Next Article in Journal
Active-Modified Atmosphere Packaging of Ready-to-Eat Pomegranate (Punica granatum L.) Arils at Ambient Temperature for Extending Shelf-Life
Next Article in Special Issue
The Joint Application of Phosphorus and Ammonium Enhances Soybean Root Growth and P Uptake
Previous Article in Journal
A Feeding Quantity Monitoring System for a Combine Harvester: Design and Experiment
 
 
Font Type:
Arial Georgia Verdana
Font Size:
Aa Aa Aa
Line Spacing:
Column Width:
Background:
Article

Content and Balance of Trace Elements (Co, Mn, Zn) in Agroecosystems of the Central Chernozemic Region of Russia

by
Sergei Victorovich Lukin
1,* and
Denis Valerievich Zhuikov
2
1
Institute of Geosciences, Belgorod State National Research University, 85 Pobedy Street, 308015 Belgorod, Russia
2
Belgorod Center for Agrochemical Service, ul. Shchorsa 8, 308027 Belgorod, Russia
*
Author to whom correspondence should be addressed.
Agriculture 2022, 12(2), 154; https://doi.org/10.3390/agriculture12020154
Submission received: 15 December 2021 / Revised: 17 January 2022 / Accepted: 19 January 2022 / Published: 22 January 2022
(This article belongs to the Special Issue Crop Fertilization and Soil Nutrient Cycling in Farming System)

Abstract

:
This work is devoted to the study of the provision of arable soils with mobile forms of the most important trace elements (cobalt, manganese, and zinc). In modern Russian agriculture, the low provision of soils with trace elements is one of the reasons leading to lower yields and the deteriorating quality of most crops. The materials of the regional and local agroecological monitoring of soils in Belgorod region, which is part of the Central Black Earth region of Russia, were used in this work. The results of the local agroecological monitoring showed that the average gross contents of manganese, zinc, and cobalt in arable chernozems in the typical forest-steppe zone were respectively 345, 36.5, and 8.48 mg/kg, and in chernozems common in the steppe zone the contents were 397, 42.9, and 9.51 mg/kg. In the distribution of the gross contents of the studied trace elements in the profile of arable chernozems, a tendency of a gradual decrease in their concentrations with increasing depth was revealed. According to the results of the regional agroecological monitoring of arable soils in the Belgorod region for 2015–2018, it was found that the proportion of soils with a low content of mobile compounds of zinc (<2 mg/kg) was 90.3%; for cobalt (<0.2 mg/kg) and manganese (<10 mg/kg), the proportions were 99.3% and 38.6%, respectively. In these soils, it is advisable to introduce microfertilizers containing trace elements that are in deficit. The main sources of the manganese, zinc, and cobalt input to agroecosystems are organic fertilizers, which account for 79.3%, 86.3%, and 66.6% of the total amounts, respectively. Losses of manganese and cobalt from agroecosystems mainly occur as a result of the washing away of arable soils—82.8% and 96.8% of total losses, respectively—and 60.5% of zinc losses are due to alienation by the marketable part of the crop. A positive balance had been a feature of zinc, with an intensity of 106%, while manganese and cobalt had a negative balance, with intensities of 61.3% and 25.3%, respectively.

1. Introduction

Modern farming considers the deficit in mobile compounds of the most important trace elements in arable soils in many Russian regions as one of the reasons that lead to a decrease in the crop yield and deterioration of the quality of most crops [1,2,3,4,5]. Despite the fact that the physiological roles of trace elements in plant life and their contents in the components of agroecosystems are covered in numerous foreign and domestic works, these issues are given and will be given great attention, since the degree of provision of crops with available forms of elements varies greatly depending on the soil and climatic characteristics of the region and the parameters of their balance in agriculture [6,7,8].
Trace elements perform a broad spectrum of biochemical functions in plants, most of them being related to activating various enzymes. Manganese activates enzymes involved in phosphorylation and RNA synthesis. Its deficiency in plants disrupts the synthesis of organic substances and reduces chlorophyll, which promotes chlorosis. Zinc activates more than 300 enzymes that affect the metabolism of carbohydrates, phosphates, proteins, and the formation of growth hormones and DNA. If this element is deficient, asymmetrical leaves are formed, plants remain small, and interveinal chlorosis is observed. A substantial zinc deficiency delays the formation of chlorophyll and saccharose. Cobalt increases the intensity of respiration and photosynthesis, contributing to the formation of chlorophyll, proteins, and carbohydrates. This metal has a positive effect on the nitrogen-fixing ability of legume plants. Cobalt increases the total water content of the plant, which improves the crop’s tolerance to drought. The deficiency of this element causes a slowdown in growth, thereby decreasing the cycle of development of crops. Cobalt deficiency in feed leads to the development of an endemic disease of cattle, “acobaltosis” [9,10,11,12,13].
Since the atomic mass of the studied trace elements exceeds 40 amu, they are often referred to as “heavy metals” in Russian scientific literature. With high levels in the soil, these elements can become toxic for plants and accumulate in products in concentrations that are dangerous to warm-blooded animals. According to Russian legislation, zinc belongs to the first toxicity class, cobalt to the second, and manganese to the third [14,15].
For standardizing the total zinc content, the most commonly used approximate permissible concentration (APC) is 220 mg/kg for loamy and clayey soils with pH > 5.5. For all soils, regardless of their texture and acidity, the maximum allowable concentration (MAC) of total manganese is set at 1500 mg/kg. The total content of cobalt in soils is not regulated. Russian standards set MAC’s for mobile compounds of manganese, zinc, and cobalt extracted by ammonium acetate buffer with pH 4.8, which are 140, 23, and 5 mg/kg, respectively [16].
Current legislation sets maximum allowable levels (MAL) of zinc (50 mg/kg) and cobalt (1 mg/kg) in the forage for cattle (grain, roughage, and succulent feed). The content of manganese is not standardized in plant products used as forage [17].
According to the agroecological monitoring program, the agrochemical service of Russia provides for a periodic comprehensive examination of soils for the contents of mobile forms of major trace elements. Based on the analysis of this information, science-based recommendations for the use of microfertilizers in modern agricultural technologies are developed [1,18].
The present research was aimed at the investigation of the regularities of trace elements (Mn, Zn, and Co) in soils, their accumulation in plants, and balance formation in the southwestern part of the Central Black Earth Region (CCR) of Russia.

2. Materials and Methods

2.1. Soil and Climatic Conditions in the Study Area

The materials of the regional and local agroecological monitoring carried out in the framework of the state order by the federal state budget institution Belgorod Center for Agrochemical Service, subordinated to the Ministry of Agriculture and Food of the Russian Federation, were used in this work.
Studies were conducted in the forest-steppe and steppe zones of the Belgorod region, which is located in the southwestern part of the Central Black Earth Region of Russia (Figure 1). The long-time average annual of the Selyaninov Hydrothermal Coefficient, which is calculated as the ratio of the amount of precipitation (mm) for the period with average daily air temperatures above 10 °C to the sum of temperatures for the same time, varies from 0.9 in the south-east (steppe zone) region to 1.2 in the west (forest-steppe zone) region. Typical (Haplic Chernozems) and leached chernozems (Luvic Chernozems) prevail in the forest-steppe zone’s soil cover; ordinary chernozems (Haplic Chernozems) prevail in the steppe zone. The share of eroded tillage is equal to 47.9% in this area. The average value of washout from eroded soils is estimated at 4 t/ha per year [19,20].
In 2015–2018, the total area under crop in the region amounted to 1428.5 thousand ha on average. Winter wheat (25.3% of total sown area), soybean (14.6%), spring barley (12.1%), corn (10.2%), sunflower (9.8%), and perennial grasses (6.7%) prevail in the structure of the sown area.

