Abstract
Anisodus tanguticus (Maxim.) Pascher, a medicinal plant growing in the Tibetan Plateau region with various medicinal values, is mainly used for the extraction of tropane alkaloids (TAs), and the increased demand for A. tanguticus has triggered its overexploitation. The cultivation of this plant is necessary for the quality control and conservation of wild resources. During 2020 and 2021, a split-plot experiment with three replicates was used to study different planting densities (D1: 30 × 50 cm; D2: 40 × 50 cm; D3: 50 × 50 cm; D4: 60 × 50 cm) and different growth periods (first withering period: October 2020; greening period: June 2021; growth period: August 2021; second withering period: October 2021) on the yield and alkaloid content (atropine, scopolamine, anisodamine, anisodine) of A. tanguticus. The results showed that the mass per plant of A. tanguticus was higher at low density, while the yield per unit area of the underground parts (25288.89 kg/ha) was greater at high density, and the mass of the aboveground parts (14933.33 kg/ha) was higher at low density. The anisodamine (0.0467%) and anisodine (0.1201%) content of D2 (40 cm × 50 cm) was significantly higher than that of the other densities during the green period. The content of all four alkaloids was highest during the greening period, and the scopolamine, anisodamine, and anisodine content was higher in the aboveground parts than in the underground parts. The total alkaloid accumulation per unit area of the whole plant reached its maximum value (1.08%, 139.48 kg/ha) in the growth period of D2; therefore, for economic efficiency and the selection of the best overall quality, it was concluded that the aboveground parts also had medicinal value, the growth period was the best harvesting period, and D2 (40 cm × 50 cm) was the best planting density for A. tanguticus.
1. Introduction
Anisodus tanguticus is a perennial herb of the genus Anisodama of the family Solanaceae, subclade Tianxianzi. There are four species in the genus Anisodama, which are distributed in China, Nepal, Bhutan, Sikkim, and northeastern India. In China, A. tanguticus is used as a precious herbal medicine, and the name of Tibetan medicine with A. tanguticus is “Tangchongnabao”, which is mainly distributed in the 2800~4000 m area of the Qinghai–Tibet Plateau in China [1]. Tibetan doctors use A.tanguticus roots to treat pain, ulcers, colitis, gallstones, trauma, ulcers, and bleeding [2]. Many farmers mix the stems and leaves of this plant in their feed to help with cattle bloating, lack of appetite, and other diseases. A. tanguticus has a strong ability to produce tropane alkaloids (TAs) [3], of which the main TAs are atropine, scopolamine, anisodamine, and anisodine. In traditional pharmacology, most of these alkaloids are nonselective M toxic muscarinic cholinergic receptor blockers, which are widely used to improve the microcirculatory status in patients with infectious shock and disseminated intravascular coagulation and as antidotes for organophosphorus poisoning [3,4,5,6,7,8].
A. tanguticus, an important wild medicinal plant resource, is in great demand in the market, and its massive exploitation has resulted in the increasing depletion of wild resources, an unstable ecological balance, and unsustainable development. Therefore, exploring its efficient cultivation strategy at high altitudes is of urgent importance to improve the yield and quality of A. tanguticus. Among these strategies, adjusting planting density is an effective agricultural practice that affects plant growth and quality by altering photosynthesis and nutrient uptake, and a proper planting density is the key to improving the yield and secondary metabolite content of the herb [9]. During the plant’s development, the production and accumulation of secondary plant metabolites is strictly regulated by the plant itself [10]. A variety of enzymes in the plant are involved in the tropane alkaloid metabolic pathway and they are controlled by complex regulatory mechanisms and respond precisely to seasonal changes [11]. Therefore, it is necessary to determine the optimal harvesting time of medicinal plants to ensure the quality of plant products.
Unfortunately, previous studies on A. tanguticus have focused on the isolation and analysis of chemical constituents, pharmacological effects, and clinical applications, while studies on its cultivation and cultivation techniques have been rare. In this study, the optimal planting density and harvest time of A. tanguticus in the Qinghai–Tibet Plateau is determined. The results of the present study provide new ideas for the development of high-quality and high-yielding A. tanguticus, guide the practice of the A. tanguticus cultivation industry, and promote the sustainable development of Chinese plant resources.
2. Results
2.1. Effects of Different Density Gradients on the Growth Traits and Yield of A. tanguticus
The effects of density on the growth traits and yield of A. tanguticus are shown in Table 1 and Figure 1. Plant height was at its maximum value during the growing stage of D4 at (153.00 ± 3.49 cm), which was significantly higher than those of the D1 and D2 densities (p < 0.05). Root length (45.45 ± 1.23 cm) had the same growth trend as root diameter (9.37 ± 0.39 cm), which accumulated with the growing season and was at its maximum value by the second wilting stage of the D3 group.
Table 1.
Mean and standard deviation of growth and development indicators of A. tanguticus under the different density gradients.
Figure 1.
Biomass accumulation ((A) Aboveground; (B) Underground) and yield ((C) Aboveground; (D) Underground) at different density gradients. Different letters indicate a significant difference between treatments at p < 0.05 level.
