Abstract
Organic solid wastes are rarely considered when planning for rural production in Argentina. Onion production in the low valley of Río Colorado (Buenos Aires) generates between 12,000 and 20,000 Mg year−1 of vegetal wastes (i.e., leaves, stems, skins, roots) from harvesting, cleaning and classification of bulbs, causing many problems with their management. The aim of this work is to study the effect of different doses of onion residue-bovine manure compost and onion residue-bovine manure compost tea on the soil physicochemical properties, microbial activity and agroecological onion production in sandy soil. Results showed that the highest dose of compost caused the highest effects on soil pH, electrical conductivity and nutrient content. Soil enzymatic activities were already high in the soil before the compost was applied, which may have contributed to the small effect caused by any dose on soil activity. A significant positive effect on bulb weight and organic onion yield were found as a result of the amendment and growing season. In conclusion, agroecological production of onion with the addition of a 300 kg N ha−1 compost and compost tea guarantee yields comparable to those of conventional fertilization, as occurred during the two growing seasons of this study.
1. Introduction
Onions (Allium cepa L.) have been cultivated for more than 4700 years and originate from mountainous regions of Central Asia [1]. According to FAO data, 3.7 million hectares are planted with onions annually in approximately 175 countries [2]. The main onion producers worldwide are China, India, the United States, Pakistan and Bangladesh, and in South America Brazil, Mexico and Argentina. This vegetable has a fairly dynamic market within MERCOSUR, with Brazil being the main importer and Argentina its main supplier, supplying 80% of its imports [3]. In Argentina, 24,000 ha of onion are cultivated annually in various regions of the country, supplying an estimated production of 450,000 Mg. There are three main onion-producing zones in Argentina: North (65,000–75,000 Mg year−1) and Centre-West (100,000 Mg year−1) that satisfy the internal demand, and South (480,000 Mg year−1) that produces for local and export destinations [4]. Onions have a superficial radicular system. Thus, in order to guarantee a superficial soil nitrate content increment, N is usually applied as urea in high doses [5]. However, this practice has a negative effect on the environment (i.e., groundwater contamination and eutrophication) [6] and on the crop (i.e., excessive N reduces onion yield and delays maturity). On the other side, agroecological farming systems provides N as the organic matter could guarantee a gradual release of inorganic N by microorganism mineralization, thus minimizing the environmental risk and satisfying onion requirements [7]. Several studies indicate that it is possible to obtain high onion yields using compost amendment [8] and compost tea [9,10] in soils.
Organic solid wastes (OSW) are rarely considered in land-use planning in Argentina. The onion production in the low valley of Río Colorado (south of Buenos Aires province) is widely affected by OSW management. Composting is a simple worldwide applied method to transform organic waste into stabilized organic matter that may be added to soils as an amendment (organic fertilizer) or mulching (for soil moisture retention), and it is also used to remediate contaminated lands or as a cover in waste final disposal areas [11,12]. As a controlled aerobic decomposition process, composting leads to an important reduction in OSW volume, stabilizing nutrient content, decreasing odour emissions, and eliminating pathogenic organisms and weed seeds [13]. The application of composts as organic amendments generally increases the soil organic matter, nutrient content and water retention capacity, improving the efficiency of watering and easing the tilling [14]. As an amendment, compost may either be applied directly over the soil or together with the water using sprinkler or drip irrigation systems.
Compost tea is the name usually given to the incubation of compost in water to extract soluble organic matter, microorganisms, macro and micronutrients [15]. The use of compost tea in organic agriculture is gaining popularity as a consequence of improving the soil biology and fertility [16,17]. However, the effects of compost tea application on production, physicochemical and biological properties of soils have been poorly studied in Argentina [18].
The aim of this work is to study the effect of the application of different doses of onion residue and bovine manure compost and compost tea, on the agroecological production of onions and on the physicochemical properties of a sandy central Argentina soil (i.e., gravimetric moisture, pH, electrical conductivity, organic matter, extractable P, total N, microbial respiration and enzymatic activities).
The scientific hypotheses of this research were: (1) onion yields are higher using compost and compost tea treatments compared with control treatment, (2) soil physicochemical and microbiological properties after onion production are improved using compost and compost tea treatments compared with control treatment.