2.2. Peculiarities of Regional Agroecological Monitoring

The main form of the implementation of regional agroecological monitoring is the periodically repeated continuous agrochemical survey of plow soils. In Belgorod Oblast, the duration of the agrochemical survey cycle (the period of time during which all the plow soils of the region are surveyed) was five years before 2014 and four years from 2015. Soil samples are taken from the arable layer (0–25 cm) according to a predetermined grid of elementary plots. One united soil sample consisting of 20–40 point samples is taken from each elementary plot of 20 ha. In 2015–2018, the tenth cycle of the survey was conducted. About 70,000 soil samples are taken and analyzed during each survey cycle. The results of the analyses are entered into the federal database and the average weighted value of the indicator is calculated for each land user, municipal district, and constituent entity of the Russian Federation, as well as the distribution of soils by supply level groups. All arable soils are divided into three groups according to the content of mobile compounds of each trace element: “low”, “medium”, and “high” supply.

2.3. Peculiarities of Local Agroecological Monitoring

To carry out this type of monitoring, 20 reference objects (field plots of 4–40 hectares) were laid on the arable soils of the region. In addition, in 2016–2017, 22 soil profiles of typical heavy-loam chernozem were laid on the territory of the forest-steppe zone (Prokhorovskii District), and 22 sections of common light-loam chernozem were laid on the steppe zone (Rovenskii District)—Table 1.
The average content of physical clay in the arable horizons (0–25 cm) was 56.8% in typical chernozem and 72.5% in ordinary chernozem. The studied soils are medium-power light humus soils and medium-humus soils. The average data on the content of organic carbon (Corg) according to Tyurin’s method and pHH2O values in the samples taken according to conventional methods from soil horizons are presented in Table 2.
In 2008–2018, crop samples from the control plots were collected and nanalyzed: 25 plant samples of corn, barley, and sunflower; 22 plant samples of winter wheat, soybean, pea, clover, sainfoin, and alfalfa; 20 plant samples of white lupine.
The statistical processing of the results of local monitoring, conducted using Microsoft Excel, included the calculation of the confidence intervals for average values ( x ¯ ± t05s x ¯ ), minimum and maximum values of element concentrations (lim), and the variation coefficients (V, %). In addition, the linear correlation coefficient (r) was calculated.
As a method of graphical representation of the sampling distribution of trace elements in the depth of the soil profile, the so-called box-plot image was used. It includes four indicators: arithmetic mean, median, quartile range (box), and range of variation (whiskers).

2.4. Peculiarities of Background Environmental Monitoring

The properties of the virgin typical chernozem were studied at the Belogorye Nature Reserve at the Yamskaya Steppe site (37.62534° E; 51.19052° N), located in the forest-steppe zone on the territory of the Gubkin district (Table 3). Vegetation was represented by meadow grasses dominated by couch grass, stipa grass, fescue, prairie junegrass, timothy-grass, bluegrass, alfalfa, clover, and sainfoin.
Peculiarities of the virgin ordinary chernozem were studied in the Rovenskii Natural Park (38.87296° E; 49.90984° N), located in the steppe zone in the Rovenskii district. The vegetation cover was represented by steppe grasses dominated by feather grass, sheep fescue, hedgehog, meadow bluegrass, and awnless bromegrass. During the first decade of June 2020 at both sites, 22 samples of each plant species were sampled.

2.5. Methodology of Analytical Studies

All analytical studies were conducted in an accredited testing laboratory. The total contents of elements (the extracting agent 5M HNO3) and the concentrations of their mobile compounds in soil, extractable with ammonium acetate buffer (AAB) solution with pH 4.8 (for its preparation, 108 cm3 of acetic acid with a mass fraction of 98% and 75 cm3 of ammonia with a mass fraction of 25% was dissolved in 1000 cm3 of water), was determined by atomic emission spectroscopy. The total contents of elements in organic fertilizers and crop products were determined by the methods generally accepted in the agrochemical service [21,22,23,24].

2.6. Processing of Experimental Data

To assess the intensity of the biophilic accumulation of elements in soils, the biological absorption coefficient (BAC) was used, which is found by dividing the amount of elements in the plant ash by the total content of the element in the arable soil layer [6]. When calculating the BAC, the contents in the ash of the absolutely dry matter of grain and straw of winter wheat were 2.2% and 6.9%, respectively; for barley they were 3.0% and 6.75%; for maize they were 1.5% and 7.3%; for white lupine they were 4.2% and 6.2%; for soybean they were 5.2% and 5.6%; for pea they were 3.1% and 8.0%; for sunflower seeds and stems they were 2.5% and 5.1%; for alfalfa hay the content in the ash was 8.8%; for clover it was 8.5%; for Hungarian sainfoin it was 5.6%; for the steppe mixed grasses of the Yamskaya steppe site of the Belogorye Nature Reserve it was 7.7%; and for the steppe mixed grasses of the Rovenskii Natural Park it was 7.0%.
When calculating the economic balance, the inflow of trace elements from mineral and organic fertilizers, ameliorants, seeds, as well as their alienation by commercial crop production and surface washout of the soil were taken into account. The intensity of the balance (Ib) was calculated—a value representing the ratio of the increment (I) in a trace element to its expenditure (E), expressed as a percentage (Ib = I E ·100%).
The balance calculations (Ib = I E ·100%).were based on the official data of the territorial body of the Federal State Statistics Service for the Belgorod region on the gross harvest and sown areas of crops, as well as the application of organic and mineral fertilizers and ameliorants for 2015–2018 [25].

