Decision Trees to Forecast Risks of Strawberry Powdery Mildew Caused by Podosphaera aphanis
Abstract
1. Introduction
2. Materials and Methods
2.1. Description of the Sampling Sites
2.2. Disease, Host, Inoculum, and Weather Monitoring
2.3. Description of the Response Variable and Classification Trees Predictors
2.4. Development of Decision Trees
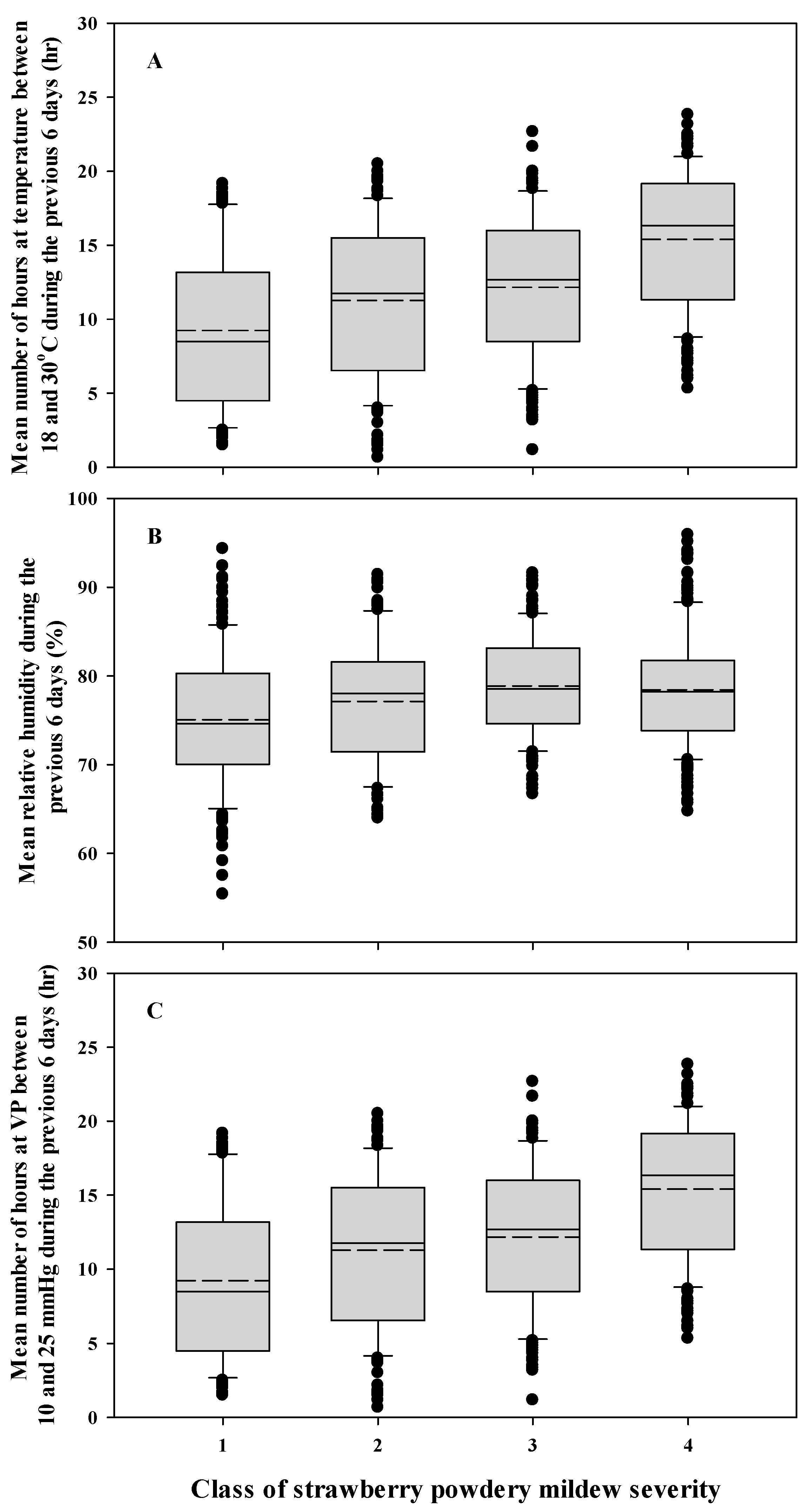
3. Results
4. Discussion
5. Conclusions
Author Contributions
Funding
Institutional Review Board Statement
Informed Consent Statement
Data Availability Statement
Acknowledgments
Conflicts of Interest
References
- Statistics Canada. Table 32-10-0364-01 Area, Production and Farm Gate Value of Marketed Fruits; Statistics Canada: Ottawa, ON, Canada. [CrossRef]
- Carisse, O.; Lefebvre, A.; Van der Heyden, H.; Roberge, L.; Brodeur, L. Analysis of incidence–severity relationships for strawberry powdery mildew as influenced by cultivar, cultivar type, and production systems. Plant Dis. 2013, 97, 354–362. [Google Scholar] [CrossRef]
- Carisse, O.; Morissette-Thomas, V.; Van der Heyden, H. Lagged association between powdery mildew leaf severity, airborne inoculum, weather, and crop losses in strawberry. Phytopathology 2013, 103, 811–821. [Google Scholar] [CrossRef] [PubMed]
- Carisse, O.; Maas, J. Les maladies du fraisier. In Our Strawberries/Les Fraises de Chez Nous; Khanizadeh, S., DeEll, J., Eds.; Gouvernement du Canada, Les éditions et Services de dépôt: Ottawa, ON, Canada, 2005; p. 551. ISBN 0660623382. [Google Scholar]
- Amsalem, L.; Freeman, S.; Rav-David, D.; Nitzani, Y.; Sztejnberg, A.; Pertot, I.; Elad, Y. Effect of climatic factors on powdery mildew caused by Sphaerotheca macularis f. sp. fragariae on strawberry. Eur. J. Plant Pathol. 2006, 114, 283–292. [Google Scholar] [CrossRef]
- Carisse, O.; Bouchard, J. Age-related susceptibility of strawberry leaves and berries to infection by Podosphaera aphanis. Crop. Prot. 2010, 29, 969–978. [Google Scholar] [CrossRef]
- Berrie, A.M.; Burgess, C.M. The effect of post-harvest epidemics of powdery mildew on yield and growth of strawberry cv. Elsanta. Proc. Third Strawb. Symp. Acta Hortic. 1997, 439, 791–798. [Google Scholar] [CrossRef]
- Freeman, J.A.; Pepin, H.S. Effect of postharvest infection of powdery mildew on yield of the strawberry cultivar Northwest. Can. Plant Dis. Surv. 1969, 49, 139. [Google Scholar]
- Spencer, D.M. The Powdery Mildews; Academic Press: London, UK; New York, NY, USA, 1978. [Google Scholar]
- Blanco, C.; de los Santos, B.; Barrau, C.; Arroyo, F.T.; Porras, M.; Romero, F. Relationship among concentrations of Sphaerotheca macularis conidia in the air, environmental conditions, and the incidence of powdery mildew in strawberry. Plant Dis. 2004, 88, 878–881. [Google Scholar] [CrossRef]