2. Materials and Methods
The study was conducted at the INTA Agricultural Experimental Station Hilario Ascasubi (INTA EEA H. Ascasubi). The average annual temperature over the years was 15 °C, and the mean annual rainfall was 483.5 mm (39°23′ S, 62°37′ W), arid steppe according to the climate classification (Köppen). The historical climatological records (i.e., an average of the period 1966–2016) and the 2 consecutive test years are shown in Figure 1. Soils were Entic Hapludoll, sandy loam (USDA Soil Taxonomy) with 2.3% organic matter (OM), 0.13% total N (TN), 10 mg kg−1 extractable phosphorus (Pe), 0.10 dS m−1 electrical conductivity (EC) and pH of 7.1.
Figure 1.
Ombrothermic diagrams: periods (a) 1966–2016, (b) 2014–2015 and (c) 2015–2016.
The composting experiment was carried out at INTA EEA H. Ascasubi in the period between May and September 2014. The experiment used the technology of windrow composting at open area on impervious flooring. The study included onion residue (80% peeling, 20% bulbs), livestock manure and oat stubble as co-composting material (1:1:1, v/v). Onion residues were collected from export storage and packing warehouses buildings for export, livestock manure was collected from an intensive feeding system for beef production and oat tubble from storage on the site. The physical properties and chemical composition of these by-products were analyzed, and a compost recipe was formulated with suitable a C:N ratio (30:1) and achieving 60% of moisture content by water addition. The turned method was conducte with a windrow composting turner machine. The turning schedule was selected based on the temperature and moisture level of the mix. The composting process took 140 days. Finished compost composition was: 35% of OM, 19.5% total carbon (TC), 1.39% TN, C:N ratio of 14, 209 mg kg−1 Pe, 3.03 dS m−1 of EC and a pH of 8.6. The results on the analysed macro-elements were: 638 mg kg−1 K, 211 mg kg−1 Ca and 492 mg kg−1 Mg. Concentrations of the compost elements which could potentially be toxic were 0.59 mg kg−1 As, 0.1 mg kg−1 Cd, 0.68 mg kg−1 Cr, 11.5 mg kg−1 Cu, 0.05 mg kg−1 Hg, 0.87 mg kg−1 Mo, 1.7 mg kg−1 Ni, 0.27 mg kg−1 Pb, 0.1 mg kg−1 Se and 31 mg kg−1 Zn. According to literature, these toxic element were all under the limit values [19,20,21]. The compost tea was aerobically produced in a 1000 L capacity polyethylene tank with an associated air pump. Compost brewed in water for 24 h (1 kg compost:10 L water) [22]. Some parameters of the compost tea characterisation were: 320 mg L−1 TC, 3150 mg L−1 TN, 39.2 mg L−1 P, 10.5 dS m−1 EC and pH 6.5.
The experiment was performed during 2015 and 2016 growing seasons in a completely randomized design. Four doses of onion manure compost (OMC) were studied, according to the total N content: 75 kg N ha−1 (OMC1), 150 kg N ha−1 (OMC2), 225 kg N ha−1 (OMC3) and 300 kg N ha−1 (OMC4). The maximum dose was approximately equivalent to 30 Mg ha−1, which is an appropriate dose for agriculture (higher doses are recommended for the restoration of degraded soils, 40–60 Mg ha−1). Onion manure compost tea (OMCT) was also prepared according to selected doses of compost total N: 75 kg N ha−1, 6 kg compost: 60 L water (OMCT1); 150 kg N ha−1, 11 kg compost: 110 L water (OMCT2); 225 kg N ha−1, 17 kg compost:170 L water (OMCT3); and 300 kg N ha−1, 23 kg compost: 230 L water (OMCT4).
On the 15th October 2014, 3 75 m2 enclosures were established and, separated by at least 0.5 m. In each block, 9 experimental plots with a size of 1.2 m x 5 m were placed and randomly assigned to different treatments: (1) Control (C), (2) OMC1, (3) OMC2, (4) OMC3, (5) OMC4, (6) OMCT1, (7) OMCT2, (8) OMCT3 and (9) OMCT4. Compost was applied once. However, compost tea was applied in several fractions once a week for 2 months due to the high volume required. Plots that were not treated with OMCT were, added with the equivalent amount of water to the same treatment according to the dose of N in each of the applications (to eliminate the irrigation effect). The October 2015 trial was set up as in 2014 (i.e., repeated applications on the same plots).
