Abstract
Broomrape weeds (Orobanche and Phelipanche spp.) are noxious parasites that infect crops using haustoria formed at the tip of their radicles. Dichloromethane extract obtained from the roots of Convolvulus arvensis strongly inhibits the radicle growth of broomrape weeds. A complex mixture of arvensic acids was isolated as the metabolites responsible of the inhibitory activity of C. arvensis extract against broomrape radicle growth via activity-guided fractionation and 1H NMR and ESI MS data. We showed that the exposure of broomrape seedlings to this arvensic acids mixture results in a strong phytotoxic effect on their radicles in four broomrape species infecting a wide range of crops worldwide. This discovery paves the way for the synthesis of new bioherbicides and could contribute to the development of efficient and sustainable management strategies for broomrape weeds, for which control in many crops is limited or non-existing.
1. Introduction
Among all pests, weeds have the largest economic impact on agriculture [1], and among weeds, parasitic weeds are particularly noxious, causing severe yield losses due to their ability to infect crops by borrowing nutritional resources from them using haustoria formed at the tip of their radicles [2,3]. Seven weedy species of broomrapes (Orobanche spp., and Phelipanche spp., Orobanchaceae) are among the most damaging parasitic weeds for agricultural production in a large number of crop species [4]. Among these weedy broomrapes, Orobanche crenata is mostly distributed around the Mediterranean regions, infecting crops mainly in Fabaceae and Apiaceae but also some crops in Cucurbitaceae, Solanaceae, Lamiaceae, Ranunculaceae and Asteraceae. Orobanche cumana parasites, specifically sunflower plants with distribution in southeast Europe, the Middle East and southwest Asia, are also present in Spain, France and China. Orobanche minor is widely distributed, being native to Europe, Western Asia and Northern Africa, with a very wide host range infecting many crops, in Asteraceae, Apiaceae, Solanaceae and other families. Lastly, Phelipanche ramosa has a native distribution in Europe, the Middle East, West Asia and North Africa, infecting a very wide range of crops in Solanaceae, Brassicaceae, Cannabaceae, Fabaceae, Apiaceae and Asteraceae [5]. Several strategies from cultural to chemical practices were developed for the control of weedy broomrapes; however, in most cases, their control is either not feasible, uneconomical, or provides incomplete protection [6]. The cultivation of resistant varieties and chemical control were proposed as the most efficient methods of broomrape control. However, these methods are limited for the majority of crops affected by either the lack of commercially available resistant varieties [7,8] or the lack of authorized herbicidal methods with enough selectivity against the parasite and enough security for the crop and environment [9]. Thus, it is urgent to find new environmentally friendly methods with efficacious control.
Control based on natural compounds may reduce the associated risks of chemical pesticides to the environment and human health while protecting the health of crops and farmers’ productivity from broomrape infection [10,11]. Plants are abundant sources of allelochemicals that can act as natural pesticides [12,13], but only a small proportion of plant metabolites are investigated for herbicidal activity [14]. Field bindweed (Convolvulus arvensis L., Convolvulaceae) is a perennial weed native to the Mediterranean regions of Europe and Asia that inflicts noxious effects on crops worldwide [15]. The allelopathic activity of C. arvensis is reported as part of the various noxious effects inflicted by C. arvensis against crops [16,17,18,19,20]. The allelopathy of C. arvensis plants is a phenomenon that also acts against other weeds. For example, the seed germination of Phalaris minor is inhibited by aqueous extracts of C. arvensis [21]. In addition, the radicle growth of broomrape weeds is inhibited by the organic extract obtained from C. arvensis roots [22]. Although it is known that C. arvensis extracts contain active metabolites such as alkaloids, glycosides, resins and various phenolics with allelochemical properties such as p-coumaric, p-hydroxybenzoic, caffeic, ferulic and syringic acids [17,23,24,25,26,27], the responsible metabolites for the growth inhibition of broomrape radicles were never previously elucidated. Here, we report the isolation, via activity-guided fractionation and identification by chromatographic and spectroscopic methods, of an arvensic acid mixture as the responsible metabolites of the inhibition activity in C. arvensis organic extract against the growth of radicles of the broomrape weeds O. crenata, O. cumana, O. minor and P. ramosa. The identification of the active constituent of Convolvulus roots will enable us to manufacture and deliver better herbicides.