- Jhooty, J.S.; McKeen, W.E. Studies on powdery mildew of strawberry caused by Sphaerotheca macularis. Phytopathology 1965, 55, 281–285. [Google Scholar]
- Peries, O.S. Studies on strawberry mildew, caused by Sphaerotheca macularis (Wallr. ex Fries) Jaczewski: I. Biology of the fungus. Ann. Appl. Biol. 1962, 50, 211–224. [Google Scholar] [CrossRef]
- Peries, O.S. Studies on strawberry mildew, caused by Sphaerotheca macularis (Wallr. ex Fries) Jaczewski: II. Host–parasite relationships on foliage of strawberry varieties. Ann. Appl. Biol. 1962, 50, 225–233. [Google Scholar] [CrossRef]
- Sombardier, A.; Savary, S.; Blancard, D.; Jolivet, J.; Willocquet, L. Effects of leaf surface and temperature on monocyclic processes in Podosphaera aphanis, causing powdery mildew of strawberry. Can. J. Plant Pathol. 2009, 31, 439–448. [Google Scholar] [CrossRef]
- Bouchard, J. Épidémiologie et Évaluation de Systèmes Prévisionnels Comme Outil de Lutte Raisonnée Contre le Blanc (Sphaerotheca Macularis) Chez le Fraisier à Jour Neutre et Conventionnel; Université Laval: Québec, QC, Canada, 2008. [Google Scholar]
- Asalf, B.; Gadoury, D.M.; Tronsmo, A.M.; Seem, R.C.; Dobson, A.; Peres, N.A.; Stensvand, A. Ontogenic resistance of leaves and fruit, and how leaf folding influences the distribution of powdery mildew on strawberry plants colonized by Podosphaera aphanis. Phytopathology 2014, 104, 954–963. [Google Scholar] [CrossRef] [PubMed]
- Xiao, C.L.; Chandler, C.K.; Price, J.F.; Duval, J.R.; Mertely, J.C.; Legard, D.E. Comparison of epidemics of Botrytis fruit rot and powdery mildew of strawberry in large plastic tunnel and field production systems. Plant Dis. 2001, 85, 901–909. [Google Scholar] [CrossRef] [PubMed]
- Pertot, I.; Fiamingo, F.; Amsalem, L.; Maymon, M.; Freeman, S.; Gobbin, D.; Elad, Y. Sensitivity of two Podosphaera aphanis populations to disease control agents. J. Plant Pathol. 2007, 89, 85–96. [Google Scholar]
- Sombardier, A.; Dufour, M.C.; Blancard, D.; Corio-Costet, M.F. Sensitivity of Podosphaera aphanis isolates to DMI fungicides: Distribution and reduced cross-sensitivity. Pest. Manag. Sci. 2010, 66, 35–43. [Google Scholar] [CrossRef] [PubMed]
- Carisse, O.L.; Van der Heyden, H. A new risk indicator for botrytis leaf blight of onion caused by Botrytis squamosa based on infection efficiency of airborne inoculum. Plant Pathol. 2012, 61, 1154–1164. [Google Scholar] [CrossRef]
- Van der Heyden, H.; Lefebvre, M.; Roberge, L.; Brodeur, L.; Carisse, O. Spatial pattern of strawberry powdery mildew (Podosphaera aphanis) and airborne inoculum. Plant Dis. 2014, 98, 43–54. [Google Scholar] [CrossRef] [PubMed][Green Version]