With the prolongation of growth time, aboveground dry weight per plant increased first and then decreased, reaching its maximum value in the growth stage. The aboveground dry weight showed an increasing trend with the decrease of density (Figure 1A), and reached its maximum value with the density gradient D2 during the growth stage (p < 0.05). The drying rate increased from the green stage to the wilting stage and reached its maximum in the wilting stage. The aboveground dry yield also tended to increase and then decrease with plant growth, reaching a maximum of 14,933.33 kg/ha (p < 0.05) with the density gradient D1 during the growing stage (Figure 1C).
With increasing growth time, the underground dry weight per plant increased, and with decreasing density, the underground dry weight increased; both wilting and greening periods reached their maximum values with the density gradient D3, while the growth period density gradient reached its maximum with D2 (p < 0.05) (Figure 1A). The dry weight per plant during the wilting stage in the second year of cultivation exceeded 0.6 kg/plant, which was 2.95 times higher than the maximum during the first stage of wilting (Figure 1B). There was less folded dryness in the underground parts in the greening stage than in other stages, and the difference between the growing and wilting stages was nonsignificant, indicating that the underground parts started to accumulate a large amount of material during the growing stage. The underground dry yield also accumulated with the prolongation of the growth period, reaching its maximum (25,288.89 kg/ha) by the second wilting stage with D1 (p < 0.05) (Figure 1D). The underground dry yields of the second wilting stage were 1.97, 2.04, 2.92, and 1.79 times higher than those of the first wilting stage of each density gradient.
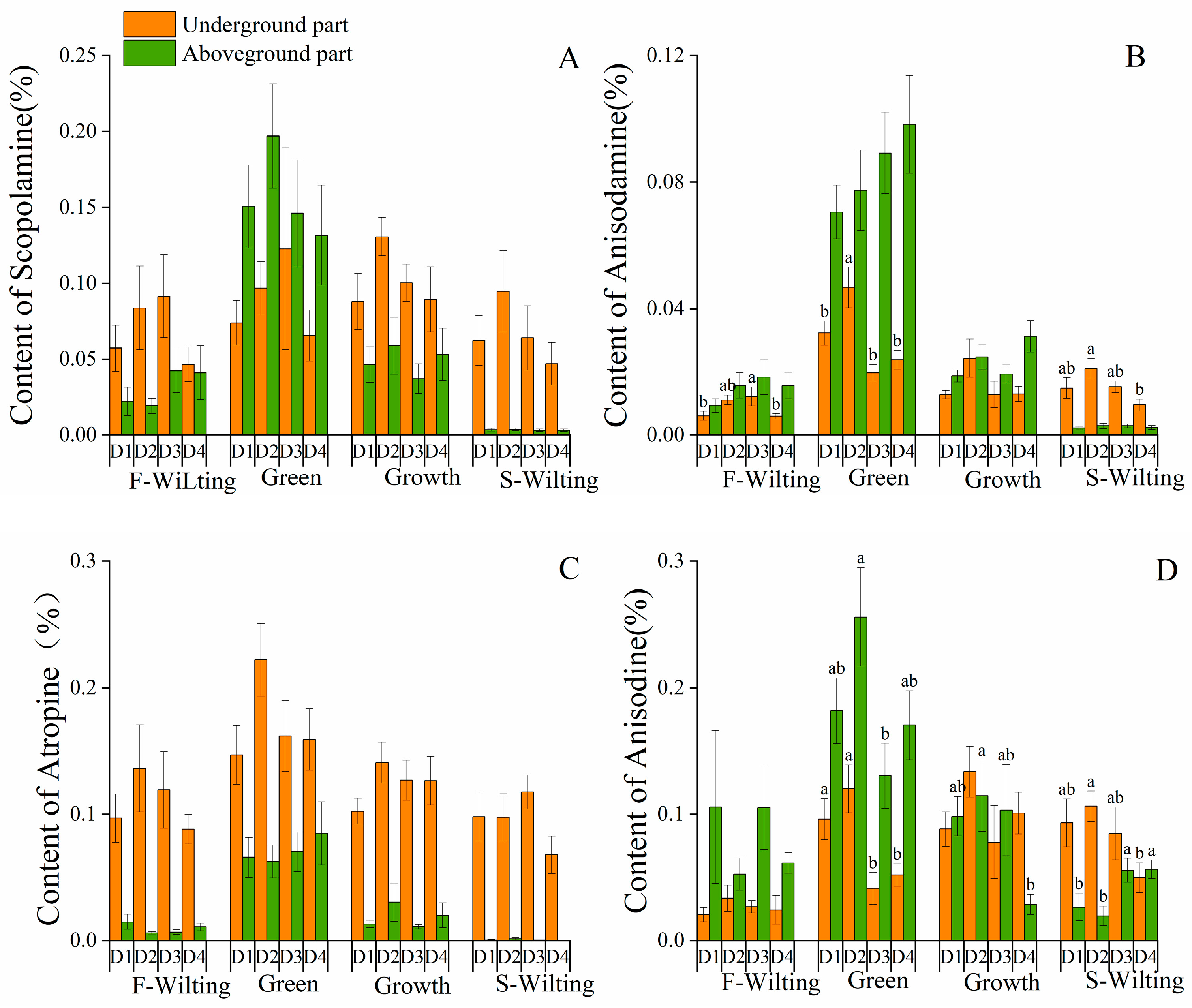
2.2. Effects of Different Density Gradients on the Main Alkaloids of A. tanguticus
The effects of different density gradients on the four major alkaloids of A. tanguticus are shown in Figure 2. Among them, scopolamine, anisodamine, and anisodine showed the same content trends: The content in the aboveground biomass was higher than in the belowground biomass during the greening period, while the aboveground maximum content of scopolamine and anisodine was achieved with D2 and the aboveground maximum content of anisodamine was achieved with D4, the content of which was 2.04, 4.12, and 2.17 times higher than in the corresponding belowground biomass, respectively. By contrast, the atropine content was higher in underground parts than in aboveground parts during the greening period, with the underground content maximum being 3.67 times higher than that of the corresponding aboveground content (Figure 2C). All four alkaloids showed a decreasing trend in content above and below ground in the growing season.