3. Research Results

3.1. The Content of Trace Elements in Soils

In the layer of 10–20 cm of virgin typical chernozem at the Belogorye Nature Reserve at the Yamskaya Steppe site, the background total contents of manganese, zinc, and cobalt were 476, 44.7, and 8.3 mg/kg, respectively; at the depth of 150–160 cm (CCa horizon), the contents were 349, 38.7, and 6.8 mg/kg, respectively. In the 15–25 cm layer of the virgin ordinary chernozem of the Rovenskii Natural Park, the total contents of manganese, zinc, and copper were 480, 49.9, and 8.7 mg/kg, respectively; in the 110–120 cm layer (CCa horizon), they were 355, 43.4, and 6.6 mg/kg (Table 4), respectively.
According to the results of the local agroecological monitoring, it was found that in terms of total contents the typical and ordinary chernozems elements formed the following decreasing series: Mn > Zn > Co. The average contents of manganese, zinc, and cobalt were 397, 42.9, and 9.51 mg/kg, respectively, which were 1.15, 1.18, and 1.12 times higher in the Ap horizon of the ordinary chernozem than in the typical chernozem, respectively. The average total contents of manganese, zinc, and cobalt in the Ap horizon of the typical chernozem were 1.49, 1.17, and 1.26 times higher than in the CCa horizon, respectively. A similar regularity was also typical for the ordinary chernozem, where the total contents of manganese, zinc, and cobalt in the Ap horizon exceeded the concentrations of these elements in the CCa horizon by 1.42, 1.22, and 1.23 times, respectively (Figure 2).
In the Ap horizon, between the content of physical clay and the gross contents of Mn, Zn, and Co there were positive correlations of medium strength, with the values of correlation coefficients (r) of, respectively, 0.35, 0.50, and 0.51.
In the 10–20 cm layer of the typical chernozem at the Yamskaya steppe site, the background level of the content of mobile compounds of cobalt (0.20 mg/kg) was estimated as medium; those of manganese (8.1 mg/kg) and zinc (0.79 mg/kg) were estimated as low. In the layer 15–25 cm of the ordinary chernozem in the Rovenskii Natural Park, the content of mobile compounds of manganese was equal to 6.1; those of zinc and cobalt were 0.8 and 0.07 mg/kg, respectively, which correspond to a low supply level (Table 5).
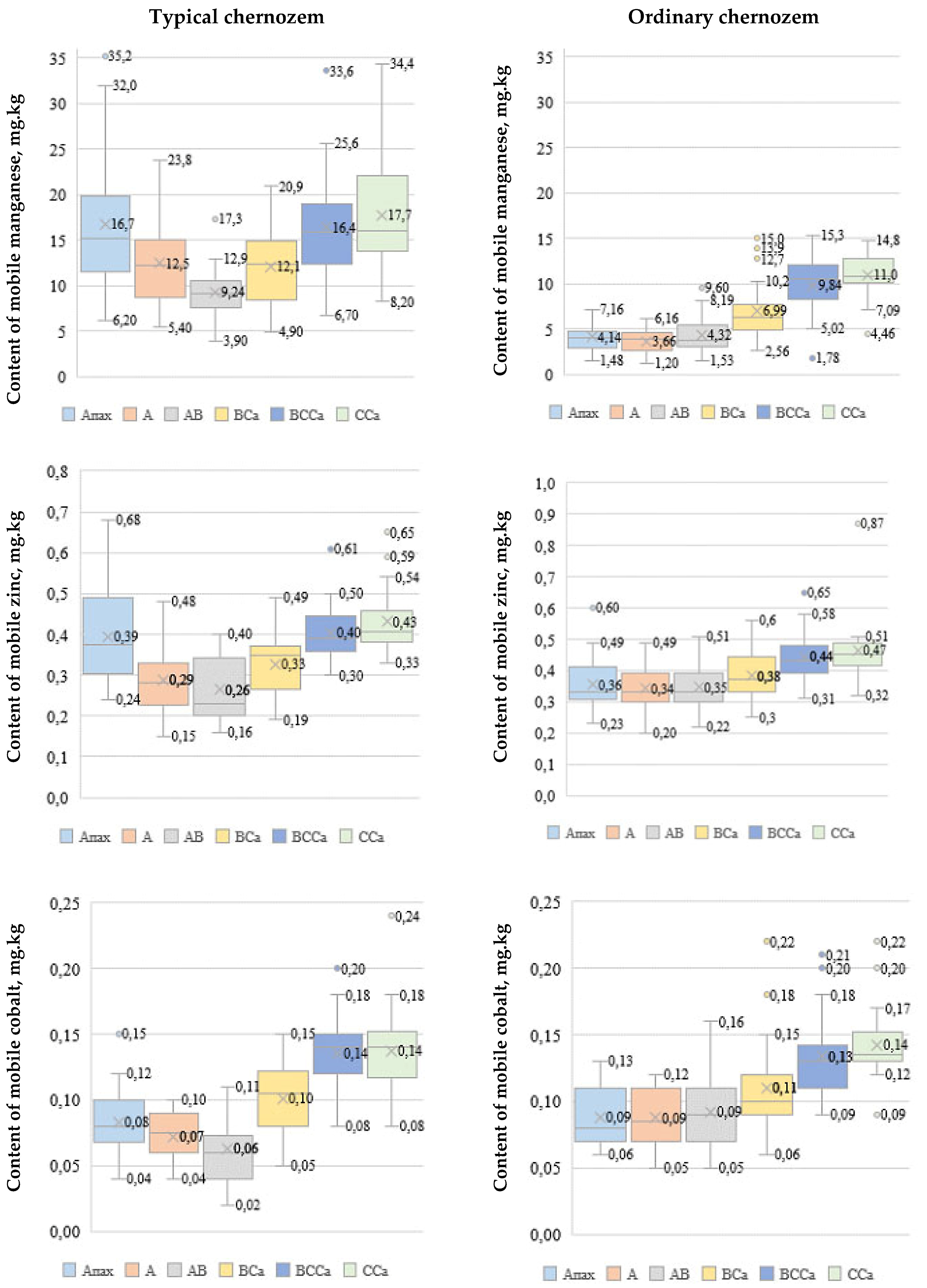
At the reference objects of local monitoring, the concentrations of mobile compounds of the studied elements in soils were characterized by a higher spatial variability compared to the total contents. Concentrations of mobile compounds of manganese, zinc, and cobalt in the Ap horizon were, respectively, 16.7 mg/kg (4.84% of the total content), 0.39 mg/kg (1.07%), and 0.08 mg/kg (0.83%) in the typical chernozem, and 4.14 mg/kg (1.04%), 0.36 mg/kg (0.84%), and 0.09 mg/kg (0.95%) in the ordinary chernozem.
The content of mobile compounds of manganese in the Ap horizon of the typical chernozem was four times higher than that in ordinary chernozem, while the contents of mobile compounds of zinc and cobalt did not differ significantly. In the typical chernozem, the contents of mobile compounds of manganese and zinc in the Ap and CCa horizons did not differ significantly, and the content of mobile cobalt was significantly higher in the parent material. The contents of mobile compounds of manganese, zinc, and cobalt in the CCa horizon were significantly higher than those in the Ap horizon (Figure 3).
According to the results of the regional agroecological monitoring, it was found that during the period 1990–2009 there was a decrease in the weighted average contents of mobile compounds of manganese and zinc in arable soils. Since 2010, there has been a trend of increasing manganese content in soils, which is associated with an increase in the volume of organic fertilizers used in the region. The weighted average contents of mobile zinc and cobalt in soils from 2005–2018 did not change significantly (Figure 4).
The 2015–2018 survey found that 98.3% of arable soils had a low content of mobile compounds of zinc (<2.0 mg/kg); the contents of cobalt (<0.15 mg/kg) and manganese (<10 mg/kg) were 99.3% and 38.6% of manganese, respectively. The introduction of microfertilizers was effective in these soils. Arable soils with an excess of the MPC of total manganese and the APC of total zinc, as well as the MPC of the mobile compounds of the studied trace elements, were not detected in arable soils.

