Less Is More: A Hard Way to Get Potential Dwarfing Hybrid Rootstocks for Valencia Sweet Orange
Abstract
1. Introduction
2. Materials and Methods
2.1. Plant Material and Experimental Design
2.2. Environmental Conditions and Plant Care
2.3. Tree Size
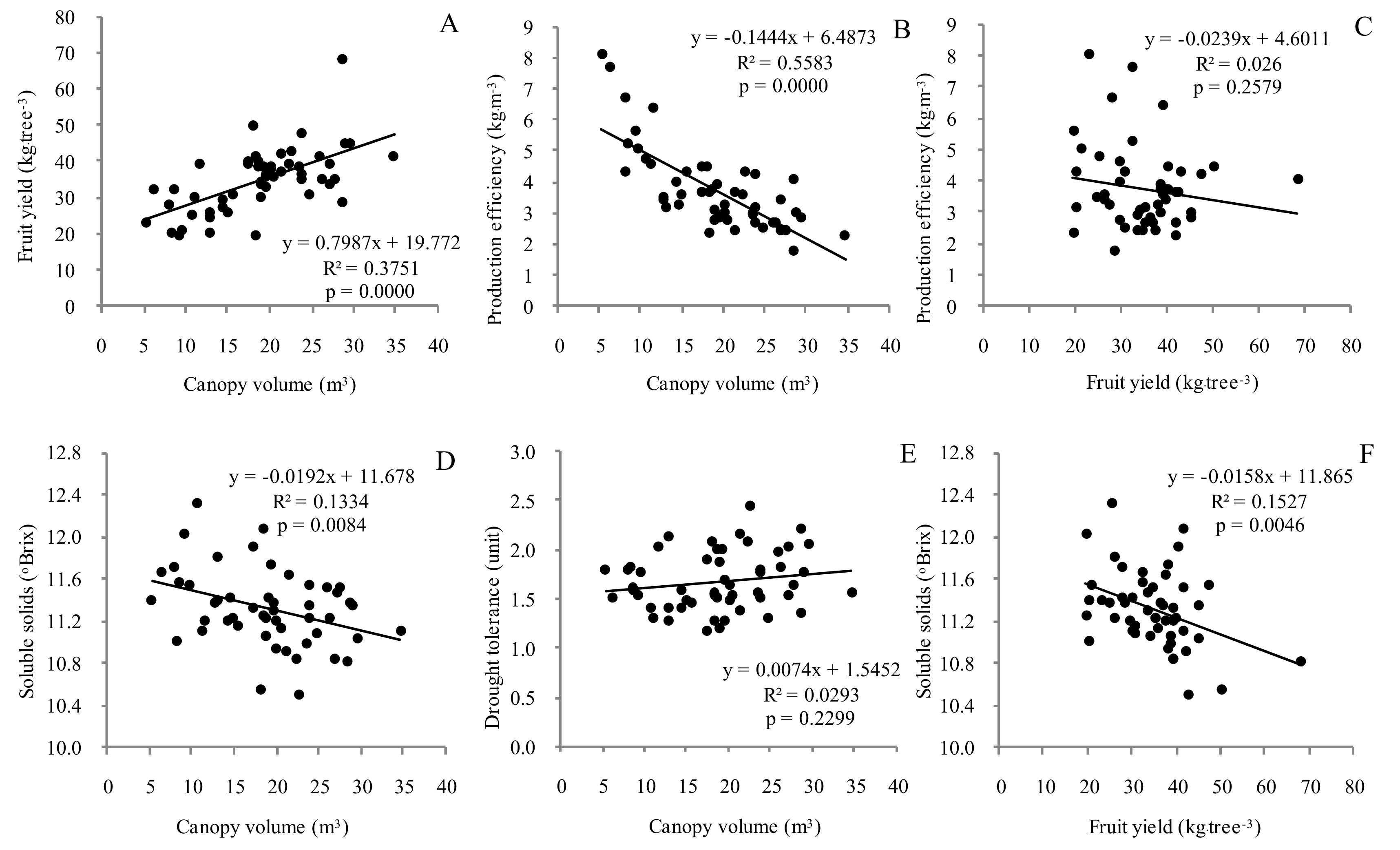
2.4. Fruit Yield, Production Efficiency, Alternate Bearing, and Earliness of Production
2.5. Tolerance to Drought, Tree Survival Rate, and Graft Compatibility
2.6. Fruit Quality
2.7. Statistical Analyses
3. Results
3.1. Tree Size
3.2. Fruit Yield, Production Efficiency, Alternate Bearing, and Earliness of Production
3.3. Tolerance to Drought, Tree Survival Rate, and Graft Compatibility
3.4. Fruit Quality
3.5. Multivariate Analyses
4. Discussion
5. Conclusions
Supplementary Materials
Author Contributions
Funding
Institutional Review Board Statement
Informed Consent Statement
Data Availability Statement
Acknowledgments
Conflicts of Interest
References
- Foodand Agriculture Organization of the United Nations. 2020. Available online: http://www.fao.org/faostat/en/#data/QC (accessed on 16 April 2020).
- Spreen, T.H.; Gao, Z.; Fernandes, W., Jr.; Zansler, M.L. Global economics and marketing of citrus products. In The Genus Citrus; Talon, M., Caruso, M., Gmitter, F.G., Jr., Eds.; Woodhead Publishing: Duxford, UK, 2020; pp. 471–493. [Google Scholar] [CrossRef]
- Bové, J.M.; Ayres, A.J. Etiology of three recent diseases of citrus in Sao Paulo State: Sudden death, variegated chlorosis and huanglongbing. IUBMB Life 2007, 59, 346–354. [Google Scholar] [CrossRef]
- Scapin, M.S.; Behlau, F.; Scandelai, L.H.M.; Fernandes, R.S.; Silva Junior, G.J.; Ramos, H.H. Tree-row-volume-based sprays of copper bactericide for control of citrus canker. Crop Prot. 2015, 77, 119–126. [Google Scholar] [CrossRef]
- Wheaton, T.A.; Whitney, J.D.; Castle, W.S.; Murano, R.P.; Browning, H.W.; Tuker, D.P.H. Citrus Scion and rootstock, topping height, and tree spacing, affecting tree size, yield, fruit quality, and economic return. Hortic. Sci. 1995, 120, 861–870. [Google Scholar] [CrossRef]
- Castle, W.S.; Baldwin, J.C.; Muraro, R.P. ‘Hamlin’ orange trees on Flying Dragon trifoliate orange, Changsha mandarin, or Koethen sweet orange x Rubidoux trifoliate orange citrange rootstock at tree in row spacings in a flatwoods site. Proc. Fla. State HorticSoc 2007, 120, 92–96. Available online: https://www.researchgate.net/publication/272090954 (accessed on 16 April 2020).
- Fundecitrus (Fundo de Defesa da Citricultura). Tree Inventory of the São Paulo and West-Southwest Minas Gerais Citrus Belt: Snapshot of Groves in March 2020; Fundo de Defesa da Citricultura: Araraquara, SP, Brazil, 2020; p. 105. Available online: https://www.fundecitrus.com.br/pdf/pes_relatorios/2020_06_25_Tree_Inventory_and_Orange_Crop_Forecast_2020-2021.pdf (accessed on 4 March 2021).
- Moreira, A.S.; Stuchi, E.S.; Silva, P.R.B.; Bassanezi, R.B.; Girardi, E.A.; Laranjeira, F.F. Could tree density play a role in managing Citrus Huanglongbing epidemics? Trop. Plant Pathol. 2019, 44, 268–274. [Google Scholar] [CrossRef]
- Singerman, A.; Burani-Arouca, M.; Futch, S.H. The profitability of new citrus plantings in Florida in the era of huanglongbing. HortScience 2018, 53, 1655–1663. [Google Scholar] [CrossRef]
- Donadio, L.C.; Lederman, I.E.; Roberto, S.R.; Stuchi, E.S. Dwarfing-canopy and rootstock cultivars for fruit trees. Rev. Bras. Frutic. 2019, 41, 1–12. [Google Scholar] [CrossRef]
- Silva Junior, G.J.; Scapin, M.S.; Silva, F.P.; Silva, A.R.P.; Behlau, F.; Ramos, H.H. Spray volume and fungicide rates for citrus black spot control based on tree canopy volume. Crop Prot. 2016, 85, 38–45. [Google Scholar] [CrossRef]
- Ferreira, M.D. Harvesting citrus: Challenges and perspectives in an automated world. In Achieving Sustainable Cultivation of Tropical Fruits; Yahia, E.M., Ed.; Burleigh Dodds Science Publishing: Cambridge, UK, 2019; pp. 1–20. [Google Scholar] [CrossRef]
- Castle, W.S.; Phillips, R.L. Potentially dwarfing rootstocks for Florida citrus. Proc. Int. Soc. Citric. 1977, 2, 558–561. Available online: https://www.researchgate.net/publication/272349840 (accessed on 16 April 2020).