Figure 2.
Alkaloid content under different density gradients((A) scopolamine; (B) anisodamine; (C) atropine, and (D) anisodine). Different letters indicate a significant difference between treatments at p < 0.05 level.
Cultivation density had a significant effect on anisodamine (Figure 2B) (Table S1) and anisodine (Figure 2D) (Table S1) content. The underground anisodamine content was significantly higher in D2 (0.0467%) than in D1 (0.0322%), D3 (0.01975%), and D4 (0.0238%) in the greening period (p < 0.05) and higher in D2 (0.0210%) than in D4 (0.0095%) in the second wilting period (p < 0.05). The underground anisodine content was significantly higher in D1 (0.0960%) and D2 (0.1201%) than in D3 (0.0413%) and D4 (0.0518%) in the greening period (p < 0.05). The aboveground anisodine content was significantly higher in D2 (0.2559%) than in D3 (0.1302%) in the greening period and higher in D2 (0.1146%) than in D4 (0.0287%) in the growing period (p < 0.05).
The accumulation of the four alkaloids in a single plant is shown in Figure 3A. The maximum accumulation of the four alkaloids in the whole plant at the greening, growing, and second wilting stages all occurred with D2, and the greening stage (D2) showed a maximum accumulation of the four alkaloids in the whole plant of 1.08%. Among them, scopolamine, anisodamine, atropine, and anisodine accounted for 27.23%, 11.51%, 26.39%, and 34.87% of the total accumulation, respectively. The maximum accumulation of these alkaloids in the underground parts during both wilting periods occurred with D2, and accumulation in the second wilting period (0.32%) was greater than in the first wilting period (0.26%).
Figure 3.
Accumulation of alkaloids under different density gradients. (A) (single plant); (B) (unit area).
The total accumulation of the four alkaloids per unit area of the whole plant is shown in Figure 3B, reaching a maximum of 139.48 kg/ha at the growth stage in D2, where the total amounts of scopolamine, anisodamine, atropine, and anisodine per unit area of the whole plant were 40.48 kg/ha, 10.07 kg/ha, 37.48 kg/ha and 51.44 kg/ha, respectively. The total amount of belowground scopolamine, anisodamine, atropine, and anisodine accumulated per unit area reached its maximum with D3 at the second wilting period, and the total amounts of scopolamine, anisodamine, atropine, and anisodine were 25.00 kg/ha, 5.98 kg/ha, 45.86 kg/ha and 33.09 kg/ha, respectively, which were 12.76 kg/ha, 4.34 kg/ha, 29.92 kg/ha and 29.92 kg/ha higher than those of the first wilting period. The total accumulation of aboveground scopolamine, anisodamine, atropine, and anisodine per unit area was 3.41, 7.01, 0.91, and 5.59 times higher than that of the belowground part with D4 of the greening stage, respectively.
2.3. Comprehensive Evaluation Analysis of A. tanguticus
A PCA divided all the measurements into four groups (Figure 4), with principal components 1 and 2 explaining 54.8% and 21.5% of the data variance, respectively, and with a total of 75.3% explained data variance. The f-wilting, greening, growing, and s-wilting periods were clustered into four groups. The density gradient under each period was then subjected to PCA, and the f-wilting stage PCA divided the density into two groups, with one group including D2 and D3 and the other group including D1 and D4; the two principal components explained a total of 41.2% of the data variance. The PCA at both the greening and wilting stages divided the density into two groups, with D1 and D2 clustered into one group and D3 and D4 clustered into another group, and principal components 1 and 2 of these two periods explained a total of 59.3% and 45.2% of the data variance, respectively. The growth period PCA clustered the density gradients into two groups, one including D2 and one including D1, D2, and D3, and the two principal components explained a total of 49.5% of the data variance. The PCA showed a clear separation between each period and density gradient.
Figure 4.
Principal component analysis of different growth stages and different density treatments.
To determine the relative importance between the plant growth stage and the density treatment, a further multivariate replacement analysis was performed (Table 2). The results showed that the plant growth stage had a significantly greater effect on A. tanguticus itself than the density treatment (treatment: F = 5.06, R2 = 0.06, p = 0.001; period: F = 47.59, R2 = 0.55, p = 0.001). The growth stage and density treatment together explained 71% of the data variance (treatment: period, F = 2.71, R2 = 0.09, p = 0.001).
Table 2.
Multivariate permutation analysis results.
Relevant indicators were selected for the comprehensive evaluation of A. tanguticus in each period: plant height, root length, root diameter, and each alkaloid content in the above; and underground parts, fresh weight, dry weight, yield, and content per unit area. After assigning weights to all indicators, the most weight was given to plant height, followed by aboveground part atropine. The final TOPSIS results are shown in Figure 5. The first ranked parameter was the growing period of D2 with a score of 0.5594, followed by the greening period of D2, and it can be concluded that all the second wilting periods in all the density gradients had higher scores than the first wilting periods.
