Abstract
The present study aimed to investigate the nitrogen (N) and phosphorus (P) fertilization of continuous addition effects plant biomass, the physiological properties of leaves and the antioxi-dant enzyme activities of alfalfa (Medicago sativa L) in the northern Xinjiang region; including the no fertilization (CK), nitrogen fertilization (N, 120 kg·ha−1), phosphorus fertilization (with low amount of N) (P, 100 kg·ha−1 P and 23.5 kg·ha−1 N) and combined nitrogen and phosphorus fertilization (NP, 120 kg·ha−1 N and 100 kg·ha−1 P) on the K well supplied soil. After three consecutive years of the supply of N and P fertilization, samples were taken at the first flowering of alfalfa (four clippings in the total year) to determine its pigment concentration, stomatal aperture, antioxidant enzyme activity and hay yield. The results showed that NP fertilization promoted growth with a higher number of branches and hay yield of alfalfa, while N or P fertilization alone had a positive effect on the growth of alfalfa. However, P fertilization significantly increased the carotenoid (Car) content at the early flowering stage of alfalfa leaves (during four clippings) (p < 0.05), In addition, NP ferti-lization enhanced stomatal aperture, increased the antioxidant enzyme activity and decreased the oxidized substance at the early flowering stage of alfalfa leaves. The results showed that a N and P balance rather than an absolute amount of either enhanced the growth of alfalfa, and N or P fertili-zation affects physiological traits differently. We propose that NP fertilization increases the nutri-tional characteristics and physiological characteristics, enhancing the adaptive capacity of alfalfa and making it better adapted to external environmental changes.
1. Introduction
Over the past three decades, the issue of the excessive N content in soil has been increasing worldwide due to the irrational use of chemical fertilization and the rapid de-velopment of animal husbandry [1]. Plant growth was inhibited as a result of the excessive N content exacerbating soil acidification [2], significantly reducing biodiversity [3] and disrupting nutrient cycling within plants [4,5,6,7]. The crop yield of rice reduction resulted from high N content in the soil that led to the excessive uptake of the N element of plants, the dramatic soil acidification and plant physiological disorders [8]. Interestingly, apply-ing nitrogen or phosphate fertilization significantly increased the protein concentration [9] and affected the photosynthetic traits and grain yield of summer maize on soil with low P and high K [10]. Several factors (such as fertilizer stress and N or P limitation in soil) affect plants’ growth by N or P stress and limitation in soil. On the contrary, experiments with maize and wheat on the soil well-supplied with K, found remarkably small yield responses to applied N and high yields even when no N is applied. [11]. To reduce excessive N fertilizer input and to maintain soil sustainability, many N management strategies based on plant or soil nutrition diagnosis significantly decreased N fertilization rates and enhanced N use effi-ciency [12].
Photosynthesis is the basis of plant growth and development, determining dry mat-ter accumulation, crop yield and quality. Several studies have observed that the lack of N or P fertilization negatively affects plant photosynthesis [13,14,15]. Nitrogen is a major nutrient element for plant growth [16] and development due to its central role and presence in many biomolecules like protein, nucleic acid and chlorophyll [17]. A positive linear cor-relation between leaf N concentration and photosynthetic capacity has been established [15,18], but fewer studies have been conducted on the link between the leaf phosphorus concentration and photosynthetic rate. In addition, varieties of stomatal parameters, such as the size and density of stomatal structures, can also affect plant photosynthesis [19,20]. N fertilization enhances the nitrogen concentration of rice leaves [8], which is related to the nutritional conditions of the plant, the amount of nitrogen applied and the duration of nitrogen addition [21,22]. Phosphorus is directly involved in intracellular energy trans-fer and constitutes an essential component of the poplar’s metabolites [23]. Currently, the effect of the continuous application of N and P fertilization over the years on nutrient cycling in alfalfa leaves is still unclear. Thus, this study aims to investigate the effect of N and P fertilization on the growth performance of alfalfa. We measured alfalfa plant height; branch number; hay yield; chlorophyll (Chl); malondialdehyde (MDA) and proline (Pro) content and superoxide dismutase (SOD), catalase (CAT) and peroxidase (POD) activities to evaluate the effects of N and P on morphological, physiological and biochemical re-sponses of alfalfa in order to understand the response of alfalfa to N and P fertilization, and to improve the accuracy of predicting agricultural crop productivity. The experiment was conducted on perennial alfalfa to investigate the changes in agronomic parameters and photosynthetic physiological characteristics of alfalfa after three consecutive years of NP fertilization on the well-supplied K soil to address the following questions: (a) How do continuous nitrogen and phosphorus supply for three years affect the growth, hay yield and photosynthetic physiological characteristics at the early flowering stage of al-falfa? (b) How do nitrogen and phosphorus fertilization affect the stomatal aperture of leaves? (c) What is the effect of nitrogen and phosphorus fertilization on the photosyn-thetic pigment content and antioxidant enzyme activity of leaves at the early flowering stage of alfalfa compared to single fertilization?