2.1. Sampling Design
Samplings were performed during 2 consecutive growing seasons (2014–2015 and 2015–2016). In each growing season soil was sampled 4 times in October (pre-transplant), December (1st harvest), January (2nd harvest) and February (post-harvesting). The sampling in October 2014 conducted done a week after the amendments application.
Before soil sampling, small shovels were used to remove non-incorporated compost and litter. Soil borers (i.e., 2.5 cm diameter, 20 cm height) were used to obtain soil samples at 0–10 cm depth. Each sample was composed by 15 subsamples taken randomly in each experimental plot. In the laboratory, soil was sieved through 2 mm mesh and preserved at 4 °C to estimate gravimetric water content and enzymatic activities, and to initiate potential respiration activities within 48 h from sampling. Finally, samples were air-dried for EC, pH, OM, Pe and TN analyses.
2.2. Experimental Analyses
Plant variables: at harvest time, 3 metres of each plot were harvested for yield assessment and the bulbs were then placed in plastic mesh bags. They were left under cover for 1 month in a naturally ventilated shed. Numbers were recorded and sorted by individual size (MERCOSUR standard) and weight. Total production, commercial production and onions to be discarded (i.e., smaller sizes and with signs of disease) were evaluated. The number of bulbs and dry weight of bulbs was estimated and used to calculate the bulb weight (g) and yield (kg ha−1).
Soil variables: aqueous extracts were used to estimate pH (1:2.5, substrate:water) and EC (1:5, substrate:water). Pe was determined following the molybdate ascorbic acid method [23], TN by semi-micro Kjeldahl [24] and OM by the wet combustion method [25]. Subsamples were analysed for moisture content (i.e., 105 °C for 72 h). Biological activity was assessed by determining the C released as CO2 C captured in a solution of NaOH and back titration with HCl [26]. This methodology included, the dry soil that was previously sifted (<2 mm mesh sieve); then, 100 g of soil were placed in hermetically 750 cm3 glass flasks (microcosms) and water was added to soil moisture adjusted to 60% of the EP [27] and they were pre-incubated for a week at 25 °C. A beaker with 30 mL of NaOH trap solution (0.5 N) was placed in each flask. Three repetitions per treatment were conducted and 3 controls without soil were added as blanks. At each sampling date, the amount of CO2 in the flasks was determined by back titration with HCl (0.25 M) in an excess of BaCl2 saturated solution (1.5 M). The values obtained were expressed in mL CO2 100 g−1 h−1. The enzyme activity assays were conducted in suspensions of soil and water (1:10). β-glucosidase (BG), acid phosphomonoesterase (AP), leucine-aminopeptidase (LAP), and phenol oxidase (POX) were determined. Aliquots of sample suspension (1 mL) were incubated at 20 °C with 1 mL of each enzyme-substrate at specific conditions; a sample control (sample suspension with buffer) and a substrate control (substrate with buffer) were also incubated [28]. Enzyme assays began within 48 h of sample collection. Soil enzyme activity was expressed on soil mass.
2.3. Statistical Analyses
The effect of amendments and growing season on plants, soil and microbiological properties was tested with two-way ANOVAs with repeated measures (within-subjects factor: growing season 2 levels = December 2014/January 2015 and December 2015/January 2016; between-subjects factor: treatment 9 levels = C, OMC1, 162 OMC2, OMC3, OMC4, OMCT1, OMCT2, OMCT3, OMCT4; 3 replicates).
Tukey’s post hoc comparisons were applied to determine the significance of differences among groups of means. All the variables were checked for normality (Kolmogorov–Smirnov test, p > 0.05) and homogeneity of variances (Cochran C test, p > 0.05). All analyses were performed with SPSS 14.0 software.