Figure 5.
The TOPSIS result.
3. Discussion
3.1. Seasonal Variation in the Tropane Alkaloids of A. tanguticus
Multiple replacement allows for the analysis of the degree of explanation of sample differences by different grouping factors and significance statistics using replacement tests. The multivariate replacement analysis in this study showed that the growth stage and density treatments together explained 71% of the variation and that the growth stage of A. tanguticus had a much greater effect on its yield and content than the density treatment.
The overall decreasing trend in the content of the four alkaloids with the growing season in this study is consistent with results showing that the TA content in field-grown Rhododendron plants in Australia and Japan decreases in autumn and winter [12,13]. The production and accumulation of TAs are strictly regulated in the plants due to the involvement of multiple enzymes in the metabolic pathways of their synthesis and their precise responses. Among these enzymes, the key enzyme PMT is the precursor substance that catalyzes the production of atropine and indirectly affects the content of atropine; the key enzyme H6H has both hydroxylase and cyclooxygenase activities, and its expression directly affects the content of scopolamine and anisodamine [6,14,15,16]. The optimum reaction temperatures of PMT and H6H determined in a histoculture study were 35 °C and 30 °C, respectively [14,15,17]. However, there have been no studies on the effects of individual climatic factors (temperature, light intensity) on the synthesis of TAs under natural cultivation conditions.
The scopolamine, anisodamine, and anisodine content in this study was higher in the aboveground parts than in the underground parts at the greening stage, while the atropine content was higher in the underground parts than in the aboveground parts, which was closely related to the conversion of alkaloids in the synthesis pathway of depleted alkane alkaloids where atropine as a precursor reactant became less abundant after the catalytic reaction, and then the alkaloids produced were transported to the aboveground parts and stored [18,19,20,21,22,23]. At the same time, enzymes and genes related to the tropane alkaloid synthesis pathway are specifically and highly expressed in the roots, and transporter proteins in the rhizomes are also capable of transporting TAs [6,19,22,24,25]. It has also been shown that the alkaloid pattern in leaves is determined by the rootstock rather than the leaves, and that the accumulation of TAs is a local response in the roots and a systemic response in the leaves [25]. During the wilting period, the leaves, as the main storage organs of alkaloids, started to wither and shed significantly; thus, the aboveground content of alkaloids was extremely low, whereas underground alkaloids might start to store themselves and might continue to interconvert when the temperature is suitable and when the plants go dormant in winter. Therefore, the underground parts are the main sites of tropane alkaloid biosynthesis, while the aboveground young tissues are the main storage and accumulation organs, and there is a transit process after tropane alkaloid synthesis. The accumulation of alkaloids in high concentrations in the aboveground parts has physiological and ecological significance and plays an important role in preventing herbivores and insects from eating the aboveground parts [26,27], as well as guiding the harvesting of A. tanguticus. Traditional medicinal parts and studies of scopolamine have focused on its roots [28,29,30,31], thus neglecting the aboveground parts as medicinal materials and reducing the efficiency of their utilization.
3.2. Effects of Density on the Growth Traits, Yield, and Quality of A. tanguticus
The key objective of cultivated A. tanguticus production is to optimize yield and alkaloid content simultaneously [9]. Planting density affects plant growth and quality by altering the resources available to individual plants [32]. In this study, we found that plant height, root length, and root diameter were significantly lower at high densities (30 × 50 cm and 40 × 50 cm) than at low densities (Table 1) and that individual plant dry weight tended to decrease with increasing density (Figure 1). Plant morphological parameters, such as plant height and root system, were significantly affected by planting density [33,34]. Smaller root morphology also reduces biomass, thereby limiting a plant’s ability to access limited resources, while higher planting densities may slow down a plant’s growth and make it dwarf due to increased competition among plants [35,36]. Relatively high planting densities have also led to senescence of the lower leaves and increased competition among plants for light, water, and nutrients, along with reduced light transmission to the lower leaves of the plants, resulting in reduced biomass accumulation [37,38]. Although low planting density gradients have a high yield per plant, the overall yield may not be high. In this study, yield tended to decrease with density because the number of plants at high densities compensated for the yield of individual plants.
Alkaloids are the main secondary metabolites of A. tanguticus and have a variety of physiological and pharmacological effects [39]. In this study, cultivation density had a significant effect on the content of anisodamine (Figure 2B) and anisodine (Figure 2D), i.e., medium density (40 cm × 50 cm) had significantly higher levels than other cultivation densities in terms of alkaloid content. Therefore, cultivation density affected the synthesis of anisodamine and anisodine to some extent [40,41]. Cultivation density further affected the secondary metabolites of medicinal plants by influencing the primary metabolism of plants, and it has been shown that high density not only inhibits glycolysis, the tricarboxylic acid cycle, and sugar and starch metabolic processes in the young leaves of Ginkgo biloba, but also inhibits the flavonoid biosynthesis pathway [42]; the increase in glucose-1-phosphate levels under medium density conditions promoted ginsenoside synthesis in ginseng [9]. However, the molecular mechanisms by which the major alkaloids in A. tanguticus respond to density remain to be further investigated.