- Bitters, W.P.; Cole, D.A.; Mccarty, C.D. Facts about dwarf citrus trees. Citrograph 1979, 64, 54–56. [Google Scholar]
- Castle, W.S. A career perspective on Citrus rootstocks, their development, and commercialization. HortScience 2010, 45, 11–15. [Google Scholar] [CrossRef]
- Martínez-Cuenca, M.R.; Primo-Capella, A.; Giner, M.A.F. Influence of Rootstock on Citrus Tree Growth: Effects on Photosynthesis and Carbohydrate Distribution, Plant Size, Yield, Fruit Quality, and Dwarfing Genotypes. In Plant Growth; Rigobelo, E.C., Ed.; InTech: Rijeka, Croatia, 2016; pp. 107–129. [Google Scholar] [CrossRef]
- Castle, W.S.; Bowman, K.D.; Grosser, J.W.; Ferrarezi, R.S.; Futch, S.H.; Rogers, S. Florida Citrus Rootstock Selection Guide, 4th ed; University of Florida: Gainesville, FL, USA, 2019; p. 4, (SP248/HS1260); Available online: https://edis.ifas.ufl.edu/pdffiles/HS/HS126000.pdf1 (accessed on 14 April 2020).
- Hodgson, R.W. Horticultural varieties of citrus. In The Citrus Industry; Reuther, W., Webber, H.J., Batchelor, L.D., Eds.; University of California Press: Berkeley, CA, USA, 1967; pp. 431–592. [Google Scholar]
- Mademba-Sy, F.; Lemerre-Desprez, Z.; Lebegin, S. Use of ‘Flying Dragon’ trifoliate orange as dwarfing rootstock for citrus under tropical climatic conditions. Hortscience 2012, 47, 4–10. [Google Scholar] [CrossRef]
- Stuchi, E.S.; Girardi, E.A.; Sempionato, O.R.; Reiff, E.T.; Silva, S.R.; Parolin, L.G. Trifoliata ‘Flying Dragon’: Porta-Enxerto para Plantios Adensados e Irrigados de Laranjeiras Doces de Alta Produtividade e Sustentabilidade, Cruz das Almas–Ba: Embrapa Mandioca e Fruticultura (Comunicado Técnico 152). 2012. Available online: https://ainfo.cnptia.embrapa.br/digital/bitstream/item/77671/1/Comunicado-152.pdf (accessed on 16 April 2020).
- Aguilar, J.R.; Herrera, D.; Montero, P. Nutrient absorption curve for the rootstock Flying Dragon. Tierra Tropical: Sostenibilidad. Ambiente Y Soc. 2013, 9, 1–9. Available online: https://www.cabdirect.org/cabdirect/abstract/20153138902 (accessed on 16 April 2020).
- Bowman, K.D.; Faulkner, L.; Kesinger, M. New citrus rootstocks released by USDA 2001-2010: Field performance and nursery characteristics. HortScience 2016, 51, 1208–1214. [Google Scholar] [CrossRef]
- Azevedo, F.A.; Almeida, R.F.; Martinelli, R.; Próspero, A.G.; Licerre, R.; Conceição, P.M.; Arantes, A.C.C.; Dovis, V.L.; Boaretto, R.M.; Mattos, D., Jr. No-tillage and high-density planting for Tahiti acid lime grafted onto Flying Dragon trifoliate orange. Front. Sustain. Food Syst. 2020, 4, 1–14. [Google Scholar] [CrossRef]
- Pompeu Júnior, J. Porta-enxertos. In Citros; Mattos Júnior, D., De Negri, J.D., Pio, R.M., Pompeu Júnior, J., Eds.; Instituto Agronômico Fundag: Campinas, SP, Brazil, 2005; pp. 61–104. [Google Scholar]
- Saunt, J. Citrus Varieties in the World, 2nd ed.; Sinclair International Limited: Norwich, UK, 2000. [Google Scholar]
- Carvalho, S.A.D.; Girardi, E.A.; Mourão Filho, F.D.A.A.; Ferrarezi, R.S.; Coletta Filho, H.D. Advances in citrus propagation in Brazil. Rev. Bras. Frutic. 2019, 41, 1–36. [Google Scholar] [CrossRef]
- Costa, D.P.; Stuchi, E.S.; Girardi, E.A.; Gesteira, A.S.; Coelho Filho, M.A.; Ledo, C.A.S.; Fadel, A.L.; Silva, A.L.V.; Leão, H.C.; Ramos, Y.C.; et al. Hybrid rootstocks for Valencia sweet orange in rainfed cultivation under tropical savannah climate. J. Agric. Sci. 2020, 12, 40–55. [Google Scholar] [CrossRef]
- Mattos Júnior, D.; De Negri, J.D.; Pompeu Júnior, J.; Ghilardi, A.A.; Azevedo, F.A.; Bastianel, M. Citros. In Instruções Agrícolas Para as Principais Culturas Econômicas; Aguiar, A.T.E., Gonçalves, C., Paterniani, M.E.A.G.Z., Tucci, M.L.S.A., Castro, C.E.F., Eds.; Instituto Agronômico: Campinas, SP, Brazil, 2014; Volume 7, pp. 438–447. Available online: http://www.iac.sp.gov.br/publicacoes/porassunto/pdf/boletim200_iac.pdf (accessed on 14 April 2020).
- Bassanezi, R.B.; Bergamin Filho, A.; Amorim, L.; Gimenes-Fernandes, N.; Gottwald, T.R.; Bové, J.M. Spatial and temporal analyses of citrus sudden death, as a tool to generate hypotheses concerning its ethiology. Phytopathology 2003, 93, 502–512. [Google Scholar] [CrossRef] [PubMed]
- Fundecitrus (Fundo de Defesa da Citricultura). Levantamento da Incidência Das Doenças Dos Citros: Greening, CVC e Cancro Cítrico no Cinturão Citrícola de São Paulo e Triângulo/Sudoeste Mineiro 2020. Available online: https://www.fundecitrus.com.br/pdf/levantamentos/levantamento-doencas-2020.pdf (accessed on 4 March 2021).