3.2. The Content of Trace Elements in Plants

The level of trace elements in plants is the most important ecological characteristic of agroecosystems. According to the results of the background environmental monitoring, it was found that the average contents of manganese, zinc, and cobalt in steppe grasses in the protected area Yamskaya steppe were, respectively, 25.9, 8.26, 0.09 mg/kg; in the Rovenskii Natural Park the average contents were 29.4, 6.06, and 0.035 mg/kg, respectively (Table 6).
According to the results of local agroecological monitoring, it was found that white lupine is very capable of accumulating manganese compared to other crops. In the grain of this crop, the average content of the element was 1053 mg/kg, and in the straw it was 841 mg/kg. For comparison, in the grains of legumes such as soybeans and peas, the content of this element was 43.7 and 114.2 times lower, respectively, and amounted to 24.3 and 9.22 mg/kg. Among cereal crops, winter wheat grain had the highest content of the element (33.3 mg/kg), and corn grain had the lowest (5.1 mg/kg). In the hay of perennial legumes, the average manganese content was fairly comparable and was 28.5 mg/kg for alfalfa, 30.7 mg/kg for sainfoin, and 31.2 mg/kg for clover. In the grains of winter wheat, sunflower, white lupine, and soybean the content of this element was 1.41, 1.69, 1.25, and 1.94 times greater in the main product than in by-products, respectively. In the straw of barley, corn, and peas, the manganese content was 1.69, 9.39, and 1.95 times higher than in the grain, respectively.
White lupine grain (43.5 mg/kg) and sunflower seeds (41.1 mg/kg) had the highest zinc content, and corn grain had the lowest (17.6 mg/kg). The content of this element in sainfoin hay averaged 17.8; in clover it averaged 16.5; and in alfalfa it averaged 14.0 mg/kg. The main products of winter wheat, barley, corn, sunflower, white lupine, soybean, and pea contained 2.75, 2.13, 1.26, 2.82, 4.84, 5.58, and 7.92 times more zinc, respectively, than their by-products, which points to a significant role for this trace element in the development of the reproductive organs of plants.
Cobalt accumulates to a greater extent in legumes. The content of this element was highest in the grain (0.9 mg/kg) and straw (0.6 mg/kg) of white lupine. Soybeans ranked second in this indicator: the grain contained 0.21 mg/kg of cobalt, and the straw contained 0.14 mg/kg. Among the cereal crops, the highest cobalt content was found in winter wheat grain (0.12 mg/kg), and the lowest was found in corn grain (0.05 mg/kg). The content of cobalt in alfalfa and sainfoin hay was the same (0.07 mg/kg), but in clover hay, the concentration of the element was 3 times higher (0.21 mg/kg). The content of cobalt in the main products of winter wheat, white lupine, soybean, and pea was 1.09, 1.5, 1.5, and 1.8 times higher than in their by-products, respectively. Barley, corn, and sunflower contained 1.22, 3.2, and 1.31 times more of this metal in their by-products than they did in their main product, respectively.
Our established values of element concentrations in plants did not exceed the maximum allowable levels of zinc and cobalt in grain and hay used to feed cattle.
To characterize the selectivity of absorption of trace elements from the soil by plants, the biological absorption coefficient is used. The values of the BAC of manganese, zinc, and cobalt for the steppe grasses of the Yamskaya Steppe site of the Belogorye Nature Reserve, were 0.71, 3.66, and 0.12; for the steppe grasses in Rovenskii Natural Park they were 0.88, 3.21, and 0.11.
Among the crops, white lupine had the highest BAC of manganese (72.7 in the grain and 39.3 in the straw). Sufficiently high values of the BAC of this element were established in the grain of winter wheat (4.39) and sunflower seeds (2.12). Sunflower stems (0.61) and pea straw (0.64) had the lowest BAC values. By this parameter, perennial legumes formed the following decreasing row: sainfoin (1.59) > clover (1.03) > alfalfa (0.97) (Table 7).
The highest values of the BAC for zinc were observed in sunflower seeds (45.0) and winter wheat grain (35.6), with the lowest being observed in pea straw (1.15). Among perennial legumes, sainfoin had the highest BAC (8.71), whereas alfalfa had the lowest (4.51).
The value of the BAC for cobalt in the studied crops was significantly lower than those of zinc and manganese. The highest values of the BAC of cobalt were established in the grain (2.48) and straw (1.18) of white lupine, and in pea grains (0.71). The lowest values of this indicator (0.12) were recorded in alfalfa and sainfoin hay, as well as in pea straw.

3.3. Sources of Supply and Balance of Trace Elements in Agriculture

The main source of trace elements in the Belgorod region agroecosystems is organic fertilizers. The highest contents of manganese, zinc, and cobalt were observed in straw and poultry manure compost—159, 300, and 1.56 mg/kg (with a standard moisture content of 34%), respectively (Table 8).
As a rule, the concentrations of chemical elements in organic fertilizers varies greatly depending on the type of animals, feed ration, amount of bedding, and housing technology. Technological methods of the removal and storage of organic fertilizers have a significant influence on this parameter. The introduction of 100 kg/ha nitrogen into the soil requires different amounts of organic fertilizer: manure sewage introduces 47.6 tons, cattle manure introduces 13.2 tons, and straw and poultry manure compost introduces 3.3 tons. With these amounts of organic fertilizers, 189, 634, and 525 g/ha of manganese; 2537, 264, and 990 g/ha of zinc; and 11.2, 4.62, and 5.15 g/ha of cobalt will enter the soil. Thus, upon introduction of a similar dosage of nitrogen by organic fertilizers, the highest amount of manganese will come with cattle manure; the highest amounts of zinc and cobalt will come with manure sewage.
The most widespread mineral fertilizers in the Belgorod Region contain very few trace elements. According to our data, the average contents of manganese, zinc, and cobalt are equal to 1.3, 0.68, and 0.26 mg/kg in ammonium nitrate; they are equal to 72.4, 11.8, and 0.18 mg/kg in NPK fertilizer (16:16:16).
During 2015–2018, in Belgorod Oblast an average of 8.1 t/ha organic fertilizers (recalculated for cattle manure), 99.6 kg a.s./ha of mineral fertilizers, and 0.49 t/ha of lime ameliorants (mainly defecate) were introduced to agroecosystems. With the specified amount of agrochemicals, 487 g/ha of manganese, 185 g/h of zinc, and 4.25 g/ha of cobalt were introduced. Seeds of agricultural crops appear on the input balance of trace elements in small amounts, with which manganese, zinc, and cobalt in amounts of 3.34, 2.85, and 0.013 g/ha get into the soil, that is 0.68, 1.52, and 0.24% of the total input of elements into agroecosystem, respectively.
The output balance of trace elements in agroecosystems includes removal with the alienated part of the crop, as well as loss as a result of erosion processes. Reduction in manganese and cobalt reserves in agroecosystems mainly occurs through washed away soil—662 and 16.3 g/ha, respectively, which is 82.8% and 96.8% of total losses; the share of zinc losses due to erosion is much smaller—39.5% (70.1 g/ha) of the total element consumption. Portions of the elements spent on the formation of the crop are alienated from the agroecosystem with the marketable products. Thus, from 2015–2018, manganese, zinc, and cobalt averaged 138, 107, and 0.53 g/ha (17.2, 60.5, and 3.2% of total consumption), respectively, with crop production annually.
According to the results of the study, the intensity of the manganese balance in the agroecosystems of the Belgorod region was 61.3%; for zinc it was 106%; and for cobalt it was 25.3% (Table 9).

4. Results and Discussion

4.1. The Content of Trace Elements in Soils

The Clarkes values (average total contents) of trace elements in soils vary greatly according to different data [26]. According to A. Kabata-Pendias (2011), the Clarke values of manganese, zinc, and cobalt in the world’s soils were 545, 70, and 11.3 mg/kg, respectively; according to A.P. Vinogradov (1957) they were 850, 50, and 8 mg/kg [10,27]. In our studies, the background total contents of manganese and zinc in the typical and ordinary reserve chernozems, as well as in arable analogues of these soils, were below the presented Clarke values. The background cobalt content in the virgin typical (8.3 mg/kg) and ordinary (8.7 mg/kg) chernozems was higher than that in the corresponding A.P. Vinogradov class and lower than that in the A. Kabata-Pendias class.
Our studies confirm the conclusion that the total contents of manganese, zinc, and cobalt increases in the series: typical chernozems < ordinary chernozems, which is associated with a decrease in leaching processes and increased biogenic accumulation of trace elements in the steppe chernozems [28,29]. In addition, the studied ordinary loamy chernozems were characterized by a higher content of physical clay (72.5%) compared with the typical heavy loamy chernozems (56.8%). The total contents of trace elements are generally higher in soils with a heavier granulometric composition [1,29,30,31,32].
To assess the supply of plants, it is important to know not only the total contents of trace elements but primarily the concentration of their mobile compounds in soils. There is a deficit of mobile compounds of trace elements in the arable soils of many Russian regions. For example, in the Tambov and Voronezh regions, which, like the Belgorod region, are part of the Central Chernozem region of Russia, the share of soils poorly supplied with mobile forms of manganese is 95.4% and 61.0%; for zinc the shares are 97.9% and 99.7%; and for cobalt the shares are 99.2% and 99.7%, respectively [33,34].
The reasons for the poor provision of arable soils of the Central Black Earth Region with studied trace elements are, firstly, their low background content in virgin soils, and secondly, their negative balance in agriculture, which has developed over recent decades in many areas.
The contents of mobile compounds of trace elements in soils are greatly influenced by soils acidity. The mobility of manganese, zinc, and cobalt decreases significantly when soils are leached. Therefore, in chernozem soils with a neutral or alkaline reaction of the soil solution in modern agricultural technologies, as a rule, microfertilizers (mainly chelated) are not introduced to the soil, but their foliar use is practiced [10,26].