2. Materials and Methods
2.1. Study Site Description and Experimental Design
The ‘WL366HQ’ alfalfa seeds were sown in April 2019. The crop was sown with a seed drill at a seed rate of 18 kg·ha−1 with a row spacing of 20 cm, the sowing depth was 2.0 cm and a plot area of 24 m2 (4 m×6 m). The dripper spacing of drip irrigation belt was 20 cm, and the irrigation water discharge of drip irrigation belt was 3.2 L·h−1 at Shihezi University Water-saving Irrigation Experiment Station, located in the plain part of the Xinjiang Province, Northwest China (44°20′ N, 88°30′ E, 450.8 m above sea level). The cli-mate is temperate continental, dry and with little rain. The average annual temperature is 7 °C, the frost-free period is 168~171 d, the annual precipitation is 190~260 mm, the annual evaporation is 1000~1500 mm and the average annual sunshine time is 2770 h. The specific physical and chemical properties of the soil are shown in Table 1.
Table 1.
The basic physical and chemical properties of soil.
The experiment had a completely randomized design on the soil well-supplied with K using four treatments of control (CK, with neither N nor P fertilization); N fertilization (N, 120 kg·ha−1 per plot); P fertilization (with low amount of N) (P, 100 kg·ha−1 P with 23.5 kg·ha−1 N per plot); and combined N and P fertilization (NP, 120 kg·ha−1 N and 100 kg·ha−1 P per plot, simultaneously) every one of them with three plots as replicates. N and P fer-tilization were supplied on four occasions during the whole experiment. Phosphorus was supplied as monoammonium phosphate (with a low amount of N) (52% P2O5, 12.2% total N, respectively) and N was supplied as urea (46% total N). After P fertilizer was applied, the imbalance in N treatments was balanced by the additional applications of N fertilizer to maintain the same N application rate in the different P treatments. The fertilizer was added to the fertilizer tank and applied together with water at the branching stage and 3−5 d after the first, second and third clippings. The fertilization application amount in each treatment were shown in Table 2.
Table 2.
Fertilization application amount in each treatment.
2.2. Determination of Physical and Chemical Properties of Soil
The total nitrogen, alkaline nitrogen, total phosphorus, available potassium and or-ganic matter were determined using the soil nutrient detector (DK-FTC, Shenzhen China). The alkaline nitrogen was determined using continuous alkali-hydrolyzed reduction dif-fusing method [24], and the bulk density was determined by the cutting ring method [25].
2.3. Plant Material and Growth Measurements
After three consecutive years of fertilization, plant samples were taken for analysis at the early flowering stage of alfalfa in 2021. Four clippings were taken throughout the year, all at the early flowering stage (10% blooming). Ten plants were selected for uniform growth and measured for plant height and number of branches (the height of alfalfa from the base of the stem to the top of the plant was measured with a straightedge, and the number of branches was counted from the base of the stem). The yield of alfalfa was meas-ured by taking a sample of 1 m × 1 m at the early flowering stage (10% blooming) and cutting four times a year. The alfalfa plants in the sample plot (cut to 5 cm) were cut with scissors and weighed, and the yield of fresh alfalfa forage was recorded three times for every treatment. Three samples of 300 g fresh alfalfa were taken back to the laboratory. The samples were first oven-dried at 105 °C for 30 min and then at 65 °C to a constant mass. The hay yield of alfalfa (kg·ha−1) was calculated for area on a dry mass basis.
2.4. Determination of Nitrogen and Phosphorus Contents
Total nitrogen (TN) was determined on an automatic Kjeldahl nitrogen analyzer (K9840, Hanon Co., Ltd., Qingdao, China) and the total phosphorus content of the leaves was deter-mined by the H2SO4–H2O2 decoction–molybdenum antimony anti-colorimetric method.