3. Results
In the analysis, a significant interaction (p < 0.003) was found between the amendment and growing seasons, thus it was studied separated. A significant effect of amendment and growing season on bulb weight and organic onion yield was found. The weight per bulb increased during the second growing season when applying compost but not when compost tea was added, as shown by simple effects. In addition, amendment dose effects increased second season bulb weight as follows:
OMCT3 < C = OMCT2 = OMCT1 = OMCT4 < OMC1 = OMC3 < OMC2 = OMC4 (Table 1).
Table 1.
Repeated measures ANOVA results for productivity.
Finally, no differences in mean yield were detected between growing seasons. Amendments significantly increased yields only during the second growing season, when treatments could be ordered as follows:
Figure 2.
Mean onion yield (kg ha−1) in two consecutive growing seasons. C = control; OMC = onion-manure compost; OMCT = onion-manure compost tea. 1st GS = 2014–2015 growing season; 2nd GS = 2015–2016 growing season. Error bars = standard errors.
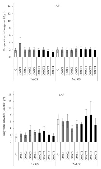
There was a significant positive effect of compost addition on soil pH and EC, which were highest in OMC3 and OMC4 treatments (Table 2) and no effect with the addition of compost tea. Moisture content and OM were not significantly affected by amendments but increased in all treatments for the second growing season. There was a significant effect of amendment and growing season on TN (no significant interaction), which increased during the second growing season. The OMCT4 and OMC4 presented the highest TN, but not significant differences with other treatments were found (Table 2). Finally, Pe was affected by the amendment and growing season and the interaction was significant. When simple effects were studied, compost significantly increased Pe in both growing seasons but not compost tea (Table 3). As for soil microbiological properties, no effects of amendments on soil respiration or enzymatic activities were observed. A significant increase in POX was detected during the second growing season in all treatments (Figure 3, Table 3).
Table 2.
Effect of treatments on some chemical and biological properties of soils.
Table 3.
Repeated measures ANOVA results for physicochemical properties and microbiological parameters of the soil.


Figure 3.
Mean (a) Soil respiration (mg CO2 h−1 kg−1) and (b) Enzymatic activities per gram of dry soil (μmol h−1 g−1) in two consecutive growing seasons. C = control; OMC= on-ion-manure compost; OMCT = onion-manure compost tea BG = β-Glucosidase, AP = acid phosphomonoesterase, LAP = leucine-aminopeptidase, POX = phenol oxidase activity. 1st GS = 2014–2015 growing season; 2nd GS = 2015–2016 growing season. Error bars = standard errors.
4. Discussion
The highest dose of OMC caused the highest effects on soil pH, EC and nutrient content. In addition, the highest doses of OMC and OMCT significantly increased onion yield during the second growing season. The climatic variables during the crop cycle were representative of the historical climatological records. However, a significant increase in precipitation was observed in the second crop cycle during November and December (when OMCT treatment was applied), showing a slight EC decrease in the second year.
For the second growing season, there was a significant yield increase caused by the addition of OMC and OMCT. The positive effect of amendments on TN (statistically, it was not significant) is considered to be the reason for the higher onion yield in the second growing season. The highest doses of compost (i.e., OMC3 and OMC4) caused a statistically significant increase in pH, EC and Pe. In addition, in the second season there was a clear tendency to higher OM caused by the highest doses of OMC suggesting that improvements in the soil nutrient content from slow nutrient mineralization could have future positive effects on microbial activity and onion yield. On those lines, Pellejero et al. [29] studied lettuce growth in pots under several doses of onion residue-bovine manure compost or urea, reporting a higher effect of urea during the first year but, on the second year, results showed similar effects of compost and urea applications. As for compost tea, the only improvement on yield was with the highest dose showing an increment in TN without changing soil pH, EC or Pe. A lower performance trend was observed in treatments using OMCT. This was probably caused by mineralisation of other nutrients from the applied solid amendment. Previously, compost and compost tea obtained from the same source have been reported as having a different effect on soil EC and pH.
Meta-analyses have shown that yields in organic horticulture were on average 10 to 32% lower compared with conventional horticulture [30]. Experimental comparisons between organic and conventional horticulture have supported this finding for A. cepa [31]. The challenge of maintaining nutrient availability in organic systems was usually mentioned as an important explanation for this yield difference [32]. In this study, the highest onion yields were found in OMC treatments for the second growing season and were above 30 ton ha−1. Considering that Argentina conventional onion yields were between 40–60 Mg ha−1 [33], these yield results differences between organic and conventional production were in accordance with the literature [30,34].