Appropriate density not only improves the yield of herbs but also improves the content of secondary metabolites to some extent. Medium density (40 cm × 50 cm) was most favourable for the accumulation effect of dry biomass and alkaloids of A. tanguticus. The results of this study provide a way to optimize the growth and quality of herbs by changing the planting density.
TOPSIS is commonly used for the comprehensive quality evaluation of medicinal plant resources, and we used measurements of the alkaloid content, growth, and yield of A. tanguticus in each period for comprehensive evaluation using the TOPSIS method and concluded that the growth stage and medium density (40 cm × 50 cm) produced the best results for harvesting. This result is consistent with our previous PCA results based on the measured indicators, and it can be concluded that the second wilting period scored higher across all gradients than the first wilting period, which is consistent with our results for yield and alkaloid accumulation per unit area, generally because the second year of biomass accumulation in scabious is much higher than the first year. The final results of the current study are expected to be more objective.
4. Materials and Methods
4.1. Overview of the Test Area
The test sample site (Figure 6) was located in Lailongkou town, Huanzhong County, Qinghai Province (101.48° E, 36.76° N), with an average altitude of 2480 m, an average annual temperature of 0~5 °C, an average annual precipitation of 360~650 mm, and precipitation concentrated from July to September.
Figure 6.
Location map of the test site.
4.2. Test Materials
The experimental material was A. tanguticus, and seedlings were raised in 2019 in Ledu District, Haidong City, Qinghai Province (Haidong Experimental Station, Chinese Academy of Sciences). Healthy seedlings with consistent morphological appearance were harvested and transplanted in late April 2020. Using the method of furrow sowing, the weed root system grew fast in the early stage, and manual weeding was conducted every other month. These samples were identified by Prof. Guoying Zhou of the Northwest Plateau Institute of Biology, Chinese Academy of Sciences, as Scoparia A. tanguticus, and the voucher specimens and their materials were kept in the Museum of Tibetan Plateau Biology, Chinese Academy of Sciences (HNWP–00018164).
4.3. Experiment Design
The experimental design of density cultivation of A. tanguticus was as follows: The row spacing was 50 cm, and the plant spacing was 30, 40, 50, or 60 cm. Using a randomized block test design, each treatment was repeated three times; five plants were harvested in each plot, each sample plot was 6.5 m × 10.5 m, and the area was 68.25 m2. Samples were harvested once in October 2020 (first wilting stage) and in June (greening stage), August (growing stage), and October (second wilting stage) 2021, with the four batches of harvested samples denoted F-Wilting, Green, Growth, and S-Wilting, respectively. The aboveground and underground parts of the samples were weighed separately for fresh weight and growth index, dried and weighed for dry weight, crushed, sieved, and stored in sealed bags for subsequent alkaloid analysis.
4.4. Alkaloid Extraction
A total of 2.00 g of A. tanguticus powder (aboveground and underground parts were measured separately) was weighed into a 150 mL flask, 4 mL of ammonia was added and mixed well, and the mixture was left to stand for 10 min. Then, 100 mL of chloroform was added, and the total weight was precisely measured. The solution was extracted by ultrasonication for 30 min, cooled to room temperature, and weighed, and the weight lost by trichloromethane was made up and filtered through skimmed cotton. A total of 100 mL of filtrate was collected and evaporated to dryness with a rotary evaporator, and the solid residue was dissolved in 5 mL of methanol and filtered through a 0.45 μm microfiltration membrane for high-performance liquid chromatography (HPLC) analysis. The chemical reagent methanol was of HPLC grade, and the chemicals were analytically pure. Scopolamine, anisodine, anisodamine, and atropine sulfate standards were weighed in appropriate amounts, dissolved in mobile phase, and diluted to make a solution containing approximately 0.4 mg/mL of each control.
4.5. Determination of Alkaloids
HPLC analysis was performed on an Agilent 1260 system (Agilent, Santa Clara, CA, USA) equipped with a G7111A four-stage pump, G7114A and DAD detectors, G7129A autosampler, and Agilent HPLC software. An Agilent 5HC-C18 column (250.0 mm × 4.6 mm) was used to analyze the TAs. The mobile phase was acetonitrile-30 mmol/L potassium dihydrogen phosphate (containing 0.08% triethylamine, pH adjusted to 6.0 with phosphoric acid) (13:87) with UV detection at 210 nm and the column at 35 °C. The injection volume was 10 μL, the flow rate was 0.2 mL/min, and the measurement time was 25 min. The chromatographic peak 1 was anisodine, 2 was anisodamine, 3 was scopolamine, and 4 was atropine (Figure 7).
Figure 7.
High-performance liquid chromatography of A. tanguticus (1 was anisodine; 2 was anisodamine; 3 was scopolamine; 4 was atropine).
4.6. Data Processing
SPSS 22.0 was used for ANOVA of growth and development indicators, and the least significant difference (LSD) method was used for multiple comparisons. The results are expressed as the mean ± standard error (mean ± SE) with a significance level of p = 0.05 and a highly significant level of p = 0.01. Plots were generated with Origin Pro 2022. A multivariate substitution analysis of the effects of growth stage and density treatments on the biomass and alkaloid content of A. tanguticus was conducted using the PERMANOVA model with the Adonis function (R-packed pure elements). Location maps were created using ArcGIS 10.5.