2.5. Determination of Stomatal Aperture
The nail polish blotting method was used to determine leaf stomatal aperture [26]. Five leaves of uniform length were randomly selected from each treatment for the deter-mination of stomatal aperture. The dust on the leaf surface was wiped off first, and then nail polish was applied evenly to the back of the leaf. After the nail polish dried naturally, the lower epidermis of the leaf was adhered with transparent tape to stick to the nail polish layer, and the tape was smoothed with fingers to make complete contact between the tape and nail polish without air bubbles, and the tape with the nail polish layer was torn off and then applied to the slide to make a temporary slide as the sample. The stomata were observed with an ML-800 light microscope (Olympus, MEIJI, Shanghai, China), and two fields of view were selected for each slide under 100 objective lenses. The number, length (longitudinal diameter, the length of the dumbbell-shaped guard cells) and width (transverse diameter, the widest value perpendicular to the dumbbell-shaped guard cells) of the stomata were measured. Finally, the stomatal aperture was calculated and the area of the stomata was measured to indicate the stomatal. The stomatal area was used to ex-press the stomatal aperture. Stomatal aperture = π·ab, where a = 1/2 stomatal longitudinal diameter and b = 1/2 stomatal transverse diameter.
2.6. Determination of Photosynthetic Pigment Content
The fresh leaves of alfalfa were taken, cut up (remove the midrib) and mixed well. Of the freshly cut samples, 0.2 g were weighed out, placed into a mortar, and a small amount of quartz sand and calcium carbonate powder was added; then, 3 mL of 95% ethanol was added and ground until homogeneous, then a further 10 mL of ethanol was added, and grinding was continued until the tissue turned white. One sheet of filter paper was placed in a funnel and moistened with ethanol, then the extract was poured into the funnel along the glass rod; filtered into a 25 mL brown volumetric flask; the mortar, rod and residue were rinsed several times with a small amount of ethanol; and, finally, the extract was poured into the funnel together with the residue. The ethanol was drawn up with a burette, and all the chloroplast pigments on the filter paper were washed into the volumetric flask until there was no green color in the filter paper and residue. The volume was fixed with ethanol into a 25 mL brown volumetric flask and shaken well. Finally, the chloroplast pigment extract was poured into a 1 cm optical diameter colorimetric cup. The absorbance values were measured at 470 nm, 663 nm and 645 nm wavelengths using a spectropho-tometer with 95% ethanol as blank. Chlorophyll a, chlorophyll b, carotenoids and total chlorophyll content were recorded as Ca, Cb, Car and Ct, respectively, and the photosyn-thetic pigment contents (mg·g−1) were calculated according to the following equations.
Ca = (13.95 × A665 − 6.88 × A649) × total amount of extract (L) × dilution times/leaf fresh weight (g);
Cb = (24.96 × A649 − 7.32 × A665) × total amount of extract (L) × dilution times/leaf fresh weight (g);
Car = [(1000 × A470 − 2.05 × Ca − 114.8 × Cb)/245] × total amount of extract (L) × dilution times/leaf fresh weight (g);
Ct = Ca + Cb
2.7. Determination of Antioxidant Indices
The 0.2 g of liquid nitrogen quick-frozen leaf samples were placed in a pre-cooled mortar, 2 mL of 50 mmol·L−1 pre-cooled phosphate buffer (pH 7.8) were added and the mixture was ground into a homogenate on an ice bath, transferred to a centrifuge tube and centrifuged at 12,000 r·min−1 for 20 min at 4 °C, the supernatant was then collected as enzyme solution. The activities of SOD and CAT activity and H2O2 content were deter-mined using the kits provided by Beijing Solabao Technology Co (Beijing, China). The POD activity and Pro content were determined using the kits provided by Nanjing Jiancheng Bioengineering Institute (Nanjing, China). After weighing 1 g of liquid nitrogen quick-frozen rice leaves and cutting, 2 mL of 10% trichloroacetic acid and a small amount of quartz sand were added and ground to a homogeneous mixture. The homogenate was centrifuged at 4000× g for 10 min, and the supernatant was used as the sample extract to determine the content of MDA utilizing the thiobarbituric acid method [27].
2.8. Statistical Analysis
Data were analyzed using IBM SPSS 22 Statistics (IBM Corp, Armonk, New York, USA) Sig-nificant differences between treatments were determined using Tukey’s test at p < 0.05. Pearson’s linear correlation between the nitrogen and phosphorus content of alfalfa leaves and agronomic traits and photosynthetic physiological parameters of the leaves was de-termined using Origin software (Origin 2021, Northampton, MA, USA). Factor analysis was used to comprehensively evaluate the effects of alfalfa hay yield and the photosynthetic physiological characteristics of leaves. In factor analysis, factors were extracted from se-lected variances using principal component analysis (PCA), which attempts to explain complex variances with a minimum number of factors to better explain these variables. With eigenvalue factors, a ≥ 1 variable in the data was retained, extracted in the order of the weights of each factor and plotted. Images were processed using Image Scope software (Aperio Image Scope 12.3.3, Vista, CA, USA) to measure leaf stomatal aperture.