2. Materials and Methods
2.1. Plant Material
Seeds from field bindweed (Convolvulus arvensis L., Convolvulaceae) were collected during the season of 2016–2017 from a buckwheat field at the Institute for Sustainable Agriculture (IAS-CSIC, Córdoba, Spain). Parasitic seeds were collected in 2016 from plants of Orobanche crenata infecting pea plants in Spain, Orobanche cumana infecting sunflower plants in Spain, Orobanche minor infecting red clover in France and Phelipanche ramosa infecting oilseed rape in France. Dry parasitic seeds were separated from capsules using winnowing with a fan and sifting with a 0.6 mm mesh size sieve and then stored dry in the dark at room temperature until use for this work.
2.2. General Experimental Procedures
1H NMR spectra were recorded at 400 MHz in CDCl3 or CD3OD on a Bruker (Billerica, MA, USA) spectrometer. The same solvents were used as internal standards. LC/MS TOF system Agilent 6230B was used to record ESI mass spectra. Analytical and preparative Thin-Layer Chromatography (TLC) was performed on silica gel (Kieselgel 60, F254, 0.25 and 0.5 mm) plates (Merck, Darmstadt, Germany) or on reverse phase (Whatman, KC18 F254, 0.20 mm) plates. The spots were visualized by exposure to UV light (254 nm) and/or iodine vapors and/or by spraying first with 10% H2SO4 in MeOH and then with 5% phosphomolybdic acid in EtOH, followed by heating at 110 °C for 10 min. Column chromatography (CC) was performed using silica gel (Merck, Kieselgel 60, 0.063–0.200 mm). Standard samples of arabinose, galactose, glucose, mannose, xylose, rhamnose and fucose were purchased from Sigma Aldrich (St. Luis, MO, USA) and Carlo Erba (Milan, Italy).
2.3. Preparation of Convolvulus Arvensis Extracts
Convolvulus seeds were surface sterilized with 0.5 % (w/v) sodium hypochlorite and 0.02 % (v/v) Tween 20 for 5 min, rinsed thoroughly with distilled water, dried in a laminar airflow cabinet. Then, Convolvulus seeds were subjected to mechanical scarification and sown in a greenhouse in 1 L pots containing sand and peat (1:1, v:v) and grown for 40 days (23/20 °C, 16/8 h day/night). Then, the stem of each Convolvulus plant was cut 2–3 cm above the soil surface, and the roots were carefully washed, dried with filter paper, immediately frozen and maintained at −80 °C until lyophilization. Convolvulus lyophilized roots (235 g) were extracted (1 × 500 mL) by H2O/MeOH (1/1, v/v), 1% NaCl, under stirred conditions at room temperature for 24 h, the suspension centrifuged, and the supernatant extracted by n-hexane (3 × 300 mL) and successively with CH2Cl2 (3 × 300 mL) and, after removing MeOH under reduced pressure, with EtOAc (3 × 200 mL).
2.4. Radicle Growth Bioassays
Broomrape germination was induced in Petri dish bioassays through a two-step process, a warm stratification called conditioning followed by a chemical induction by the synthetic strigolactone GR24 [28]. To screen metabolites with potential as allelochemicals against broomrape radicle growth, the tested metabolites were dissolved in an aqueous solution of GR24 to observe the allelochemical effect in the development of radicles that immediately follows GR24-induced germination [10,11]. Dichloromethane extracts prepared from C. arvensis roots and their chromatographic fractions were tested in Petri dish bioassays to assess their effect on the radicle growth of broomrape seedlings. The seeds of four broomrape species O. crenata, O. cumana, O. minor and P. ramosa were surface sterilized by immersion in 0.5% (w/v) NaOCl and 0.02% (v/v) Tween 20 for 5 min, rinsed thoroughly with sterile distilled water and dried in a laminar airflow cabinet. Approximately 100 seeds of each broomrape species were placed separately in 9 mm diameter glass fiber filter paper discs (GFFP) (Whatman International Ltd., Maidstone, UK) moistened with 50 μL of sterile distilled water and placed inside Petri dishes in incubators at 23 °C for 10 days to allow seed conditioning. Stock solutions of Convolvulus root organic extract and chromatographic fractions dissolved in methanol were diluted up to 100 μg/mL of GR24 (10−6 M). The final concentration of methanol was 2% in all test treatments. The GFFP discs containing conditioned broomrape seeds were transferred onto a sterile sheet of filter paper to remove the excess water and transferred to new 9 cm sterile Petri dishes and treated with triplicate 50 μL-aliquots of each test treatment. Triplicate aliquots of treatment only containing sterile distilled water and 2% methanol were used as a control. Following the induction of germination with GR24, from each broomrape seed emerges a radicle with determined growth that under our laboratory conditions at 23 °C, reaches its maximum length at 7 days after germination. Therefore, treated broomrape seeds were incubated in the dark at 23 °C for 7 days. Then, radicle length was measured in 10 randomly selected seedlings per each GFFP disc using a stereoscopic microscope (Leica S9i, Leica Microsystems GmbH, Wetzlar, Germany) [29]. The percentage of radicle growth inhibition of each treatment was calculated using the average radicle growth of the 10 selected seedlings per GFFP disc relative to the average radicle growth of the control treatment.
