Abstract
Chemical fertilizer has been excessively used for high yield of citrus around the world, especially in China; meanwhile, it deteriorates the citrus orchard soil environment. To resolve the conflict, the use of organic fertilizer provides a promising solution. However, the data about organic fertilizer used in citrus orchard is rarely available. Here, four treatments including CK (no fertilizer), CF (chemical fertilizer), OF + CF (chemical fertilizer reduction combined with organic fertilizer; application of N, P2O5, K2O fertilizer and organic fertilizer is 0.564, 0.236, 0.336 and 10 kg/plant), and BF + CF (chemical fertilizer reduction combined with bioorganic fertilizer; application of N, P2O5, K2O fertilizer and bioorganic fertilizer is 0.508, 0.320, 0.310 and 10 kg/plant) were performed in a ‘Ponkan’ (Citrus reticulata Blanco) orchard to evaluate the effect of organic fertilizer on citrus yield, growth, soil properties etc. when nutrients of fertilizer of each treatment were equal except CK. The data obtained in 2019 and 2020 showed that both OF + CF and BF + CF were beneficial to improve soil fertility (soil physicochemical and microbe properties) and citrus growth physiology (growth, nutrient and photosynthesis), alleviate NO3−-N leaching, and promote yields. Comprehensive evaluation indicated that BF + CF was more effective than OF + CF. Together, organic fertilizer has the potential to substitute partial chemical fertilizer with improvement in soil properties, growth physiology, and yield of citrus.
1. Introduction
Chemical fertilizer has been generally overused around the world. Global chemical fertilizer use has been reported to be about 1.9 × 1011 t, with China ranking first in consumption, accounting for 25% of world usage [1]. Due to great importance of chemical fertilizer to crops in China, the use of chemical fertilizer has continuously expanded from 8.8 × 109 t in 1978 to 6.0 × 1010 t in 2015 [2]. In addition, China’s per hectare application of chemical fertilizer, 393.2 kg/hm2, is higher than the international environmentally safe use limit of 225 kg/hm2, and is also about 3.05 times that of the United States and 2.54 times that of the European Union [3,4]. In 2019, China ranked first in citrus production and cultivated area, with about 4.4 × 108 t and 2.9 × 107 ha accounting for 27.9% and 29.1% of world production and area [5], respectively. The yields of China’s citrus increased further with more fertilizer being applied, especially chemical fertilizer. According to some estimates, excessive application of nitrogen (N), phosphorus (P), and potassium (K) fertilizers were approximately 3.6 × 106, 4.3 × 106, 3.6 × 106 t of citrus main production area in China, respectively [6]. What’s more, the utilization rate of N, P, and K fertilizer in China is 35–40%, 8–46%, and 35–50%, respectively, far below the level of developed countries [7,8]. It is well known that excessive chemical fertilizer application will adversely affect soil physical and chemical properties, resulting in soil hardness and acidification, which eventually lead to a decline in soil organic matter and fertility [9,10]. In addition, chemical fertilizer also negatively impacts crop quality and causes ecological environment damage, such as water pollution, greenhouse gas emission, and N leaching [11,12]. Moreover, excessive chemical fertilizer application leads to a waste of resources, places a financial burden on farmers, and even reduces the international competitiveness of agricultural products [13,14]. In contrast, organic fertilizer can improve the physical and chemical properties of soil, such as structure, water retention, nutrients, and cation exchange capacity, and promotes positive biological soil properties, enhancing yield and quality and even alleviating the risks of ecological environment deterioration [15,16,17]. Organic fertilizer is a highly abundant resource in China, with approximately 4.0 × 1010 t available; hence the potential for application is enormous [18]. However, compared to the quick nutrient release of chemical fertilizers, organic fertilizers have low nutrient concentrations, and nutrient release is too slow to support crops in a short time [19]. A beneficial approach to overcome this problem is reduction of chemical fertilizers combined with the application of organic fertilizers; this has been shown to better sustain soil fertility compared to applying chemical or organic fertilizers alone [7,15,20].
Several studies have reported that chemical fertilizer combined with organic fertilizer application (CFOF) improves soil conditions and promotes plant growth and even yield in comparison with only chemical fertilizer application. For example, combined application of organic and inorganic fertilizers greatly increases soil organic matter and the total nitrogen content of the soil and improves soil microenvironment in wheat/maize fields [21]. Hazarika et al. [22] found similar results. According to Xiao et al. [19], organic fertilizer combined with compound fertilizer improved soil quality, whereas the utilization of compound fertilizer worsened soil quality and made the soil acidize; this result was similar to that of Song et al. [20] and Pachuau et al. [23]. Qiu et al. [15] reported that chemical fertilizer combined with biofertilizer application significantly promoted root growth, improved the rate of nutrient distribution in citrus, and improved the external and internal qualities of tarocco blood orange; this result was similar to those of previous study of citrus [24,25,26]. According to Pei et al. [7], organic fertilizer is an alternative to chemical fertilizer with no loss in yield and fruit quality for citrus. In addition, apple orchard with organic–inorganic mixed fertilizer promoted soil microbial activity and increased soil organic matter by 16% and crop production by 67% when compared with chemical fertilizer application alone [26] and those results were consistent with research of Lai et al. [27]. Some experiments [28,29,30] also show that application of CFOF improves plant physiological indexes and yield compared with inorganic fertilizers on their own. These studies indicate that CFOF improves soil microbial activity, enhances physical and chemical soil properties, and promotes the absorption and utilization of nutrients, thus facilitating high crop yields. Chemical fertilizer reduction combined with organic fertilizer application meets the requirements for green ecology and is gradually popular in China [7]. Recently, research on reducing chemical fertilizer use and applying organic fertilizer has focused on the effects of reducing N fertilizer on crop yield and quality while rarely measuring changes to soil properties, orchard environment, and plant physiology, especially in citrus systematically, in response to a reduction in chemical fertilizer combined with increased organic fertilizer when equal nutrients of N, P, and K fertilizers are supplied. Due to ‘Ponkan’ (Citrus reticulata Blanco) being one of the most widely grown varieties of Citrus reticulate, which accounted for 55.3% of the total amount of citrus on cultivated area in China [6], we selected it as our material.
Therefore, the purpose of this research is to explore the effects of CFOF on soil properties, citrus growth physiology, and yield when nutrients of N, P, and K fertilizers are equal and to evaluate the effects of different fertilization treatments on soil environment. This work could provide a theoretical basis for the scientific reduction of chemical fertilizer and identify the amount of organic fertilizer necessary for sustainable development of the citrus industry.
2. Materials and Methods
2.1. Study Sites and Materials
The study was conducted in two consecutive years, 2019 and 2020, in the citrus orchard of the citrus Research Institute, Southwest University (longitude, 29°76′ N; latitude, 106°38′ E; altitude, 240 m above sea level), using 15-year-old ‘Ponkan’ (Citrus reticulata Blanco) grafted on to Poncirus trifoliata (L.) as study material. In this study, we selected four separated plots for experiments in Ponkan orchard and we randomly selected 15 trees (uniform growth size and plant spacing 3 m × 4 m) per treatment in the experimental plots. All measurements were performed on the three central trees, and treatments were distributed in a completely randomized block design with five replications. The mean annual temperature, annual sunshine time, and annual precipitation were 19.26 ℃, 1178.70 h, and 1171.60 mm, respectively, with the maximum temperature in July. The orchard soil is loose loam. The pH value of the orchard soil was 5.03 ± 0.29, while the organic matter and available N, P, and K were 20.71 ± 2.86 g·kg−1, 89.15 ± 4.59, 49.61 ± 7.64, and 190.28 ± 10.07 mg·kg−1, respectively.