3. Results
3.1. Effects of N and P Fertilization on Agronomic Parameters and Hay Yield of Alfalfa
There were significant nitrogen × phosphorus interactions for a number of branches, plant height and hay yield at the early flowering stage of alfalfa. Fertilization application increased the agronomic parameters (number of branches and hay yield) of alfalfa, and the effect of NP fertilization was significant (p < 0.05) at 22.9% and 24.1%, re-spectively (Figure 1), compared to the control (CK). The NP fertilization significantly af-fected the number of branches of alfalfa over N or P fertilization throughout the whole year (from four clippings); NP fertilization significantly affected plant height of alfalfa over N or P fertilization (p < 0.05). NP or P fertilization significantly increased hay yield of alfalfa (p < 0.05); furthermore, NP fertilization affected the hay yield at the early flow-ering stage of alfalfa with longer time than P fertilization (four clippings).
Figure 1.
Effect of nitrogen and phosphorus on agronomic parameters and hay yield of (A) the num-ber of branches, (B) plant height and (C) hay yield of alfalfa. Different letters above column indicate significant difference among treatments with different (p < 0.05).
3.2. Effects of N and P Fertilization on Nitrogen and Phosphorus Content of Alfalfa Leaves
There were significant nitrogen × phosphorus interactions for the total nitrogen and phosphorus content of leaves at the early flowering stage of alfalfa. The N or P ferti-lization had a significant effect on the N content of leaves, and the NP fertilization was significantly higher than the CK (p < 0.05) (Figure 2). Compared with the CK treatment, the nitrogen content of alfalfa leaves increased by 6.92%, 10.06% and 15.85% under N, P and NP fertilization treatment, respectively. The phosphorus content of alfalfa leaves un-der N or P fertilization was higher than that of CK (p < 0.05), and NP fertilization was significantly higher than that of CK (p < 0.05). The increase in the P content of alfalfa leaves under N, P and NP fertilization was 29.11%, 26.16% and 31.22%, respectively, compared to CK treatment, and NP was the highest. The NP fertilization affected the total nitrogen and phosphorus content of leaves at the early flowering stage of alfalfa during the whole year (from four clippings).
Figure 2.
Effect of nitrogen and phosphorus on total nitrogen and total phosphorus content of (A) total nitrogen content and (B) total phosphorus content of alfalfa leaves. Different letters above col-umn indicate significant difference among treatments with different (p < 0.05).
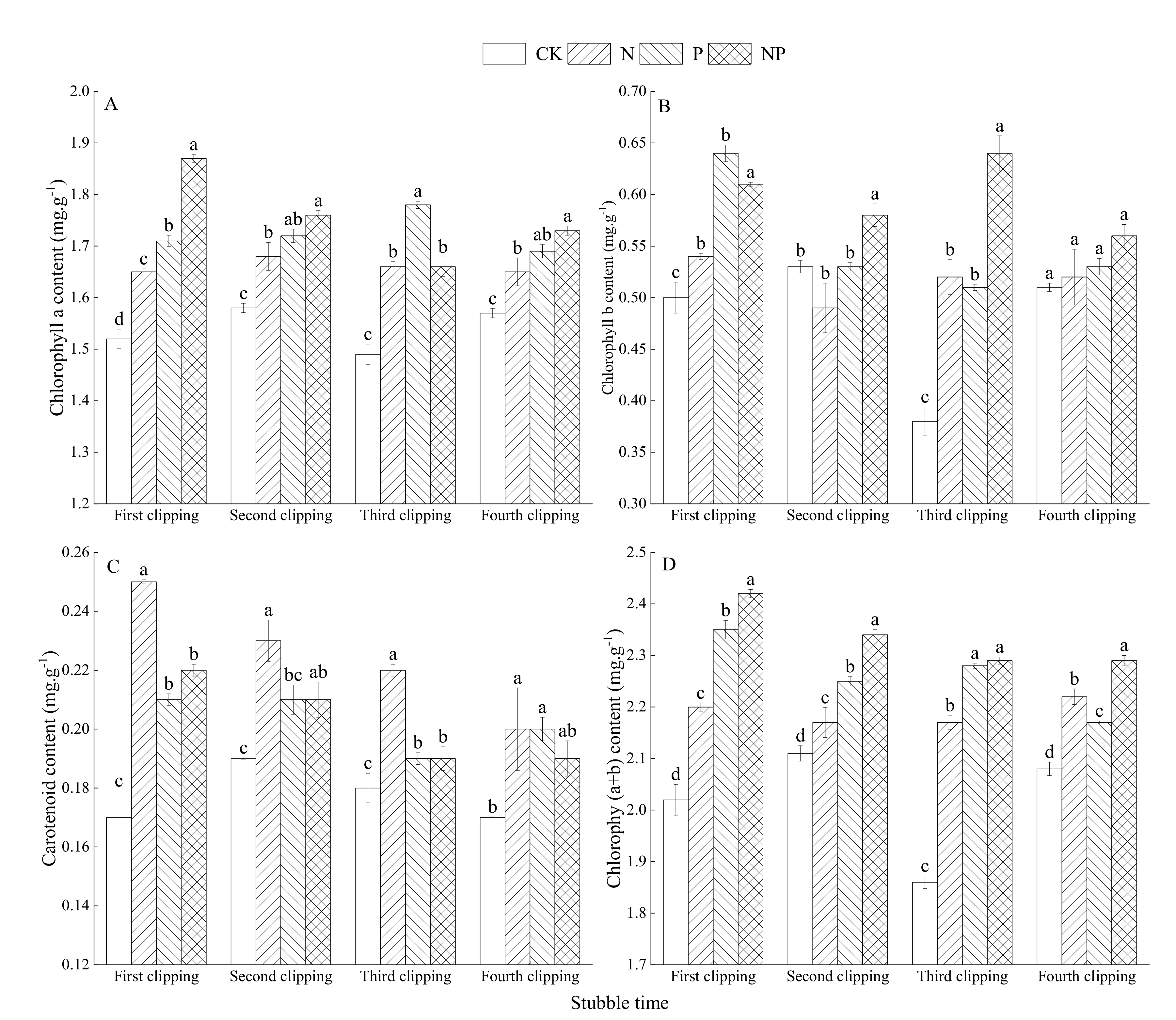
3.3. Effects of N and P Fertilization on Photosynthetic Pigment Content of Alfalfa Leaves