2.5. Activity-Guided Fractionation of Convolvulus Dichloromethane Extract
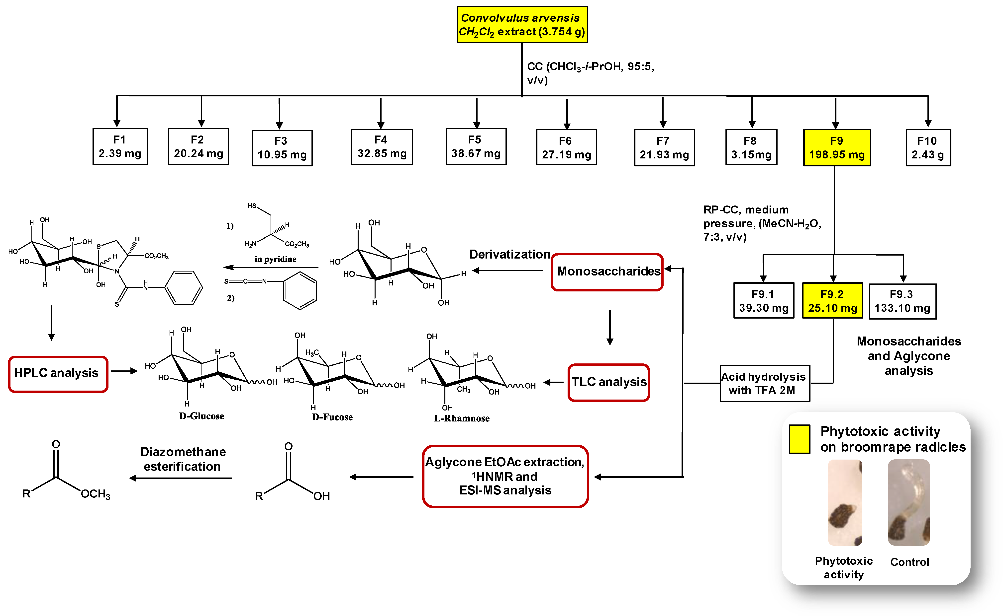
The residue (3.754 g) of CH2Cl2 organic extract was purified by column chromatography eluted with CHCl3/i-PrOH (95/5, v/v), then with CHCl3/i-PrOH (9/1, v/v), followed by CHCl3/i-PrOH (7/3, v/v) and finally with EtOH to elute the most polar compounds, yielding 10 groups of homogeneous fractions. The activity of these 10 fractions was tested using radicle growth bioassays as described above. The ninth fraction, F9 (198.95 mg), showed strong toxicity in the broomrape radicles and was therefore subjected to further purification. The purification of F9 was carried out by reversed-phase column chromatography at medium pressure eluted by CH3CN/H2O (7:3 v/v), yielding three fractions, F9.1–F9.3, that were studied in the radicle growth bioassays as described above. Among them, only F9.2 showed inhibitory activity and was selected for the further analysis described in the following paragraphs.
2.6. Acid Hydrolysis of Glycosides Fractions, Extraction of Aglicones and TLC Analysis of Monosaccharides
F9.2 (2.0 mg) was hydrolyzed with 2M TFA (1 mL) at 120 °C for 2 h. The reaction was stopped by evaporation under reduced pressure by adding Milli Q water. The dried residue was dissolved in MeOH and analyzed by TLC on silica gel, eluted with i-PrOH-H2O (8:2, v/v), in comparison with standard samples of galactose, glucose, mannose, xylose, rhamnose and fucose. Afterwards, the aglycone was extracted from the hydrolyzed solution with EtOAc, and the extract obtained was named F9.2-aglycone (1.1 mg). The F9.2-aglycone was subjected to reaction with diazomethane and the reaction product was checked by TLC and 1H NMR spectrum.
