Effects of a Harvesting and Conservation Method for Small Producers on the Quality of the Produced Olive Oil
Abstract
1. Introduction
2. Materials and Methods
2.1. Harvesting Method and Conservation Facilities
2.2. Experimental Material
2.3. Physico-Chemical Analysis
2.4. Sensory Analysis
2.5. Evaluation of Premium Quality
2.6. Statistical Data Analysis
- SSEffect= the sum of squares of each effect (R, C, or R × C);
- dfEffect =the degrees of freedom of each effect (R, C, or R × C);
- MSError= the mean square error;
- SSTotal = sum of squares total.
- Rij = ranking given by panel member j on treatment I;
- n = number of members in the tasting panel;
- t = total number of treatments to be compared in conjunction.
3. Results
3.1. Free Fatty Acidity
3.2. Peroxides
3.3. K 232 and K 270
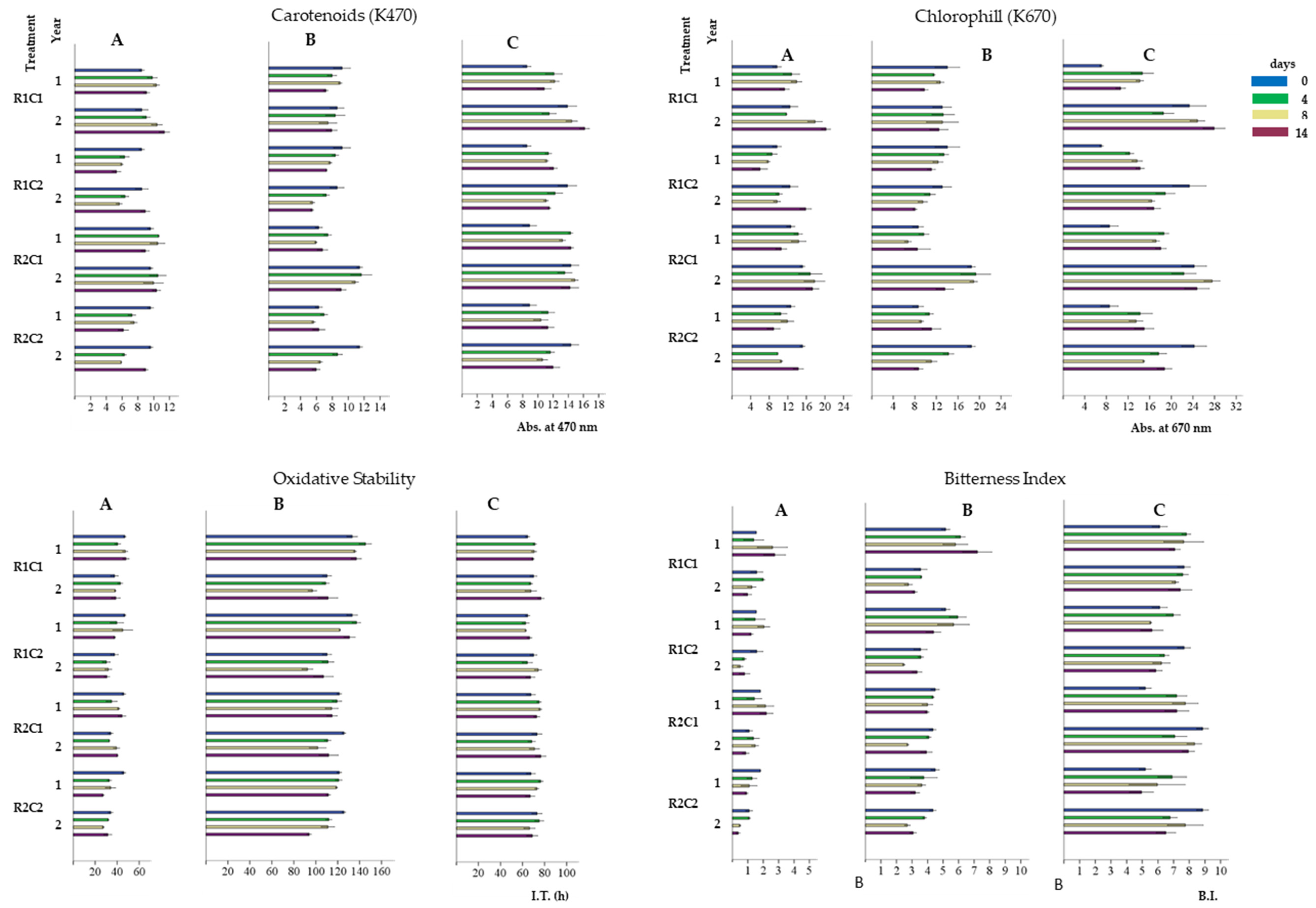
3.4. Oxidative Stability
3.5. Photosynthetic Pigments
3.6. Bitterness Index
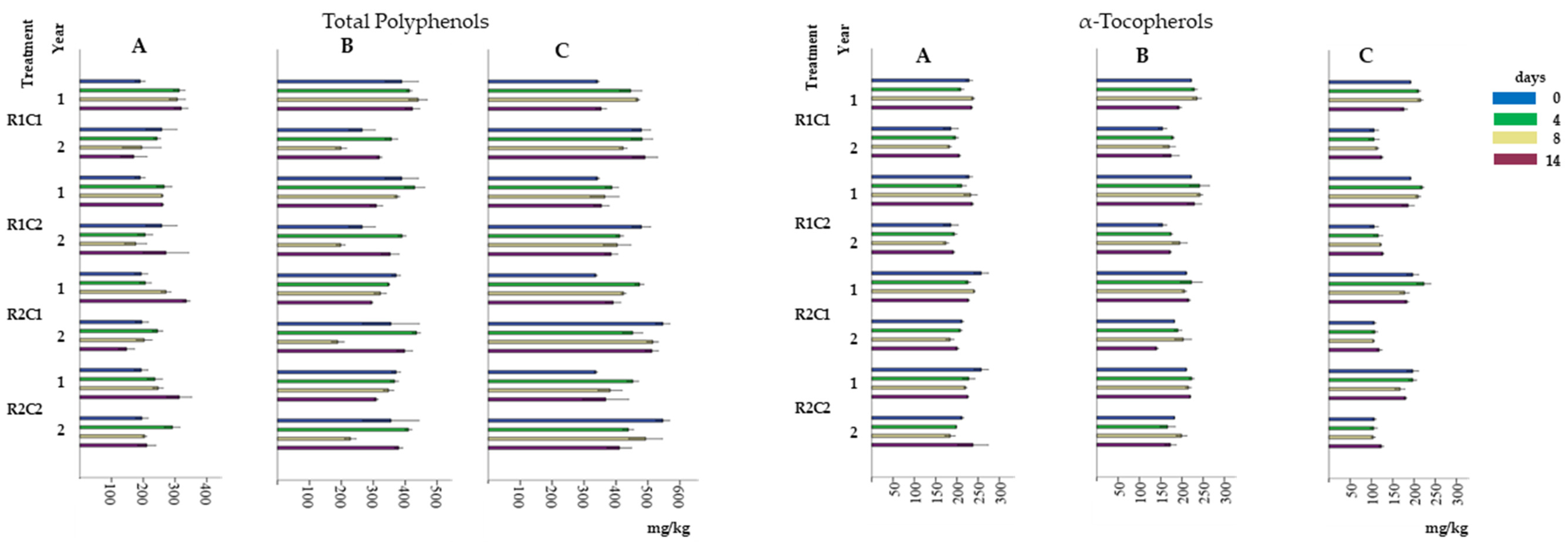
3.7. Total Polyphenols
3.8. α-Tocopherols
3.9. Overall Effect of the Factors
3.10. Sensory Analysis
3.11. Evaluation of Premium Quality
4. Discussion
5. Conclusions
Supplementary Materials
Author Contributions
Funding
Acknowledgments
Conflicts of Interest
References
- Comunidad Autónoma de Andalucía. Ley 5/2011, de 6 de Octubre, del Olivar de Andalucía; Comunidad Autónoma de Andalucía: Andalucía, España, 2011.