5. Conclusions
In this study, we investigated the feasibility of the cultivation of A. tanguticus in the Qinghai–Tibetan Plateau region and determined the optimal planting density and harvesting periods through the effects of different harvesting periods and transplanting densities on the growth index, yield, and content of four alkaloids in A. tanguticus. The results showed that the content of all four alkaloids was highest at the greening stage, and the aboveground content of scopolamine, anisodamine, and anisodine was higher than the underground content at this stage. Therefore, the medicinal value of the aboveground parts of A. tanguticus should be considered in addition to its underground parts when harvesting A. tanguticus. The total accumulation of all four alkaloids in the whole plant and per unit area of the whole plant reached its maximum during the growth period of D2 (plant spacing of 40 cm); therefore, for economic efficiency and the selection of the best overall quality, it was concluded that the growth period was the best time for harvesting and that D2 (plant spacing of 40 cm) was the best planting density for A. tanguticus.
Supplementary Materials
The following supporting information can be downloaded at: https://www.mdpi.com/article/10.3390/agriculture12111881/s1, Table S1: Alkaloid content under different density gradients.
Author Contributions
Conceptualization, N.L.; methodology, N.L. and C.C.; software, N.L. and B.W.; validation, N.L.; formal analysis, N.L. and C.C.; investigation, N.L. and C.C.; resources, N.L. and K.C.; data curation, N.L. and B.W.; writing—original draft preparation, N.L.; writing—review and editing, N.L., C.C. and B.W.; visualization, N.L.; supervision, N.L. and C.C.; project administration, G.Z. and D.Z.; funding acquisition, G.Z., D.Z. and S.F. All authors have read and agreed to the published version of the manuscript.
Funding
This research was funded by the National Key Research and Development Program: Whole Process Monitoring Technology and Demonstration of Qilian Mountain Nature Reserve [grant number 2019YFC0507404], the China Academy of Sciences–Qinghai National Park Joint Project: Research and Development of Livelihood Improvement Model and Technology Integration of Sanjiangyuan National Park [grant number LHZX-2020-09], the Qinghai Province “Top Innovative Talents Thousand Plan” Training Team, and the CAS “Light of West China” Program for Key Projects; Kunlun Talents”.
Institutional Review Board Statement
Not applicable.
Informed Consent Statement
Not applicable.
Data Availability Statement
The data presented in this study supporting the results are available in the main text. Additional data are available upon reasonable request from the corresponding author.
Acknowledgments
We are grateful to Yumei Zhang and Shoulan Bao for collecting the materials.
Conflicts of Interest
The authors declare no conflict of interest.
References
- Wan, D.S.; Feng, J.J.; Jiang, D.C.; Mao, K.S.; Duan, Y.W.; Miehe, G.; Opgenoorth, L. The Quaternary evolutionary history, potential distribution dynamics, and conservation implications for a Qinghai-Tibet Plateau endemic herbaceous perennial, Anisodus tanguticus (Solanaceae). Ecol. Evol. 2016, 6, 1977–1995. [Google Scholar] [CrossRef] [PubMed]
- Ma, L.; Gu, R.; Tang, L.; Chen, Z.E.; Di, R.; Long, C. Important poisonous plants in tibetan ethnomedicine. Toxins 2015, 7, 138–155. [Google Scholar] [CrossRef] [PubMed]
- Poupko, J.M.; Baskin, S.I.; Moore, E. The pharmacological properties of anisodamine. J. Appl. Toxicol. 2007, 27, 116–121. [Google Scholar] [CrossRef] [PubMed]
- Caruso, L.; Wunderle, T.; Lewis, C.M.; Valadeiro, J.; Pannetier-Lecoeur, M. InVivo Magnetic Recording of Neuronal Activity. Neuron 2017, 95, 1–9. [Google Scholar] [CrossRef]
- Ghosal, S.; Bang, E.; Yue, W.; Hare, B.D.; Lepack, A.E.; Girgenti, M.J.; Duman, R.S. Activity-Dependent BDNF Release is Required for the Rapid Antidepressant Actions of Scopolamine. Biol. Psychiatry 2018, 83, 29–37. [Google Scholar] [CrossRef]
- Kohnen-Johannsen, K.; Kayser, O. Tropane Alkaloids: Chemistry, Pharmacology, Biosynthesis and Production. Molecules 2019, 24, 796. [Google Scholar] [CrossRef]
- Sophie, F.U.; Hagels, H.; Kayser, O. Scopolamine: A journey from the field to clinics. Phytochem. Rev. 2017, 16, 333–353. [Google Scholar]