There were significant nitrogen × phosphorus interactions for the chlorophyll and carotenoid content of leaves at the early flowering stage of alfalfa. Fertilization treatments showed significant differences on alfalfa leaves, which corresponded to different chloro-phyll and carotenoid contents (Figure 3). Compared with CK, chlorophyll a and chloro-phyll b contents of leaves under NP fertilization were higher than CK (Figure 3A, B) and the difference was significant (p < 0.05). The carotenoid content of alfalfa leaves was high-est in N fertilization and significantly higher than CK (p < 0.05) (Figure 3C). Fertilization application increased the total chlorophyll content of alfalfa leaves, which was highest in the NP fertilization and significantly higher than CK (p < 0.05) (Figure 3D). The N fertili-zation alone significantly affected the carotenoid content of alfalfa leaves and maintained during the whole year (p < 0.05). However, NP fertilization only affected the carotenoid content of alfalfa leaves (in three clippings). The fertilization (N, P and NP) affected the total chlorophyll content of leaves of alfalfa throughout the whole year (four clippings).
Figure 3.
Effect of nitrogen and phosphorus on chlorophyll and carotenoid contents of (A) Chlorophyll a content, (B) chlorophyll b content, (C) carotenoid content and (D) chlorophyll (a + b) content of alfalfa leaves. Different letters above column indicate significant difference among treatments with different (p < 0.05).
3.4. Effects of N and P Fertilization on Stomatal Aperture of Alfalfa Leaves
There were significant nitrogen × phosphorus interactions for the stomatal aper-ture of leaves at the early flowering stage of alfalfa. Under normal growth conditions, NP fertilization increased the photosynthetic capacity of alfalfa leaves to some extent. The addition of either N or P fertilization increased the stomatal longitudinal and transverse diameter of alfalfa leaves (Figure 4), and the stomatal aperture was significantly higher (p < 0.05) in the NP fertilization than in the CK, at 30.6% (Table 3). Fertilization application (N, P and NP) increased the number of stomata of alfalfa leaves by 12.06%, 17.87% and 14.79%, respectively, and the P or NP fertilization had a more significant effect (p < 0.05). P fertilization affected the stomatal longitudinal and transverse diameter of alfalfa leaves throughout the whole year (four clippings), while NP fertilization had a shorter effect on stomatal longitudinal and transverse diameter. Fertilization (P and NP) increased the sto-matal aperture of leaves at the first flowering of alfalfa throughout the whole year (four clippings). However, the effect of P fertilization on the stomatal aperture of leaves was higher than that of NP fertilization.