The application of compost has resulted in an increase of soil EC and pH [18,28,35] and a positive effect was expected when soils were salt deficient and/or the soil pH needs be improved. It is of great importance that, the richness of manure compost in P and the associated increment in soil Pe after compost addition [36,37] may be an important limitation to the use of this amendment as fertilizer. As N is usually the limiting nutrient in soils, composts are frequently applied according to the TN dose [29]. However, as compost nutrients are mostly present as organic matter the application of an appropriate dose of N usually leads to an excess of Pe in the soil. Our results showed that P provided by OMCT was much less than Pe in OMC. However, soil TN reached similar values after the application of OMC and OMCT. Then, compost tea in this experiment (i.e., 1 kg compost: 10 L water, 24 h) could represent an appropriate method for controlling the high Pe content that could be found in all manure compost. There is a need for further work on the solubility of nutrients present in compost and the concentrations of nutrients in compost tea produced by different extraction protocols. The preparation of compost tea may be an appropriate form to control some undesirable effects of compost application. Such as the imbalance between N and P nutrients in manure composts that usually leads to contamination when it is used as a fertilizer [38] or the high pH of green composts that cause an increase in soil pH that may negatively affect some plant species [35,39]. Compost applications with the agronomic criteria of the input in N are recommended to prevent environmental losses. Thus, in consecutive soil applications on the same plots, it is recommended to balance the applications on a P basis to avoid values above the recommended values.
An unexpected result was the lack of effect of any treatment on microbiological activity, as the addition of compost usually increases soil enzymatic activities [40]. In addition, compost tea is ex-pected to have higher microbiological activity than compost [18]. However, this was not the case of this study. Soil enzymatic activities were already high in the soil study sites compared with OMC, which may have contributed to a small effect of any dose on soil activity. The increase in POX (i.e., an enzyme related to organic matter oxidation) during the second growing season may possibly be explained by the increment in moisture and OM, derived from compost incorporation and onion growth.
Most studies on nutrient availability after compost application have focused on short-term effects [41,42,43]. However, studies evaluating medium-term effects have shown that increments in soil organic matter, N and P availability are especially important after 2–3 years [44,45]. Hence, it is expected that the ongoing incorporation of organic matter to the soil increases substrate moisture, nutrient content and microbiological activity in the following growing seasons.
5. Conclusions
Agroecological production of onion with the addition of a 300 kg N ha−1 dose OMC and OMCT guarantees yields of 20–30 Mg ha−1 that is what may be expected from onion organic production systems in Argentina. In addition, compost effects on onion production are expected to be higher in the medium term due to the progress of the decomposition of its stabilized organic matter. Finally, as a result of this study it is also considered that onion compost production may simultaneously solve the problem of organic wastes associated with onion production, and the need for fertilization in the lower valley of Río Colorado (Buenos Aires province, Argentina).
Author Contributions
Conceptualization, R.A.R. and L.O.; methodology, N.F. and L.O.; software, N.F.; validation, L.O., N.F. and P.S.; formal analysis, L.O.; investigation, L.O.; resources, L.O. and L.M.N.-G.; data curation, N.F.; writing—original draft preparation, L.O., L.M.N.-G. and L.C.-S.; writing—review and editing, P.S., N.F., L.M.N.-G. and L.C.-S.; supervision, R.A.R.; project administration, R.A.R.; funding acquisition, L.O., L.M.N.-G. and L.C.-S. All authors have read and agreed to the published version of the manuscript.
Funding
This research was funded by Instituto Nacional de Tecnología Agropecuaria, Ministerio de Agricultura, Ganadería y Pesca, Argentina.
Institutional Review Board Statement
Not applicable.
Informed Consent Statement
Not applicable.
Data Availability Statement
The data presented in this study are available on request from the corresponding author.
Acknowledgments
We thank Soil and Water Laboratory EEA INTA Ascasubi, Romina Storniolo and Luciana Dunel, for their assistance in soil analysis.
Conflicts of Interest
The authors declare no conflict of interest.
