1005. [Google Scholar]
- Oliveira, L.M.; Apóstolos-Pereira, S.L.; Pitombeira, M.S.; Bruel Torretta, P.H.; Callegaro, D.; Sato, D.K. Persistent MOG-IgG positivity is a predictor of recurrence in MOG-IgG-associated optic neuritis, encephalitis and myelitis. Mult. Scler. J. 2018, 25, 1907–1914. [Google Scholar] [CrossRef]
- Mealy, M.A.; Wingerchuk, D.M.; Palace, J.; Greenberg, B.M.; Levy, M. Comparison of Relapse and Treatment Failure Rates Among Patients With Neuromyelitis Optica: Multicenter Study of Treatment Efficacy. JAMA Neurol. 2014, 71, 324–330. [Google Scholar] [CrossRef] [PubMed]
- Kleiter, I.; Gahlen, A.; Borisow, N.; Fischer, K.; Wernecke, K.-D.; Wegner, B.; Hellwig, K.; Pache, F.; Ruprecht, K.; Havla, J.; et al. Neuromyelitis optica: Evaluation of 871 attacks and 1153 treatment courses. Ann. Neurol. 2016, 79, 206–216. [Google Scholar] [CrossRef]
- Myers, T.D.; Smith, J.R.; Wertheim, M.S.; Egan, R.A.; Shults, W.T.; Rosenbaum, J.T. Use of corticosteroid sparing systemic immunosuppression for treatment of corticosteroid dependent optic neuritis not associated with demyelinating disease. Br. J. Ophthalmol. 2004, 88, 673–680. [Google Scholar] [CrossRef] [PubMed]
- Pereira, J.; Anderson, N.E.; McAuley, D.; Bergin, P.; Kilfoyle, D.; Fink, J. Medically refractory neurosarcoidosis treated with infliximab. Intern. Med. J. 2011, 41, 354–357. [Google Scholar] [CrossRef] [PubMed]
- Kobylecki, C.; Shaunak, S. Refractory neurosarcoidosis responsive to infliximab. Pract. Neurol. 2007, 7, 112. [Google Scholar]
- Sellner, J.; Boggild, M.; Clanet, M.; Hintzen, R.Q.; Illes, Z.; Montalban, X.; Du Pasquier, R.A.; Polman, C.H.; Sorensen, P.S.; Hemmer, B. EFNS guidelines on diagnosis and management of neuromyelitis optica. Eur. J. Neurol. 2010, 17, 1019–1032. [Google Scholar] [CrossRef]
- Yates, M.; Watts, R.A.; Bajema, I.M.; Cid, M.C.; Crestani, B.; Hauser, T.; Hellmich, B.; Holle, J.U.; Laudien, M.; Little, M.A.; et al. EULAR/ERA-EDTA recommendations for the management of ANCA-associated vasculitis. Ann. Rheum. Dis. 2016, 75, 1583–1594. [Google Scholar] [CrossRef]
- Kingdon, J.; Roscamp, J.; Sangle, S.; D’Cruz, D. Relapsing polychondritis: A clinical review for rheumatologists. Rheumatology 2018, 57, 1525–1532. [Google Scholar] [CrossRef]
- Ungprasert, P.; Ryu, J.H.; Matteson, E.L. Clinical Manifestations, Diagnosis, and Treatment of Sarcoidosis. Mayo Clin. Proc. Innov. Qual. Outcomes 2019, 3, 358–375. [Google Scholar] [CrossRef]
- Hatemi, G.; Christensen, R.; Bang, D.; Bodaghi, B.; Celik, A.F.; Fortune, F.; Gaudric, J.; Gul, A.; Kötter, I.; Leccese, P.; et al. 2018 Update of the EULAR recommendations for the management of Behcet’s syndrome. Ann. Rheum. Dis. 2018, 77, 808–818. [Google Scholar] [CrossRef]