2.7. Derivatization of Monosaccharides and the HPLC Analysis of the Aldose Enantiomers Derivative
D-Derivatives: D-glucose (10.0 mg) and L-cysteine methyl ester (12.0 mg) were dissolved in pyridine (300 µL), and the reaction was conducted at 60 °C for 1 h. Then, phenyl isothiocyanate (100 µL) was added to the mixture and further reacted at 60 °C for 1 h. After the evaporation of the solvent, the residue was purified by TLC eluted with CHCl3:MeOH:H2O (40:10:1, v/v/v) to yield a white amorphous solid (8.0 mg). The same procedure was applied to D-galactose, D-mannose, D-rhamnose, D-fucose, D-arabinose and D-xylose. L-aldose (10 mg) was reacted using the same method described for the D-enantiomers [23]. The derivatives were analyzed by 1H NMR and ESI MS, and the spectroscopic data were in agreement with that previously reported in the literature [23]. The hydrolyzed mixtures obtained by the previous purification, hydrolyzed F9.2, were dissolved in pyridine (150 µL) and converted to the corresponding methyl 2-(polyhydroxyalkyl)-3-(o-tolylthiocarbomoyl)-thiazolidine-4R-carboxylates by reaction with L-cysteine methyl ester hydrochloride (6.0 mg) and phenyl isothiocyanate (50 µL). Analytical HPLC analysis was performed on a Chromaster system (VWR, Hitachi, Darmstadt, Germany) equipped with an RP18 Purospher® STAR column (Merck, Darmstadt, Germany) particle size 5 µm, 250 × 4.6 mm2) with an isocratic elution of 25% CH3CN in a 0.1% HCOOH solution at a low rate of 0.8 mL/min and the peaks were detected at 250 nm. The analysis confirmed the presence of D-glucose, L-rhamnose and D-fucose, which are the same monosaccharide units that build up the polysaccharide scaffold in the arvensic acids, as previously reported [24,25,26].
2.8. Statistical Analysis
All bioassays were performed using a completely randomized design. Percentage data were approximated to normal frequency distribution by means of angular transformation and subjected to analysis of variance (ANOVA) using SPSS software for Windows (SPSS Inc., Chicago, IL, USA). The significance of mean differences among treatments was evaluated by the Tukey test. The null hypothesis was rejected at the level of 0.05.
3. Results and Discussion
C. arvensis is considered a non-host species for P. ramosa [30,31], which is one of the seven broomrape species that cause noxious effects on crops worldwide. In a previous allelopathic screening [22], we identified, for the first time, C. arvensis as a plant species source of allelopathic compounds against the radicle growth of four of these noxious broomrape species. For the identification of these allelopathic compounds in the present work, the CH2Cl2 extract of C. arvensis lyophilized roots was subjected to a process of activity-guided isolation and characterization by spectroscopic analysis, as illustrated in Figure 1. The C. arvensis CH2Cl2 extract was fractionated by column chromatography, yielding 10 fractions. Phytotoxic screening revealed that of the 10 fractions of the Convolvulus root extract, only fraction F9 caused phytotoxicity in radicles of all broomrape species. This phytotoxicity was observed as the abnormal development of the radicle with a length reduction in comparison with the corresponding control radicles for each broomrape species. The average radicle growth inhibition induced by C. arvensis fraction F9 was 50.8 ± 0.3% for O. crenata radicles, 73.2 ± 0.8% for O. cumana radicles, 65.4 ± 0.4% for O. minor radicles and 71.4 ± 1.4% for P. ramosa radicles. In all broomrape species, no significant phytotoxicity was observed when their radicles were treated with the rest of the fractions (F1 to F8 and fraction F10) (data not shown).
Figure 1.
Diagram procedure of the activity-guided isolation and identification of arvensic acids as inhibitors of broomrape radicle growth.
The ninth fraction (F9) was selected for further purification using RP-CC at medium pressure eluted by MeCN/H2O (7:3 v/v), yielding three fractions that were subjected again to allelopathic screening against broomrape radicle growth. The radicle growth bioassays revealed that only the second fraction F9.2 caused phytotoxicity in broomrape radicles. The average inhibition of radicle growth relative to their corresponding control radicles induced by fraction F9.2 was observed as 73.5 ± 0.8% in O. crenata radicles, 86.8 ± 0.3% in O. cumana radicles, 81.7 ± 1.9% in O. minor radicles and 77.0 ± 0.5% in P. ramosa radicles. Fractions F9.1 and F9.3 did not induce significant phytotoxicity in radicles of any of the broomrape species (Figure 2). A subsequent dose–response screening was conducted to validate the phytotoxicity of fraction F9.2, confirming the strong inhibitory activity in radicle growth of all broomrape species at 100 and 50 μg /mL (Figure 3).