- Zekri, M. Citrus rootstocks affect scion nutrition, fruit quality, growth, yield and economical return. Fruits 2000, 55, 231–239. [Google Scholar] [CrossRef]
- Ramos, Y.C.; Stuchi, E.S.; Girardi, E.A.; Leão, H.; Gesteira, A.D.S.; Passos, O.S.; Soares Filho, W.S. Dwarfing rootstocks for Valencia sweet orange. Acta Hortic. 2015, 1065, 351–354. [Google Scholar] [CrossRef]
- Pearce, S.C.; Dobersek-Urbanc, S. The measurements of irregularity in growth and cropping. Hortic. Sci. 1967, 42, 295–305. [Google Scholar] [CrossRef]
- Soares Filho, W.S.; Stuchi, E.S.; Leão, H.C.; Souza, A.S.; Costa, M.G.C.; Ledo, C.A.S. Porta-Enxertos Para Laranjeira’ Valência’ com Potencial de Tolerânciaà Seca. In Proceedings of the Congresso Brasileiro de Melhoramento de Plantas, Guarapari, ES, Brazil, 10–13 August 2009. [Google Scholar]
- Fadel, A.L.; Stuchi, E.S.; Silva, S.R.; Parolin, L.G.; Oliveira, C.R.; Muller, G.W.; Donadio, L.C. Compatibility and horticultural performance of Pera sweet orange clones grafted to Swingle citrumelo rootstock. Bragantia 2019, 78, 564–572. [Google Scholar] [CrossRef]
- SAS Institute Inc. SAS/STATTM. SAS—User’s Guide for Windows Environment, 6.11. ed; SAS Institute: Cary, NC, USA, 1995. [Google Scholar]
- Gower, J.C. A general coefficient of similarity and some of its properties. Biometrics 1971, 27, 857–874. [Google Scholar] [CrossRef]
- Cruz, C.D.; Regazzi, A.J.; Carneiro, P.C.S. Modelos Biométricos Aplicados ao Melhoramento Genético; UFV: Viçosa, Brazil, 2004; Volume 3, p. 480. [Google Scholar]
- Sneath, P.H.; Sokal, R.R. Numerical Taxonomy: The Principles and Practice of Numerical Classification; W.H. Freeman: San Francisco, CA, USA, 1973. [Google Scholar]
- Sokal, R.R.; Rohlf, F.J. The comparison of dendrograms by objective methods. Taxon 1962, 11, 33–40. Available online: https://www.jstor.org/stable/1217208 (accessed on 14 April 2020). [CrossRef]
- Mantel, N. The detection of disease clustering and generalized regression approach. Cancer Res. 1967, 27, 209–220. Available online: https://cancerres.aacrjournals.org/content/27/2_Part_1/209.full-text.pdf (accessed on 14 April 2020). [PubMed]
- Cruz, C.D. Programa Genes (Versão Windows): Aplicativo Computacional em Genética e Estatística; UFV: Viçosa, Brazil, 2008. [Google Scholar]
- R Core Team. R: A Language and Environment for Statistical Computing; R Foundation for Statistical Computing: Vienna, Austria, 2018; Available online: https://www.R-project.org/ (accessed on 18 April 2020).
- Statsoft Inc. Statistica for Windows (Data Analysis Software System), version 7.1; Statsoft: Tulsa, OK, USA, 2005. [Google Scholar]
- Mingoti, S.A. Análise de Dados Através de Métodos de Estatística Multivariada: Uma Abordagem Aplicada; Editora UFMG: Belo Horizonte, MG, Brazil, 2005; p. 297. [Google Scholar]
- Charrad, M.; Ghazzali, N.; Boiteau, V.; Niknafs, A. NbClust: An Examination of Indices for Determining the Number of Clusters. R pack ageversion 1.4. 2013. Available online: https://cran.r-project.org/web/packages/NbClust/NbClust.pdf (accessed on 19 April 2020).
- Barry, G.H.; Castle, W.S.; Davies, F.S. Rootstocks and plant water relations affect sugar accumulation of citrus fruit via osmotic adjustment. Hortic. Sci. 2004, 129, 881–889. [Google Scholar] [CrossRef]
- Tucker, D.P.H.; Wheaton, T.A.; Muraro, R.P. Citrus Tree Pruning Principles and Practices; Fact Sheet HS-144; University of Florida: Gainesville, FL, USA, 1994; Volume 9, Available online: http://harris.agrilife.org/files/2011/05/Citrus-Pruning.pdf (accessed on 16 April 2020).
- Goldschmidt, E.E. Carbohydrate supply as a critical factor for citrus fruit development and productivity. HortScience 1999, 34, 1020–1024. [Google Scholar] [CrossRef]
- Lado, J.; Gambetta, G.; Zacarias, L. Key determinants of citrus fruit quality: Metabolites and main changes during maturation. Sci. Hortic. 2018, 233, 238–248. [Google Scholar] [CrossRef]
- Pozzan, M.; Triboni, H.R. Colheita e qualidade do fruto. In Citros; Mattos, D., Jr., De Negri, J.D., Pio, R.M., Pompeu, J., Jr., Eds.; Instituto Agronômico Fundag: Campinas, SP, Brazil, 2005; pp. 799–822. [Google Scholar]
- Baldwin, E.; Bai, J.; Plotto, A.; Ritenour, M. Citrus fruit quality assessment; producer and consumer perspectives. Stewart Postharvest Rev. 2014, 10, 1–7. Available online: https://www.researchgate.net/profile/Jinhe_Bai/publication/265858297 (accessed on 16 April 2020).
- Teichmann, T.; Muhr, M. Shaping plant architecture. Front. Plant Sci. 2015, 6, 233. [Google Scholar] [CrossRef] [PubMed]
- Costes, E.; Lauri, P.E.; Regnard, J.L. Analysing fruit tree architecture: Consequences for tree management and fruit production. Hortic. Rev. 2006, 32, 1–61. [Google Scholar] [CrossRef]
- Costes, E.; Lauri, P.E.; Laurens, F.; Moutier, N.; Belouin, A.; Delort, F.; Legave, J.M.; Regnard, J.L. Morphological and architectural traits on fruit trees which could be relevant for genetic studies: A review. Acta Hortic. 2004, 663, 349–356. [Google Scholar] [CrossRef]
- Simon, S.; Sauphanor, B.; Lauri, P.E. Control of fruit tree pests through manipulation of tree architecture. Pest Technol. 2007, 1, 33–37. Available online: https://www.researchgate.net/publication/266140868 (accessed on 16 April 2020).
- Parmar, N.; Singh, K.H.; Sharma, D.; Singh, L.; Kumar, P.; Nanjundan, J.; Khan, Y.J.; Chauhan, D.K.; Thakur, A.K. Genetic engineering strategies for biotic and abiotic stress tolerance and quality enhancement in horticultural crops: A comprehensive review. Biotech 2017, 7, 1–35. [Google Scholar] [CrossRef] [PubMed]
- Atkinson, C.; Else, M. Understanding how rootstocks dwarf fruit trees. Compact Fruit Tree 2001, 34, 46–49. Available online: https://www.researchgate.net/publication/285684959 (accessed on 16 April 2020).
- Goldschmidt, E.E. The evolution of fruit tree productivity. Econ. Botany 2013, 67, 51–62. [Google Scholar] [CrossRef]
- Bowman, K.D.; Joubert, J. Citrus rootstocks. In The Genus Citrus; Talon, M., Caruso, M., Gmitter, F.G., Jr., Eds.; Woodhead Publishing: Cambridge, UK, 2020; pp. 105–127. [Google Scholar] [CrossRef]
- Forner-Giner, M.A.; Rodriguez-Gamir, J.; Martinez-Alcantara, B.; Quinones, A.; Iglesias, D.J.; Primo-Millo, E.; Forner, J. Performance of ‘Navel’ Orange trees grafted onto two new dwarfing rootstocks (Forner-Alcaide 517 and Forner-Alcaide 418). Sci. Hortic. 2014, 179, 376–387. [Google Scholar] [CrossRef]
- Iglesias, D.J.; Tadeo, F.R.; Primo-Millo, E.; Talón, M. Fruit set dependence on carbohydrate availability in citrus trees. Tree Physiol. 2003, 23, 199–204. [Google Scholar] [CrossRef]
- Stuchi, E.S.; Girardi, E.A. Use of horticultural practices in citriculture to survive Huanglongbing. Cruz das Almas–Ba: Embrapa Mandioca e Fruticultura (Série Documentos da Embrapa, 189). 2010. Available online: https://www.infoteca.cnptia.embrapa.br/infoteca/bitstream/doc/873095/1/documentos189i.pdf (accessed on 16 April 2020).
- Yoshida, T. Dwarfism in trifoliate orange (Poncirus trifoliata Raf.), its inheritance and interaction with GA3. Hortic. Sci. 1994, 63, 23–30. Available online: https://www.jstage.jst.go.jp/article/jjshs1925/63/1/63_1_23/_pdf (accessed on 16 April 2020).