- Miller, T.C.; Gubler, W.D.; Geng, S.; Rizzo, D.M. Effects of temperature and water vapor pressure on conidial germination and lesion expansion of Sphaerotheca macularis f. sp. fragariae. Plant Dis. 2003, 87, 484–492. [Google Scholar] [CrossRef]
- Dodgson, J.; Hall, A.; Parker, S. Rule based prediction system to optimize fungicide applications for control of Podosphaera aphanis. Acta Hort. 2009, 842, 355–358. [Google Scholar] [CrossRef]
- Eccel, E.; Fratton, S.; Ghielmi, L.; Tizianel, A.; Shtienberg, D.; Pertot, I. Application of a non-linear temperature forecast post-processing technique for the optimization of powdery mildew protection on strawberry. Ital. J. Agrometeorol. 2010, 2, 5–14. [Google Scholar]
- Bardet, A.; Vibert, J. L’oïdium du fraisier: Un outil de prévision du risque. Infos Ctifl 2011, 276, 38–44. [Google Scholar]
- Hoffman, L.E.; Gubler, W.D. Validation of the UC Davis Strawberry Powdery Mildew Risk Index. Calif. Strawb. Comm. Rep. 2002, 2, 19. [Google Scholar]
- Carisse, O.; Caffi, T.; Rossi, V. How to develop and validate plant disease forecasting systems. In Exercises in Plant Disease Epidemiology, 2nd ed.; Stevenson, K.L., Jeger, M.J., Eds.; APS-Press: St-Paul, MN, USA, 2014; ISBN 9780890544402. [Google Scholar]
- Rossi, V.; Sperandio, G.; Caffi, T.; Simonetto, A.; Gilioli, G. Critical Success Factors for the Adoption of Decision Tools in IPM. Agronomy 2019, 9, 710. [Google Scholar] [CrossRef]
- Ilic, M.; Ilic, S.; Jovic, S.; Panic, S. Early cherry fruit pathogen disease detection based on data mining prediction. Comput. Electron. Agric. 2018, 150, 418–425. [Google Scholar] [CrossRef]
- Mehra, L.K.; Cowger, C.; Gross, K.; Ojiambo, P.S. Predicting Pre-planting Risk of Stagonospora nodorum blotch in Winter Wheat Using Machine Learning Models. Front. Plant Sci. 2016, 7, 390. [Google Scholar] [CrossRef]
- Mukerji, K.G. 1968 Sphaerotheca macularis. C.M.I. Descriptions of Pathogenic Fungi and Bacteria; Commonwealth Mycological Institute: Kew, UK, 2009. [Google Scholar]
- Fall, M.L.; Carisse, O. Dynamic simulation modelling for plant disease severity prediction: A novelty toward improving accuracy of strawberry powdery mildew prediction. Agric. For. Meteorol. 2021. [Google Scholar]
- Efron, B.; Tibshirani, R. An Introduction to the Bootstrap; Chapman and Hall: New York, NY, USA, 1993. [Google Scholar]
- Breiman, L.; Friedman, J.H.; Olshen, R.A.; Stone, C.J. Classification and Regression Trees; Wadsworth Inc.: Monterey, CA, USA, 1984. [Google Scholar]
- Mucherino, A.; Papajorgji, P.; Pardalos, P. Data Mining in Agriculture; Springer: Cham, Switzerland, 2009. [Google Scholar]
- Witten, I.; Frank, E. Data Mining Practical Machine Learning Tools and Techniques, 2nd ed.; Morgan Kaufmann: Burlington, MA, USA, 2005. [Google Scholar]