4.2. The Content of Trace Elements in Plants

Usually, plants contain manganese in an amount of 20–300 mg/kg of dry matter [35,36]. The normal content of zinc in plants is 20–60 mg/kg, and toxic concentrations, at which a yield reduction is observed, are 300–500 mg/kg [6,37]. Variations in the content of cobalt in plants are most often in the range of 0.05–0.80 mg/kg dry weight, with an average content of 0.2 mg/kg. According to some scientists, the optimal cobalt content for plants ranges between 0.25 and 1.00 mg/kg dry matter [6]. The levels of the trace element content established in our studies generally fall within the indicated ranges of variation.
The exception is the manganese content of white lupine plants.
White lupine grain contained an average of 1053 mg/kg manganese with a range of 857–1221 mg/kg, and straw contained 841 mg/kg with a range of 594–1207 mg/kg. This crop has been cultivated in Russia only for the last few years and the area sown is extremely limited, so there is almost no data on its chemical composition. Since the trace element composition of plants is greatly influenced by the features of the chemical composition of the environment in which a particular species was formed, it is likely that in the area of white lupine’s origin (Mediterranean countries), the soils most probably were characterized by a very high content of plant-available manganese, which favored its accumulation in plants and fixed this feature in the course of evolutionary selection [6].
Correctly assessing the level of danger of abnormally high manganese content in white lupine grain for farm animals is currently quite difficult, as Russian regulations do not set a limit for the content of manganese in feed products. In addition, white lupine grain is used to feed animals not in its “pure” form, but as a component in the production of mixed fodder, where its share may vary greatly depending on the technology. In any case, this problem will require further comprehensive and in-depth study.
In our studies, the BAC value for manganese varied depending on the biological characteristics of a particular type of agricultural plant and the type of products (main or by-products) in the range of 0.61–72.7; for zinc the range was 1.15–45.0, and for cobalt the range was 0.12–2.48. The degree of the accumulation of trace elements in the soil by plants that is the most important to assess is the value of their BACs for steppe vegetation, under which for 8–10 thousand years the modern black soils of the CCR formed. The value of the BAC of manganese by steppe vegetation was 0.71–0.88, and for cobalt it was 0.11–0.12. These elements belong to the group of weak accumulation and medium capture. The BAC of zinc was in the range of 3.21–3.66, and this element belongs to the group of strong accumulation [6,37].

4.3. Sources of Supply and Balance of Trace Elements in Agriculture

The main natural source of trace elements in soils is soil-forming materials. Anthropogenic sources of trace elements in agrocenoses are emissions from non-ferrous metallurgy and thermal power plants, sewage, fertilizers, and ameliorants. Near ferroalloy plants and mines, the total contents of manganese and zinc reach 4600 and 1690 mg/kg, respectively [38,39,40]. There are no major industrial sources of manganese, zinc, and cobalt in the Belgorod Region.
In regions with intensive livestock development, which includes the Belgorod region, one of the main sources of trace elements in agroecosystems is organic fertilizers. Their application rate increased from 1.3 t/ha in 2000–2004 to 8.1 t/ha in 2015–2018. [25]. In 2000–2004, the intensities of the zinc and manganese balances were 57% and 13%, respectively [41]. In 2010–2013, the values of the zinc and cobalt balance intensities were estimated at 98% and 24%, respectively [37]. However, the balance parameters calculated on the basis of the total intake and alienation of trace elements do not always correlate closely with the contents of their mobile forms in the soil, since the mobility of elements in the soil is strongly influenced by other factors, primarily acidity. In the Belgorod region, with a positive balance of zinc for 2015–2018 there was no increase in the weighted average content of its mobile compounds in the soil in consequence of large amounts of work on liming (75 thousand ha/year), which led to a reduction in the proportion of acidic soils during this period by 10.3% [1].

5. Conclusions

  • It was found that due to the lower content of physical clay, the gross contents of the studied trace elements in the arable and virgin typical chernozems of the forest-steppe zone were lower than those in the chernozems of the ordinary steppe zone. In the distribution of the gross contents of the studied trace elements in the profile of arable chernozems, a tendency of a gradual decrease in their concentrations with increasing depth was revealed. The background level of mobile forms of cobalt in virgin typical chernozem was estimated as average; the levels of manganese and zinc were estimated as low. In the virgin ordinary chernozem, the contents of mobile forms of all studied trace elements corresponded to a low supply level.
  • Amongst the studied crops, the grain of white lupine was found to have the highest contents of manganese (1053 mg/kg), zinc (43.5 mg/kg), and cobalt (0.9 mg/kg) in the main products. The lowest contents of manganese (5.1 mg/kg) and cobalt (0.05 mg/kg) were recorded in corn grain; the lowest content of zinc (14.0 mg/kg) was recorded in alfalfa hay. The safety of using white lupine grain with an abnormally high manganese content for the preparation of concentrated feed will require additional comprehensive study.
  • According to the results of the regional agroecological monitoring of arable soils in the Belgorod region for 2015–2018, it was found that the proportion of soils with a low content of mobile compounds of zinc (<2 mg/kg) was 90.3%; for cobalt (<0.2 mg/kg) it was 99.3%; and for manganese (<10 mg/kg) it was 38.6%. On these soils, it is advisable to introduce microfertilizers containing trace elements that are in deficit.
  • The main source of manganese, zinc, and cobalt input to agroecosystems is organic fertilizers, which account for 79.3%, 86.3%, and 66.6% of the total amounts, respectively. Losses of manganese and cobalt from agroecosystems mainly occur as a result of the washing away of arable soils—82.8% and 96.8% of total losses, and 60.5% of zinc losses are due to alienation with the marketable part of the crop. A positive balance had been a feature of zinc with an intensity of 106%, while manganese and cobalt had a negative balance with intensities of 61.3% and 25.3%, respectively.

Author Contributions

S.V.L.—work planning, analysis of the results, and preparation of the manuscript; D.V.Z.—sampling and analysis, mathematical processing of the results, and preparation of graphs and tables. The final manuscript has been seen and approved by all authors. All authors have read and agreed to the published version of the manuscript.

Funding

The research was funded by the Ministry of Agriculture of the Russian Federation as part of the state assignment to monitor agricultural land in Belgorod Oblast.

Data Availability Statement

Conflicts of Interest

The authors declare that they have no conflict of interest.