- Noda, K.; Okuda, H.; Iwagaki, I. Indole acetic acid and abscisic acid levels in new shoots and fibrous roots of citrus scion-rootstock combinations. Sci. Hortic. 2000, 84, 245–254. [Google Scholar] [CrossRef]
- Lliso, I.; Forner, J.B.; Talon, M. The dwarfing mechanism of the citrus rootstocks F&A 418 and #23 is related to the competition between vegetative and reproductive development. Tree Physiol. 2004, 24, 225–232. [Google Scholar] [CrossRef]
- Carvalho, W.S.G.; Marinho, C.S.; Arantes, M.B.S.; Campbell, G.; Amaral, B.D.; Cunha, M. Agronomic and Anatomical Indicators of Dwarfism and Graft Incompatibility in Citrus Plants. J. Agric. Sci. 2018, 10, 1–12. [Google Scholar] [CrossRef][Green Version]
- Saeed, M.; Dodd, P.B.; Sohail, L. Anatomical studies of stems, roots and leaves of selected citrus rootstock varieties in relation to their vigor. J. Hortic. For. 2010, 2, 87–94. Available online: https://www.researchgate.net/publication/266571675 (accessed on 16 April 2020).
- Vidalakis, G.; Pagliaccia, D.; Bash, J.A.; Afunian, M.; Semancik, J.S. Citrus dwarfing viroid: Effects on tree size and scion performance specific to Poncirus trifoliata rootstock for high-density planting. Ann. Appl. Biol. 2011, 158, 204–217. [Google Scholar] [CrossRef]
- Martínez-Alcántara, B.; Rodriguez-Gamir, J.; Martínez-Cuenca, M.R.; Iglesias, D.J.; Primo-Millo, E.; Forner-Giner, M.A. Relationship between hydraulic conductance and citrus dwarfing by the Flying Dragon rootstock (Poncirus trifoliata L. Raft var. monstruosa). Trees 2013, 27, 629–638. [Google Scholar] [CrossRef]
- Fagoaga, C.; Vidal, A.M.; Tadeo, F.R.; Lliso, I.; Iglesias, D.; Talon, M.; Navarro, L.; García-Martínez, J.L.; Peña, L. Engineering of gibberellin levels in citrus by sense and antisense over expression of a GA 20-oxidase gene modifies plant architecture. J. Exp. Bot. 2007, 58, 1407–1420. [Google Scholar] [CrossRef] [PubMed]
- La Malfa, S.; Distefano, G.; Domina, F.; Nicolosi, E.; Toscano, V.; Gentile, A. Evaluation of citrus rootstock transgenic for rolABC genes. Acta Hortic. 2011, 892, 131–140. [Google Scholar] [CrossRef]
- Ferguson, J.J.; Chaparro, J.; Spann, T.M. Dwarfing and Freeze Hardiness Potential of Trifoliate Orange Rootstocks; University of Florida: Gainesville, FL, USA, 2004; (HS982); Available online: https://edis.ifas.ufl.edu/hs221 (accessed on 16 April 2020).
- Costa, D.P.; Stuchi, E.S.; Girardi, E.A.; Ramos, Y.C.; Fadel, A.L.; Maldonado-Junior, W.; Gesteira, A.S.; Passos, O.S.; Soares Filho, W.S. Potential rootstocks for Valencia sweet orange in rain-fed cultivation in the North of São Paulo, Brazil. Citrus Res. Technol. 2016, 37, 26–36. [Google Scholar] [CrossRef]
- Cheng, F.S.; Roose, M.L. Origin and inheritance of dwarding by the Citrus Rootstock Poncirus trifoliata ‘Flying Dragon’. Hortic. Sci. 1995, 120, 286–291. [Google Scholar] [CrossRef]
- Shao, X.; Wu, S.; Dou, T.; Zhu, H.; Hu, C.; Huo, H.; He, W.; Deng, G.; Sheng, O.; Bi, F. Using CRISPR/Cas9 genome editing system to create MaGA20ox2 gene-modified semi-dwarf banana. Plant Biotechnol. 2019, 18, 17–19. [Google Scholar] [CrossRef]
- Parolin, L.G.; Girardi, E.A.; Stuchi, E.S.; Costa, D.P.; Jesus, C.A.S.; Reiff, E.T.; Sempionato, O.R.; Dobre, R.P.; Mingotte, F.L.C.; Passos, O.S.; et al. Produção de mudas de citros em viveiro protegido, utilizando diferentes combinações de copa e de porta-enxerto. Embrapa Mandioca e Fruticultura: Cruz das Almas, BA, Brazil; 2017 (Boletim de Pesquisa e Desenvolvimento 84), 33pp. Available online: https://ainfo.cnptia.embrapa.br/digital/bitstream/item/165858/1/BoletimPesquisa84-Girardi-Ainfo-84.pdf (accessed on 14 April 2020).
- Cantuarias-Avilés, T.; Mourão Filho, F.A.A.; Stuchi, E.S.; Silva, S.R.; Espinoza-Nuñez, E. Horticultural performance of ‘Folha Murcha’ sweet orange onto twelve rootstocks. Sci. Hortic. 2011, 129, 259–265. [Google Scholar] [CrossRef]
- Espinoza-Núñez, E.; Mourão Filho, F.A.A.; Stuchi, E.S.; Cantuarias-Avilés, T.; Dias, C.T.S. Performance of ‘Tahiti’ lime on twelve rootstocks under irrigated and non-irrigated conditions. Sci. Hortic. 2011, 129, 227–231. [Google Scholar] [CrossRef]
- Phillips, R.L.; Castle, W.S. Evaluation of twelve rootstocks for dwarfing citrus. Hortic. Sci. 1977, 102, 526–528. Available online: https://www.researchgate.net/publication/272349945 (accessed on 14 April 2020).
- De Negri, J.D.; Stuchi, E.S.; Blasco, E.E.A. Planejamento e implantação do pomar cítrico. In Citros; Mattos, D., Jr., Pio, R.M., Pompeu Júnior, J., Eds.; Instituto Agronômico Fundag: Campinas, SP, Brazil, 2005; pp. 410–427. [Google Scholar]



| Acronyms 1 and Types of Citrus Hybrid | Parentals |
|---|---|
| HTR-206 citrangedarin | Sunki mandarin (C. sunki (Hayata) hort. ex Tanaka)× Coleman citrange (C. ×sinensis×Poncirus trifoliata (L.) Raf.) |
| HTR-207 citrangedarin | Sunki mandarin × Troyer citrange |
| HTR-208 citrandarin | Sunkimandarin× Benecke trifoliate orange (P. trifoliata) |
| LCR × CTSW-009 citrumelimonia | Rangpur lime (C. ×limonia Osbeck) × Swingle citrumelo (C. ×paradisi Macfad. ×P. trifoliata) |
| LCR × LRF-034 lemon | Rangpur lime × Florida rough lemon (C. ×jambhiri Lush.) |
| Santa Cruz Rangpur lime | Rangpur lime cv. Santa Cruz |
| LRF × (LCR × TR)-004 citrimoniambhiri | Florida rough lemon × (Rangpur lime × trifoliate orange) |
| LVK × CTSW-009 citrumelemon | Volkamer lemon (C. ×volkameriana (Risso) V. Ten. & Pasq.)× Swingle citrumelo |