Figure 4.
Leaf stomatal images of alfalfa leaves in the third clipping with different nitrogen and phosphorus. (A) shows CK, (B) shows N, (C) shows P and (D) shows NP. The magnification of stomatal images is 100.
Table 3.
Changes of stomatal density of alfalfa leaves under nitrogen and phosphorus treatment.
3.5. Effects of N and P Fertilization on Antioxidant Indices of Alfalfa Leaves
There were significant nitrogen × phosphorus interactions for the antioxidant en-zyme activities (SOD, POD and CAT) and oxidizing substances (MDA, H2O2 and Pro) of leaves at the early flowering stage of alfalfa. Antioxidant enzymes are essential in re-sponse to oxidative damage generated by environmental stresses. Compared with CK, N or NP fertilization significantly increased SOD and POD activities of alfalfa leaves (p < 0.05), and NP treatment was the highest (Figure 5A, B). The CAT activity of alfalfa leaves under NP fertilization was significantly higher than that of CK (p < 0.05) but the difference between fertilization treatments was not significant (Figure 5C). The SOD activity of al-falfa leaves was maximum in the first clipping, POD and CAT activities were maximum in the second clipping, and their enzyme activities were both minimum in the fourth clip-ping. The NP fertilization affected the antioxidant enzyme activities of alfalfa leaves throughout the whole year (four clippings). The P fertilization had a more prolonged ef-fect on the antioxidant enzyme activities of leaves than N fertilization.
Figure 5.
Effect of nitrogen and phosphorus treatments on antioxidant enzyme activity of (A) Super-oxide dismutase activity, (B) peroxidase activity and (C) catalase activity of alfalfa leaves. Different letters above column indicate significant difference among treatments with different (p < 0.05).
The changes in MDA, H2O2 and Pro contents in alfalfa leaves under different fertili-zation treatments tended to be consistent, with fertilization significantly reducing MDA and H2O2 contents of leaves (p < 0.05) (Figure 6A, B), and the lowest MDA and H2O2 con-tents were 2.32 and 1.12 umol·g−1, respectively, under NP fertilization compared to CK (p < 0.05) (Figure 6C), but the difference between fertilization was not significant (p > 0.05). Fertilization application affected the oxidative substances of alfalfa leaves throughout the whole year (four clippings), and the effect of NP fertilization was more significant (p < 0.05). Therefore, fertilization increases the antioxidant enzyme activity and decreases the content of the oxidized substances of leaves to make alfalfa better adapted to the environ-ment.
Figure 6.
Effect of nitrogen and phosphorus treatments on antioxidant content of (A) Malondialdehyde content, (B) hydrogen peroxide content and (C) proline content of alfalfa leaves. Different letters above column indicate significant difference among treatments with different (p < 0.05).
3.6. Effect of Nitrogen and Phosphorus on the Relationship between Leaf Physiological Factors and Alfalfa Hay Yield and Comprehensive Score
To comprehensively evaluate the relationship between nutrient properties (nitrogen and phosphorus content) and the photosynthetic parameters of leaves and hay yield at the early flowering stage of alfalfa, we assessed the effects of physicochemical properties, physiological factors and antioxidant factors of leaves on the hay yield of alfalfa by prin-cipal−coordinate analysis (PCoA) (Figure 7). Total nitrogen and phosphorus content and chlorophyll content of leaves were tightly correlated with the hay yield of alfalfa and malondialdehyde, hydrogen peroxide and proline content were negatively correlated with hay yield. The first and second axes explained 87.8% of the total variation, and the results showed that nitrogen and phosphorus content, chlorophyll content, POD activity and CAT activity were the five crucial physiological factors of leaves affecting the variation of the hay yield of alfalfa. The comprehensive evaluation showed that the highest score in photosynthetic physiological characteristics and antioxidant system of leaves under different fertilization treatments was NP treatment, and the lowest was CK.
Figure 7.
Relationship between leaf physiological factors and alfalfa hay yield under nitrogen and phosphorus treatments and its comprehensive evaluation.