- Nelson, B.D. Variable Reduction for Modeling using PROC VARCLUS. In SAS Institute Inc. (1999), SAS/STAT_ User’s Guide; SAS Institute Inc.: Cary, NC, USA, 1999; pp. 261–263. [Google Scholar]
- Jackson, J.E. A Users Guide to Principal Components; John Wiley & Sons: New York, NY, USA, 1991. [Google Scholar]
- Lewis, R.J. An Introduction to Classification and Regression Tree (CART) Analysis. Annual Meeting of the Society for Academic Emergency Medicine in San Francisco, California, 2000, Proceedings. Available online: https://www.researchgate.net/publication/240719582 (accessed on 14 November 2020).
- Fall, M.L.; Van der Heyden, H.; Beaulieu, C.; Carisse, O. Bremia lactucae infection efficiency in lettuce is modulated by temperature and leaf wetness duration under Quebec field conditions. Plant Dis. 2015, 99, 1010–1019. [Google Scholar] [CrossRef]
- Steinberg, D.; Colla, P.; Martin, K. CART—Classification and Regression Trees: Supplementary Manual for Windows; Salford Systems: San Diego, CA, USA, 1998. [Google Scholar]
- Nutter, F.W.; Teng, P.S.; Royer, M.H. Terms and concepts for yield, crop loss, and disease thresholds. Plant Dis. 1993, 77, 211–215. [Google Scholar]
- Savary, S.; Teng, P.S.; Willocquet, L.; Nutter, F.W., Jr. Quantification and modeling of crop losses: A review of purposes. Annu. Rev. Phytopathol. 2006, 44, 89–112. [Google Scholar] [CrossRef]
- Fall, M.L.; Van der Heyden, H.; Carisse, O. A Quantitative Dynamic Simulation of Bremia lactucae Airborne Conidia Concentration above a Lettuce Canopy. PLoS ONE 2016, 11, e0144573. [Google Scholar] [CrossRef]
- Paul, P.A.; Munkvold, G.P. A model-based approach to preplanting risk assessment for gray leaf spot of maize. Phytopathology 2004, 94, 1350–1357. [Google Scholar] [CrossRef] [PubMed]






| Description | Unit | Abbreviation a |
|---|---|---|
| Airborne conidia concentration (ACC) | Log10 conidia/m3+1 | Log10(ACC+1) |
| Number of susceptible leaves | Number of leaves per 1 m of row | LVS |
| Daily mean, minimum and maximum temperature | °C | T, Tmin, Tmax |
| Day mean, minimum, and maximum temperature | °C | DT, DTmin, DTmax |
| Night mean, minimum, and maximum temperature | °C | NT, NTmin, NTmax |
| Average mean, minimum, and maximum temperature during the previous 6 days | °C | 6T, 6Tmin, 6Tmax |
| Daily mean, minimum and maximum relative humidity | % relative humidity | RH, RHmin, RHmax |
| Day mean, minimum, and maximum relative humidity | % relative humidity | DRH, DRHmin, DRHmax |
| Night mean, minimum, and maximum relative humidity | % relative humidity | NRH, NRHmin, NRHmax |
| Average mean, minimum, and maximum relative humidity during the previous 6 days | % relative humidity | 6RH, 6RHmin, 6RHmax |
| Daily, day, night and 6-day average total rainfall | mm | RAIN, DRAIN, NRAIN, 6RAIN |
| Daily, day, night and 6-day average number of rainy hours | hours | RAINH, DRAINH, NRAINH, 6RAINH |