- Fanouriakis, A.; Kostopoulou, M.; Alunno, A.; Aringer, M.; Bajema, I.; Boletis, J.N.; Cervera, R.; Doria, A.; Gordon, C.; Govoni, M.; et al. 2019 Update of the EULAR recommendations for the management of systemic lupus erythematosus. Ann. Rheum. Dis. 2019, 78, 736–745. [Google Scholar] [CrossRef] [PubMed]
- Durrani, K.; Kempen, J.H.; Ying, G.-S.; Kacmaz, R.O.; Artornsombudh, P.; Rosenbaum, J.T.; Suhler, E.B.; Thorne, J.E.; Jabs, D.A.; Levy-Clarke, G.A.; et al. Adalimumab for Ocular Inflammation. Ocul. Immunol. Inflamm. 2017, 25, 405–412. [Google Scholar] [CrossRef]
- Knier, B.; Leppenetier, G.; Wetzlmair, C.; Aly, L.; Hoshi, M.-M.; Pernpeintner, V.; Biberacher, V.; Berthele, A.; Mühlau, M.; Zimmer, C.; et al. Association of Retinal Architecture, Intrathecal Immunity, and Clinical Course in Multiple Sclerosis. JAMA Neurol. 2017, 74, 847–856. [Google Scholar] [CrossRef] [PubMed]
- Oldfield, V.; Dhillon, S.; Plosker, G.L. Tocilizumab. Drugs 2009, 69, 609–632. [Google Scholar] [CrossRef]
- Plosker, G.L.; Lyseng-Williamson, K.A. Adalimumab. BioDrugs 2007, 21, 125–132. [Google Scholar] [CrossRef] [PubMed]
- Vultaggio, A.; Matucci, A.; Parronchi, P.; Rossi, O.; Palandri, F.; Romagnani, S.; Maggi, E. Safety and Tolerability of Infliximab Therapy: Suggestions and Criticisms Based on Wide Clinical Experience. Int. J. Immunopathol. Pharmacol. 2008, 21, 367–374. [Google Scholar] [CrossRef]
- Kimby, E. Tolerability and safety of rituximab (MabThera®). Cancer Treat. Rev. 2005, 31, 456–473. [Google Scholar] [CrossRef] [PubMed]



| Case | Gender/Age | Underlying Disease | Cumulative i.v. Steroids Dose (g over 1–3 days) | Max. Oral Prednisone Dose (mg/day) | Conventional IS Drugs | Max. AZA Dose (mg/p.o./day) | Max. MTX Dose (mg/s.c. or p.o./week) | Max. MMF Dose (mg/p.o./day) | Biologic Therapy |
|---|---|---|---|---|---|---|---|---|---|
| 1 | F/29 | Idiopathic | 4 | 60 | AZA | 150 | TCZ | ||
| 2 | F/26 | Idiopathic | 5.5 | 30 | AZA | 100 | TCZ | ||
| 3 | F/13 | Idiopathic | - | 10 | MTX | 15 | ADA | ||
| 4 | F/25 | Idiopathic | 3 | 60 | MTX | 25 | IFX, TCZ | ||
| 5 | F/24 | Idiopathic | 0.5 | 60 | MTX, AZA | 100 | 22.5 | ADA | |
| 6 | M/14 | Idiopathic | - | 10 | MTX | 25 | ADA | ||
| 7 | M/21 | Behçet’s disease | 0.5 | 60 | MTX, AZA | 150 | 25 | ADA | |
| 8 | M/25 | Behçet’s disease | 3 | 60 | MTX, CyA | 20 | ADA | ||
| 9 | M/39 | Behçet’s disease | - | 80 | MMF | 1000 | IFX | ||
| 10 | M/40 | Behçet’s disease | - | 80 | MMF | 2000 | IFX | ||
| 11 | M/37 | Behçet’s disease | - | 60 | CyA | IFX | |||
| 12 | F/68 | NMO | 2.5 | 30 | CPM, AZA | 100 | RTX | ||
| 13 | F/41 | NMO | 3 | 60 | CPM | RTX | |||
| 14 | M/43 | NMO | 5 | 60 | AZA | 250 | RTX | ||
| 15 | F/56 | SLE | 4.5 | 60 | HCQ | RTX | |||
| 16 | F/47 | SLE | 5 | 60 | HCQ, MMF | 750 | RTX | ||
| 17 | F/43 | Relapsing polychondritis | 3 | 60 | MTX, CPM | 15 | IFX, TCZ | ||