Four different treatments, namely, CK (no fertilizer), CF (chemical fertilizer), OF + CF (chemical fertilizer reduction combined with organic fertilizer), and BF + CF (chemical fertilizer reduction combined with bioorganic fertilizer) were performed. Organic fertilizer and bioorganic fertilizer were produced by Sichuan Runzhou Biotechnology Co., Ltd. (Jianyang, China). The N, P, and K nutrient content of each treatment except CK was consistent. Table 1 presents the four treatments of specific fertilization. CK was treated with no fertilizer.CF was treated with chemical fertilizers, including urea (N 46.7%), calcium–magnesia phosphate (P2O5 12%), and potassium sulfate (K2O 51%). OF + CF was treated with chemical fertilizer (urea, calcium–magnesia phosphate, and potassium sulfate) reduction combined with organic fertilizer (N+P2O5+K2O ≥ 5.0%; organic matters such as biogas residue, wheat husk, and dregs of beans were made by fermentation). BF + CF was treated with chemical fertilizer (urea, calcium-magnesia phosphate, and potassium sulfate) reduction combined with bioorganic fertilizer (N+P2O5+K2O ≥ 5.0%, on the basis of organic matter, and added bacteria spore such as Bacillus subtilis, Brevibacillus laterosporus, Bacillus licheniformis, etc.). Each treatment was performed in five replications. We applied organic or bioorganic fertilizer combined with chemical fertilizer in October (color transition period of Ponkan) and then supplemented with only chemical fertilizer in March (germination period of Ponkan) and July (expansion period of Ponkan). Organic or bioorganic fertilizer was applied firstly in October in 2018, and the study of two consecutive years of study of 2019 and 2020 was conducted. During these three physiological periods of Ponkan growth, the proportion of N, P, and K (chemical fertilizer) was 40%:40%:20%, 20%:30%:50%, and 30%:50%:20%, respectively.
Table 1.
Test design of fertilization.
2.2. Organ Sampling and Nutrient Measurement
In September, current-year mature branches were sampled, and twigs and leaves of branches were separated. Leaf area was measured by the Wseen LA-S image analysis system (Hangzhou Wseen Testing Technology Co., Ltd., Hangzhou, China). Each treatment included ten branches as our materials, and five replications per treatment. Thickness of a hundred leaves and twig length were measured by Vernier caliper and ruler. The twig and leaf samples were dried in an oven at 105 °C for 30 min, followed by incubation at 75 °C until achieving a constant weight, and then the dry matter of a hundred leaves were measured. Samples were ground with a powder grinder and then passed through a 0.5 mm sieve. After H2SO4-H2O2 digestion of samples, the N, P, and K concentrations of twigs and leaves were measured by the semi-micro Kjeldahl N determination method, the molybdenum blue colorimetric method, and flame photometry [31], respectively. The roots were sampled from soil pits with a size of 20 cm × 20 cm × 40 cm (length × width × height) near the drip line of each plant in October, five replications per treatment. The yield per citrus tree was investigated in December, each treatment included three citrus trees and five replications per treatment. Fertilizer contribution rate was calculated by the method in Jiang et al. [32]. The root and fruit measurement of N, P, and K concentration was same as that of twigs and leaves.
2.3. Photosynthesis and Leaf Physiological Parameters
Leaf SPAD values were measured by SPAD–502 (Konica Minolta Co., Ltd., Tokyo, Japan) in April (flowering period), June (fruit drop period), August (fruit expanding period), October (fruit color change period), and December (fruit mature period). Each treatment included ten leaves as our materials, and five replications per treatment. Between 9:00 and 11:00 a.m. on sunny days, Pn(photosynthetic rate)of current-year leaves were measured using a 3051D portable photosynthesis system (Zhejiang Top cloud- agriculture Co., Ltd., Hangzhou, China), and chlorophyll fluorescence parameters, PIabs and PItotal, of current-year leaves were measured by Handy PEA (Hansatech Instruments Co., Ltd., Norfolk, Britain).
2.4. Soil Physicochemical Properties
Soil at a depth of 0–20 cm, approximately 15 cm away from the fertilization application hole, was sampled in December. Soil porosity was also measured following Haque et al. [33]. Soil was dried naturally after passing through a 2 mm sieve. Soil pH, alkali-hydrolyzable N, available P and K, and soil organic matter were determined following previously published methods [34]. Soil at a depth of 0–20 cm, 20–40 cm, and 60–80 cm from around fertilized hole was sampled, and the NO3−-N contents of the soil samples were measured following Bao [31]. Soil CO2 emission flux was measured with LI-8100A (LI-COR, Lincoln, NE, USA) in February, April, July, October, and December. Five replications of each treatment were performed.
2.5. Soil Microbe Properties
Rhizospheric soils of citrus were sampled per tree of different treatment, five replicates per treatment, in April, July, and November, respectively. One part of the soil was randomly selected, and urease, sucrase, and acid phosphatase activities were determined using a soil enzyme kit [35] (Solarbio Science & Technology Co., Ltd., Beijing, China). Another part of the soil was cultivated for the number of bacteria, actinomyces, and fungus using soil dilution plating methods [36].
2.6. Statistical Analysis
Data are expressed as mean ± SD of five replicates per treatment of two consecutive seasons in 2019 and 2020. The SPSS 25.0 software (SPSS Inc., Chicago, IL, USA) was used to perform the statistical analyses by ANOVA and significance tests. The graphs were plotted using GraphPad Prism 5 (GraphPad Software Inc., San Diego, CA, USA). p ≤ 0.05 was considered to indicate statistically significant differences.
3. Results
3.1. Effect of Different Treatments on Soil Properties and Environment
3.1.1. Soil Physicochemical Properties
Table 2 presents the effect of CFOF on soil physicochemical properties. In the OF + CF and BF + CF treatments, soil porosity, pH, alkali-hydrolyzable N, available P and K, and soil organic matter were significantly (p ≤ 0.05) higher than that of CF treatments in 2019 and 2020. In addition, soil physicochemical properties of BF + CF were higher than those of OF + CF treatment on the whole, but no significant difference (except available P). These results indicate that CFOF is beneficial to improving soil physicochemical properties, especially when the BF + CF is used.
Table 2.
The effect of different treatments on physical and chemical properties.
3.1.2. Soil Microbe Properties
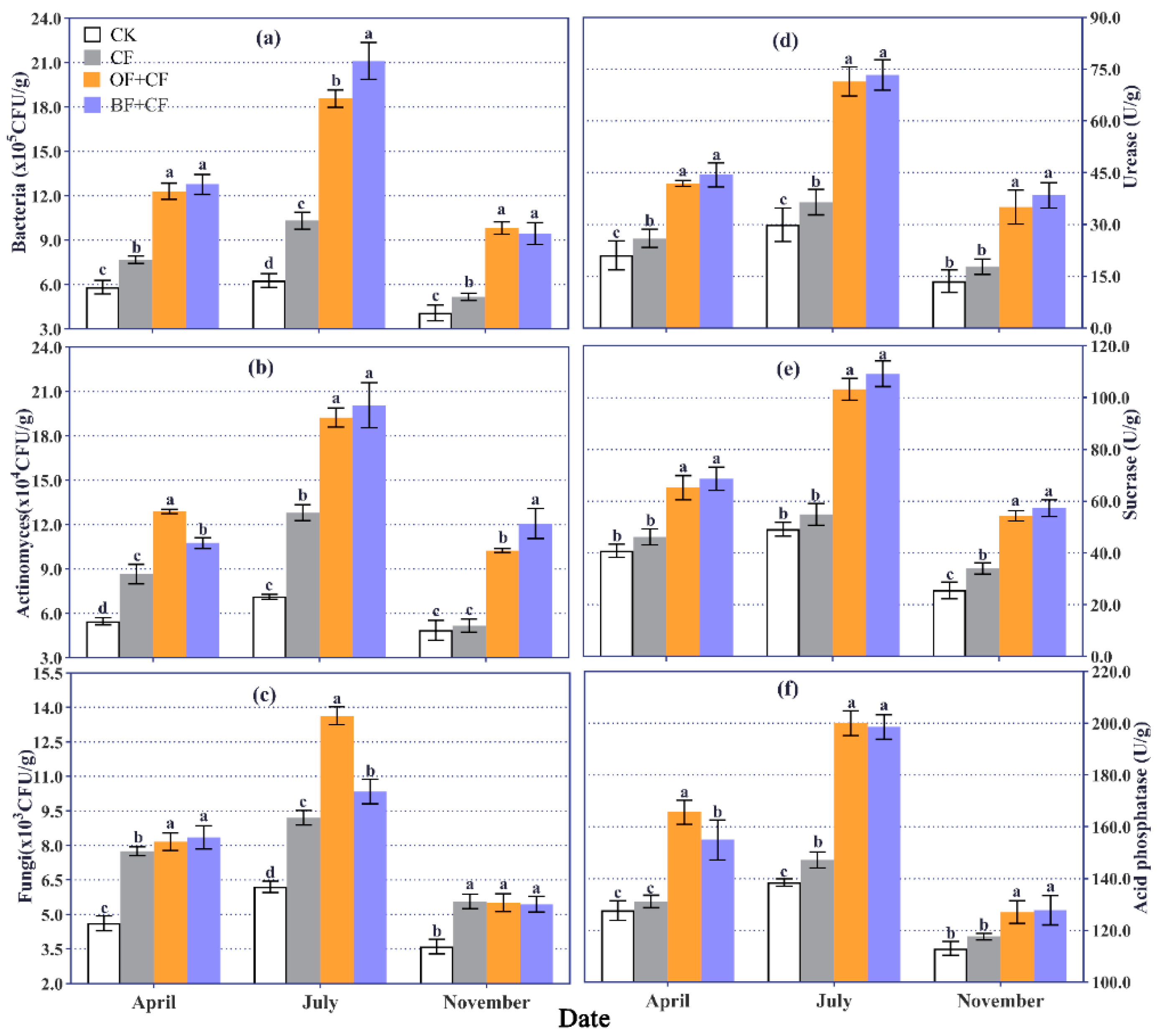
Figure 1 shows the effect of CFOF on soil enzyme activity and the number of cultivable microbes. In each case, soil microbe properties were better in July and lower in April and November. In the OF + CF and BF + CF treatments, soil microbe properties were better than the CK and CF treatments on the whole. In particular, in the OF + CF and BF + CF treatments, soil cultivable bacteria and actinomyces were significantly higher than that of CF in July and November. In addition, when comparing soil cultivable fungus measurements to the CF treatment, OF + CF and BF + CF treatments were significantly higher by 48.1% and 12.4% in July, respectively, while they did not differ significantly in November. Measurements of urease, sucrase, and acid phosphatase activities in the OF + CF and BF + CF treatments were significantly higher than that of CK and CF in July and November. On the whole, soil microbe properties of BF + CF treatment were better than that of OF + CF. These results showed that CFOF improved soil enzyme activity and the number of cultivable microbes, especially in the BF + CF treatment.