References

  1. Lukin, S.V.; Zhuikov, D.V. Monitoring of the contents of manganese, zinc, and copper in soils and plants of the Central Chernozemic region of Russia. Eurasian Soil Sci. 2021, 54, 63–71. [Google Scholar] [CrossRef]
  2. Poddubnyi, A.S. Dynamics of an agrochemical state of arable lands in the forest-steppe of Belgorod region. Achiev. Sci. Technol. AICis 2018, 32, 15–17. [Google Scholar] [CrossRef]
  3. Popov, V.V. State of fertility of arable land in the southeastern districts of Rostov region. Achiev. Sci. Technol. AICis 2018, 32, 7–11. [Google Scholar] [CrossRef]
  4. Sukhova, O.V.; Boldyrev, V.V.; Akulov, A.V. Monitoring of trace elements in the soils of the Volgograd region. Achiev. Sci. Technol. AICis 2019, 33, 20–21. [Google Scholar] [CrossRef]
  5. Surinov, A.V. Dynamics of fertility of arable chernozems of the forest-steppe zone of the Central Chernozem regions of Russia. Vestn. Kazan State Agrar. Univ. 2021, 61, 57–61. [Google Scholar] [CrossRef]
  6. Perelman, A.I. Landscape Geochemistry; Vysshaya Shkola: Moscow, Russia, 1975. (In Russian) [Google Scholar]
  7. Zhuikov, D.V. Sulphur and trace elements in agrocenoses (review). Achiev. Sci. Technol. AICis 2020, 34, 32–42. [Google Scholar] [CrossRef]
  8. Zhuikov, D.V. Monitoring of the content of trace elements (Mn, Zn, Co) in agrocenoses of the southwestern part of the central chernozem region of Russia. Zemledelie 2020, 5, 9–13. [Google Scholar] [CrossRef]
  9. Vodyanitskii, Y.N. Zinc forms in soils (review of publications). Eurasian Soil Sci. 2010, 43, 269–277. [Google Scholar] [CrossRef]
  10. Kabata-Pendias, A. Trace Elements in Soils and Plants, 4th ed.; CRC Press, Taylor and Francis Group: Boca Raton, FL, USA, 2011. [Google Scholar]
  11. McKenzie, R.M.; Varentsov, I.M.; Grasselly, G. The Manganese Oxides in Soils. In Geology and Geochemistry of Manganese; Akademiai Kiado: Budapest, Hungary, 1980. [Google Scholar]
  12. Van der Voet, E.; Salminen, R.; Eckelman, M.; Mudd, G.; Norgate, T.; Hischier, R. Environmental Risks and Challenges of Anthropogenic Metals Flows and Cycles; A Report of the Working Group on the Global Metal Flows to the International Resource Panel; United Nations Environment Programme (UNEP): Nairobi, Kenya, 2013. [Google Scholar]
  13. Lukin, S.V.; Zhuikov, D.V.; Kostin, I.G.; Prazina, E.A.; Zavalin, A.A.; Chernikov, V.A. Monitoring of the content of manganese in soils and agricultural plants of the central chernozem region of Russia. Eur. Asian J. BioSci. 2019, 13, 877–881. [Google Scholar]
  14. Ilyin, V.B. Heavy Metals and Non-Metals in the Soil-Plant System; Publishing House of Siberian Branch of the Russian Academy of Sciences: Novosibirsk, Russia, 2012. (In Russian) [Google Scholar]
  15. Medvedev, I.F.; Derevyagin, S.S. Heavy Metals in Ecosystems; Rakurs: Saratov, Russia, 2017. (In Russian) [Google Scholar]
  16. SanPiN 1.2.3685-21: Hygienic Standards and Requirements for Ensuring the Safety and (or) Harmlessness to Humans of Environmental Factors, Approved. Chief State Sanitary Doctor of the Russian Federation on 28 January 2021, the Official Internet Portal of Legal Information. Available online: http://publication.pravo.gov.ru/Document/View/0001202102030022 (accessed on 15 March 2021).
  17. VMDU-87: Temporal Maximum Permissible Concentrations of Some Chemical Elements and Gossypol in Fodders and Food Additives for Livestock. Approved by the GUV Gosagroprom of the USSR dated 07.08.87 No. 123-4/281-87 (Moscow, 1987). Available online: https://docs.cntd.ru/document/1200086835 (accessed on 14 December 2021). (In Russian).
  18. Khizhnyak, R.M. Environmental Assessment of the Content of Microelements (ZN, CU, CO, MO, CR, NI) in the Agroecosystems of the Forest-Steppe Zone of the South-Western Part of the Central–Chernozem Regions. Ph.D. Thesis, Russian State Agrarian University, Moscow, Russia, 2015. [Google Scholar]
  19. Solovichenko, V.D.; Lukin, S.V.; Lisetskii, F.N.; Goleusov, P.V. The Red Data Book of Soils of Belgorod Oblast; Belgorod State University: Belgorod, Russia, 2007. (In Russian) [Google Scholar]
  20. Lukin, S.V. Dynamics of the agrochemical fertility parameters of arable soils in the southwestern region of Central Chernozemic zone of Russia. Eurasian Soil Sci. 2017, 50, 1323–1331. [Google Scholar] [CrossRef]
  21. GOST R 50683-94; Soils. Determination of Mobile Compounds of Copper and Cobalt by the Method of Krupskiy and Aleksandrova in the Modification of TsINAO. Central Research Institute of Agrochemical Services for Agriculture, Main Directorate of Chemicalization, Plant Protection and the State Chemical Commission of the Ministry of Agriculture of the Russian Federation. Publishing House of Standards: Moscow, Russia, 1994. Available online: https://docs.cntd.ru/document/1200025927 (accessed on 14 December 2021). (In Russian)
  22. GOST R 50685-94; Soils. Determination of Mobile Manganese compounds by the Method of Krupskiy and Aleksandrova in the Modification of TsINAO. Central Research Institute of Agrochemical Services for Agriculture, Main Directorate of Chemicalization, Plant Protection and the State Chemical Commission of the Ministry of Agriculture of the Russian Federation. Publishing House of Standards: Moscow, Russia, 1994. Available online: https://docs.cntd.ru/document/1200025929 (accessed on 14 December 2021). (In Russian)
  23. GOST R 50686-94; Soils. Determination of Mobile Zinc Compounds by the Method of Krupskiy and Aleksandrova in the Modification of TsINAO. Central Research Institute of Agrochemical Services for Agriculture, Main Directorate of Chemicalization, Plant Protection and the State Chemical Commission of the Ministry of Agriculture of the Russian Federation. Publishing House of Standards: Moscow, Russia, 1994. Available online: https://docs.cntd.ru/document/1200025930 (accessed on 14 December 2021). (In Russian)
  24. Practical Guide for Analysis of Heavy Metals in Agricultural Soils and Vegetable Products; Approved Deputy Minister of Agriculture of the Russian Federation A.G. Efremov. March 10, 1992; Timiryazev Moscow Agricultural Academy: Moscow, Russia, 1992; Available online: https://docs.cntd.ru/document/1200078918 (accessed on 14 December 2021). (In Russian)
  25. Russian Regions: Social-Economic Indices. Federal State Statistics Service. Available online: http://www.fedstat.ru/indicators/stat.do (accessed on 24 April 2020).
  26. Bowen, H.J.M. Environmental Chemistry of the Elements; Academic Press: London, UK, 1979. [Google Scholar]
  27. Vinogradov, A.P. Geochemistry of Rare and Scattered Chemical Elements in Soils; Academy of Sciences of the USSR: Moscow, Russia, 1957. (In Russian) [Google Scholar]
  28. Protasova, N.A.; Shcherbakov, A.P. Trace Elements (Cr, V, Ni, Mn, Zn, Cu, Co, Ti, Zr, Ga, Be, Sr, Ba, B, I, Mo) in Chernozems and Gray Forest Soils of Central Chernozemic Region; Voronezh State University: Voronezh, Russia, 2003. (In Russian) [Google Scholar]
  29. Gorbunova, N.S.; Protasova, N.A. Forms of connections of manganese, copper, zinc in chernozems of central chernozemic region. Proc. Voronezh State Univ. Ser. Chem. Biol. Pharm. 2008, 2, 77–85. [Google Scholar]
  30. Orlov, D.S.; Sadovnikova, L.K.; Lozanovskaya, I.N. Ecology and Protection of Soils of the Biosphere under Chemical Pollution; Vysshaya Shkola: Moscow, Russia, 2002. (In Russian) [Google Scholar]
  31. Mazhaiskii, Y.A. The distribution of heavy metals in the profile of soils of Ryazan oblast. Agrochemistry 2003, 8, 74–79. [Google Scholar]
  32. Sheudzhen, A.K. Biogeochemistry; Adygeya: Maikop, Russia, 2003. (In Russian) [Google Scholar]
  33. Yumashev, N.P.; Trunov, I.A. Soils of Tambov Oblast; Michurinsk State Agrarian University: Michurinsk, Russia, 2006. (In Russian) [Google Scholar]
  34. Korchagin, V.I. Environmental and Agrochemical Assessment of Soil Fertility in the Voronezh Region. Ph.D. Thesis, Voronezh State Agrarian University, Voronezh, Russia, 2017. [Google Scholar]
  35. Duglas, P.O. Impact of trace element pollution on the plants? In Aerial Pollution and Life of the Plants; Gidrometeoizdat: Leningrad, Russia, 1988; pp. 327–356. [Google Scholar]
  36. Puzanov, A.V.; Meshkinova, S.S. Trace elements in the plants of the Srednyaya Katun valley. Vestn. Altaisk. Gos. Agrar. Univ. 2009, 62, 47–54. [Google Scholar]
  37. Khizhnyak, R.M. Environmental Assessment of the Content of Trace Elements (Zn, Cu, Co, Mo, Cr, Ni) in the Agroecosystems of the Forest-Steppe Zone of the Southwestern Part of the Central Black Earth Region. Bachelor’s Thesis, Russian State Agrarian University, Moscow, Russia, 2015. [Google Scholar]
  38. Pavilonis, B.T.; Lioy, P.J.; Guazzetti, S.; Bostick, B.C.; Donna, F.; Peli, M.; Georgopoulos, P.G.; Lucchini, R.G. Manganese concentrations in soil and settled dust in an area with historic ferroalloy production. J. Expo. Sci. Environ. Epidemiol. 2014, 25, 443–450. [Google Scholar] [CrossRef] [PubMed] [Green Version]