- Colombo, S.; Perujo-Villanueva, M. Inefficiency due to parcel fragmentation in olive orchards. Acta Hortic. 2018, 16, 159–164. [Google Scholar] [CrossRef]
- Sola-Guirado, R.R.; Castro-García, S.; Blanco-Roldán, G.L.; Jiménez-Jiménez, F.; Castillo-Ruiz, F.J.; Gil-Ribes, J.A. Traditional olive tree response to oil olive harvesting technologies. Biosyst. Eng. 2014, 118, 186–193. [Google Scholar] [CrossRef]
- García, J.M.; Yousfi, K. The postharvest of mill olives. Grasas Aceites 2006, 57, 16–24. [Google Scholar] [CrossRef]
- Rallo, L.; Díez, C.M.; Morales-Sillero, A.; Miho, H.; Priego-Capote, F.; Rallo, P. Quality of olives: A focus on agricultural preharvest factors. Sci. Hortic. 2018, 233, 491–509. [Google Scholar] [CrossRef]
- Famiani, F.; Farinelli, D.; Urbani, S.; Al Hariri, R.; Paoletti, A.; Rosati, A.; Esposto, S.; Selvaggini, R.; Taticchi, A.; Servili, M. Harvesting system and fruit storage affect basic quality parameters and phenolic and volatile compounds of oils from intensive and super-intensive olive orchards. Sci. Hortic. 2020, 263, 109045. [Google Scholar] [CrossRef]
- Rébufa, C.; Pinatel, C.; Artaud, J.; Girard, F. A comparative study of the main international extra virgin olive oil competitions: Their impact on producers and consumers. Trends Food Sci. Technol. 2021, 107, 445–454. [Google Scholar] [CrossRef]
- Puerto, D.A.; Moreno, Ó.C.; Gila, D.M.M.; Ortega, J.G.; García, J.G. Online system for the identification and classification of olive fruits for the olive oil production process. J. Food Meas. Charact. 2019, 13, 716–727. [Google Scholar] [CrossRef]
- Soto, J.N.; Martínez, S.S.; Gila, D.M.; Ortega, J.G.; García, J.G. Fast and Reliable Determination of Virgin Olive Oil Quality by Fruit Inspection Using Computer Vision. Sensors 2018, 18, 3826. [Google Scholar] [CrossRef] [PubMed]
- Plasquy, E.; Sola-Guiraldo, R.R.; Florido, C.; García, J.M.; Blanco-Roldán, G. Evaluation of a manual olive fruit harvester for small producers. Res. Agric. Eng. 2019, 65, 105–111. [Google Scholar] [CrossRef]
- Garcia, J.; Gutierrez, F.; Castellano, J.; Perdiguero, S.; Morilla, A.; Albi, M. Storage of olives destined for oil extraction. Acta Hortic. 1994, 368, 673–681. [Google Scholar] [CrossRef]
- Canet, M.; García, J.M. Repercusión de la frigoconservacion de la aceituna de molino en el proceso de producción de aceite de oliva virgen. Grasas Aceites 1999, 50, 181–184. [Google Scholar] [CrossRef]
- Pereira, J.A.; Casal, S.; Bento, A.; Oliveira, M.B.P.P. Influence of Olive Storage Period on Oil Quality of Three Portuguese Cultivars ofOlea europea, Cobrançosa, Madural, and Verdeal Transmontana. J. Agric. Food Chem. 2002, 50, 6335–6340. [Google Scholar] [CrossRef] [PubMed]
- García, J.M.; Gutiérrez, F.; Barrera, M.J.; Albi, M.A. Storage of Mill Olives on an Industrial Scale. J. Agric. Food Chem. 1996, 44, 590–593. [Google Scholar] [CrossRef]