| MXWL × LHA-001 tangor | Willow leaf mandarin (C. deliciosa Ten.) × Hamlin sweet orange |
| Sunki × Alemowa lemandarin | Sunki mandarin × Alemow (C. macrophylla Wester) |
| TSKC × (LCR × TR)-016, 020 and 040 citrimoniandarins | Common Sunki mandarin × (Rangpur lime × trifoliate orange) |
| TSKC × CTARG-015, 019, 020, 069 and 081 citrangedarins | Common Sunki mandarin × Argentina citrange |
| TSKC × CTCM-008 citrangedarin | Common Sunki mandarin × Coleman citrange |
| TSKC × CTQT 1439-003 and 014 citrangequatandarins | Common Sunki mandarin × Thomasville citrangequat cv. 1439 (Fortunella margarita (Lour.) Swingle × Willits citrange) |
| TSKC × CTSW-017, 018, 022, 025, 031, 036, 053, 057,and 058 citrumelandarins | Common Sunki mandarin × Swingle citrumelo |
| TSKC × CTTR-012, 028,and 029 citrangedarins | Common Sunki mandarin × Troyer citrange |
| TSKC × LHA-007 tangor | Common Sunki mandarin × Hamlin sweet orange |
| TSKC × TRBK-006 citrandarin | Common Sunki mandarin × Benecke trifoliate orange |
| TSKC × TRFD-003, 006,and 007 citrandarins | Common Sunki mandarin × Flying Dragon trifoliate orange (P. trifoliata var. monstrosa (T. Itô) Swingle) |
| TSKFL × CTARG-023 and 029 citrangedarins | Sunki mandarin cv. Florida × Argentina citrange |
| TSKFL × CTC13-005 and 012 citrangedarins | Sunki mandarin cv. Florida× C13 citrange |
| TSKFL × CTSW-004 and 009 citrumelandarins | Sunki mandarin cv. Florida ×Swingle citrumelo |
| TSKFL × CTTR-004, 006, 013, 017, 021,and 022 citrangedarins | Sunki mandarin cv. Florida ×Troyer citrange |
| Tropical Sunki mandarin | Sunki mandarin cv. Tropical |
| Rootstock | CD | PH | CV | FY | EfP | |||||
|---|---|---|---|---|---|---|---|---|---|---|
| ------------- (m) ------------- | (m3) | (kg·tree−1) | (kg·m−3) | |||||||
| HTR-206 citrangedarin | 3.90 | a | 3.57 | a | 28.81 | a | 45.10 | b | 3.02 | d |
| HTR-207 citrangedarin | 2.73 | d | 2.74 | c | 10.71 | c | 25.38 | d | 4.78 | c |
| HTR-208 citrandarin | 4.02 | a | 3.35 | b | 28.47 | a | 68.22 | a | 4.09 | c |
| LCR × CTSW-009 citrumelimonia | 3.57 | b | 3.36 | b | 22.63 | b | 42.72 | b | 4.33 | c |
| LCR × LRF-034 lemon | 3.63 | b | 3.22 | b | 22.31 | b | 39.20 | b | 3.57 | c |
| Santa Cruz Rangpur lime | 3.78 | a | 3.59 | a | 26.94 | a | 39.46 | b | 3.41 | c |
| LRF × (LCR × TR)-004 citrimoniambhiri | 3.48 | b | 2.83 | c | 18.31 | b | 41.82 | b | 3.69 | c |
| LVK × CTSW-009 citrumelemon | 3.46 | b | 3.25 | b | 20.37 | b | 36.07 | b | 2.76 | d |
| MXWL × LHA-001 tangor | 4.01 | a | 3.47 | a | 29.46 | a | 45.12 | b | 2.88 | d |
| Sunki × Alemow alemandarin | 2.86 | c | 2.60 | c | 11.16 | c | 29.92 | c | 4.62 | c |
| TSKC × (LCR × TR)-016 citrimoniandarin | 2.61 | d | 2.26 | d | 8.19 | d | 20.34 | d | 4.36 | c |
| TSKC × (LCR × TR)-020 citrimoniandarin | 3.77 | a | 3.17 | b | 23.52 | a | 38.55 | b | 2.98 | d |
| TSKC × (LCR × TR)-040 citrimoniandarin | 3.57 | b | 3.18 | b | 21.24 | b | 42.20 | b | 3.64 | c |
| TSKC × CTARG-015 citrangedarin | 3.27 | b | 3.48 | a | 19.49 | b | 33.29 | c | 2.94 | d |
| TSKC × CTARG-019 citrangedarin | 3.80 | a | 3.45 | a | 26.25 | a | 35.10 | b | 2.67 | d |
| TSKC × CTARG-020 citrangedarin | 4.14 | a | 3.86 | a | 34.63 | a | 41.82 | b | 2.30 | d |
| TSKC × CTARG-069 citrangedarin | 3.24 | b | 3.12 | b | 17.31 | b | 39.38 | b | 3.71 | c |
| TSKC × CTARG-081 citrangedarin | 3.89 | a | 3.48 | a | 27.54 | a | 34.79 | b | 2.43 | d |
| TSKC × CTCM-008 citrangedarin | 2.63 | d | 2.30 | d | 9.18 | d | 19.92 | d | 5.65 | b |
| TSKC × CTQT 1439-003 citrangequatandarin | 3.41 | b | 3.15 | b | 19.29 | b | 38.32 | b | 3.89 | c |
| TSKC × CTQT 1439-014 citrangequatandarin | 3.35 | b | 3.03 | b | 18.11 | b | 50.18 | b | 4.51 | c |
| TSKC × CTSW-017 citrumelandarin | 3.87 | a | 3.62 | a | 28.55 | a | 28.55 | c | 1.79 | d |
| TSKC × CTSW-018 citrumelandarin | 3.61 | b | 3.47 | a | 24.67 | a | 30.66 | c | 2.55 | d |
| TSKC × CTSW-022 citrumelandarin | 2.94 | c | 2.82 | c | 12.72 | c | 24.87 | d | 3.49 | c |
| TSKC × CTSW-025 citrumelandarin | 3.36 | b | 2.93 | c | 17.30 | b | 40.31 | b | 4.50 | c |
| TSKC × CTSW-031 citrumelandarin | 2.86 | b | 2.90 | c | 12.85 | c | 26.17 | d | 3.46 | c |
| TSKC × CTSW-036 citrumelandarin | 3.35 | b | 3.18 | b | 18.79 | b | 34.08 | c | 3.08 | d |
| TSKC × CTSW-053 citrumelandarin | 3.51 | b | 3.10 | b | 20.04 | b | 38.45 | b | 3.05 | d |
| TSKC × CTSW-057 citrumelandarin | 3.55 | b | 3.25 | b | 21.43 | b | 37.51 | b | 2.42 | d |
| TSKC × CTSW-058 citrumelandarin | 2.19 | e | 2.08 | d | 5.31 | d | 23.25 | d | 8.11 | a |
| TSKC × CTTR-012 citrangedarin | 3.63 | b | 3.43 | a | 23.80 | a | 35.02 | c | 3.21 | d |
| TSKC × CTTR-028 citrangedarin | 3.35 | b | 3.12 | b | 18.36 | b | 19.65 | d | 2.37 | d |
| TSKC × CTTR-029 citrangedarin | 3.17 | c | 2.96 | c | 15.49 | c | 30.79 | c | 4.33 | c |
| TSKC × LHA-007 tangor | 3.58 | b | 3.52 | a | 23.68 | a | 36.73 | b | 2.71 | d |
| TSKC × TRBK-006 citrandarin | 2.64 | d | 2.32 | d | 8.51 | d | 32.52 | c | 5.27 | b |
| TSKC × TRFD-003 citrandarin | 2.87 | c | 2.67 | c | 11.57 | c | 39.32 | b | 6.41 | b |
| TSKC × TRFD-006 citrandarin | 2.43 | e | 2.05 | d | 6.34 | d | 32.16 | c | 7.68 | a |
| TSKC × TRFD-007 citrandarin | 2.58 | d | 2.27 | d | 8.01 | d | 27.92 | c | 6.70 | a |
| TSKFL × CTARG-023 citrangedarin | 3.36 | b | 3.13 | b | 18.63 | b | 38.49 | b | 3.73 | c |