Figure 1.
The effect of different treatments on microbial properties of soil, including bacteria (a), actinomycetes (b), fungi (c), urease (d), sucrase (e), acid phosphatase (f). CK: no fertilizer; CF: chemical fertilizer; OF + CF: chemical fertilizer combined with organic fertilizer; BF + CF: chemical fertilizer combined with bioorganic fertilizer. The bars were means ± standard error; the column with different letters indicated significant difference at p ≤ 0.05.
3.1.3. Soil Environment
Figure 2 shows the effect of CFOF on CO2 emission flux and NO3−-N in soil. As seen in Figure 2a, CO2 emission flux in OF + CF and BF + CF treatments was higher than that observed under the CK and CF treatments. A rapid growth trend from February to July, with a peak in July, and then and a downward trend were observed. CO2 emission flux was significantly higher in the OF + CF and BF + CF treatments than in the CF treatment by 57.7% and 60.7%, respectively, in July, and significantly higher in the BF + CF treatment than in the OF + CF and CF treatments by 32.6% and 15.6%, respectively. On the whole, CO2 emission flux was also higher in the BF + CF treatment than that of OF + CF. As illustrated in Figure 2b, NO3−-N from different soil layers was significantly higher in the CF, OF + CF and BF + CF treatments than that of CK. The 0–20 cm soil layer, when compared between the CF, BF + CF treatments had NO3−-N that was significantly lower by 19.7% in 2019, while the OF + CF and BF + CF treatments were also significantly lower by 21.2% and 25.7%, respectively, in 2020. In the 20–40 cm soil layer, compared with the CF treatment, NO3−-N was significantly lower by 16.6% in the BF + CF treatment in 2019, while OF + CF and BF + CF treatments also had significantly lower NO3−-N by 21.9% and 25.9%, respectively, in 2020. In the 40–60 cm soil layer, compared with the CF treatment, NO3−-N in the OF + CF and BF + CF treatments was also significantly lower by 26.0% and 19.9%, respectively, in 2019, while significantly lower by 33.9% and 46.2%, respectively, in 2020. Additionally, NO3−-N in the 40–60 cm soil layer of the CF treatment was larger than that of any other soil layer, while NO3−-N in the 20–40 cm soil layer of the OF + CF and BF + CF treatments was larger than that of any other soil layer. Furthermore, NO3−-N from each soil layer of the BF + CF treatment was lower than that of those measured from the OF + CF treatment on the whole. Therefore, CFOF is beneficial for slowing down the accumulation and migration of NO3−-N in the soil while promoting CO2 emission flux to some degree, especially in the BF + CF treatment.
Figure 2.
The effect of different treatments on environments of soil, including carbon flux (a), NO3-N (b).CK: no fertilizer; CF: chemical fertilizer; OF + CF: chemical fertilizer combined with organic fertilizer; BF + CF: chemical fertilizer combined with bioorganic fertilizer. The bars were means ± standard error; the column with different letters indicated significant difference at p ≤ 0.05.
3.2. Effect of Different Treatments on Growth Physiology
3.2.1. Plant Growth
Table 3 presents the effect of CFOF on plant growth index. In comparison with leaf area, thickness of a hundred leaves, dry matter of a hundred leaves of CK and CF, all that of CFOF was promoted in 2019, especially BF + CF significantly. In the OF + CF and BF + CF treatments, twig length was longer than that observed in the CK and CF treatments in 2019. In addition, the plant growth index in 2019 was similar to that of 2020. The plant growth index observed in the BF + CF treatment was higher than that of OF + CF treatment on the whole. These results show that CFOF is beneficial for promoting plant growth, especially the BF + CF treatment.
Table 3.
The effect of different treatments on plant growth.
3.2.2. Nutrient Elements
Table 4 presents the effect of CFOF on leaf nutrient physiology and twigs. The results showed that N, P, and K contents of leaves and twigs were higher in the OF + CF and BF + CF treatments than that of CK and CF treatments, in general. Moreover, N content of leaves in the OF + CF and BF + CF treatments was significantly higher than that observed in the CK treatment by 4.8% and 5.4%, respectively, in 2019, and by 6.2% and 6.3%, respectively, in 2020. Compared with the CK treatment, leaf K content in the OF + CF and BF + CF treatments was significantly higher by 12.6% and 16.6%, respectively, in 2019, and by 27.9% and 29.5%, respectively, in 2020. N, P, and K contents of twigs measured under the OF + CF and BF + CF treatments were significantly higher than that observed in the CK treatment in 2019 and 2020.Moreover, leaf K content in the BF + CF treatment was significantly higher than that observed in the CF treatment by 7.3% and 7.4% in 2019 and 2020. Furthermore, the nutrient content of leaves and twigs from the BF + CF treatment was higher than that of the OF + CF treatment; however, no significant difference was observed.
Table 4.
The effect of different treatments on nutrients of leave and twigs.
Table 5 presents the effect of CFOF on nutrient physiology of fruits and roots. The nutrient content of fruits and roots grown under the OF + CF and BF + CF treatments was higher than that observed for the CK and CF treatments in 2019 and 2020. In 2019, compared with the CF treatment, nutrient content of fruits was significantly higher in the OF + CF and BF + CF treatments, while the nutrient content of roots grown under the BF + CF treatment was also significantly higher. In 2020, N and P contents of fruits were significantly higher in the OF + CF and BF + CF treatments than that observed in the CF treatment, and P and K contents of roots grown in the BF + CF treatment were significantly higher than that seen in the CF treatment by 16.7% and 8.9%, respectively. In addition, nutrient content of fruits and roots in the BF + CF treatment was higher than that seen in the OF + CF treatment; however, no statistically significant difference was observed. Therefore, CFOF is beneficial in promoting the absorption of nutrients in the citrus organ, especially the BF + CF treatment.
Table 5.
The effect of different treatments on nutrients of fruits and roots.