- Kalua, C.M.; Bedgood, D.R.; Bishop, A.G.; Prenzler, P.D. Changes in Virgin Olive Oil Quality during Low-Temperature Fruit Storage. J. Agric. Food Chem. 2008, 56, 2415–2422. [Google Scholar] [CrossRef]
- Plasquy, E.; Blanco-Roldán, G.; Florido, M.C.; García, J.M. Effects of an integrated harvest system for small producers on the quality of the recollected olive fruit. Grasas Aceites 2021, 72, e436. [Google Scholar]
- Mateos, R.; Uceda, M.; Aguilera, M.P.; Escuderos, M.E.; Maza, G.B. Relationship of Rancimat method values at varying temperatures for virgin olive oils. Eur. Food Res. Technol. 2005, 223, 246–252. [Google Scholar] [CrossRef]
- Minguez-Mosquera, M.I.; Rejano-Navarro, L.; Gandul-Rojas, B.; Sanchezgomez, A.H.; Garrido-Fernandez, J. Color-pigment correlation in virgin olive oil. J. Am. Oil Chem. Soc. 1991, 68, 332–336. [Google Scholar] [CrossRef]
- Gutierrez, F.; Perdiguero, S.; Garcia, J.M.; Castellano, J.M. Quality of oils from olives stored under controlled atmosphere. J. Am. Oil Chem. Soc. 1992, 69, 1215–1218. [Google Scholar] [CrossRef]
- IUPAC. Standard Methods for the Analysis of Oils, Fats, and Derivates, 7th ed.; Pergamon Press: Oxford, UK, 1992. [Google Scholar]
- Percy, D.F.; Maxwell, S.E.; Delaney, H.D. Designing Experiments and Analyzing Data. J. R. Stat. Soc. 1991, 40, 353. [Google Scholar] [CrossRef]
- Yigit, S.; Mendes, M. Which Effect Size Measure is Appropriate for One-way and Two-way Anova Models? A Monte Carlo Simulation Study. Revstat Stat. J. 2018, 16, 295–313. [Google Scholar]
- Lindley, D.V.; Sprent, P.; Smeeton, N.C. Applied Nonparametric Statistical Methods. Math. Gaz. 2002, 86, 187. [Google Scholar] [CrossRef]
- Clodoveo, M.; Delcuratolo, D.; Gomes, T.; Colelli, G. Effect of different temperatures and storage atmospheres on Coratina olive oil quality. Food Chem. 2006, 102, 571–576. [Google Scholar] [CrossRef]
- Dag, A.; Boim, S.; Sobotin, Y.; Zipori, I. Effect of Mechanically Harvested Olive Storage Temperature and Duration on Oil Quality. HortTechnology 2012, 22, 528–533. [Google Scholar] [CrossRef]
- Yousfi, K.; Weiland, C.M.; García, J.M. Effect of Harvesting System and Fruit Cold Storage on Virgin Olive Oil Chemical Composition and Quality of Superintensive Cultivated ‘Arbequina’ Olives. J. Agric. Food Chem. 2012, 60, 4743–4750. [Google Scholar] [CrossRef]
- Yousfi, K.; Cayuela, J.A.; García, J.M. Reduction of Virgin Olive Oil Bitterness by Fruit Cold Storage. J. Agric. Food Chem. 2008, 56, 10085–10091. [Google Scholar] [CrossRef]
- Serrano, A.; De la Rosa, R.; Sánchez-Ortiz, A.; Cano, J.; Pérez, A.G.; Sanz, C.; Arias-Calderón, R.; Velasco, L.; León, L. Chemical components influencing oxidative stability and sensorial properties of extra virgin olive oil and effect of genotype and location on their expression. LWT 2021, 136, 110257. [Google Scholar] [CrossRef]
- Tous, J.; Uceda, M.; Romero, A.; Beltrán, G.; Días, I.; Jiménez, A. Composición del Aceite. In Variabilidad y Selección. In Variedades de Olivo en España; Rallo, L., Barranco, D., Caballero, J.M., del Río, C., Martín, A., Tous, J., Trujillo, I., Eds.; Mundi-Prensa: Madrid, Spain, 2005; pp. 357–372. [Google Scholar]