References
- Brewster, J.L. Onions and Other Vegetable Alliums (No. 15); CABI: Commerce, CA, USA, 2008; p. 456. [Google Scholar]
- Food and Agricultural Organization of the United Nations (FAOSTAT). 2015 Publications; Food and Agricultural Organization of the United Nations (FAOSTAT): Rome, Italy, 2015; p. 236. Available online: http://www.fao.org/3/a-i5056e.pdf (accessed on 15 July 2021).
- Camargo Filho, W.P.; Alves, H.S. Produção de cebola no Mercosul: Aspectos Tecnológicos e Integração de Mercado no Brasil e na Argentina. Inf. Econômicas 2005, 35, 71–76. (In Portuguese) [Google Scholar]
- Iurman, D. Aspectos del Mercado de Cebolla. Producción, Exportación e Importación; INTA: Hilario Ascasubi, Argentina, 2012; p. 22. Available online: https://inta.gob.ar/sites/default/files/script-tmp-mercado_cebolla_junio__2012.pdf (accessed on 15 July 2021). (In Spanish)
- Brown, B. Soil test N for predicting onion N requirements—An Idaho perspective. In Proceedings of the Western Nutrient Management Conference, Salt Lake City, UT, USA, 6–7 March 1997; pp. 43–48. [Google Scholar]
- Sullivan, D.M.; Brown, B.D.; Shock, C.C.; Horneck, D.A.; Stevens, R.G.; Pelter, G.Q.; Feibert, E.B.G. Nutrient Management for Onions in the Pacific Northwest; Oregon State University Extension Service: Corvallis, OR, USA, 2001; p. 28. [Google Scholar]
- Mourão, I.; Brito, L.M.; Coutinho, J. Influência da dose e época de aplicação de um compostado na cultura de cebola biológica. Rev. Ciências Agrárias 2011, 34, 106–116. (In Portuguese) [Google Scholar]
- Taalab, A.S.; Mahmoud, S. Response of onion to composted tomato residues under saline irrigation water through drip irrigation system. Middle East J. 2013, 2, 93–100. [Google Scholar]
- El-Gizawy, E.S.A.; Geries, L.S.M. Performance of free living n2-fixers bacteria, compost tea and mineral nitrogen applications on some soil properties, productivity and quality of onion crop. J. Soil Sci. Agric. Eng. 2013, 4, 1117–1137. [Google Scholar] [CrossRef]
- Shaheen, A.M.; Fatma, A.R.; Omaima, M.S.; Bakry, M.O. Sustaining the quality and quantity of onion productivity throughout complementrity treatments between compost tea and amino acids. Middle East J. Agric. Res. 2013, 2, 108–115. [Google Scholar]
- Clapp, E.C. Organic wastes in soils: Biogeochemical and environmental aspects. Soil Biol. Biochem. 2007, 39, 1239–1243. [Google Scholar] [CrossRef]
- Ryals, R.; Kaiser, M.; Torn, S.; Berhe, A.A.; Silver, W.L. Impacts of organic matter amendments on carbon and nitrogen dynamics in grassland soils. Soil Biol. Biochem. 2014, 68, 52–61. [Google Scholar] [CrossRef]
- Cooperband, L. Sustainable use of by-products in land management. In Land Application of Agricultural, Industrial and Municipal By-Products; SSSA Book Series No. 6; Bartels, J.M., Dick, W.A., Eds.; Soil Science Society of America: Madison, WI, USA, 2000; pp. 215–235. [Google Scholar]
- Sasal, C.; Andriulo, A.; Ulle, J.; Abrego, F.; Bueno, M. Efecto de diferentes enmiendas sobre algunas propiedades edáficas en sistemas de producción hortícola del centro norte de la Región Pampeana Húmeda. Cienc. Suelo 2000, 182, 95–104. (In Spanish) [Google Scholar]
- National Organic Standards Board (NOSB). Compost Tea Task Force Report; USDA: Washington, DC, USA, 2004; p. 24. [Google Scholar]
- Diver, S. Notes on compost tea. Appropriate Technology Transfer for Rural Areas (ATTRA). In Compost Teas for Plant Disease Control; NCAT: Butte, MT, USA, 2002. [Google Scholar]