3.2.3. Photosynthesis
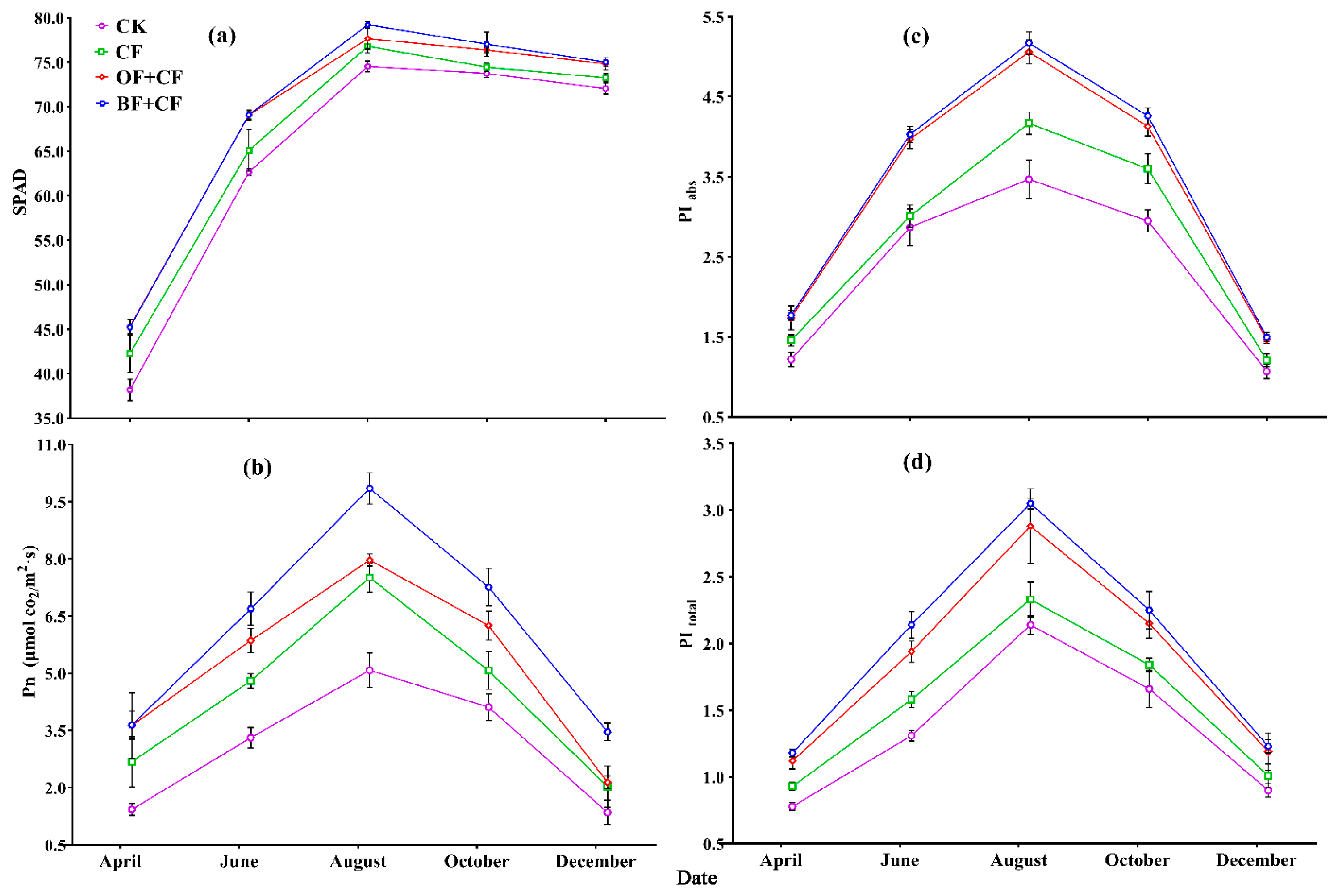
Figure 3 shows the effect of CFOF on photosynthetic physiology. Parameters of photosynthetic physiology in the OF + CF and BF + CF treatments were higher than that seen in the CK and CF treatments. As shown in Figure 3a, leaf SPAD values increase to a peak after rapid leaf growth between April and August and then gradually lower and flatten from August to December. Leaf SPAD values measured during the OF + CF and BF + CF treatments were significantly higher than those in the CF treatment, by 6.2% and 7.0% in April, respectively. In addition, leaf SPAD values were significantly higher for the BF + CF treatment than for the CF and OF + CF treatments, by 3.2% and 2.0%, respectively. As shown in Figure 3b, each Pn treatment showed rapid growth to peak from April to August and then rapidly decreased from August to December. In August and December, Pn of the BF + CF treatment was significantly higher than that of the CF treatment by 31.2% and 70.4%, respectively, while significantly higher than that of the OF + CF treatment by 23.6% and 61.7%, respectively. As shown in Figure 3c, d, the trend of PIabs and PItotal of treatment was similar to Pn. For the OF + CF and BF + CF treatments, PIabs was significantly higher than that of the CF treatment in August and December, while PItotal of the OF + CF and BF + CF treatments was significantly higher than that of CF in April and August. In addition, photosynthetic physiology for the BF + CF treatment was higher than that of OF + CF on the whole. Consequently, CFOF is beneficial to improving photosynthetic physiology, especially the BF + CF treatment.
Figure 3.
The effect of different treatments on photosynthesis physiology of citrus, including SPAD (a), Pn (b), PIabs (c), PItotal (d). SPAD: relative chlorophyll content; Pn: photosynthetic rate; PIabs: light absorption performance parameters; PItotal: total index of photosynthetic performance. CK: no fertilizer; CF: chemical fertilizer; OF + CF: chemical fertilizer combined with organic fertilizer; BF + CF: chemical fertilizer combined with bioorganic fertilizer. The bars were means ± standard error.
3.3. Effect of Different Treatments on Yield of Ponkan
Figure 4 shows the effect of CFOF on yield per tree and the contribution rate of fertilizer on Ponkan. As shown in Figure 4a, compared with CF, yield per tree was significantly higher for the OF + CF and BF + CF treatments by 22.9% and 25.2% in 2019 and by 26.5% and 30.6% in 2020, respectively. As illustrated in Figure 4b, compared with CF, the contribution rate of fertilizer was significantly higher for the OF + CF and BF + CF treatments in 2019 and 2020. In addition, yield per tree and the contribution rate of fertilizer for the BF + CF treatment were higher than that of OF + CF, but the difference was not statistically significant. These results show that CFOF improved yield per tree and the contribution rate of fertilizer of Ponkan, especially the BF + CF treatment.
Figure 4.
The effect of different treatments on yield (a) and rate of contribution (b) of citrus. CK: no fertilizer; CF: chemical fertilizer; OF + CF: chemical fertilizer combined with organic fertilizer; BF + CF: chemical fertilizer combined with bioorganic fertilizer. The bars were means ± standard error. The column with different letters indicated significant difference at p ≤ 0.05.
4. Discussion
Due to great importance of chemical fertilizer to citrus, chemical fertilizer has been widely used and even overused in order to maintain high citrus yield. This has led to deterioration of soil properties and ecological environment. However, a combination of chemical and organic fertilizer is not only beneficial in improving the properties and environment of soils, but also promotes crop yield and quality [19,20,21,22,23,24,25,26,27,28,29,30]. Here, our work confirmed that CFOF was helpful in increasing citrus yield and improving soil properties.