- Kiritsakis, A.; Nanos, G.D.; Polymenopulos, Z.; Thomai, T.; Sfakiotakis, E.M. Effect of fruit storage conditions on olive oil quality. J. Am. Oil Chem. Soc. 1998, 75, 721–724. [Google Scholar] [CrossRef]
- Beltrán, G.; Ruano, M.T.; Jiménez, A.; Uceda, M.; Aguilera, M.P. Evaluation of virgin olive oil bitterness by total phenol content analysis. Eur. J. Lipid Sci. Technol. 2007, 109, 193–197. [Google Scholar] [CrossRef]
- Borges, T.H.; Serna, A.; López, L.C.; Lara, L.; Nieto, R.; Seiquer, I. Composition and Antioxidant Properties of Spanish Extra Virgin Olive Oil Regarding Cultivar, Harvest Year and Crop Stage. Antioxidants 2019, 8, 217. [Google Scholar] [CrossRef]
- Nabil, B.Y.; Ouni, Y.; Nizar, D.; Bechir, B.; Chedly, A.; Mokhtar, Z. Effect of olive storage period at two different temperatures on oil quality of two Tunisian cultivars of Olea europea, Chemlali and Chétoui. Afr. J. Biotechnol. 2012, 11, 888–895. [Google Scholar]
- Morales-Sillero, A.; Pérez, A.G.; Casanova, L.; García, J.M. Cold storage of ‘Manzanilla de Sevilla’ and ‘Manzanilla Cacereña’ mill olives from super-high density orchards. Food Chem. 2017, 237, 1216–1225. [Google Scholar] [CrossRef] [PubMed]
- Beltrán, G.; Jiménez, A.; Del Rio, C.; Sánchez, S.; Martínez, L.; Uceda, M.; Aguilera, M.P. Variability of vitamin E in virgin olive oil by agronomical and genetic factors. J. Food Compos. Anal. 2010, 23, 633–639. [Google Scholar] [CrossRef]
- Velasco, L.; De La Rosa, R.; Leon, L. Advanced olive selections with enhanced quality for minor constituents. Grasas Aceites 2015, 66, e100. [Google Scholar] [CrossRef]





| Storage Time (Days) | 0 | 4 | 8 | 14 | |||||||||||||||||||||
|---|---|---|---|---|---|---|---|---|---|---|---|---|---|---|---|---|---|---|---|---|---|---|---|---|---|
| Factor | R | C | R × C | R | C | R × C | R | C | R × C | R | C | R × C | |||||||||||||
| Year | 1 | 2 | 1 | 2 | 1 | 2 | 1 | 2 | 1 | 2 | 1 | 2 | 1 | 2 | 1 | 2 | 1 | 2 | 1 | 2 | 1 | 2 | 1 | 2 | |
| Arbequina | FFA | 0.26 | 0.40 | 0.00 | 0.00 | 0.00 | 0.00 | 0.17 | 0.17 | 0.33 | 0.64 | 0.03 | 0.08 | 0.27 | 0.17 | 0.40 | 0.66 | 0.22 | 0.10 | 0.35 | 0.14 | 0.37 | 0.82 | 0.28 | 0.02 |
| PV | 0.00 | 0.61 | 0.00 | 0.00 | 0.00 | 0.00 | 0.06 | 0.08 | 0.71 | 0.42 | 0.02 | 0.14 | 0.31 | 0.34 | 0.46 | 0.15 | 0.00 | 0.16 | 0.44 | 0.60 | 0.05 | 0.09 | 0.32 | 0.05 | |
| K232 | 0.38 | 0.59 | 0.00 | 0.00 | 0.00 | 0.00 | 0.00 | 0.00 | 0.02 | 0.09 | 0.30 | 0.42 | 0.00 | 0.24 | 0.00 | 0.11 | 0.00 | 0.23 | 0.00 | 0.09 | 0.00 | 0.37 | 0.27 | 0.00 | |
| K270 | 0.62 | 0.09 | 0.00 | 0.00 | 0.00 | 0.00 | 0.07 | 0.28 | 0.00 | 0.02 | 0.00 | 0.41 | 0.00 | 0.35 | 0.14 | 0.00 | 0.00 | 0.06 | 0.00 | 0.24 | 0.26 | 0.00 | 0.57 | 0.00 | |
| Oxidative Stability | 0.03 | 0.25 | 0.00 | 0.00 | 0.00 | 0.00 | 0.34 | 0.13 | 0.00 | 0.41 | 0.00 | 0.30 | 0.34 | 0.01 | 0.07 | 0.76 | 0.00 | 0.07 | 0.18 | 0.00 | 0.70 | 0.69 | 0.04 | 0.00 | |