- Hargreaves, J.C.; Adla, M.S.; Warman, P.R. Are compost teas an effective nutrient amendment in the cultivation of straw-berries? Soil and plant tissue effects. J. Sci. Food Agric. 2009, 89, 390–397. [Google Scholar] [CrossRef]
- Rodríguez, R.; Miglierina, A.; Ayastuy, M.; Lobartini, J.; Dagna, N.; Greco, N.; Van Konijnenburg, A.; Egea, C.; Fernández, J. The effect of different organic fertilization on garlic (Allium sativum L.) in Bahía Blanca region, Argentina. Acta Hortic. 2012, 933, 187–194. [Google Scholar] [CrossRef]
- Council Directive. CEC-Council of the European Comumunities. Council directive on the protection of the environment, and in particular of the soil, when sewage sludge is used in agriculture. Off. J. Eur. Communities L 1986, 181, 10. [Google Scholar]
- USEPA. Standars for the Use or Disposal of Sewage Sludge. Fed. Regist. 1993, 58, 9248–9415. [Google Scholar]
- SENASA. Resolución 264/2011, Anexo 1. Capítulo 14. Ley Nacional N° 20.466. In Manual Para el Registro de Fertilizantes, Enmiendas, Sustratos, Acondicionadores, Protectores y Materias Primas en la República Argentina; MAGyP: Buenos Aires, Argentina, 2011. (In Spanish) [Google Scholar]
- Ingham, E.R. The Compost Tea Brewing Manual; Sustainable Studies Institute: San Francisco, CA, USA, 2005; p. 79. [Google Scholar]
- Bray, R.H.; Kurtz, L.T. Determination of total, organic and available forms of phosphorus in soils. Soil Sci. 1945, 59, 39–45. [Google Scholar] [CrossRef]
- Bremner, J.M.; Mulvaney, C.S. Nitrogen-total. In Methods of Soil Analysis: Part 2. Chemical and Microbiological Properties; Page, A.L., Ed.; American Society of Agronomy Inc.: Madison, WI, USA, 1982; pp. 595–624. [Google Scholar]
- Nelson, D.W.; Sommers, L.E. Total carbon, organic carbon and organic matter. In Methods of Soil Analysis, Part 3—Chemical Methods; Sparks, D.L., Page, A.L., Helmke, P.A., Loeppert, R.H., Soluanpour, P.N., Tabatabai, M.A., Johnston, C.T., Sumner, M.E., Eds.; ASA: Schaumburg, IL, USA; SSSA: Madison, WI, USA, 1996; pp. 961–1010. [Google Scholar]
- Pell, M.; Stenström, J.; Granhall, U. Soil respiration. In Microbiological Methods for Assessing Soil Quality; Bloem, J., Hopkins, D.W., Benedetti, A., Eds.; CABI: Commerce, CA, USA, 2005; pp. 117–126. [Google Scholar]
- Zibilske, L.M. Carbon mineralization. In Methods of Soil Analysis, Part 2, Microbiological and Biochemical Properties; Weaver, R.W., Angle, S., Bottomley, P., Eds.; American Society of Agronomy Inc.: Madison, WI, USA, 1994; pp. 835–863. [Google Scholar]
- Sinsabaugh, R.L.; Klug, M.J.; Collins, H.P.; Yeager, P.E.; Petersen, S.O. Characterizing soil microbial communities. In Standard Soil Methods for Long-Term Ecological Research; Robertson, G.P., Coleman, D.C., Bledsoe, C.S., Sollins, P., Eds.; Oxford University Press: New York, NY, USA, 1999; pp. 476–525. [Google Scholar]
- Pellejero, G.; Miglierina, A.; Aschkar, G.; Turcato, M.; Jiménez-Ballesta, R. Effects of the onion residue compost as an organic fertilizer in a vegetable culture in the Lower Valley of the Rio Negro. Int. J. Recycl. Org. Waste Agric. 2017, 6, 159–166. [Google Scholar] [CrossRef]
- Lesur-Dumoulin, C.; Malézieux, E.; Ben-Ari, T.; Langlais, C.; Makowski, D. Lower average yields but similar yield variability in organic versus conventional horticulture. A meta-analysis. Agron. Sustain. Dev. 2017, 37, 45. [Google Scholar] [CrossRef] [Green Version]