It has previously been reported that the content of soil organic matter, which can strengthen the ability of the soil to maintain and supply fertilizer as well as change the structure of soil aggregates and enhance soil fertility, can effectively be improved by increasing the use of organic fertilizer [37]. Additionally, many studies show that organic fertilizer can improve soil physicochemical properties, such as soil organic matter, total porosity, available N, P, and K of soils [38,39,40]. Thus, the combined application of organic fertilizer and chemical fertilizer could greatly enhance soil properties. In this study, the soil physicochemical properties of the OF + CF and BF + CF treatments were higher than those of the CK and CF treatments in 2019 and 2020. These results indicate that CFOF raised soil fertility and physicochemical properties and that organic fertilizer could contain several active substances, such as humic acid, amino acid, and microbes, among others, which could promote the formation of soil aggregates, making soil more relaxed and breathable, and strengthening the ability to conserve fertilizer and water to a certain degree. These results are similar to those of previous studies [41,42,43]. Soil microbe content, which is often used as an indicator to evaluate soil quality, plays an important role in the soil ecosystem, not only by assuming the responsibility of decomposer but also by promoting nutrient absorption by roots. In addition, as a crucial member of the soil ecosystem, soil enzymes play an important role in mineralization and decomposition of organic materials, because they can react sensitively to changes in soil environment and reflect soil fertility changes [44,45]. In this study, the soil microbe properties of the OF + CF and BF + CF treatments were higher than those observed in the CK and CF treatments. These findings indicate that CFOF improved the soil microbial community structure in a manner that was relative to the organic matter, humic acid, and amino acids and which could increase soil microbial activity. These results are similar to the research of previous study [46,47]. Moreover, the study showed that soil microbe properties were the largest in July and were related to local temperature and humidity [48].
To some extent, different measures of fertilization application can affect the orchard ecological environment. Zhou et al. [49] and Lv et al. [10] report that long-term and short-term application of organic fertilizer combined with synthetic fertilizer can increase N2O (greenhouse gases) emission. In this study, the CO2 (greenhouse gases) soil carbon flux seen in the OF + CF and BF + CF treatments was higher than that of CK and CF, leading to the possibility that soil biological properties can be improved. In addition, CO2 carbon flux for each treatment was largest in July and lowest in December. This could be due to soil microbial activity; the findings were similar to previous studies [50,51,52]. The long-term, large amount of chemical fertilizer especially nitrogen fertilizer is a main cause of soil N leaching [53]. Nitrogen fertilizer is decomposed by microbes into NO3−-N and NO2−-N, and NO3−-N is soluble in water and can easily leach, often causing groundwater pollution and endangering human and animal health because of its negative charge and strong mobility in solution [54]. According to Liao et al. [55], chemical fertilizer application decreased the diversity of the diazotrophic community, while chemical fertilizer combined with organic manure improved not only the diversity of the diazotrophic community but also their abundance and nitrogen fixation rate. It has also been reported that chemical fertilizer reduction combined with organic fertilizer application is considered an effective measure to reduce the risk of N leaching in farmland [56,57]. In this study, NO3−-N from the 0–60 cm soil layer of the OF + CF and BF + CF treatments was lower than that of CF, while NO3−-N from the 40–60 cm soil layer of the OF + CF and BF + CF treatment was lower than that of the 20–40 cm soil layer. This illustrates that chemical fertilizer combined with organic fertilizer can alleviate the risk of N leaching and N migration to deep soil, because organic fertilizer contains organic carbon and humic acid and other relative matter, which adsorbs shallow soil NO3−-N and inhibits its downward migration [58]. These results are consistent with previous studies [59,60].
Nutrition is a key factor affecting quantity and metabolites in plant growth. Citrus is a green plant in all seasons and germinates branches many times a year; consequently, it consumes a several nutrients [61]. Many studies have shown that the use of organic matter like manure, compost, and straw can improve and increase the nutrients of crop organs [62,63,64]. Thus, combined application of organic matter and chemical fertilizer could promote the nutrients of the crop. In this study, N, P and K found in the branches, roots, and fruits of trees treated with OF + CF and BF + CF were higher than that of CK and CF. These findings indicate that CFOF facilitates absorption and distribution of nutrients in citrus. This may be due to organic fertilizer improving soil physicochemical properties and enhancing the ability of absorption and transportation of nutrients by roots, as previously suggested [65,66]. Ample nutrition plays an indispensable role in plant growth. In this study, the index of plant growth from the OF + CF and BF + CF treatments was better than that of CK and CF, and it was relative to nutrient balance. These results are similar to previous studies [28,67]. Photosynthesis is a key physiological activity of plants and plays an important role in growth and development. It has been reported that more than 90% of crop biomass is derived from photosynthesis [68]. Chlorophyll fluoresce is an ideal parameter for studying the physiological condition of plant photosynthesis in multiple settings, because it reflects various aspects of photosynthesis, such as light energy absorption, transmission, and photoreaction. In addition, PI of the chlorophyll fluorescence parameter can reflect the optical system performance index of a whole leaf, and PIabs and PItotal comprehensively reflect the light absorption and photosynthetic performance of a leaf [69,70]. In this study, SPAD, Pn, PIabs, and PItotal measurements in the OF + CF and BF + CF treatments were higher than those of CK and CF. These results indicate that CFOF greatly improved leaf photosynthesis. The promotion of nutrient absorption, leaf growth, and the enzyme activity of leaf-related physiological metabolism could bring about improvement in leaf photosynthesis [50,71]. These findings are similar to previous studies [26,72,73]. In addition, the results showed that photosynthetic physiology was best in August, which may be due to leaf growth, light intensity, and physiological metabolism [74,75].
As discussed above, CFOF could increase soil microbial activity, improve soil’s physical and chemical properties, enhance nutrient availability in citrus tree organs, and promote citrus growth and photosynthesis. Yield is also an important parameter to measure because of its economic benefits, which are determined by many factors, such as the condition of growth and photosynthesis. Previous studies have shown that yield can be maintained or even significantly increased relative to application of synthetic fertilizer alone [4,15,21,28]. In this study, yield per citrus tree and the contribution rate of fertilizer in the OF + CF and BF + CF treatments were significantly higher than that of CF. This illustrates that CFOF is beneficial for boosting citrus yield. This result might be explained by the fact that chemical fertilizer combined with organic fertilizer could improve soil fertility and enhance the ability of photosynthesis and growth with the above research findings. These results were consistent with previous studies [76,77,78]. In addition, nutrient availability of citrus organs, photosynthesis, soil properties, and orchard environment parameters as measured in the BF + CF treatment were better than that of OF + CF on the whole, perhaps because bioorganic fertilizer contains abundant active substances, such as microorganisms, amino acids, and humic acids, which could benefit root growth, water and nutrient absorption, and photosynthesis. These results are similar to previous studies [79,80,81]. Consequently, CFOF is beneficial to promoting citrus physiology, improving soil characteristics, and increasing orchard yield, which could meet the requirements of green ecological development.
5. Conclusions
The results of this study show that CFOF is beneficial to improving the physicochemical and microbe properties of soil, promoting nutrient content of citrus plants, enhancing photosynthesis and growth of citrus, and thus promoting orchard yield. In addition, CFOF notably alleviates NO3−-N leaching and NO3−-N migration to deep soil. In summary, CFOF can obtain high yields and ensure good citrus orchard and tree conditions and ecological environment, especially when the BF + CF treatment is used. The application of N, P2O5, K2O fertilizer and bioorganic fertilizer of BF + CF treatment is 0.508, 0.320, 0.310 and 10 kg/plant, respectively.
Author Contributions
L.-J.W. contributed to conceptualization and methodology, Y.T. contributed to investigation, M.H. contributed to validation, Y.-Q.Z. contributed to formal analysis, Q.L. contributed to writing—original draft preparation, R.-J.X. contributed to writing—review and editing, Y.-Y.M. contributed to supervision, L.D. contributed to project administration, S.-L.Y. contributed to funding acquisition. All authors have read and agreed to the published version of the manuscript.
Funding
This work was supported by the Technology Innovation and Application Development project in Chongqing (Nos. cstc2020jscx-msxmX0026 and cstc2020jscx-msxm0079), National Key Research and Development Program of China (Nos. 2018YFD0700602 and 2016YFD0200104).
Institutional Review Board Statement
Not applicable.
Informed Consent Statement
Not applicable.
Data Availability Statement
All data are contained within the article.
Acknowledgments
The authors would like to thank Sichuan Runzhou Biotechnology Co., Ltd. for its supply of organic and bioorganic fertilizer.
Conflicts of Interest
The authors declare no conflict of interest.
References
- National Bureau of Statistics of the People’s Republic of China. International Statistical Yearbook; China Statistics Press: Beijing, China, 2020. (In Chinese) [Google Scholar]
- National Bureau of Statistics of the People’s Republic of China. China Statistical Yearbook; China Statistics Press: Beijing, China, 2020. (In Chinese) [Google Scholar]
- IBRD. International Bank for Reconstruction and Development. Indicator. 2021. Available online: https://data.worldbank.org/indicator/AG.CON.FERT.ZS?view=chart (accessed on 27 September 2021).