| TSKFL × CTARG-029 citrangedarin | 3.44 | b | 3.00 | b | 18.63 | b | 40.15 | b | 3.72 | c |
| TSKFL ×CTC13-005 citrangedarin | 3.09 | c | 2.82 | c | 14.25 | c | 29.80 | c | 4.02 | c |
| TSKFL × CTC13-012 citrangedarin | 3.37 | b | 3.29 | b | 19.55 | b | 36.19 | b | 2.86 | d |
| TSKFL × CTSW-004 citrumelandarin | 3.80 | a | 3.16 | b | 23.81 | a | 47.64 | b | 4.23 | c |
| TSKFL × CTSW-009 citrumelandarin | 3.77 | a | 3.63 | a | 27.05 | a | 33.54 | c | 2.46 | d |
| TSKFL × CTTR-004 citrangedarin | 3.28 | b | 3.34 | b | 18.93 | b | 29.90 | c | 2.76 | d |
| TSKFL × CTTR-006 citrangedarin | 2.94 | c | 2.88 | c | 12.96 | c | 20.22 | d | 3.20 | d |
| TSKFL × CTTR-013 citrangedarin | 3.45 | b | 3.14 | b | 19.99 | b | 37.75 | b | 3.24 | d |
| TSKFL × CTTR-017 citrangedarin | 2.77 | d | 2.39 | d | 9.56 | d | 21.15 | d | 5.08 | b |
| TSKFL × CTTR-021 citrangedarin | 3.06 | c | 2.94 | c | 14.49 | c | 27.68 | c | 3.23 | d |
| TSKFL × CTTR-022 citrangedarin | 3.18 | c | 2.82 | c | 14.94 | c | 26.25 | d | 3.59 | c |
| Tropical Sunki mandarin | 3.64 | b | 3.73 | a | 25.97 | a | 41.60 | b | 2.72 | d |
| F | * | * | * | * | * | |||||
| CV (%) | 6.80 | 7.62 | 18.42 | 16.53 | 21.86 | |||||
| Mean | 3.33 | 3.07 | 18.83 | 34.81 | 3.77 | |||||
| Rootstock | DT 1 | SR | ABI2 | EA 3 | GC 4 (%) | |||||||
|---|---|---|---|---|---|---|---|---|---|---|---|---|
| (%) | (%) | 1 | 2 | 3 | 4 | |||||||
| HTR-206 citrangedarin | 1.77 | b | 93.33 | a | 0.38 | a | 34.15 | b | 0 | 100 | 0 | 0 |
| HTR-207 citrangedarin | 1.42 | c | 80.00 | a | 0.34 | b | 30.32 | b | - | - | - | - |
| HTR-208 citrandarin | 2.21 | a | 93.33 | a | 0.38 | a | 28.00 | b | 0 | 100 | 0 | 0 |
| LCR × CTSW-009 citrumelimonia | 2.44 | a | 100.00 | a | 0.39 | a | 40.48 | a | 0 | 100 | 0 | 0 |
| LCR × LRF-034 lemon | 2.09 | a | 100.00 | a | 0.34 | b | 41.66 | a | - | - | - | - |
| Santa Cruz Rangpur lime | 2.04 | a | 46.67 | b | 0.31 | b | 47.53 | a | 0 | 100 | 0 | 0 |
| LRF × (LCR × TR)-004 citrimoniambhiri | 1.56 | c | 86.67 | a | 0.37 | b | 28.08 | b | 0 | 83 | 17 | 0 |
| LVK × CTSW-009 citrumelemon | 1.55 | c | 46.67 | b | 0.40 | a | 23.26 | b | - | - | - | - |
| MXWL × LHA-001 tangor | 2.06 | a | 100.00 | a | 0.36 | b | 44.32 | a | 0 | 100 | 0 | 0 |
| Sunki × Alemow alemandarin | 1.32 | c | 80.00 | a | 0.30 | b | 37.60 | a | - | - | - | - |
| TSKC × (LCR × TR)-016 citrimoniandarin | 1.82 | b | 100.00 | a | 0.40 | a | 21.27 | b | - | - | - | - |
| TSKC × (LCR × TR)-020 citrimoniandarin | 1.57 | c | 86.67 | a | 0.32 | b | 41.58 | a | 33 | 67 | 0 | 0 |
| TSKC × (LCR × TR)-040 citrimoniandarin | 2.15 | a | 100.00 | a | 0.31 | b | 47.36 | a | 0 | 100 | 0 | 0 |
| TSKC × CTARG-015 citrangedarin | 1.69 | c | 93.33 | a | 0.39 | a | 43.74 | a | - | - | - | - |
| TSKC × CTARG-019 citrangedarin | 1.83 | b | 86.67 | a | 0.37 | b | 41.39 | a | 0 | 100 | 0 | 0 |
| TSKC × CTARG-020 citrangedarin | 1.58 | c | 100.00 | a | 0.33 | b | 37.56 | a | 0 | 100 | 0 | 0 |
| TSKC × CTARG-069 citrangedarin | 1.19 | c | 86.67 | a | 0.44 | a | 31.98 | b | - | - | - | - |
| TSKC × CTARG-081 citrangedarin | 1.64 | c | 86.67 | a | 0.29 | b | 40.99 | a | - | - | - | - |
| TSKC × CTCM-008 citrangedarin | 1.54 | c | 93.33 | a | 0.41 | a | 48.09 | a | - | - | - | - |
| TSKC × CTQT 1439-003 citrangequatandarin | 2.00 | a | 93.33 | a | 0.39 | a | 43.09 | a | 0 | 100 | 0 | 0 |
| TSKC × CTQT 1439-014 citrangequatandarin | 2.09 | a | 100.00 | a | 0.43 | a | 31.50 | b | 0 | 100 | 0 | 0 |
| TSKC × CTSW-017 citrumelandarin | 1.36 | c | 20.00 | b | 0.45 | a | 30.87 | b | - | - | - | - |
| TSKC × CTSW-018 citrumelandarin | 1.31 | c | 86.67 | a | 0.46 | a | 38.76 | a | - | - | - | - |
| TSKC × CTSW-022 citrumelandarin | 1.43 | c | 100.00 | a | 0.35 | b | 35.63 | b | - | - | - | - |
| TSKC × CTSW-025 citrumelandarin | 1.91 | b | 73.33 | a | 0.41 | a | 42.21 | a | 0 | 100 | 0 | 0 |
| TSKC × CTSW-031 citrumelandarin | 2.13 | a | 73.33 | a | 0.42 | a | 33.05 | b | - | - | - | - |
| TSKC × CTSW-036 citrumelandarin | 1.87 | b | 80.00 | a | 0.38 | a | 24.57 | b | - | - | - | - |
| TSKC × CTSW-053 citrumelandarin | 1.49 | c | 93.33 | a | 0.45 | a | 28.99 | b | - | - | - | - |
| TSKC × CTSW-057 citrumelandarin | 1.40 | c | 80.00 | a | 0.36 | b | 30.29 | b | - | - | - | - |
| TSKC × CTSW-058 citrumelandarin | 1.81 | b | 40.00 | b | 0.37 | b | 38.85 | a | - | - | - | - |
| TSKC × CTTR-012 citrangedarin | 1.53 | c | 80.00 | a | 0.26 | b | 43.63 | a | - | - | - | - |
| TSKC × CTTR-028 citrangedarin | 1.30 | c | 100.00 | a | 0.34 | b | 39.90 | a | - | - | - | - |
| TSKC × CTTR-029 citrangedarin | 1.48 | c | 100.00 | a | 0.35 | b | 33.72 | b | - | - | - | - |
| TSKC × LHA-007 tangor | 1.81 | b | 80.00 | a | 0.42 | a | 31.22 | b | - | - | - | - |
| TSKC × TRBK-006 citrandarin | 1.61 | c | 100.00 | a | 0.48 | a | 27.95 | b | 0 | 83 | 0 | 17 |
| TSKC × TRFD-003 citrandarin | 2.03 | a | 100.00 | a | 0.38 | a | 45.13 | a | 0 | 100 | 0 | 0 |
| TSKC × TRFD-006 citrandarin | 1.51 | c | 73.33 | a | 0.29 | b | 43.01 | a | 0 | 100 | 0 | 0 |
| TSKC × TRFD-007 citrandarin | 1.80 | b | 93.33 | a | 0.39 | a | 31.68 | b | 66 | 17 | 17 | 0 |
| TSKFL × CTARG-023 citrangedarin | 1.53 | c | 86.67 | a | 0.28 | b | 30.83 | b | - | - | - | - |
| TSKFL × CTARG-029 citrangedarin | 2.01 | a | 100.00 | a | 0.40 | a | 35.62 | b | 33 | 67 | 0 | 0 |
| TSKFL × CTC13-005 citrangedarin | 1.60 | c | 93.33 | a | 0.42 | a | 35.77 | b | - | - | - | - |