  39. Timofeev, I.; Kosheleva, N.; Kasimov, N. Contamination of soils by potentially toxic elements in the impact zone of tungsten molybdenum ore mine in the Baikal region: A survey and risk assessment. Sci. Total Environ. 2018, 642, 63–76. [Google Scholar] [CrossRef] [PubMed]
  40. Xiao, R.; Ali, A.; Wang, P.; Li, R.; Tian, X.; Zhang, Z. Comparison of the feasibility of different washing solutions for combined soil washing and phytoremediation for the detoxification of cadmium (Cd) and zinc (Zn) in contaminated soil. Chemosphere 2019, 230, 510–518. [Google Scholar] [CrossRef] [PubMed]
  41. Melentsova, S.V. Agroecological Assessment of the Content of Chemical Elements S, Zn, Mn, Cu, Cd, Pb in the Soils of the Forest-Steppe and Steppe Zones (by the Example of the Belgorod Region). Bachelor’s Thesis, Russian State Agrarian University, Moscow, Russia, 2007. [Google Scholar]
Figure 1. Geographical position of the Belgorod region.
Figure 1. Geographical position of the Belgorod region.
Agriculture 12 00154 g001
Figure 2. The gross contents of trace elements in soil profiles of typical and ordinary arable chernozems.
Figure 2. The gross contents of trace elements in soil profiles of typical and ordinary arable chernozems.
Agriculture 12 00154 g002
Figure 3. Contents of mobile forms of trace elements in the profiles of typical and ordinary arable chernozems.
Figure 3. Contents of mobile forms of trace elements in the profiles of typical and ordinary arable chernozems.
Agriculture 12 00154 g003
Figure 4. Dynamics of the weighted average contents of mobile forms manganese (a), zinc (b), and cobalt (c) in arable soils of Belgorod region, mg/kg.
Figure 4. Dynamics of the weighted average contents of mobile forms manganese (a), zinc (b), and cobalt (c) in arable soils of Belgorod region, mg/kg.
Agriculture 12 00154 g004
Table 1. Geographic coordinates of soil sampling areas.
Table 1. Geographic coordinates of soil sampling areas.
ObjectOrientation Extreme PointsGeographical Coordinates
Prokhorovskii DistrictWest36.44489° E50.95693° N
North37.02882° E51.20390° N
East37.20146° E51.03487° N
South36.90474° E50.79393° N
Rovenskii DistrictWest38.68557° E49.96214° N
North38.94682° E50.30798° N
East39.28003° E50.03585° N
South38.94882° E49.79702° N
Table 2. Average content of Corg and the pHH2O value in soil profiles of arable chernozems of typical and ordinary.
Table 2. Average content of Corg and the pHH2O value in soil profiles of arable chernozems of typical and ordinary.
Genetic HorizonTypical Chernozem
(Forrest-Steppe Zone)
Ordinary Chernozem
(Steppe Zone)
Average Thickness of Horizon, cmCorg, %pHH2OAverage Thickness of Horizon, cmCorg, %pHH2O
Ap (ploughable)0–253.256.70–253.027.8
A (humus-accumulative)26–362.906.926–432.787.9
AB (transitional humus)37–902.017.544–722.387.9
BCa (illuvial carbonate)91–1111.228.073–901.688.1
BCCa (transitional)112–1340.758.191–1241.108.3
CCa (parent material)˃1350.588.1˃1250.938.3
Table 3. Average content of Corg and the pHH2O value in soil profiles of reserved chernozems, typical and ordinary.
Table 3. Average content of Corg and the pHH2O value in soil profiles of reserved chernozems, typical and ordinary.
Typical Chernozem (Forest-Steppe Zone)Ordinary Chernozem (Steppe Zone)
Genetic HorizonAverage Thickness of Horizon, cmSampling Depth, cmCorg, %pHH2OGenetic HorizonAverage Thickness of Horizon, cmSampling Depth, cmCorg, %pHH2O
A7–4710–205.866.0ACa5–3515–253.777.1
30–403.366.4
ABCa48–7555–652.736.9BCa36–5540–501.456.9
BCa76–9880–901.917.3
BCCa99–120105–1151.627.3BCCa56–8365–751.047.3
CCa121–165150–1600.647.4CCa83–150110–1200.357.3
Table 4. Average gross trace elements in soil profiles of reserved typical and ordinary chernozems, mg/kg.
Table 4. Average gross trace elements in soil profiles of reserved typical and ordinary chernozems, mg/kg.
Typical Chernozem (Forest-Steppe Zone)Ordinary Chernozem (Steppe Zone)
Genetic HorizonSampling Depth, cmTotal Content,
mg/kg
Genetic HorizonSampling Depth, cmTotal Content,
mg/kg
MnZnCoMnZnCo
A10–2047644.78.3ACa15–2548049.98.7
30–4046045.38.5
ABCa55–6542443.87.9BCa40–5045547.38.0
BCa80–9042044.97.7
BCCa105–11539344.37.4BCCa65–7542644.27.1
CCa150–16034938.76.8CCa110–12035543.46.6
Table 5. The average contents of mobile trace elements in soil profiles of reserved typical and ordinary chernozems, mg/kg.
Table 5. The average contents of mobile trace elements in soil profiles of reserved typical and ordinary chernozems, mg/kg.
Typical Chernozem (Forest-Steppe Zone)Ordinary Chernozem (Steppe Zone)
Genetic HorizonSampling Depth, cmContent of Mobile Compounds, mg/kgGenetic HorizonSampling Depth, cmContent of Mobile Compounds, mg/kg
MnZnCoMnZnCo
A10–208.110.790.20ACa15–256.100.800.07
30–407.640.640.16
ABCa55–653.870.720.25BCa40–505.830.570.06
BCa80–902.590.360.22
BCCa105–1152.130.360.24BCCa65–757.770.420.07
CCa150–1601.740.670.22CCa110–1208.630.660.10
Table 6. Variation and statistical indices of trace element content in crop products, mg/kg of absolutely dry matter.
Table 6. Variation and statistical indices of trace element content in crop products, mg/kg of absolutely dry matter.
CropManganeseZincCobalt
x ¯   ±   t 05 s x ¯ LimV, % x ¯   ±   t 05 s x ¯ LimV, % x ¯   ±   t 05 s x ¯ LimV, %
Winter wheatGrain33.3 ± 2.7923.0–48.118.928.6 ± 1.5526.4–34.011.60.12 ± 0.010.08–0.1515.4
Straw23.7 ± 1.9915.3–30.919.010.4 ± 0.698.55–13.714.10.11 ± 0.010.09–0.1413.9
SpringGrain14.1 ± 1.010.2–18.417.925.4 ± 1.619.4–32.715.70.09 ± 0.010.06–0.1322.9
Straw23.8 ± 2.914.0–39.629.411.9 ± 1.37.8–18.226.10.11 ± 0.010.08–0.1414.6
CornGrain5.1 ± 0.24.6–6.99.317.6 ± 0.913.0–20.612.10.05 ± 0.010.03–0.0926.3
Straw47.9 ± 1.934.3–53.29.514.0 ± 0.313.3–15.94.80.16 ± 0.010.12–0.2015.2
SunflowerSeeds18.3 ± 0.712.6–19.68.741.1 ± 1.334.1–45.77.40.13 ± 0.010.10–0.2018.2
Stems10.8 ± 1.08.9–17.322.714.6 ± 0.813.0–19.312.50.17 ± 0.010.11–0.2011.7
White lupineGrain1053 ± 50.9857–122110.343.5 ± 1.9136.5–51.19.40.90 ± 0.110.64–1.4127.0
Straw841 ± 91.2594–120723.28.98 ± 1.206.10–16.2128.50.60 ± 0.070.38–0.9325.1
SoybeanGrain24.1 ± 1.1516.9–27.910.835.6 ± 3.5425.3–47.322.50.21 ± 0.010.16–0.2514.3
Straw12.4 ± 1.107.50–17.620.06.38 ± 0.594.49–8.5420.70.14 ± 0.010.11–0.1918.4
PeaGrain9.22 ± 0.477.33–10.911.626.45 ± 1.4717.34–30.912.60.18 ± 0.010.15–0.2110.0
Straw18.0 ± 1.677.76–22.521.03.34 ± 0.571.30–5.5138.50.10 ± 0.010.06–0.1216.0
CloverHay31.2 ± 1.6924.5–37.612.316.5 ± 0.8113.0–19.211.00.21 ± 0.010.17–0.249.3
SainfoinHay30.7 ± 0.9727.4–34.97.117.8 ± 1.012.7–20.712.70.07 ± 0.010.04–0.0817.0
AlfalfaHay28.5 ± 1.4822.9–37.511.814.0 ± 1.826.88–19.829.30.07 ± 0.010.05–0.1221.7
Steppe mixed herbsHay25.9 ± 1.5220.0–31.113.28.26 ± 0.575.30–9.9515.40.09 ± 0.010.04–0.1530.6
Steppe mixed herbsHay29.4 ± 2.7517.3–44.221.16.06 ± 0.514.02–8.0718.90.035 ± 0.0040.02–0.0623.2
Table 7. Coefficients of biological adsorption of trace elements in plants, (mg/kg ash)/(mg/kg soil).
Table 7. Coefficients of biological adsorption of trace elements in plants, (mg/kg ash)/(mg/kg soil).
CropManganeseZincCobalt
Winter wheatGrain4.3935.60.59
Straw0.994.130.24
SpringGrain1.3623.20.35
Straw1.024.820.19
CornGrain0.9932.10.39
Straw1.95.260.26
SunflowerSeeds2.1245.00.61
Stems0.617.840.23
White lupineGrain72.728.42.48
Straw39.33.971.18
SoybeanGrain1.3418.80.47
Straw0.643.120.35
PeaGrain0.8623.40.71
Straw0.651.150.12
AlfalfaHay0.974.510.12
CloverHay1.035.140.24
SainfoinHay1.598.710.12
Steppe mixed grasses (Belogorye Reserve,
Yamskaya steppe section)
Hay0.713.660.12
Steppe mixed grasses (Rovenskii Natural Park)Hay0.883.210.11
Table 8. Variation and statistical indices of trace element contents in organic fertilizers and defecate, mg/kg fertilizer with standard moisture content.
Table 8. Variation and statistical indices of trace element contents in organic fertilizers and defecate, mg/kg fertilizer with standard moisture content.
Statistical ValueManganeseZincCobalt
Straw and litter compost (34% moisture content)
n252525
lim66–257139–4510.65–2.54
x ¯   ±   t 05 s x ¯ 159 ± 21300 ± 421.56 ± 0.21
V, %32.634.733.7
Cattle manure (75% moisture content)
n323232
lim17.4–88.411.5–37.40.14–0.56
x ¯   ±   t 05 s x ¯ 48.0 ± 5.3220.0 ± 2.440.35 ± 0.05
V, %30.833.836.5
Manure sewage (97.78% moisture content)
n262626
lim1.13–7.0822.7–88.90.08–0.23
x ¯   ±   t 05 s x ¯ 3.97 ± 0.5953.3 ± 7.770.15 ± 0.02
V, %36.736.125.6
Defecate (13% moisture content)
n181818
lim97.4–26816.6–62.71.81–4.35
x ¯   ±   t 05 s x ¯ 185 ± 26.943.8 ± 7.542.76 ± 0.40
V, %29.334.628.8
Table 9. The balance of trace elements in the agroecosystems of Belgorod region (2015–2018).
Table 9. The balance of trace elements in the agroecosystems of Belgorod region (2015–2018).
Balance ParticlesManganeseZincCobalt
Inflow, g/hawith organic fertilizers3891622.84
with ameliorants7.421.370.06
with seeds90.721.51.35
with mineral fertilizers3.342.850.013
total4901884.26
Outflow, g/haremoval with crops1381070.53
as a result of soil erosion losses66270.116.3
total80017716.8
Balance, ±g/ha−31010.3−12.6
Balance intensity, %61.310625.3
Publisher’s Note: MDPI stays neutral with regard to jurisdictional claims in published maps and institutional affiliations.