| Daily, day, night and 6-day average number of hours with temperature below 5 °C | hours | T < 5, DT < 5, NT < 5, 6T < 5 |
| Daily, day, night and 6-day average number of hours with temperature below 13 °C | hours | T < 13, DT < 13, NT < 13, 6T < 13 |
| Daily, day, night and 6-day average number of hours with temperature above 30 °C | hours | T > 30, DT > 30, NT > 30, 6T > 30 |
| Daily, day, night and 6-day average number of hours with temperature above 35 °C | hours | T > 35, DT > 35, NT > 35, 6T > 35 |
| Daily, day, night and 6-day average number of hours with temperature between 15 and 25 °C | hours | T15–25, DT15–25, NT15–25, 6T15–25 |
| Daily, day, night and 6-day average number of hours with temperature between 18 and 25 °C | hours | T18–25, DT18–25, NT18–25, 6T18–25 |
| Daily, day, night and 6-day average number of hours with temperature between 18 and 30 °C | hours | T18–30, DT18–30, NT18–30, 6T18–30 |
| Daily, day, night and 6-day average number of hours with relative humidity above 95% | hours | RH > 95, DRH > 95, NRH > 95, 6RH > 95 |
| Daily, day, night and 6-day average number of hours with relative humidity between 70% and 85% | hours | RH70–85, DRH70–85, NRH70–85, 6RH70–85 |
| Daily, day, night and 6-day average number of hours with relative humidity between 70% and 95% | hours | RH70–95, DRH70–95, NRH70–95, 6RH70–95 |
| Daily, day, night and 6-day average mean saturation vapor pressure | Mm Hg | VP, DVP, NVP, 6VP |
| Daily, day, night and 6-day average number of hours with saturation vapor pressure below 5 Mm Hg | hours | VP < 5, DVP < 5, NVP < 5, 6VP < 5 |
| Daily, day, night and 6-day average number of hours with vapor pressure above 10 Mm Hg | hours | VP > 10, DVP > 10, NVP > 10, 6VP > 10 |
| Daily, day, night and 6-day average number of hours with vapor pressure between 10 and 25 Mm Hg | hours | VP10–25, DVP10–25, NVP10–25, 6VP10–25 |
| Daily, day, night and 6-day average number of hours with vapor pressure 15 and 25 Mm Hg | hours | VP15–25, DVP15–25, NVP15–25, 6VP15–25 |
| Trees and Predictors Selected a | Data Set b | Reliability c | SPM Class | |||
|---|---|---|---|---|---|---|
| 1 | 2 | 3 | 4 | |||
| All: log10(ACC + 1), LVS, 6RH, 6T1830, 6VP1025 | Training | Sensitivity | 0.88 | 0.74 | 0.70 | 0.89 |
| Specificity | 0.97 | 0.96 | 0.93 | 0.90 | ||
| Accuracy | 0.95 | 0.91 | 0.85 | 0.90 | ||
| Internal validation | Sensitivity | 0.88 | 0.72 | 0.71 | 0.87 | |
| Specificity | 0.98 | 0.94 | 0.93 | 0.92 | ||
| Accuracy | 0.96 | 0.90 | 0.84 | 0.90 | ||
| External validation | Sensitivity | 0.90 | 0.73 | 0.68 | 0.80 | |
| Specificity | 0.99 | 0.89 | 0.87 | 0.97 | ||
| Accuracy | 0.97 | 0.86 | 0.82 | 0.90 | ||