| TSKFL × CTC13-012 citrangedarin | 1.28 | c | 53.33 | b | 0.46 | a | 30.41 | b | - | - | - | - |
| TSKFL × CTSW-004 citrumelandarin | 1.78 | b | 100.00 | a | 0.31 | b | 33.50 | b | 0 | 100 | 0 | 0 |
| TSKFL × CTSW-009 citrumelandarin | 1.55 | c | 100.00 | a | 0.46 | a | 34.18 | b | - | - | - | - |
| TSKFL × CTTR-004 citrangedarin | 1.21 | c | 53.33 | b | 0.35 | b | 40.66 | a | - | - | - | - |
| TSKFL × CTTR-006 citrangedarin | 1.29 | c | 60.00 | b | 0.36 | b | 56.55 | a | - | - | - | - |
| TSKFL × CTTR-013 citrangedarin | 1.66 | c | 73.33 | a | 0.28 | b | 28.80 | b | - | - | - | - |
| TSKFL × CTTR-017 citrangedarin | 1.77 | b | 100.00 | a | 0.33 | b | 49.70 | a | - | - | - | - |
| TSKFL × CTTR-021 citrangedarin | 1.41 | c | 80.00 | a | 0.31 | b | 45.98 | a | - | - | - | - |
| TSKFL × CTTR-022 citrangedarin | 1.49 | c | 100.00 | a | 0.28 | b | 39.90 | a | - | - | - | - |
| Tropical Sunki mandarin | 1.97 | a | 86.67 | a | 0.56 | a | 44.39 | a | 17 | 83 | 0 | 0 |
| F | * | * | ** | * | ||||||||
| CV (%) | 11.90 | 21.96 | 18.26 | 24.71 | ||||||||
| Mean | 1.68 | 84.58 | 0.37 | 37.05 | ||||||||
| Rootstock | FW | JC | SS | TA | MI | TI | ||||||
|---|---|---|---|---|---|---|---|---|---|---|---|---|
| (g) | (%) | (°Brix) | (%) | (SS/TA) | (kg SS box−1) | |||||||
| HTR-206 citrangedarin | 165.36 | b | 46.10 | a | 11.34 | b | 0.66 | b | 17.36 | a | 2.12 | a |
| HTR-207 citrangedarin | 185.13 | a | 42.92 | b | 12.33 | a | 0.82 | a | 16.36 | b | 2.16 | a |
| HTR-208 citrandarin | 205.94 | a | 46.59 | a | 10.81 | b | 0.73 | a | 14.94 | b | 2.06 | b |
| LCR × CTSW-009 citrumelimonia | 193.91 | a | 47.04 | a | 10.51 | b | 0.65 | b | 16.65 | b | 2.02 | b |
| LCR × LRF-034 lemon | 177.53 | b | 48.58 | a | 10.85 | b | 0.66 | b | 16.95 | a | 2.18 | a |
| Santa Cruz Rangpur lime | 202.85 | a | 49.07 | a | 10.85 | b | 0.63 | b | 16.70 | b | 2.09 | b |
| LRF × (LCR × TR)-004 citrimoniambhiri | 162.85 | b | 45.85 | a | 12.08 | a | 0.65 | b | 19.20 | a | 2.24 | a |
| LVK × CTSW-009 citrumelemon | 179.46 | b | 46.05 | a | 11.14 | b | 0.71 | a | 16.11 | b | 2.09 | b |
| MXWL × LHA-001 tangor | 191.83 | a | 45.78 | a | 11.03 | b | 0.69 | b | 15.85 | b | 2.03 | b |
| Sunki × Alemow alemandarin | 176.01 | b | 43.71 | b | 11.12 | b | 0.65 | b | 17.50 | a | 1.99 | b |
| TSKC × (LCR × TR)-016 citrimoniandarin | 205.97 | a | 44.42 | b | 11.01 | b | 0.65 | b | 17.25 | a | 2.02 | b |
| TSKC × (LCR × TR)-020 citrimoniandarin | 175.07 | b | 44.03 | b | 10.99 | b | 0.67 | b | 17.18 | a | 1.99 | b |
| TSKC × (LCR × TR)-040 citrimoniandarin | 197.89 | a | 45.47 | a | 10.91 | b | 0.68 | b | 16.60 | b | 2.05 | b |
| TSKC × CTARG-015 citrangedarin | 177.73 | b | 47.88 | a | 11.31 | b | 0.72 | a | 16.26 | b | 2.22 | a |
| TSKC × CTARG-019 citrangedarin | 192.23 | a | 43.94 | b | 11.22 | b | 0.68 | b | 17.27 | a | 2.02 | b |
| TSKC × CTARG-020 citrangedarin | 174.74 | b | 46.47 | a | 11.12 | b | 0.74 | a | 15.47 | b | 2.09 | b |
| TSKC × CTARG-069 citrangedarin | 180.72 | b | 44.27 | b | 11.33 | b | 0.75 | a | 15.65 | b | 2.07 | b |
| TSKC × CTARG-081 citrangedarin | 187.63 | a | 45.45 | a | 11.53 | a | 0.69 | b | 17.25 | a | 2.13 | a |
| TSKC × CTCM-008 citrangedarin | 173.79 | b | 44.39 | b | 12.04 | a | 0.72 | a | 17.21 | a | 2.18 | a |
| TSKC × CTQT 1439-003 citrangequatandarin | 190.14 | a | 46.70 | a | 11.73 | a | 0.73 | a | 16.23 | b | 2.24 | a |
| TSKC × CTQT 1439-014 citrangequatandarin | 192.23 | a | 44.33 | b | 10.56 | b | 0.58 | b | 18.49 | a | 1.93 | b |
| TSKC × CTSW-017 citrumelandarin | 173.80 | b | 42.90 | b | 11.38 | a | 0.68 | b | 17.16 | a | 2.00 | b |
| TSKC × CTSW-018 citrumelandarin | 188.18 | a | 42.60 | b | 11.08 | b | 0.74 | a | 15.09 | b | 1.92 | b |
| TSKC × CTSW-022 citrumelandarin | 178.44 | b | 46.76 | a | 11.38 | a | 0.59 | b | 20.01 | a | 2.16 | a |
| TSKC × CTSW-025 citrumelandarin | 187.60 | a | 46.95 | a | 11.90 | a | 0.76 | a | 16.43 | b | 2.29 | a |
| TSKC × CTSW-031 citrumelandarin | 184.88 | a | 44.52 | b | 11.81 | a | 0.71 | a | 17.07 | a | 2.09 | b |
| TSKC × CTSW-036 citrumelandarin | 181.77 | b | 45.37 | a | 11.05 | b | 0.67 | b | 16.74 | b | 2.06 | b |
| TSKC × CTSW-053 citrumelandarin | 187.13 | a | 43.34 | b | 10.95 | b | 0.62 | b | 17.95 | a | 1.94 | b |
| TSKC × CTSW-057 citrumelandarin | 163.33 | b | 46.81 | a | 11.63 | a | 0.75 | a | 15.95 | b | 2.21 | a |
| TSKC × CTSW-058 citrumelandarin | 172.72 | b | 44.87 | a | 11.39 | a | 0.70 | a | 16.63 | b | 2.08 | b |
| TSKC × CTTR-012 citrangedarin | 181.63 | b | 44.91 | a | 11.24 | b | 0.66 | b | 17.81 | a | 2.08 | b |
| TSKC × CTTR-028 citrangedarin | 192.04 | a | 42.36 | b | 11.26 | b | 0.68 | b | 17.19 | a | 1.96 | b |
| TSKC × CTTR-029 citrangedarin | 198.93 | a | 42.61 | b | 11.16 | b | 0.67 | b | 17.55 | a | 1.96 | b |
| TSKC × LHA-007 tangor | 186.45 | a | 46.01 | a | 11.36 | a | 0.79 | a | 14.73 | b | 2.15 | a |
| TSKC × TRBK-006 citrandarin | 192.90 | a | 45.92 | a | 11.57 | a | 0.67 | b | 17.64 | a | 2.16 | a |
| TSKC × TRFD-003 citrandarin | 196.02 | a | 45.79 | a | 11.21 | b | 0.65 | b | 17.37 | a | 2.10 | b |
| TSKC × TRFD-006 citrandarin | 174.60 | b | 47.77 | a | 11.67 | a | 0.72 | a | 17.18 | a | 2.32 | a |
| TSKC × TRFD-007 citrandarin | 191.48 | a | 42.49 | b | 11.71 | a | 0.70 | a | 17.27 | a | 2.04 | b |