Share and Cite

MDPI and ACS Style

Lukin, S.V.; Zhuikov, D.V. Content and Balance of Trace Elements (Co, Mn, Zn) in Agroecosystems of the Central Chernozemic Region of Russia. Agriculture 2022, 12, 154. https://doi.org/10.3390/agriculture12020154

AMA Style

Lukin SV, Zhuikov DV. Content and Balance of Trace Elements (Co, Mn, Zn) in Agroecosystems of the Central Chernozemic Region of Russia. Agriculture. 2022; 12(2):154. https://doi.org/10.3390/agriculture12020154

Chicago/Turabian Style

Lukin, Sergei Victorovich, and Denis Valerievich Zhuikov. 2022. "Content and Balance of Trace Elements (Co, Mn, Zn) in Agroecosystems of the Central Chernozemic Region of Russia" Agriculture 12, no. 2: 154. https://doi.org/10.3390/agriculture12020154

APA Style

Lukin, S. V., & Zhuikov, D. V. (2022). Content and Balance of Trace Elements (Co, Mn, Zn) in Agroecosystems of the Central Chernozemic Region of Russia. Agriculture, 12(2), 154. https://doi.org/10.3390/agriculture12020154

Note that from the first issue of 2016, this journal uses article numbers instead of page numbers. See further details here.

Article Metrics

Back to TopTop