| K470 | 0.75 | 0.49 | 0.00 | 0.00 | 0.00 | 0.00 | 0.05 | 0.02 | 0.88 | 0.83 | 0.00 | 0.03 | 0.04 | 0.00 | 0.86 | 0.91 | 0.02 | 0.00 | 0.00 | 0.03 | 0.89 | 0.71 | 0.01 | 0.04 | |
| K670 | 0.75 | 0.56 | 0.00 | 0.00 | 0.00 | 0.00 | 0.09 | 0.15 | 0.65 | 0.49 | 0.00 | 0.18 | 0.15 | 0.00 | 0.57 | 0.89 | 0.09 | 0.00 | 0.03 | 0.20 | 0.52 | 0.57 | 0.13 | 0.00 | |
| Bitterness Index | 10.00 | 0.38 | 0.00 | 0.00 | 0.00 | 0.00 | 0.00 | 0.01 | 0.00 | 0.57 | 0.00 | 0.22 | 0.14 | 0.00 | 0.21 | 0.83 | 0.00 | 0.00 | 0.04 | 0.00 | 0.71 | 0.30 | 0.00 | 0.11 | |
| Total Polyphenols | 10.00 | 0.42 | 0.00 | 0.00 | 0.00 | 0.00 | 0.59 | 0.36 | 0.00 | 0.00 | 0.18 | 0.34 | 0.17 | 0.00 | 0.42 | 0.00 | 0.01 | 0.00 | 0.21 | 0.00 | 0.30 | 0.04 | 0.03 | 0.01 | |
| α-tocopherols | 0.55 | 0.55 | 0.00 | 0.00 | 0.00 | 0.00 | 0.41 | 0.30 | 0.00 | 0.16 | 0.00 | 0.02 | 0.00 | 0.02 | 0.32 | 0.00 | 0.08 | 0.00 | 0.77 | 0.14 | 0.00 | 0.01 | 0.00 | 0.24 | |
| Picual | FFA | 0.00 | 10.00 | 0.00 | 0.00 | 0.00 | 0.00 | 0.00 | 0.00 | 0.00 | 0.76 | 0.00 | 0.00 | 0.07 | 0.00 | 0.00 | 0.72 | 0.60 | 0.00 | 0.05 | 0.27 | 0.44 | 0.54 | 0.34 | 0.09 |
| PV | 0.51 | 0.27 | 0.00 | 0.00 | 0.00 | 0.00 | 0.00 | 0.48 | 0.00 | 0.06 | 0.00 | 0.13 | 0.59 | 0.05 | 0.08 | 0.00 | 0.06 | 0.18 | 0.28 | 0.00 | 0.00 | 0.00 | 0.05 | 0.11 | |
| K232 | 0.13 | 0.08 | 0.00 | 0.00 | 0.00 | 0.00 | 0.11 | 0.21 | 0.37 | 0.09 | 0.00 | 0.00 | 0.09 | 0.00 | 0.15 | 0.00 | 0.04 | 0.12 | 0.01 | 0.00 | 0.00 | 0.00 | 0.00 | 0.13 | |
| K270 | 0.00 | 0.93 | 0.00 | 0.00 | 0.00 | 0.00 | 0.80 | 0.29 | 0.03 | 0.00 | 0.09 | 0.00 | 0.73 | 0.62 | 0.14 | 0.13 | 0.05 | 0.00 | 0.15 | 0.07 | 0.00 | 0.33 | 0.07 | 0.08 | |
| Oxidative Stability | 0.00 | 0.87 | 0.00 | 0.00 | 0.00 | 0.00 | 0.74 | 0.00 | 0.04 | 0.00 | 0.00 | 0.00 | 0.58 | 0.43 | 0.03 | 0.00 | 0.22 | 0.12 | 0.35 | 0.05 | 0.21 | 0.26 | 0.35 | 0.07 | |
| K470 | 0.79 | 0.84 | 0.00 | 0.00 | 0.00 | 0.00 | 0.48 | 0.39 | 0.00 | 0.29 | 0.07 | 0.04 | 0.87 | 0.27 | 0.08 | 0.57 | 0.03 | 0.08 | 0.28 | 0.07 | 0.00 | 0.81 | 0.00 | 0.00 | |
| K670 | 0.73 | 0.83 | 0.00 | 0.00 | 0.00 | 0.00 | 0.55 | 0.44 | 0.21 | 0.27 | 0.00 | 0.01 | 0.81 | 0.22 | 0.03 | 0.54 | 0.08 | 0.06 | 0.00 | 0.01 | 0.25 | 0.78 | 0.00 | 0.00 | |
| Bitterness Index | 0.64 | 0.62 | 0.00 | 0.00 | 0.00 | 0.00 | 0.77 | 0.59 | 0.01 | 0.08 | 0.00 | 0.05 | 0.69 | 0.00 | 0.00 | 0.13 | 0.00 | 0.08 | 0.47 | 0.06 | 0.31 | 0.15 | 0.10 | 0.35 | |
| Total Polyphenols | 0.74 | 0.29 | 0.00 | 0.00 | 0.00 | 0.00 | 0.82 | 0.60 | 0.01 | 0.00 | 0.03 | 0.20 | 0.52 | 0.00 | 0.07 | 0.15 | 0.28 | 0.17 | 0.83 | 0.56 | 0.03 | 0.00 | 0.00 | 0.12 | |
| α-tocopherols | 0.96 | 0.83 | 0.00 | 0.00 | 0.00 | 0.00 | 0.05 | 0.00 | 0.00 | 0.27 | 0.00 | 0.11 | 0.75 | 0.17 | 0.05 | 0.02 | 0.00 | 0.08 | 0.01 | 0.19 | 0.38 | 0.15 | 0.24 | 0.21 | |
| Verdial | FFA | 0.17 | 0.55 | 0.00 | 0.00 | 0.00 | 0.00 | 0.43 | 0.35 | 0.00 | 0.00 | 0.51 | 0.00 | 0.07 | 0.31 | 0.22 | 0.12 | 0.43 | 0.03 | 0.06 | 0.58 | 0.54 | 0.00 | 0.00 | 0.00 |