- Eisenkraft, A.; Fa Lk, A. Possible role for anisodamine in organophosphate poisoning. Br. J. Pharmacol. 2016, 173, 1719. [Google Scholar] [CrossRef]
- Liu, H.; Gu, H.; Ye, C.; Guo, C.; Zhu, Y.; Huang, H.; Liu, Y.; He, X.; Yang, M.; Zhu, S. Planting Density Affects Panax notoginseng Growth and Ginsenoside Accumulation by Balancing Primary and Secondary Metabolism. Front. Plant Sci. 2021, 12, 628294. [Google Scholar] [CrossRef]
- Rutkowska, M.; Balcerczak, E.; Wiechowski, R.; Dubicka, M.; Olszewska, M.A. Seasonal variation in phenylpropanoid biosynthesis and in vitro antioxidant activity of Sorbus domestica leaves: Harvesting time optimisation for medicinal application. Ind. Crops Prod. 2020, 156, 112858. [Google Scholar] [CrossRef]
- Finnie, J.F.; Van Staden, J. Quality from the field: The impact of environmental factors as quality determinants in medicinal plants. S. Afr. J. Bot. 2012, 82, 11–20. [Google Scholar] [CrossRef]
- Ikenaga, T. Seasonal Variations of Tropane Alkaloids Content in Duboisia. Jap. J. Trop. Agric. 1985, 29, 229–230. [Google Scholar] [CrossRef]
- Luanratana, O.; Griffin, W.J. Cultivation of a Duboisia Hybrid. Part B. Alkaloid Variation in a Commercial Plantation: Effects of Seasonal Change, Soil Fertility, and Cytokinins. J. Nat. Prod. 1980, 43, 552–558. [Google Scholar] [CrossRef]
- Tao, L.; Zhu, P.; Cheng, K.D.; Chao, M.; He, H.X. Molecular cloning, expression and characterization of hyoscyamine 6beta-hydroxylase from hairy roots of Anisodus tanguticus. Planta Med. 2005, 71, 249–253. [Google Scholar] [CrossRef]
- Liu, T.; Zhu, P.; Cheng, K.D.; Meng, C.; Zhu, H.X. Molecular cloning and expression of putrescine N-methyltransferase from the hairy roots of Anisodus tanguticus. Planta Med. 2005, 71, 987–989. [Google Scholar] [CrossRef]
- Srinivasan, P.; Smolke, C.D. Engineering a microbial biosynthesis platform for de novo production of tropane alkaloids. Nat. Commun. 2019, 10, 3634. [Google Scholar] [CrossRef]
- Ullrich, S.F.; Rothauer, A.; Hagels, H.; Kayser, O. Influence of Light, Temperature, and Macronutrients on Growth and Scopolamine Biosynthesis in Duboisia species. Planta Med. 2017, 83, 937–945. [Google Scholar] [CrossRef]
- Bedewitz, M.A.; Jones, A.D.; D’Auria, J.C.; Barry, C.S. Tropinone synthesis via an atypical polyketide synthase and P450-mediated cyclization. Nat. Commun. 2018, 9, 5281. [Google Scholar] [CrossRef]
- Bedewitz, M.A.; Gongora-Castillo, E.; Uebler, J.B.; Gonzales-Vigil, E.; Wiegert-Rininger, K.E.; Childs, K.L.; Hamilton, J.P.; Vaillancourt, B.; Yeo, Y.S.; Chappell, J.; et al. A root-expressed L-phenylalanine:4-hydroxyphenylpyruvate aminotransferase is required for tropane alkaloid biosynthesis in Atropa belladonna. Plant Cell 2014, 26, 3745–3762. [Google Scholar] [CrossRef]
- Fengjie, T.; Cuiyun, L.; Xin, W.; Shuangxia, R.; Ning, L. Comparative study on pharmacokinetics of a series of anticholinergics, atropine, anisodamine, anisodine, scopolamine and tiotropium in rats. Eur. J. Drug Metab. Pharmacokinet. 2015, 40, 245–253. [Google Scholar]
- Hashimoto, T.; Matsuda, J.; Yamada, Y. Two-step epoxidation of hyoscyamine to scopolamine is catalyzed by bifunctional hyoscyamine 6 beta-hydroxylase. FEBS Lett. 1993, 329, 35–39. [Google Scholar] [CrossRef]
- Pramod, K.K.; Singh, S.; Jayabaskaran, C. Biochemical and structural characterization of recombinant hyoscyamine 6β-hydroxylase from Datura metel L. Plant Physiol. Biochem. 2010, 48, 966–970. [Google Scholar] [CrossRef]
- Hashimoto, T.; Yamada, Y. Purification and characterization of hyoscyamine 6β-hydroxylase from root cultures of Hyoscyamus niger L. Eur. J. Biochem. 1987, 164, 277–285. [Google Scholar] [CrossRef] [PubMed]
- Hashimoto, T.; Hayashi, A.; Amano, Y.; Kohno, J.; Yamada, Y. Hyoscyamine 6β-hydroxylase, an enzyme involved in tropane alkaloid biosynthesis, is localized at the pericycle of the root. J. Biol. Chem. 1991, 266, S0021–S9258. [Google Scholar] [CrossRef]
- Gamir, J.; Minchev, Z.; Berrio, E.; Garcia, J.M.; Pozo, M. Roots drive oligogalacturonide-induced systemic immunity in tomato. Plant Cell Environ. 2020, 44, 275–289. [Google Scholar] [CrossRef] [PubMed]
- Koch, K.G.; Palmer, N.A.; Donze-Reiner, T.; Scully, E.D.; Seravalli, J.; Amundsen, K.; Twigg, P.; Louis, J.; Bradshaw, J.D.; Heng-Moss, T.M.; et al. Aphid-Responsive Defense Networks in Hybrid Switchgrass. Front. Plant Sci. 2020, 11, 1145. [Google Scholar] [CrossRef]