- Thangasamy, A.; Gorrepati, K.; Ahammed, T.P.S.; Savalekar, R.K.; Banerjee, K.; Sankar, V.; Chavan, M.K. Comparison of organic and conventional farming for onion yield, biochemical quality, soil organic carbon, and microbial population. Arch. Agron. Soil Sci. 2017, 64, 219–230. [Google Scholar] [CrossRef]
- De Ponti, T.; Rijk, B.; van Ittersum, M.K. The crop yield gap between organic and conventional agriculture. Agric. Syst. 2012, 108, 1–9. [Google Scholar] [CrossRef]
- Galmarini, C. Onion Cultivars Released by La Consulta Experiment Station, INTA, Argentina. HortScience 2000, 35, 1360–1362. [Google Scholar] [CrossRef] [Green Version]
- Seufert, V.; Ramankutty, N.; Foley, J.A. Comparing the yields of organic and conventional agriculture. Nature 2012, 485, 229–232. [Google Scholar] [CrossRef]
- Shiralipour, A.; McConnell, D.B.; Smith, W.H. Physical and chemical properties of soils as affected by municipal solid waste compost application. Biomass Bioenerg. 1992, 3, 261–266. [Google Scholar] [CrossRef]
- Sharpley, A.; Moyer, B. Phosphorus Forms in Manure and Compost and Their Release during Simulated Rainfall. J. Environ. Qual. 2000, 29, 1462–1469. [Google Scholar] [CrossRef]
- Leconte, M.C.; Mazzarino, M.J.; Satti, P.; Crego, M.P. Nitrogen and phosphorus release from poultry manure composts: The role of carbonaceous bulking agents and compost particle sizes. Biol. Fertil. Soils 2011, 47, 897–906. [Google Scholar] [CrossRef]
- Satti, P.; Mazzarino, M.J.; Roselli, L.; Crego, P. Factors affecting soil P dynamics in temperate volcanic soils of southern Argentina. Geoderma 2007, 139, 229–240. [Google Scholar] [CrossRef]
- Celestina, C.; Hunt, J.R.; Sale, P.W.; Franks, A.E. Attribution of crop yield responses to application of organic amendments: A critical review. Soil Till. Res. 2018, 186, 135–145. [Google Scholar] [CrossRef]
- Tejada, M.; Hernandez, M.T.; Garcia, C. Soil restoration using composted plant residues: Effects on soil properties. Soil Till. Res. 2009, 102, 109–117. [Google Scholar] [CrossRef]
- Curtis, M.J.; Claassen, V.P. Regenerating topsoil functionality in four drastically disturbed soil types by compost incorporation. Restor. Ecol. 2009, 17, 24–32. [Google Scholar] [CrossRef]
- Mylavarapu, R.; Zinati, G. Improvement of soil properties using compost for optimum parsley production in sandy soils. Sci. Hortic. 2009, 120, 426–430. [Google Scholar] [CrossRef]
- Duong, T.T.T.; Penfold, C.; Marschner, P. Amending soils of different texture with six compost types: Impact on soil nutrient availability, plant growth and nutrient uptake. Plant Soil 2011, 354, 197–209. [Google Scholar] [CrossRef]
- Sullivan, D.; Bary, A.; Nartea, T.; Myrhe, E.; Cogger, C.; Fransen, S. Nitrogen Availability Seven Years After a High-Rate Food Waste Compost Application. Compos. Sci. Util. 2003, 11, 265–275. [Google Scholar] [CrossRef]
- Polo, M.G.; Kowaljow, E.; Castán, E.; Sauzet, O.; Mazzarino, M.J. Persistent effect of organic matter pulse on a sandy soil of semiarid Patagonia. Biol. Fertil. Soils 2014, 51, 241–249. [Google Scholar] [CrossRef]
Publisher’s Note: MDPI stays neutral with regard to jurisdictional claims in published maps and institutional affiliations. |
© 2021 by the authors. Licensee MDPI, Basel, Switzerland. This article is an open access article distributed under the terms and conditions of the Creative Commons Attribution (CC BY) license (https://creativecommons.org/licenses/by/4.0/).