Figure 2.
(A) Inhibition of broomrape radicle growth induced by fractions (F9.1, F9.2 and F9.3) obtained from the phytotoxic ninth fraction of the extract of roots of Convolvulus arvensis expressed as a percentage with respect to the control GR24. (B–I) Photographs illustrating the effects of fraction F9.2 in radicles of (B) Orobanche crenata, (C) Orobanche cumana, (D) Orobanche minor and (E) Phelipanche ramosa in comparison with the effect of the control treatment in (F) Orobanche crenata, (G) Orobanche cumana, (H) Orobanche minor and (I) Phelipanche ramosa. Analysis of variance was applied to transform replicate data. For each broomrape species, bars with different letters are significantly different according to the Tukey test (p = 0.05). Error bars represent standard error.
Figure 3.
Dose–response curve of the phytotoxic activity of Convolvulus arvensis fraction F9.2 on radicle growth expressed as a percentage with respect to the growth of radicles treated with control treatment GR24 of (A) Orobanche crenata, (B) Orobanche cumana, (C) Orobanche minor and (D) Phelipanche ramosa. Analysis of variance was applied to transform replicate data. For each broomrape species, bars with different letters are significantly different according to the Tukey test (p = 0.05). Error bars represent standard error.
The first investigation of the 1H NMR and ESI MS spectra on fraction F9.2 showed that it contains arvensic acids by comparing the data with those reported in the literature [24,25,26]. In particular, the 1H NMR spectrum showed the signals of anomeric protons at δ 6.3–4.6 ppm, the complex signals in the range of δ 4.3–3.2 ppm typical of hydroxylated ring protons and singlets at δ 1.2 ppm for 6-deoxy sugar residues. Furthermore, aliphatic signals diagnostic of fatty acids in the range of δ 2.8–1.8 ppm were observed. The ESI-MS spectra of these mixtures showed peaks in the range 1074–1380 u.m.a., confirming the hypothesis of a mixture of arvensic acids. They have a polysaccharide skeleton containing rhamnose, fucose and glucose residues linked to hydroxyl or dihydroxyl fatty acids. Polysaccharides’ moieties vary from one arvensic acid to another depending on the number and the nature of their monosaccharides. Thus, in order to investigate the monosaccharide composition, fraction F9.2 was hydrolyzed, as reported in the Materials and Methods section. Afterwards, extraction with the EtOAc of the hydrolyzed solution allowed us to separate the aglycones from the sugar part of the molecules. The aglycone was subjected to a reaction with diazomethane, and the presence of fatty acids was confirmed by TLC, which showed a more apolar compounds with respect to the starting ones. In addition, the 1H NMR spectrum (Figure 4) showed the presence of methoxy signals indicating the formation of the methyl esters. Furthermore, in order to identify the monosaccharide residues of the polysaccharide skeleton, the dried hydrolyzed residue was dissolved in MeOH and analyzed by TLC on silica gel, eluted with i-PrOH-H2O (8:2, v/v), in comparison with standard samples of galactose, glucose, mannose, xylose, rhamnose and fucose. This analysis revealed the presence of rhamnose, fucose and glucose. Additionally, the hydrolyzed mixture was derivatized, as reported in the Material and Methods section, in order to confirm the nature of the monosaccharide units by applying an HPLC method. Such analysis confirmed the presence of L-rhamnose, D-fucose and D-glucose by comparison of their retention times with those obtained by the analysis of derivatized monosaccharide standards. Further efforts to purify fraction F9.2 to determine the structure of the pure arvensic acids produced by C. arvensis failed due to the low amount and heterogeneity of the mixture.
Figure 4.
1H NMR spectrum of fraction F9.2 recorded at 400 MHz in CD3OD.