3.7. Relationship between Leaf Nutrition and Growth Performance, Photosynthetic Physiological Properties and Antioxidant Capacity
To further analyze the relationship between agronomic traits, physiological parameters, antioxidant capacity and the nitrogen and phosphorus content of alfalfa leaves, correlation analysis was conducted on nitrogen and phosphorus content and chlorophyll, carotenoids and stomatal density. Pearson correlation analysis revealed that the nitrogen content of leaves was significantly positively correlated (p < 0.05) with growth traits (the number of branches, plant height and hay yield), physiological parameters (chlorophyll, stomatal length and stomatal aperture), and with antioxidant enzymes activity (SOD, POD and CAT) (p < 0.05) and oxidants content (MDA, H2O2 and Pro) (p < 0.05) (Figure 8). The phosphorus content was significantly positively correlated (p < 0.05) with growth traits (plant height and hay yield) and physiological parameters (chlorophyll, stomatal length and stomatal aperture); it was significantly positively correlated (p < 0.05) with the activities of antioxidant enzymes (SOD and POD) and negatively correlated (p < 0.05) with oxidants (MDA, H2O2 and Pro) (Figure 8).
Figure 8.
Correlation of physiological parameters, such as growth index and photosynthetic char-acteristics. Asterisks (* p < 0.05) indicate that there was significant difference.
4. Discussion
4.1. Agronomic Traits and Hay Yield of Alfalfa under NP Fertilization
Plant growth and development are limited by abiotic factors of the soil, which can be alleviated by fertilization results that promote plant growth and increase productivity [28]. A previous study reported that the proportion of above-ground and below-ground biomass parts from spruce seedlings has no correlation with the enhancement of nitrogen nutrition in soil [29]. In addition, researchers observed that the dry matter of alfalfa content in-creased, attributed to promoting the ground of alfalfa biomass through the addition of phosphorus [30]. N or P limitation in the soil resulted from the individual applications of N or P fertilization, which led to lower hay yields [31]. However, in the present study, different fertilization strategies enhanced the number of branches and the plant height, while NP fertilization increased the plant height and hay yield of alfalfa on the soil well-supplied with K. In addition, the investigation also revealed that NP fertilization highly increased the hay yield compared to single fertilization during the first flowering stage of alfalfa, probably since NP fertilization was better able to balance the N and P limited in the soil [23].
4.2. Nitrogen, Phosphorus and Photosynthetic Pigments Content of Alfalfa Leaves under NP Fertilization
Chlorophyll is the material basis for photosynthesis in plants and plays a vital role in capturing and transferring light energy [15]; carotenoids can scavenge free radicals pro-duced by photosynthesis in plants and prevent damage to cell membrane lipids and mem-brane proteins [32]. The decreased chlorophyll content was harmful to plant growth, re-sulting in obstacles to the photosynthetic capacity of the perennial ryegrass [32]. Leaf pho-tosynthesis of seedlings is positively correlated with the phosphorus content of the leaves, indicating that higher P fertilization can increase its photosynthesis [33]. Apart from that, other researchers have observed that the nitrogen concentration was positively correlated with the photosynthetic carbon assimilation rate of leaves [34] and determined the plant’s photosynthetic capacity [17]. The efficiency of nitrogen or phosphorus utilization in the soil is positively correlated with the ability of plants to adapt to external environmental changes [35]. According to the results of the present study, NP fertilization significantly increased nitrogen and phosphorus content and the carotenoid content of alfalfa leaves (in three clippings) compared to the control. Interestingly, N fertilization increased the carotenoid content of alfalfa leaves (in all four clipping); this discrepancy is likely due to the stress effect of soil-limiting factors on alfalfa leaves as a result of N or P limitation in the soil attributed to the long-term continuous application of N and P fertilization [22]. The nitrogen and phosphorus content and total chlorophyll content of alfalfa leaves were positively correlated, and nitrogen content had a higher effect on chlorophyll. Therefore, N or P fertilization can increase the amount of nitrogen and phosphorus content of leaves, increasing the photosynthetic rate [36], which indicates that the alfalfa leaves have better nutritional characteristics under NP fertilization conditions.
4.3. Stomata Aperture of Alfalfa Leaves under NP Fertilization
As a medium for gas exchange, stomata regulate gas exchange to optimize and bal-ance their photosynthetic performance between plants and the environment [37]. P ferti-lization was positively correlated with stomatal aperture and conductance and the water use efficiency of angiosperm leaves [26], suggesting that moderate amounts of P fertiliza-tion increase the stomatal aperture of plant leaves, which improves the adaptive capacity of plants [38]. The plants respond to environmental changes utilizing stomatal movements in external environmental stresses [39]. In a previous study, the photosynthetic rate of plants was related to the number of stomata and stomatal aperture and, to a certain extent, reflected the plant’s ability to adapt to its environment [40]. The present study showed that NP fertilization increased the stomatal length and width of alfalfa leaves, enhancing their stomatal aperture, which increased the photosynthetic capacity of the leaves. In ad-dition, the effect of P fertilization on the stomatal aperture was higher than that of NP fertilization. The results suggested that NP fertilization slowed down or offset the N and P limitation on the soil caused by years of continuous fertilization application, which enhances the ability to adapt to the environment and avoid damage to alfalfa by other limiting factors.