| TSKFL × CTARG-023 citrangedarin | 196.27 | a | 44.45 | b | 11.05 | b | 0.70 | a | 16.10 | b | 2.01 | b |
| TSKFL × CTARG-029 citrangedarin | 176.90 | b | 47.77 | a | 11.22 | b | 0.64 | b | 17.88 | a | 2.19 | a |
| TSKFL × CTC13-005 citrangedarin | 176.53 | b | 44.79 | a | 11.21 | b | 0.71 | a | 16.15 | b | 2.06 | b |
| TSKFL × CTC13-012 citrangedarin | 186.13 | a | 39.15 | c | 11.38 | a | 0.65 | b | 18.00 | a | 1.83 | b |
| TSKFL × CTSW-004 citrumelandarin | 197.96 | a | 44.30 | b | 11.55 | a | 0.68 | b | 17.38 | a | 2.08 | b |
| TSKFL × CTSW-009 citrumelandarin | 180.87 | b | 44.54 | b | 11.47 | a | 0.72 | a | 16.63 | b | 2.08 | b |
| TSKFL × CTTR-004 citrangedarin | 171.18 | b | 43.51 | b | 11.42 | a | 0.70 | a | 16.58 | b | 2.04 | b |
| TSKFL × CTTR-006 citrangedarin | 153.81 | b | 43.69 | b | 11.39 | a | 0.69 | b | 17.54 | a | 2.10 | b |
| TSKFL × CTTR-013 citrangedarin | 186.36 | a | 46.73 | a | 11.20 | b | 0.69 | b | 16.65 | b | 2.13 | a |
| TSKFL × CTTR-017 citrangedarin | 185.62 | a | 46.60 | a | 11.55 | a | 0.67 | b | 18.18 | a | 2.21 | a |
| TSKFL × CTTR-021 citrangedarin | 172.51 | b | 46.20 | a | 11.42 | a | 0.72 | a | 16.16 | b | 2.14 | a |
| TSKFL × CTTR-022 citrangedarin | 197.04 | a | 46.68 | a | 11.23 | b | 0.66 | b | 17.51 | a | 2.15 | a |
| Tropical Sunki mandarin | 211.47 | a | 48.09 | a | 11.52 | a | 0.69 | b | 16.44 | b | 2.18 | a |
| F | * | * | * | * | * | * | ||||||
| CV (%) | 5.27 | 3.87 | 3.38 | 6.46 | 5.54 | 4.99 | ||||||
| Mean | 184.58 | 45.25 | 11.35 | 0.69 | 16.93 | 2.09 | ||||||
| Rootstock | PD | PH | CV | FY 2018 | FY 2019 1 | FY 2020 | |||||
|---|---|---|---|---|---|---|---|---|---|---|---|
| --------- (m) --------- | (m3) | --------------------- (kg·tree−1) -------------------- | |||||||||
| HTR-206 citrangedarin | 5.03 | a | 4.27 | a | 57.21 | a | 96.00 | a | - | 40.87 | a |
| HTR-208 citrandarin | 4.43 | a | 2.60 | b | 26.53 | c | 103.50 | a | 13.90 | 41.22 | a |
| LCR × CTSW-009 citrumelimonia | 4.60 | a | 3.93 | a | 43.53 | b | 104.00 | a | - | 64.86 | a |
| LCR × LRF-034 lemon | 4.33 | a | 3.63 | a | 35.91 | b | 93.33 | a | - | 54.80 | a |
| Santa Cruz Rangpur lime | 4.03 | b | 3.60 | a | 30.88 | c | 48.67 | b | - | 38.05 | a |
| TSKC × (LCR × TR)-040 citrimoniandarin | 3.90 | b | 3.30 | a | 26.26 | c | 49.67 | b | - | 58.13 | a |
| TSKC × CTQT 1439-003 citrangequatandarin | 4.10 | b | 3.20 | a | 28.14 | c | 71.58 | a | 18.00 | 56.15 | a |
| TSKC × CTQT 1439-014 citrangequatandarin | 4.10 | b | 3.00 | b | 27.06 | c | 64.00 | b | - | 69.86 | a |
| TSKC × CTSW- 025 citrumelandarin | 3.10 | d | 2.53 | b | 12.91 | d | 81.00 | a | - | 27.20 | b |
| TSKC × TRBK-006 citrandarin | 3.63 | c | 2.60 | b | 18.00 | d | 53.67 | b | 7.80 | 23.00 | b |
| TSKC × TRFD-003 citrandarin | 3.70 | c | 3.06 | b | 22.94 | c | 40.00 | b | 22.70 | 47.53 | a |
| TSKC × TRFD-006 citrandarin | 2.53 | d | 1.80 | c | 6.08 | d | 15.67 | b | 9.40 | 8.80 | b |
| TSKC × TRFD-007 citrandarin | 3.10 | d | 2.20 | c | 11.08 | d | 52.83 | b | 42.80 | 44.86 | a |
| TSKFL × CTARG-029 citrangedarin | 3.87 | b | 3.63 | a | 28.31 | c | 97.67 | a | - | 46.33 | a |
| TSKFL × CTSW-004 citrumelandarin | 4.83 | a | 3.63 | a | 44.53 | b | 73.00 | a | - | 62.55 | a |
| Tropical Sunki mandarin | 4.40 | a | 4.03 | a | 40.88 | b | 50.67 | b | 15.30 | 26.75 | b |
| F | * | * | * | * | - | * | |||||
| CV (%) | 9.20 | 13.19 | 25.36 | 29.40 | - | 44.78 | |||||
| Mean | 3.98 | 3.18 | 28.76 | 66.12 | - | 44.43 | |||||
Publisher’s Note: MDPI stays neutral with regard to jurisdictional claims in published maps and institutional affiliations. |
© 2021 by the authors. Licensee MDPI, Basel, Switzerland. This article is an open access article distributed under the terms and conditions of the Creative Commons Attribution (CC BY) license (https://creativecommons.org/licenses/by/4.0/).
Share and Cite
Pereira Costa, D.; Sanches Stuchi, E.; Girardi, E.A.; Moreira, A.S.; da Silva Gesteira, A.; Coelho Filho, M.A.; da Silva Ledo, C.A.; da Silva, A.L.V.; de Leão, H.C.; Sampaio Passos, O.; et al. Less Is More: A Hard Way to Get Potential Dwarfing Hybrid Rootstocks for Valencia Sweet Orange. Agriculture 2021, 11, 354. https://doi.org/10.3390/agriculture11040354
Pereira Costa D, Sanches Stuchi E, Girardi EA, Moreira AS, da Silva Gesteira A, Coelho Filho MA, da Silva Ledo CA, da Silva ALV, de Leão HC, Sampaio Passos O, et al. Less Is More: A Hard Way to Get Potential Dwarfing Hybrid Rootstocks for Valencia Sweet Orange. Agriculture. 2021; 11(4):354. https://doi.org/10.3390/agriculture11040354
Chicago/Turabian StylePereira Costa, Danilo, Eduardo Sanches Stuchi, Eduardo Augusto Girardi, Alécio Souza Moreira, Abelmon da Silva Gesteira, Mauricio Antonio Coelho Filho, Carlos Alberto da Silva Ledo, André Luiz Vanucci da Silva, Helton Carlos de Leão, Orlando Sampaio Passos, and et al. 2021. "Less Is More: A Hard Way to Get Potential Dwarfing Hybrid Rootstocks for Valencia Sweet Orange" Agriculture 11, no. 4: 354. https://doi.org/10.3390/agriculture11040354
APA StylePereira Costa, D., Sanches Stuchi, E., Girardi, E. A., Moreira, A. S., da Silva Gesteira, A., Coelho Filho, M. A., da Silva Ledo, C. A., da Silva, A. L. V., de Leão, H. C., Sampaio Passos, O., & dos Santos Soares Filho, W. (2021). Less Is More: A Hard Way to Get Potential Dwarfing Hybrid Rootstocks for Valencia Sweet Orange. Agriculture, 11(4), 354. https://doi.org/10.3390/agriculture11040354