- Yang, Y.; He, Y.; Li, Z. Social capital and the use of organic fertilizer: An empirical analysis of Hubei Province in China. Environ. Sci. Pollut. Res. 2020, 27, 1–12. [Google Scholar] [CrossRef] [PubMed]
- FAOSTAT. Food and Agriculture Organization of the United Nations. Production Module. 2021. Available online: http://www.fao.org/faostat/zh/#data/QCL (accessed on 27 September 2021).
- Liang, S.S. Studies on NPK Fertilization Status and the Potential of Reducing Application Rate in Major Citrus Planting Regions of China. Master’s Thesis, Huazhong Agricultural University, Wuhan, China, 2017. (In Chinese). [Google Scholar]
- Pei, Y.; Wu, Y.P.; Zhang, W.; Jiang, Y.B.; Sun, F.L.; Cheng, Y.F. The impacts of substituting organic fertilizers for chemical fertilizer on fruit, leaf and soil in citrus orchard. Soils Fertil. Sci. China 2021, 4, 88–95. (In Chinese) [Google Scholar]
- Chen, Y.; Hu, S.; Guo, Z.; Cui, T.; Zhang, L.; Lu, C.; Yu, Y.; Luo, Z.; Fu, H.; Jin, Y. Effect of balanced nutrient fertilizer: A case study in Pinggu District, Beijing, China. Sci. Total. Environ. 2021, 754, 142069. [Google Scholar] [CrossRef]
- Gu, B.; Ju, X.; Chang, J.; Ge, Y.; Vitousek, P.M. Integrated reactive nitrogen budgets and future trends in China. Proc. Natl. Acad. Sci. USA 2015, 112, 8792–8797. [Google Scholar] [CrossRef]
- Lv, F.; Song, J.; Giltrap, D.; Feng, Y.; Yang, X.; Zhang, S. Crop yield and N2O emission affected by long-term organic manure substitution fertilizer under winter wheat-summer maize cropping system. Sci. Total. Environ. 2020, 732, 139321. [Google Scholar] [CrossRef] [PubMed]
- Liu, Z.; Wang, S.; Xue, B.; Li, R.; Geng, Y.; Yang, T.; Li, Y.; Dong, H.; Luo, Z.; Tao, W. Emergy-based indicators of the environmental impacts and driving forces of non-point source pollution from crop production in China. Ecol. Indic. 2021, 121, 107023. [Google Scholar] [CrossRef]
- Yang, G.; Tang, H.; Nie, Y.; Zhang, X. Responses of cotton growth, yield, and biomass to nitrogen split application ratio. Eur. J. Agron. 2011, 35, 164–170. [Google Scholar] [CrossRef]
- Wu, H.; Ge, Y. Excessive application of fertilizer, agricultural non-point source pollution, and farmers’ policy choice. Sustainability 2019, 11, 1165. [Google Scholar] [CrossRef]
- Fang, P.; Abler, D.; Lin, G.; Sher, A.; Quan, Q. Substituting organic fertilizer for chemical fertilizer: Evidence from apple growers in China. Land 2021, 10, 858. [Google Scholar] [CrossRef]
- Qiu, F.; Liu, W.; Chen, L.; Wang, Y.; Ma, Y.; Lyu, Q.; Yi, S.; Xie, R.; Zheng, Y. Bacillus subtilis biofertilizer application reduces chemical fertilization and improves fruit quality in fertigated Tarocco blood orange groves. Sci. Hortic. 2021, 281, 110004. [Google Scholar] [CrossRef]
- Chang, K.H.; Wu, R.Y.; Chuang, K.C.; Hsieh, T.F.; Chung, R.S. Effects of chemical and organic fertilizers on the growth, flower quality and nutrient uptake of Anthurium andreanum, cultivated for cut flower production. Sci. Hortic. 2010, 125, 434–441. [Google Scholar] [CrossRef]
- Tejada, M.; Gonzalez, J.L. Effects of the application of a compost originating from crushed cotton gin residues on wheat yield under dryland conditions. Eur. J. Agron. 2003, 19, 357–368. [Google Scholar] [CrossRef]
- Niu, X.S.; Ju, X.T. Organic fertilizer resources and utilization in China. J. Plant Nutr. Fertil. 2017, 23, 1462–1479. (In Chinese) [Google Scholar]
- Xiao, L.; Sun, Q.; Yuan, H.; Lian, B. A practical soil management to improve soil quality by applying mineral organic fertilizer. Acta Geochim. 2017, 36, 198–204. [Google Scholar] [CrossRef]
- Song, H.; Wang, J.; Zhang, K.; Zhang, M.; Hui, R.; Sui, T.; Yang, L.; Du, W.; Dong, Z. A 4-year field measurement of N2O emissions from a maize-wheat rotation system as influenced by partial organic substitution for synthetic fertilizer. J. Environ. Manag. 2020, 263, 110384. [Google Scholar] [CrossRef]
- Yang, Q.; Zheng, F.; Jia, X.; Liu, P.; Dong, S.; Zhang, J.; Zhao, B. The combined application of organic and inorganic fertilizers increases soil organic matter and improves soil microenvironment in wheat-maize field. J. Soils Sediments 2020, 20, 2395–2404. [Google Scholar] [CrossRef]
- Hazarika, T.K.; Aheibam, B. Soil nutrient status, yield and quality of lemon (Citrus limon Burm.) cv. ‘Assam lemon’ as influenced by bio-fertilizers, organics and inorganic fertilizers. J. Plant Nutr. 2019, 42, 853–863. [Google Scholar] [CrossRef]
- Pachuau, R.; Singh, B.; Lalnunpuia, J.; Mawii, L. Effect of organic manures on growth, yield and quality of assam lemon [Citrus limon (L.) Burm.]. Int. J. Curr. Microbiol. Appl. Sci. 2019, 8, 1009–1019. [Google Scholar] [CrossRef]
- Huang, X.; Muneer, M.A.; Li, J.; Hou, W.; Ma, C.; Jiao, J.; Cai, Y.; Chen, X.; Wu, L.; Zheng, C. Integrated nutrient management significantly improves Pomelo (Citrus grandis) root growth and nutrients uptake under acidic soil of southern China. Agronomy 2021, 11, 1231. [Google Scholar] [CrossRef]
- Li, R.; Chang, Y.; Hu, T.; Jiang, X.; Liang, G.; Lu, Z.; Yi, Y.; Guo, Q. Effects of different fertilization treatments on soil, leaf nutrient and fruit quality of citrus Grandis var. Longanyou. World J. Eng. Technol. 2017, 5, 1–14. [Google Scholar] [CrossRef]
- Ghosh, A.; Dey, K.; Bhowmick, N.; Medda, P.S.; Ghosh, S.K. Impact of different pruning severity and nutrient management on growth and yield of lemon cv. Assam lemon (Citrus Limon Burm.). Int. J. Plant Res. 2016, 29, 25. [Google Scholar]
- Lai, D.; Kuang, S.Z.; Xiao, W.Q.; Liu, C.H.; He, H.; Shao, X.H. Effects of organic-inorganic mixed fertilizers substituting chemical fertilizer on Citrus reticulata Tankan Fruit yield, quality and soil nutrients. Guangdong Agric. Sci. 2021, 48, 23–29. (In Chinese) [Google Scholar]
- Hameed, A.; Fatma, S.; Wattoo, J.I.; Yaseen, M.; Ahmad, S. Accumulative effects of humic acid and multinutrient foliar fertilizers on the vegetative and reproductive attributes of citrus (Citrus reticulata cv. kinnow mandarin). J. Plant Nutr. 2018, 41, 2495–2506. [Google Scholar] [CrossRef]
- Elhassan, A.A.M.; El-Tilib, A.M.A.; Ibrahim, H.S.; Hashim, A.A.; Awadelkarim, A.H. Response of foster grapefruit (Citrus paradisi Macf.) to organic and inorganic fertilization in central Sudan. Ann. Agric. Sci. 2011, 56, 37–41. [Google Scholar] [CrossRef][Green Version]
- Lee, J. Effect of application methods of organic fertilizer on growth, soil chemical properties and microbial densities in organic bulb onion production. Sci. Hortic. 2010, 124, 299–305. [Google Scholar] [CrossRef]