Arvensic acids are resin glycosides typically found in the Convolvulaceae family, differing from one to another by very small structural features, which makes their separation very difficult. Recent studies reported the isolation of different arvensic acid structures. Fan et al. [24] reported the isolation of arvensic acids A–D, containing an heptasaccharide core with 12-hydroxypentadecanoic and 12-hydroxyhexadecanoic acids as aglycones. In a different work, the same authors [25] reported the isolation of arvensic acids E-J, consisting of a hexa- and heptasaccharide core with rarely existing aglycones 11-hydroxyhexadecanoic and 11-hydroxyheptadecanoic acids. Lu et al. [26] reported the isolation of two new arvensic acids named K and L, containing a pentasaccharide chain with the same aglycone of arvensic acids E–J. These arvensic acids were evaluated for cytotoxic activity, but they did not show an effect on the cancer cell lines studied [24,25,26]. Other studies attracted plenty of interest to arvensic acids for their interesting pharmacological bioactivities as aortic vasorelaxants [32], anticonvulsants and neuroprotectives [33] and their α-glucosidase inhibitory activity [34]. The role of arvensic acids in allelopathy against weed development was never reported before this work.
4. Conclusions
We studied C. arvensis dichloromethane extract. Specifically, we isolated and identified the active compounds contained in the extract against the growth of broomrape radicles. The broomrape radicle is a parasitic organ that, upon host contact, develops infective haustoria. The use of allelochemicals to inhibit the adequate growth of broomrape radicles leads to broomrape weeds being unable to infect crops and as a consequence, their rapid death. We found that a complex mixture of arvensic acids is involved in the reported allelopathy of C. arvensis against four weedy species of broomrapes. Recently, arvensic acids attracted plenty of interest due to their similarities with various resin glycosides with various pharmacological activities, but their herbicidal activity against weeds was not previously reported. The results encourage further studies on the isolation of the pure arvensic acids produced by C. arvensis and the underlying mechanisms of their phytotoxic action on broomrape radicles. This study paves the way for the synthesis of bioherbicides with similar molecular scaffolds and for new potential methods of application in integrated parasitic weed management strategies.
Author Contributions
G.S., M.F.-A., M.M., S.V.-R. and A.C. designed the experimental work; G.S., M.F.-A., M.M. and A.C. implemented the experiments, collected and analyzed the data; G.S., M.F.-A., M.M. and A.C. wrote the manuscript. All authors have read and agreed to the published version of the manuscript.
Funding
This research was funded by the Spanish Agencia Estatal de Investigación funded projects PID2020-114668RB-I00 and RYC-2015-18961 and by a CSIC-ALGOSUR research contract. The authors are thankful for a PhD grant to Gabriele Soriano funded by INPS (Istituto Nazionale Previdenza Sociale).
Institutional Review Board Statement
Not applicable.
Data Availability Statement
The data presented in this study are available on request from the corresponding author.
Acknowledgments
We would like to thank the CSIC Interdisciplinary Thematic Platform (PTI) Optimization of agricultural and forestry systems (PTI-AGROFOR).
Conflicts of Interest
The authors declare no conflict of interest.
References
- Pimentel, D.; Zuniga, R.; Morrison, D. Update on the environmental and economic costs associated with alien-invasive species in the United States. Ecol. Econ. 2005, 52, 273–288. [Google Scholar] [CrossRef]
- Parker, C.; Riches, C.R. Parasitic Weeds of the World: Biology and Control; CAB International: Wallingford, UK, 1993. [Google Scholar]