| 18 | M/41 | Sarcoidosis | 3 | 40 | AZA | 100 | ADA | ||
| 19 | F/30 | Vasculitis ANCA+ | 3 | 60 | AZA, MMF, LFM, CPM | 100 | 1000 | RTX |
| Anti-TNFα | Non-Anti-TNFα | |
|---|---|---|
| n | 11 | 8 |
| Sex, male/female | 7M/4F | 1M/7F |
| Mean age, (SD) | 29.3 (11.0) | 42.5 (14.5) |
| Underlying disease, (n) | Behçet’s disease (5) Idiopathic (4) Relapsing polychondritis (1) Sarcoidosis (1) | NMO (3) Idiopathic (2) SLE (2) Vasculitis ANCA+ (1) |
| Conventional IS, (n) | MTX (7) AZA (3) MMF (2) CyA (1) CPM (1) | AZA (5) CPM (3) MMF (2) HCQ (2) LFM (1) |
| Second biologic therapy, (n) | TCZ (2) | - |
| Mean follow up in months, (SD) | 32.6 (20.1) | 38.6 (31.4) |
| Remission, n (%) | 8 (72.7) | 5 (62.5) |
© 2020 by the authors. Licensee MDPI, Basel, Switzerland. This article is an open access article distributed under the terms and conditions of the Creative Commons Attribution (CC BY) license (http://creativecommons.org/licenses/by/4.0/).
Share and Cite
Herrero-Morant, A.; Álvarez-Reguera, C.; Martín-Varillas, J.L.; Calvo-Río, V.; Casado, A.; Prieto-Peña, D.; Atienza-Mateo, B.; Maiz-Alonso, O.; Blanco, A.; Vicente, E.; et al. Biologic Therapy in Refractory Non-Multiple Sclerosis Optic Neuritis Isolated or Associated to Immune-Mediated Inflammatory Diseases. A Multicenter Study. J. Clin. Med. 2020, 9, 2608. https://doi.org/10.3390/jcm9082608
Herrero-Morant A, Álvarez-Reguera C, Martín-Varillas JL, Calvo-Río V, Casado A, Prieto-Peña D, Atienza-Mateo B, Maiz-Alonso O, Blanco A, Vicente E, et al. Biologic Therapy in Refractory Non-Multiple Sclerosis Optic Neuritis Isolated or Associated to Immune-Mediated Inflammatory Diseases. A Multicenter Study. Journal of Clinical Medicine. 2020; 9(8):2608. https://doi.org/10.3390/jcm9082608
Chicago/Turabian StyleHerrero-Morant, Alba, Carmen Álvarez-Reguera, José L. Martín-Varillas, Vanesa Calvo-Río, Alfonso Casado, Diana Prieto-Peña, Belén Atienza-Mateo, Olga Maiz-Alonso, Ana Blanco, Esther Vicente, and et al. 2020. "Biologic Therapy in Refractory Non-Multiple Sclerosis Optic Neuritis Isolated or Associated to Immune-Mediated Inflammatory Diseases. A Multicenter Study" Journal of Clinical Medicine 9, no. 8: 2608. https://doi.org/10.3390/jcm9082608
APA StyleHerrero-Morant, A., Álvarez-Reguera, C., Martín-Varillas, J. L., Calvo-Río, V., Casado, A., Prieto-Peña, D., Atienza-Mateo, B., Maiz-Alonso, O., Blanco, A., Vicente, E., Rúa-Figueroa, Í., Cáceres-Martin, L., García-Serrano, J. L., Callejas-Rubio, J. L., Ortego-Centeno, N., Narváez, J., Romero-Yuste, S., Sánchez, J., Estrada, P., ... Blanco, R. (2020). Biologic Therapy in Refractory Non-Multiple Sclerosis Optic Neuritis Isolated or Associated to Immune-Mediated Inflammatory Diseases. A Multicenter Study. Journal of Clinical Medicine, 9(8), 2608. https://doi.org/10.3390/jcm9082608