| PV | 0.61 | 0.33 | 0.00 | 0.00 | 0.00 | 0.00 | 0.71 | 0.10 | 0.01 | 0.00 | 0.23 | 0.11 | 0.83 | 0.29 | 0.00 | 0.00 | 0.09 | 0.00 | 0.65 | 0.00 | 0.11 | 0.00 | 0.00 | 0.00 | |
| K232 | 0.00 | 0.17 | 0.00 | 0.00 | 0.00 | 0.00 | 0.01 | 0.00 | 0.00 | 0.00 | 0.00 | 0.00 | 0.00 | 0.56 | 0.00 | 0.05 | 0.00 | 0.14 | 0.25 | 0.00 | 0.02 | 0.48 | 0.00 | 0.00 | |
| K270 | 0.00 | 0.56 | 0.00 | 0.00 | 0.00 | 0.00 | 0.00 | 0.82 | 0.00 | 0.00 | 0.02 | 0.00 | 0.31 | 0.72 | 0.00 | 0.08 | 0.00 | 0.00 | 0.00 | 0.13 | 0.00 | 0.55 | 0.21 | 0.00 | |
| Oxidative Stability | 0.16 | 0.72 | 0.00 | 0.00 | 0.00 | 0.00 | 0.59 | 0.00 | 0.08 | 0.30 | 0.17 | 0.07 | 0.59 | 0.45 | 0.27 | 0.10 | 0.04 | 0.00 | 0.03 | 0.07 | 0.36 | 0.60 | 0.00 | 0.00 | |
| K470 | 0.00 | 0.00 | 0.00 | 0.00 | 0.00 | 0.00 | 0.13 | 0.05 | 0.43 | 0.01 | 0.14 | 0.31 | 0.00 | 0.00 | 0.64 | 0.92 | 0.12 | 0.01 | 0.20 | 0.02 | 0.08 | 0.74 | 0.50 | 0.08 | |
| K670 | 0.28 | 0.00 | 0.00 | 0.00 | 0.00 | 0.00 | 0.27 | 0.02 | 0.36 | 0.15 | 0.01 | 0.22 | 0.15 | 0.00 | 0.36 | 0.93 | 0.20 | 0.03 | 0.51 | 0.00 | 0.00 | 0.80 | 0.33 | 0.06 | |
| Bitterness Index | 0.56 | 0.66 | 0.00 | 0.00 | 0.00 | 0.00 | 0.00 | 0.00 | 0.11 | 0.35 | 0.00 | 0.13 | 0.00 | 0.62 | 0.42 | 0.00 | 0.00 | 0.00 | 0.00 | 0.02 | 0.65 | 0.73 | 0.00 | 0.00 | |
| Total Polyphenols | 0.16 | 0.00 | 0.00 | 0.00 | 0.00 | 0.00 | 0.34 | 0.30 | 0.24 | 0.00 | 0.03 | 0.20 | 0.00 | 0.00 | 0.55 | 0.00 | 0.07 | 0.23 | 0.02 | 0.00 | 0.00 | 0.53 | 0.00 | 0.00 | |
| α-tocopherols | 0.00 | 0.00 | 0.00 | 0.00 | 0.00 | 0.00 | 0.00 | 0.00 | 0.07 | 0.00 | 0.37 | 0.02 | 0.82 | 0.67 | 0.02 | 0.03 | 0.00 | 0.07 | 0.00 | 0.12 | 0.00 | 0.05 | 0.06 | 0.00 | |
| Storage Time | Treatment | Arbequina | Picual b | Verdial b | ||||||
|---|---|---|---|---|---|---|---|---|---|---|
| (Days) | R (1,2) | |||||||||
| C (1,2) | Fruitiness | Bitterness | Pungency | Fruitiness | Bitterness | Pungency | Fruitiness | Bitterness | Pungency | |
| 0 | 1,1 | 2.4 ± 1.0 | 3.9 ± 1.5 | 6.1 ± 1.1 | 4.3 ± 1.1 | 4.6 ± 0.7 | 5.3 ± 0.8 | 3.5 ± 0.6 | 4.1 ± 1.0 | 5.2 ± 0.8 |
| 1,2 | 2.4 ± 1.0 | 3.9 ± 1.5 | 6.1 ± 1.1 A | 4.3 ± 1.1 | 4.6 ± 0.7 | 5.3 ± 0.8 | 3.5 ± 0.6 | 4.1 ± 1.0 | 5.2 ± 0.8 A | |
| 2,1 | 3.0 ± 1.3 | 4.5 ± 1.2 | 6.1 ± 1.4 | 4.6 ± 1.3 | 4.8 ± 1.1 | 5.2 ± 0.7 | 3.4 ± 0.6 | 3.7 ± 1.1 | 4.5 ± 0.6 A | |
| 2,2 | 3.0 ± 1.3 | 4.5 ± 1.2 Aa | 6.1 ± 1.4 A | 4.6 ± 1.3 | 4.8 ± 1.1 | 5.2 ± 0.7 | 3.4 ± 0.6 | 4.1 ± 1.0 | 4.5 ± 0.6 | |
| 4 | 1,1 | 1.9 ± 1.2 | 3.6 ± 1.1 | 5.2 ± 1.1 α | - | - | - | - | - | - |
| 1,2 | 2.2 ± 1.2 | 3.6 ± 0.9 | 4.4 ± 1.5 B β | - | - | - | - | - | - | |
| 2,1 | 2.4 ± 1.4 | 3.3 ± 1.6 | 5.5 ± 0.9 α | - | - | - | - | - | - | |
| 2,2 | 1.9 ± 0.8 | 3.0 ± 1.1 AB | 4.0 ± 1.5 B β | - | - | - | - | - | - | |
| 8 | 1,1 | 2.4 ± 1.3 | 3.3 ± 1.1 α | 4.6 ± 17 a α | - | - | - | - | - | - |
| 1,2 | 1.8 ± 1.0 | 2.2 ± 0.9 β | 2.7 ± 0.7 C b β | - | - | - | - | - | - | |
| 2,1 | 2.6 ± 1.5 | 3.1 ± 1.3 α | 5.0 ± 1.1 a α | - | - | - | - | - | - | |