- Vries, J.B.; Evers, J.B.; Dicke, M.; Poelman, E.H. Ecological interactions shape the adaptive value of plant defence: Herbivore attack versus competition for light. Funct. Ecol. 2019, 33, 129–138. [Google Scholar] [CrossRef]
- Zhao, H.-Y.; Liu, J.; Zhu, H.; Liu, F.; Liu, Z.-H.; Peng, C.; Xiong, L. New amides from the roots of Anisodus tanguticus. Biochem. Syst. Ecol. 2020, 91, 104082. [Google Scholar] [CrossRef]
- Grynkiewicz, G.; Gadzikowska, M. Tropane alkaloids as medicinally useful natural products and their synthetic derivatives as new drugs. Pharm. Rep. 2008, 60, 439–463. [Google Scholar] [CrossRef]
- Li, L.; Jing, W.; Wei, W.; Yang, L.; Wang, Y.; Zhou, G.; Kai, G. Optimization of induction and culture conditions and tropane alkaloid production in hairy roots of Anisodus acutangulus. Biotechnol. Bioprocess Eng. 2008, 13, 606–612. [Google Scholar] [CrossRef]
- Cardillo, A.; Alvarez, Á.M.O.; Lopez, A.C.; Lozano, M.; Talou, J.R.; Giulietti, A.M. Anisodamine Production from Natural Sources: Seedlings and Hairy Root Cultures of Argentinean and Colombian Brugmansia candida Plants. Planta Med. 2009, 76, 402–405. [Google Scholar] [CrossRef] [PubMed]
- Zu, S.H.; Jiang, Y.T.; Hu, L.Q.; Zhang, Y.J.; Lin, W.H. Effective Modulating Brassinosteroids Signal to Study Their Specific Regulation of Reproductive Development and Enhance Yield. Front. Plant Sci. 2019, 10, 980. [Google Scholar] [CrossRef] [PubMed]
- Khan, S.; Anwar, S.; Kuai, J.; Noman, A.; Shahid, M.; Din, M.; Ali, A.; Zhou, G. Alteration in yield and oil quality traits of winter rapeseed by lodging at different planting density and nitrogen rates. Sci. Rep. 2018, 8, 634. [Google Scholar] [CrossRef] [PubMed]
- Luo, J.; He, M.; Qi, S.; Wu, J.; Gu, X.S. Effect of planting density and harvest protocol on field-scale phytoremediation efficiency by Eucalyptus globulus. Env. Sci. Poll. Res. 2018, 25, 11343–11350. [Google Scholar] [CrossRef] [PubMed]
- Amanullah; Khattak, R.A.; Khalil, S.K. Plant Density and Nitrogen Effects on Maize Phenology and Grain Yield. J. Plant Nutr. 2009, 32, 246–260. [Google Scholar] [CrossRef]
- Zhang, H.Y.; Zhang, C.R.; Sun, P.; Jiang, X.W.; Xu, G.H.; Yang, J.Z. Optimizing planting density and nitrogen application to enhance profit and nitrogen use of summer maize in Huanghuaihai region of China. Sci. Rep. 2022, 12, 2704. [Google Scholar] [CrossRef]
- Li, R.; Liu, P.; Dong, S.; Zhang, J.; Zhao, B. Increased Maize Plant Population Induced Leaf Senescence, Suppressed Root Growth, Nitrogen Uptake, and Grain Yield. Agron. J. 2019, 111, 1581–1591. [Google Scholar] [CrossRef]
- Fernando, H.; Andrade, P.C. Alfredo Cirilo, Pablo Barbieri, Yield Responses to Narrow Rows Depend on Increased Radiation Interception. Agron. J. 2002, 94, 975–980. [Google Scholar] [CrossRef]
- Chen, C.; Wang, B.; Li, J.; Xiong, F.; Zhou, G. Multivariate Statistical Analysis of Metabolites in Anisodus tanguticus (Maxim.) Pascher to Determine Geographical Origins and Network Pharmacology. Front. Plant Sci. 2022, 13, 927336. [Google Scholar] [CrossRef]
- Liu, S.; Fred, B.; Bruno, A.; Philippe, B.; Matthieu, H. Estimation of Wheat Plant Density at Early Stages Using High Resolution Imagery. Front. Plant. Sci. 2017, 8, 739. [Google Scholar] [CrossRef]
- Di, G.; Song, X.; Min, Y.; Wang, Z.; Ge, W.; Wang, L.; Wang, J.; Wang, X. RNA-Seq Profiling Shows Divergent Gene Expression Patterns in Arabidopsis Grown under Different Densities. Front. Plant. Sci. 2017, 8, 2001. [Google Scholar] [CrossRef]
- Lu, J.; Xu, Y.; Meng, Z.; Cao, M.; Liu, S.; Kato-Noguchi, H.; Yu, W.; Jin, B.; Wang, L. Integration of morphological, physiological and multi-omics analysis reveals the optimal planting density improving leaf yield and active compound accumulation in Ginkgo biloba. Ind. Crops Prod. 2021, 172, 114055. [Google Scholar] [CrossRef]
Publisher’s Note: MDPI stays neutral with regard to jurisdictional claims in published maps and institutional affiliations. |
© 2022 by the authors. Licensee MDPI, Basel, Switzerland. This article is an open access article distributed under the terms and conditions of the Creative Commons Attribution (CC BY) license (https://creativecommons.org/licenses/by/4.0/).