- Fernández-Aparicio, M.; Flores, F.; Rubiales, D. The effect of Orobanche crenata infection severity in faba bean, field pea and grass pea productivity. Front. Plant Sci. 2016, 7, 1049. [Google Scholar] [CrossRef] [PubMed] [Green Version]
- Parker, C. Observations on the current status of Orobanche and Striga problems worldwide. Pest Manag. Sci. 2009, 65, 453–459. [Google Scholar] [CrossRef] [PubMed]
- Parker, C. The parasitic weeds of the Orobanchaceae. In Parasitic Orobanchaceae; Joel, D.M., Gressel, J., Musselman, L.J., Eds.; Springer: Berlin/Heidelberg, Germany, 2013; pp. 313–344. [Google Scholar]
- Joel, D.M. The long-term approach to parasitic weeds control: Manipulation of specific developmental mechanisms of the parasite. Crop Prot. 2000, 19, 753–758. [Google Scholar] [CrossRef]
- Fernández-Aparicio, M.; Sillero, J.C.; Rubiales, D. Resistance to broomrape in wild lentils (Lens spp.). Plant Breed. 2009, 128, 266–270. [Google Scholar] [CrossRef]
- Fernández-Aparicio, M.; Sillero, J.C.; Rubiales, D. Resistance to broomrape species (Orobanche spp.) in common vetch (Vicia sativa L.). Crop Prot. 2009, 28, 7–12. [Google Scholar] [CrossRef]
- Eizenberg, H.; Hershenhorn, J.; Ephrath, J.H.; Kanampiu, F. Chemical control. In Parasitic Orobanchaceae; Joel, D.M., Gressel, J., Musselman, L.J., Eds.; Springer: Berlin/Heidelberg, Germany, 2013; pp. 415–432. [Google Scholar]
- Cimmino, A.; Fernández-Aparicio, M.; Andolfi, A.; Basso, S.; Rubiales, D.; Evidente, A. Effect of fungal and plant metabolites on broomrapes (Orobanche and Phelipanche spp.) seed germination and radicle growth. J. Agric. Food Chem. 2014, 62, 10485–10492. [Google Scholar] [CrossRef]
- Fernández-Aparicio, M.; Cimmino, A.; Evidente, A.; Rubiales, D. Inhibition of Orobanche crenata seed germination and radicle growth by allelochemicals identified in cereals. J. Agric. Food Chem. 2013, 61, 9797–9803. [Google Scholar] [CrossRef] [Green Version]
- Dayan, F.E.; Duke, S.O. Natural compounds as next-generation herbicides. Plant Physiol. 2014, 166, 1090–1105. [Google Scholar] [CrossRef] [Green Version]
- Macías, F.A.; Molinillo, J.M.; Varela, R.M.; Galindo, J.C. Allelopathy—A natural alternative for weed control. Pest Manag. Sci. 2007, 63, 327–348. [Google Scholar] [CrossRef]
- Westwood, J.H.; Charudattan, R.; Duke, S.O.; Fennimore, S.A.; Marrone, P.; Slaughter, D.C.; Swanton, C.; Zollinger, R. Weed management in 2050: Perspectives on the future of weed science. Weed Sci. 2018, 66, 275–285. [Google Scholar] [CrossRef] [Green Version]
- Preston, R.E. Convolvulus. Jepson Flora Project. 2012. Available online: http://ucjeps.berkeley.edu/eflora/eflora_display.php?tid=11474 (accessed on 10 February 2022).
- Balicevic, R.; Ravlić, M.; Kneževic, M.; Serezlija, I. Allelopathic effect of field bindweed (Convolvulus arvensis L.) water extracts on germination and initial growth of maize. J. Anim. Plant Sci. 2014, 24, 1844–1848. [Google Scholar]
- Kazinczi, G.; Takacs, A.; Horvath, J. Crop-Weed Competition between sunflower (Helianthus annuus L.) and Convolvulus arvensis L. in substitutive experiments. Commun. Agric. Appl. Biol. Sci. 2006, 71, 781–786. [Google Scholar] [PubMed]
- Rahimzadeh, F.; Tobeh, A.; Jamaati-e-Somarin, S. Study of allelopathic effects of aqueous extracts of roots and seeds of goosefoot, red-root amaranth and field bindweed on germination and growth of lentil seedlings. Intl. J. Agron. Plant Prod. 2012, 3, 318–326. [Google Scholar]
- Shahrokhi, S.; Kheradmand, B.; Mehrpouyan, M.; Farboodi, M.; Akbarzaded, M. Effect of different concentrations of aqueous extract of bindweed, Convolvulus arvensis L. on initial growth of Abidar barley (Hordeum vulgare) cultivar in greenhouse. Int. Proc. Chem. Biol. Environ. Eng. 2011, 24, 474–478. [Google Scholar]
- Yarnia, M. Comparison of field bindweed (Convolvulus arvensis L.) and bermuda grass (Cynodon dactylon L.) organs residues on yield and yield components of bread wheat (Triticum aestivum L.). Adv. Environ. Biol. 2010, 4, 414–421. [Google Scholar]