| 2,2 | 1.7 ± 1.1 | 2.1 ± 1.3 B β | 3.3 ± 1.4 B ab β | - | - | - | - | - | - | |
| 14 | 1,1 | 2.8 ± 1.6 | 3.9 ± 1.5 a α | 5.5 ± 1.2 a α | 4.5 ± 1.2 | 4.3 ± 0.8 | 5.1 ± 0.8 | 3.0 ± 0.9 | 4.7 ± 0.7 | 5.2 ± 0.5 |
| 1,2 | 2.4 ± 1.2 | 3.5 ± 1.4 ab β | 4.2 ± 1.2 BC ab β | 4.3 ± 1.2 | 4.1 ± 1.2 | 4.4 ± 1.3 | 2.9 ± 1.1 | 3.8 ± 1.0 | 4.7 ± 1.2 B | |
| 2,1 | 2.7 ± 1.8 | 4.8 ± 1.1 a α | 4.9 ± 1.1 ab α | 4.2 ± 1.1 | 4.3 ± 1.0 | 4.9 ± 0.9 | 3.8 ± 0.8 | 3.1 ± 0.7 | 4.1 ± 0.8 B | |
| 2,2 | 1.7 ± 0.8 | 2.0 ± 1.1 B c β | 3.4 ± 1.4 B b β | 4.4 ± 0.8 | 4.1 ± 1.0 | 4.7 ± 1.1 | 2.2 ± 0.8 | 3.6 ± 1.2 | 4.8 ± 1.0 | |
| Storage Time (ST) | 0.217 | 0 | 0 | 0.059 | 0.055 | 0.9 | 0.718 | 0.568 | 0 | |
| Treatment (T) | 0.203 | 0.01 | 0 | 0.952 | 0.749 | 0.965 | 0.031 | 0.15 | 0.34 | |
| ST × T | 0.752 | 0.057 | 0.199 | 0.96 | 0.724 | 0.962 | 0.383 | 0.486 | 0.348 | |
| R | 0.7 | 0.774 | 0.78 | 0.682 | 0.924 | 0.749 | 0.01 | 0.014 | 0.767 | |
| R × ST | 0.421 | 0.311 | 0.366 | 0.72 | 0.733 | 0.728 | 0.677 | 0.814 | 0.324 | |
| C | 0.062 | 0.002 | 0 | 0.98 | 0.613 | 0.707 | 0.171 | 0.126 | 0.13 | |
| C × ST | 0.326 | 0.166 | 0.738 | 0.682 | 0.334 | 0.878 | 0.632 | 0.775 | 0.035 | |
| Treatment | Day 0 | Day 4 | Day 8 | Day 14 | ||||
|---|---|---|---|---|---|---|---|---|
| Median * | Defects | Median * | Defects | Median * | Defects | Median * | Defects | |
| R1 C1 | 0.00 | 1 | 0.00 | 3 | 0.00 | 1 | 0.00 | 2 |
| R1 C2 | 0.00 | 1 | 0.00 | 5 | 0.00 | 1 | 1.60 | 6 |
| R2 C1 | 0.00 | 1 | 0.80 | 10 | 1.95 | 8 | 2.25 | 11 |
| R2 C2 | 0.00 | 1 | 2.65 | 13 | 1.55 | 8 | 2.70* | 11 |
Publisher’s Note: MDPI stays neutral with regard to jurisdictional claims in published maps and institutional affiliations. |
© 2021 by the authors. Licensee MDPI, Basel, Switzerland. This article is an open access article distributed under the terms and conditions of the Creative Commons Attribution (CC BY) license (https://creativecommons.org/licenses/by/4.0/).
Share and Cite
Plasquy, E.; Florido, M.C.; Sola-Guirado, R.R.; García, J.M. Effects of a Harvesting and Conservation Method for Small Producers on the Quality of the Produced Olive Oil. Agriculture 2021, 11, 417. https://doi.org/10.3390/agriculture11050417
Plasquy E, Florido MC, Sola-Guirado RR, García JM. Effects of a Harvesting and Conservation Method for Small Producers on the Quality of the Produced Olive Oil. Agriculture. 2021; 11(5):417. https://doi.org/10.3390/agriculture11050417
Chicago/Turabian StylePlasquy, Eddy, María C. Florido, Rafael R. Sola-Guirado, and José M. García. 2021. "Effects of a Harvesting and Conservation Method for Small Producers on the Quality of the Produced Olive Oil" Agriculture 11, no. 5: 417. https://doi.org/10.3390/agriculture11050417
APA StylePlasquy, E., Florido, M. C., Sola-Guirado, R. R., & García, J. M. (2021). Effects of a Harvesting and Conservation Method for Small Producers on the Quality of the Produced Olive Oil. Agriculture, 11(5), 417. https://doi.org/10.3390/agriculture11050417