- Bao, S.D. Soil and Agricultural Chemistry Analysis; China Agriculture Press: Beijing, China, 2000; pp. 263–270. (In Chinese) [Google Scholar]
- Jiang, W.; Xing, L.; Cui, Y. Enhancing rice production by potassium management: Recommended reasonable fertilization strategies in different inherent soil productivity levels for a sustainable rice production system. Sustainability 2019, 11, 6522. [Google Scholar] [CrossRef]
- Haque, A.N.A.; Uddin, M.K.; Sulaiman, M.F.; Amin, A.M.; Hossain, M.; Aziz, A.A.; Mosharrof, M. Impact of organic amendment with alternate wetting and drying irrigation on rice yield, water use efficiency and physicochemical properties of soil. Agronomy 2021, 11, 1529. [Google Scholar] [CrossRef]
- Ge, S.; Zhu, Z.; Peng, L.; Chen, Q.; Jiang, Y. Soil nutrient status and leaf nutrient diagnosis in the main apple producing regions in China. Hortic. Plant J. 2018, 4, 89–93. [Google Scholar] [CrossRef]
- Hou, Q.; Wang, W.; Yang, Y.; Hu, J.; Bian, C.; Jin, L.; Li, G.; Xiong, X. Rhizosphere microbial diversity and community dynamics during potato cultivation. Eur. J. Soil Biol. 2020, 98, 103176. [Google Scholar] [CrossRef]
- Li, Z.G.; Luo, Y.M.; Teng, Y. Soil and Environmental Microbiology Research; Science Press: Beijing, China, 2008; pp. 53–55. (In Chinese) [Google Scholar]
- Li, X.; Su, Y.; Ahmed, T.; Ren, H.; Javed, M.R.; Yao, Y.; An, Q.; Yan, J.; Li, B. Effects of different organic fertilizers on improving soil from newly reclaimed land to crop soil. Agriculture 2021, 11, 560. [Google Scholar] [CrossRef]
- Kuziemska, B.; Wysokiński, A.; Trębicka, J. The effect of different copper doses and organic fertilisation on soil’s enzymatic activity. Plant Soil Environ. 2020, 66, 93–98. [Google Scholar] [CrossRef]
- Bilalis, D.; Kalivas, A.; Karydogianni, S.; Folina, A.; Ζisi, C.; Kakabouki, I.; Tabaxi, I. Effect of organic fertilization on soil characteristics, yield and quality of Virginia Tobacco in Mediterranean area. Emir. J. Food Agric. 2020, 32, 610–616. [Google Scholar]
- Canali, S.; Di Bartolomeo, E.; Trinchera, A.; Nisini, L.; Tittarelli, F.; Intrigliolo, F.; Roccuzzo, G.; Calabretta, M.L. Effect of different management strategies on soil quality of citrus orchards in Southern Italy. Soil Use Manag. 2009, 25, 34–42. [Google Scholar] [CrossRef]
- Yousefzadeh, S.; Modarres Sanavy, S.A.M.; Govahi, M.; KhatamianOskooie, O.S. Effect of organic and chemical fertilizer on soil characteristics and essential oil yield in dragonhead. J. Plant Nutr. 2015, 38, 1862–1876. [Google Scholar] [CrossRef]
- Valenzuela-García, A.A.; Figueroa-Viramontes, U.; Salazar-Sosa, E.; Orona-Castillo, I.; Gallegos-Robles, M.Á.; García-Hernández, J.L.; Troyo-Diéguez, E. Effect of organic and inorganic fertilizers on the yield and quality of Jalapeño Pepper fruit (Capsicum annuum L.). Agriculture 2019, 9, 208. [Google Scholar] [CrossRef]
- Liang, X.; Chen, Q.; Rana, M.S.; Dong, Z.; Liu, X.; Hu, C.; Tan, Q.; Zhao, X.; Sun, X.; Wu, S. Effects of soil amendments on soil fertility and fruit yield through alterations in soil carbon fractions. J. Soils Sediments 2021, 21, 2628–2638. [Google Scholar] [CrossRef]
- Li, X.; Ding, C.; Zhang, T.; Wang, X. Fungal pathogen accumulation at the expense of plant-beneficial fungi as a consequence of consecutive peanut monoculturing. Soil Biol. Biochem. 2014, 72, 11–18. [Google Scholar] [CrossRef]
- Badiane, N.; Chotte, J.; Pate, E.; Masse, D.; Rouland, C. Use of soil enzyme activities to monitor soil quality in natural and improved fallows in semi-arid tropical regions. Appl. Soil Ecol. 2001, 18, 229–238. [Google Scholar] [CrossRef]
- Morugan-Coronado, A.; Garcia-Orenes, F.; McMillan, M.; Pereg, L. The effect of moisture on soil microbial properties and nitrogen cyclers in Mediterranean sweet orange orchards under organic and inorganic fertilization. Sci. Total Environ. 2019, 655, 158–167. [Google Scholar] [CrossRef]
- Wu, L.; Li, Z.; Zhao, F.; Zhao, B.; Phillip, F.O.; Feng, J.; Liu, H.; Yu, K. Increased organic fertilizer and reduced chemical fertilizer increased fungal diversity and the abundance of beneficial fungi on the grape berry surface in arid areas. Front. Microbiol. 2021, 12, 628503. [Google Scholar] [CrossRef]
- Li, S.T. Effect of Vermicompost Instead of Part Fertilizer on Soil Characters and the Growth and Quality of Flue-Cured Tobacco. Master’s Thesis, Northwest Agricuture and Forest Science and Technology University, Yangling, China, 2018. (In Chinese). [Google Scholar]
- Zhou, M.; Zhu, B.; Wang, S.; Zhu, X.; Vereecken, H.; Brüggemann, N. Stimulation of N2O emission by manure application to agricultural soils may largely offset carbon benefits: A global meta-analysis. Glob. Chang. Biol. 2017, 23, 4068–4083. [Google Scholar] [CrossRef]
- Toma, Y.; Higuchi, T.; Nagata, O.; Kato, Y.; Izumiya, T.; Oomori, S.; Ueno, H. Efflux of soil nitrous oxide from applied fertilizer containing organic materials in Citrus unshiu field in Southwestern Japan. Agriculture 2017, 7, 10. [Google Scholar] [CrossRef]
- Mancinelli, R.; Marinari, S.; Allam, M.; Radicetti, E. Potential role of fertilizer sources and soil tillage practices to mitigate soil CO2 emissions in Mediterranean potato production systems. Sustainability 2020, 12, 8543. [Google Scholar] [CrossRef]
- Ding, H.; Zheng, X.; Zhang, Y.; Zhang, J.; Chen, D. Gaseous losses of fertilizer nitrogen from a citrus orchard in the red soil hilly region of Southeast China. Soil Sci. Plant Nutr. 2017, 63, 419–425. [Google Scholar] [CrossRef]
- Lee, C.; Feyereisen, G.W.; Hristov, A.N.; Dell, C.J.; Kaye, J.; Beegle, D. Effects of dietary protein concentration on ammonia volatilization, nitrate leaching, and plant nitrogen uptake from dairy manure applied to lysimeters. J. Environ. Qual. 2014, 43, 398–408. [Google Scholar] [CrossRef]
- Moreno, T.; Graziella, M.; Elena, B.; Maurizio, Q.; Giovambattista, S.; Enrico, M.; Angelo, I.; Lamberto, D.R. Agro-industry sludge as a potential organic fertilizer for prompt nitrogen release. Commun. Soil Sci. Plant Anal. 2017, 48, 999–1007. [Google Scholar] [CrossRef]
- Liao, H.; Li, Y.; Yao, H. Fertilization with inorganic and organic nutrients changes diazotroph community composition and N-fixation rates. J. Soils Sediments 2017, 18, 1076–1086. [Google Scholar] [CrossRef]
- Wang, Y.; Li, K.; Tanaka, T.S.T.; Yang, D.; Inamura, T. Soil nitrate accumulation and leaching to groundwater during the entire vegetable phase following conversion from paddy rice. Nutr. Cycl. Agroecosystems 2016, 106, 325–334. [Google Scholar] [CrossRef]