| Weather and Inoculum: log10(ACC + 1), 6T1825, 6RHMAX, 6VP1025, 6RAINH | Training | Sensitivity | 0.88 | 0.63 | 0.66 | 0.79 |
| Specificity | 0.97 | 0.92 | 0.93 | 0.90 | ||
| Accuracy | 0.95 | 0.86 | 0.81 | 0.87 | ||
| Internal validation | Sensitivity | 0.88 | 0.57 | 0.56 | 0.78 | |
| Specificity | 0.97 | 0.90 | 0.93 | 0.89 | ||
| Accuracy | 0.95 | 0.83 | 0.77 | 0.86 | ||
| External validation | Sensitivity | 0.83 | 0.65 | 0.71 | 0.76 | |
| Specificity | 0.97 | 0.91 | 0.84 | 0.94 | ||
| Accuracy | 0.94 | 0.86 | 0.81 | 0.88 | ||
| Weather and Host: LVS, 6T13, 6RH, 6RAINH, 6T1525, 6RHMAX | Training | Sensitivity | 0.80 | 0.76 | 0.68 | 0.89 |
| Specificity | 0.97 | 0.93 | 0.93 | 0.89 | ||
| Accuracy | 0.93 | 0.90 | 0.86 | 0.89 | ||
| Internal validation | Sensitivity | 0.74 | 0.62 | 0.59 | 0.80 | |
| Specificity | 0.95 | 0.89 | 0.93 | 0.88 | ||
| Accuracy | 0.90 | 0.84 | 0.79 | 0.86 | ||
| External validation | Sensitivity | 0.76 | 0.65 | 0.61 | 0.76 | |
| Specificity | 0.98 | 0.88 | 0.82 | 0.93 | ||
| Accuracy | 0.93 | 0.90 | 0.86 | 0.89 | ||
| Weather: 6T13, 6RH, 6T1525, 6RAINH, 6T1825, 6RHMAX, 6T, 6VP5, 6T1830, NTMIN, 6VP1025, NRH, RAINH, T, NT1525 | Training | Sensitivity | 0.76 | 0.72 | 0.67 | 0.76 |
| Specificity | 0.93 | 0.93 | 0.93 | 0.90 | ||
| Accuracy | 0.89 | 0.88 | 0.82 | 0.86 | ||
| Internal validation | Sensitivity | 0.54 | 0.57 | 0.45 | 0.60 | |
| Specificity | 0.90 | 0.85 | 0.93 | 0.85 | ||
| Accuracy | 0.81 | 0.79 | 0.70 | 0.78 | ||
| External validation | Sensitivity | 0.69 | 0.42 | 0.58 | 0.68 | |
| Specificity | 0.93 | 0.85 | 0.81 | 0.90 | ||
| Accuracy | 0.88 | 0.76 | 0.76 | 0.82 | ||
Publisher’s Note: MDPI stays neutral with regard to jurisdictional claims in published maps and institutional affiliations. |
© 2021 by the authors. Licensee MDPI, Basel, Switzerland. This article is an open access article distributed under the terms and conditions of the Creative Commons Attribution (CC BY) license (http://creativecommons.org/licenses/by/4.0/).
Share and Cite
Carisse, O.; Fall, M.L. Decision Trees to Forecast Risks of Strawberry Powdery Mildew Caused by Podosphaera aphanis. Agriculture 2021, 11, 29. https://doi.org/10.3390/agriculture11010029
Carisse O, Fall ML. Decision Trees to Forecast Risks of Strawberry Powdery Mildew Caused by Podosphaera aphanis. Agriculture. 2021; 11(1):29. https://doi.org/10.3390/agriculture11010029
Chicago/Turabian StyleCarisse, Odile, and Mamadou Lamine Fall. 2021. "Decision Trees to Forecast Risks of Strawberry Powdery Mildew Caused by Podosphaera aphanis" Agriculture 11, no. 1: 29. https://doi.org/10.3390/agriculture11010029
APA StyleCarisse, O., & Fall, M. L. (2021). Decision Trees to Forecast Risks of Strawberry Powdery Mildew Caused by Podosphaera aphanis. Agriculture, 11(1), 29. https://doi.org/10.3390/agriculture11010029