- Om, H.; Dhiman, S.D.; Kumar, S.; Kumar, H. Allelopathic response of Phalaris minor to crop and weed plants in rice–wheat system. Crop Prot. 2002, 21, 699–705. [Google Scholar] [CrossRef]
- Fernández-Aparicio, M.; Cimmino, A.; Soriano, G.; Masi, M.; Vilariño, S.; Evidente, A. Assessment of weed root extracts for allelopathic activity against Orobanche and Phelipanche species. Phytopathol. Mediterr. 2021, 60, 455–466. [Google Scholar] [CrossRef]
- Tanaka, T.; Nakashima, T.; Ueda, T.; Tomii, K.; Kouno, I. Facile discrimination of aldose enantiomers by reversed-phase HPLC. Chem. Pharm. Bull. 2007, 55, 899–901. [Google Scholar] [CrossRef] [Green Version]
- Fan, B.Y.; Lu, Y.; Yin, H.; He, Y.; Li, J.L.; Chen, G.T. Arvensic Acids A-D, novel heptasaccharide glycosidic acids as the alkaline hydrolysis products of crude resin glycosides from Convolvulus arvensis. Fitoterapia 2018, 131, 209–214. [Google Scholar] [CrossRef]
- Fan, B.Y.; He, Y.; Lu, Y.; Yang, M.; Zhu, Q.; Chen, G.T.; Li, J.L. Glycosidic acids with unusual aglycone units from Convolvulus arvensis. J. Nat. Prod. 2019, 82, 1593–1598. [Google Scholar] [CrossRef] [PubMed]
- Lu, Y.; He, Y.; Yang, M.; Fan, B.Y. Arvensic Acids K and L, components of resin glycoside fraction from Convolvulus arvensis. Nat. Prod. Res. 2021, 35, 2303–2307. [Google Scholar] [CrossRef] [PubMed]
- Hegab, M.M.; Ghareib, H.R. Methanol extract potential of field bindweed (Convolvulus arvensis L.) for wheat growth enhancement. Int. J. Bot. 2010, 6, 334–342. [Google Scholar] [CrossRef] [Green Version]
- Lechat, M.M.; Pouvreau, J.B.; Péron, T.; Gauthier, M.; Montiel, G.; Véronési, C.; Todoroki, Y.; Le Bizec, B.; Monteau, F.; Macherel, D.; et al. PrCYP707A1, an ABA catabolic gene, is a key component of Phelipanche ramosa seed germination in response to the strigolactone analogue GR24. J. Exp. Bot. 2012, 63, 5311–5322. [Google Scholar] [CrossRef] [PubMed]
- Westwood, J.H.; Foy, C.L. Influence of nitrogen on germination and early development of broomrape (Orobanche spp.). Weed Sci. 1999, 47, 2–7. [Google Scholar] [CrossRef]
- Boulet, C.; Labrousse, P.; Arnaud, M.C.; Zehhar, N.; Fer, A. Weed species present various responses to Orobanche ramosa. In Proceedings of the Seventh International Parasitic Weed Symposium, Faculté des Sciences de Nantes, Nantes, France, 5–8 June 2001; pp. 228–231. [Google Scholar]
- Boulet, C.; Pineault, D.; Benharrat, H.; Simier, P.; Delavault, P. Adventices du colza et orobanche rameuse. Journée internationale sur la lutte contre les mauvaises herbes. In Proceedings of the AFPP-Vingtième Conférence du COLUMA, Dijon, France, 11–12 December 2007; pp. 326–345. [Google Scholar]
- León-Rivera, I.; Mirón-López, G.; Estrada-Soto, S.; Aguirre-Crespo, F.; Gutiérrez, M.; Molina-Salinas, G.M.; Hurtado, G.; Navarrete-Vázquez, G.; Montiel, E. Glycolipid ester-type heterodimers from Ipomoea tyrianthina and their pharmacological activity. Bioorg. Med. Chem. Lett. 2009, 19, 4652–4656. [Google Scholar] [CrossRef]
- León-Rivera, I.; Villeda-Hernández, J.; Campos-Peña, V.; Aguirre-Moreno, A.; Estrada-Soto, S.; Navarrete-Vázquez, G.; Rios, M.Y.; Aguilar-Guadarrama, B.; Castillo-España, P.; Rivera-Leyva, J.C. Evaluation of the neuroprotective activity of stansin 6, a resin glycoside from Ipomoea stans. Bioorg. Med. Chem. Lett. 2014, 24, 3541–3545. [Google Scholar] [CrossRef]
- Li, J.H.; Pan, J.T.; Yin, Y.Q. Two novel resin glycosides isolated from Ipomoea cairica with α-glucosidase inhibitory activity. Chin. J. Nat. Med. 2016, 14, 0227–0231. [Google Scholar] [CrossRef]
Publisher’s Note: MDPI stays neutral with regard to jurisdictional claims in published maps and institutional affiliations. |
© 2022 by the authors. Licensee MDPI, Basel, Switzerland. This article is an open access article distributed under the terms and conditions of the Creative Commons Attribution (CC BY) license (https://creativecommons.org/licenses/by/4.0/).