- Liu, B.; Wang, X.; Ma, L.; Chadwick, D.; Chen, X. Combined applications of organic and synthetic nitrogen fertilizers for improving crop yield and reducing reactive nitrogen losses from China’s vegetable systems: A meta-analysis. Environ. Pollut. 2021, 269, 116143. [Google Scholar] [CrossRef]
- Zhang, M.; Yao, Y.L.; Zeng, K.; Li, B.Y.; Tian, Y.H.; Yi, B. Study on mechanism of reducing nitrate leaching with organic addition from paddy field in Taihu Lake region. Soils 2020, 52, 766–772. (In Chinese) [Google Scholar]
- Wei, Z.; Ying, H.; Guo, X.; Zhuang, M.; Cui, Z.; Zhang, F. Substitution of mineral fertilizer with organic fertilizer in maize systems: A meta-analysis of reduced nitrogen and carbon emissions. Agronomy 2020, 10, 1149. [Google Scholar] [CrossRef]
- Zhang, M.; Yao, Y.; Tian, Y.; Ceng, K.; Zhao, M.; Zhao, M.; Yin, B. Increasing yield and N use efficiency with organic fertilizer in Chinese intensive rice cropping systems. Field Crop. Res. 2018, 227, 102–109. [Google Scholar] [CrossRef]
- Deng, X.X.; Peng, S.A. Citrus; China Agriculture Press: Beijing, China, 2013; pp. 172–174. (In Chinese) [Google Scholar]
- Kai, T.; Adhikari, D. Effect of organic and chemical fertilizer application on apple nutrient content and orchard soil condition. Agriculture 2021, 11, 340. [Google Scholar] [CrossRef]
- Antolín-Rodríguez, J.M.; Sánchez-Báscones, M.; Martín-Gil, J.; Martín-Ramos, P. Effect of dried pig manure fertilization on barley macronutrients and sodium in a nitrate vulnerable zone. J. Soil Sci. Plant Nutr. 2019, 20, 407–420. [Google Scholar] [CrossRef]
- Agegnehu, G.; Nelson, P.N.; Bird, M.I. Crop yield, plant nutrient uptake and soil physicochemical properties under organic soil amendments and nitrogen fertilization on Nitisols. Soil Tillage Res. 2016, 160, 1–13. [Google Scholar] [CrossRef]
- Geng, Y.; Cao, G.; Wang, L.; Wang, S. Effects of equal chemical fertilizer substitutions with organic manure on yield, dry matter, and nitrogen uptake of spring maize and soil nitrogen distribution. PLoS ONE 2019, 14, e0219512. [Google Scholar] [CrossRef] [PubMed]
- Khehra, S.; Bal, J.S. Influence of combined use of organic, inorganic and biological sources of nutrients on fruit quality in lemon. Int. J. Agric. Environ. Biotechnol. 2016, 9, 85–88. [Google Scholar] [CrossRef]
- Martinez-Alcantara, B.; Martinez-Cuenca, M.R.; Bermejo, A.; Legaz, F.; Quinones, A. Liquid organic fertilizers for sustainable agriculture: Nutrient uptake of organic versus mineral fertilizers in citrus trees. PLoS ONE 2016, 11, e0161619. [Google Scholar] [CrossRef] [PubMed]
- Makino, A. Photosynthesis, grain yield, and nitrogen utilization in rice and wheat. Plant Physiol. 2011, 155, 125–129. [Google Scholar] [CrossRef] [PubMed]
- Appenroth, K.; Stockel, J.; Srivastava, A.; Strasser, R. Multiple effects of chromate on the photosynthetic apparatus of Spirodela polyrhiza as probed by OJIP chlorophyll a fluorescence measurements. Environ. Pollut. 2001, 115, 49–64. [Google Scholar] [CrossRef]
- Xiang, M.; Chen, S.; Wang, L.; Dong, Z.; Huang, J.; Zhang, Y.; Reto, J. Effect of vulculic acid produced by Nimbya alternantherae on the photosynthetic apparatus of Alternanthera philoxeroides. Plant Physiol. Biochem. 2013, 65, 81–88. [Google Scholar] [CrossRef]
- Jiang, D.; Dai, T.; Jing, Q.; Cao, W.; Zhou, Q.; Zhao, H.; Fan, X. Effects of Long-Term Fertilization on Leaf Photosynthetic Characteristics and Grain Yield in Winter Wheat. Photosynthetica 2004, 42, 439–446. [Google Scholar] [CrossRef]
- Zhang, P.; Yang, F.; Zhang, H.; Liu, L.; Liu, X.; Chen, J.; Wang, X.; Wang, Y.; Li, C. Beneficial effects of biochar-based organic fertilizer on nitrogen assimilation, antioxidant capacities, and photosynthesis of sugar beet (Beta vulgaris L.) under saline-alkaline stress. Agronomy 2020, 10, 1562. [Google Scholar] [CrossRef]
- Nguyen, T.T.N.; Wallace, H.M.; Xu, C.; Xu, Z.; Farrar, M.B.; Joseph, S.; Van Zwieten, L.; Bai, S.H. Short-term effects of organo-mineral biochar and organic fertilisers on nitrogen cycling, plant photosynthesis, and nitrogen use efficiency. J. Soils Sediments 2017, 17, 2763–2774. [Google Scholar] [CrossRef]
- Ribeiro, R.V.; Machado, E.C.; Santos, M.G.; Oliveira, R.F. Seasonal and diurnal changes in photosynthetic limitation of young sweet orange trees. Environ. Exp. Bot. 2009, 66, 203–211. [Google Scholar] [CrossRef]
- Zhou, H.M.; Niu, X.L.; Yan, H.; Zhao, L.; Zhao, N.; Xiang, Y.Z. Effects of water and fertilizer coupling on growth and photosynthetic characteristics of young apple tree. J. Henan Agric. Sci. 2019, 48, 112–119. (In Chinese) [Google Scholar]
- Islam, M.; Ferdous, G.; Akter, A.; Hossain, M.; Nandwani, D. Effect of organic, inorganic fertilizers and plant spacing on the growth and yield of cabbage. Agriculture 2017, 7, 31. [Google Scholar] [CrossRef]
- Akosah, D.K.; Adjei-Nsiah, S.; Brentu, F.C. Response of late valencia sweet orange (Citrus Sinensis (L.) Osbeck) to fertilization on acrisols of the semi-deciduous forest agro-ecological zone of Ghana. Commun. Soil Sci. Plant Anal. 2021, 52, 1275–1285. [Google Scholar] [CrossRef]
- Du, Y.X.; Li, J.; Gao, J.Y.; Liu, H.M.; Peng, M.X.; Li, J.X.; Yue, J.Q. Effect of combined application of organic and inorganic fertilizer on yield and quality of Lemon. Chin. Agric. Sci. Bull. 2017, 33, 92–97. (In Chinese) [Google Scholar]
- Li, G.L.; He, Z.H.; Yang, B.M. Effects of organic fertilizer combined with microbial agents on quality and yield of Citrus reticulate Blanco var. Gonggan and soil fertility. Guangdong Agric. Sci. 2019, 46, 60–65. (In Chinese) [Google Scholar]
- Chu, C.B.; Wu, S.H.; Zhang, X.Y.; Zhou, D.P.; Fan, J.Q.; Jiang, Z.F. Effects of application of manure and microbial fertilizer on soil fertility and leaf nutrient. Chin. Agric. Sci. Bull. 2012, 28, 201–205. (In Chinese) [Google Scholar]
- Ye, L.; Zhao, X.; Bao, E.; Li, J.; Zou, Z.; Cao, K. Bio-organic fertilizer with reduced rates of chemical fertilization improves soil fertility and enhances tomato yield and quality. Sci. Rep. 2020, 10, 177. [Google Scholar] [CrossRef] [PubMed]
Publisher’s Note: MDPI stays neutral with regard to jurisdictional claims in published maps and institutional affiliations. |
© 2021 by the authors. Licensee MDPI, Basel, Switzerland. This article is an open access article distributed under the terms and conditions of the Creative Commons Attribution (CC BY) license (https://creativecommons.org/licenses/by/4.0/).