4.4. Antioxidant Enzymes, Oxidizing Substance and Proline of Alfalfa Leaves under NP Fertilization
The antioxidant system in plants mainly consists of two defense and protection sys-tems: enzymes, such as SOD, POD and CAT, and non-enzymes, such as glutathione and ascorbic acid. Stress conditions accelerate the synthesis of reactive oxygen species and free radicals in barley seedlings, disrupting the balance between free radicals and antioxidant enzymes [41], causing the production of large amounts of oxidized substances (MDA, H2O2) that cannot be removed in time, resulting in damage to the cell membrane system and the peroxidation of the plasma membrane. SOD activity is related to the decomposi-tion and catalysis of superoxide anions, while POD can act on the conversion of H2O2 into water and oxygen to protect the plant from damage by free radicals [42,43]. In this study, N or P fertilization significantly increased the SOD, POD and CAT activities of alfalfa leaves, and the antioxidant enzyme activities of leaves under NP fertilization treatments were higher than those of single fertilization (Figure 5A–C). Adding NP fertilization could alleviate the damage caused by N or P stress in the soil for alfalfa compared to N or P fertilization. Under adversity or stress conditions, plants tend to undergo the peroxidation of membrane lipids, and malondialdehyde is the end product of membrane lipid peroxi-dation—its level can reflect the degree of plant damage to some extent [44]—and proline improves the maintenance of osmotic pressure balance in the inner and outer cell space to avoid stress-induced damage to the plant [45]. In this study, N or P fertilization reduced the oxidative material content of alfalfa leaves (Figure 6A–C), and leaf MDA and H2O2 contents were lower under NP fertilization than single N or P fertilization. The result sug-gests that NP fertilization increases the antioxidant enzyme activities and the oxidizing substance content of leaves of alfalfa. However, different NP fertilization strategies en-hanced the photosynthetic capacity of alfalfa in high K soil, stimulated the enhancement of antioxidant enzyme activities in the plant, accelerated the progress of free radical scav-enging, and improved its defense capacity, which in turn eliminated and inhibited the damage to the plant from the adverse stress conditions.
5. Conclusions
The present study discovered that different NP fertilization strategies improved the number of branches and hay yield at the early flowering stage of alfalfa on the soil well-supplied with K. In addition, the photosynthetic rate enhancement result from NP fertili-zation promoted the production of the carotenoid and chlorophyll content and increased the stomatal aperture, while P fertilization increased the carotenoid content of alfalfa leaves. The investigation also revealed that combining N and P fertilization is more effi-cient in enhancing the antioxidant enzyme activity of the leaves and reducing the content of oxidizing substances, improving the adaptation of alfalfa to the environment and re-ducing ecological stress.
Author Contributions
Conceptualization, Q.Z. and C.M.; software, K.Y.; validation, J.Z. and R.H.; formal analysis, J.Z.; data curation, Q.Z. and J.Z.; writing—original draft preparation, J.Z.; visuali-zation, J.Z.; supervision, Q.Z.; funding acquisition, Q.Z. All authors have read and agreed to the published version of the manuscript.
Funding
National Natural Science Foundation of China, Grant/Award Number: 32001400; Fok Ying Tung Education Foundation of China, Grant/Award Number: 171099; Science and Technology Innovation Key Talent Project of Xinjiang Production and Construction Corps, Grant/Award Num-ber: 2021CB034 and China Agriculture Research System of MOF and MARA.
Institutional Review Board Statement
Not applicable.
Informed Consent Statement
Not applicable.
Data Availability Statement
The raw data supporting the conclusions of this article will be made available by the authors without undue reservation.
Conflicts of Interest
The authors declare no conflict of interest.
References
- Yu, G.R.; Jia, Y.L.; He, N.P.; Zhu, J.X.; Chen, Z.; Wang, Q.W.; Piao, S.L.; Liu, X.J.; He, H.; Guo, X.B.; et al. Stabilization of Atmospheric Nitrogen Deposition in China over the Past Decades. Nat. Geosci. 2019, 6, 424–429. [Google Scholar] [CrossRef]
- Lu, X.K.; Mao, Q.G.; Gilliam, F.S.; Luo, Y.Q.; Mo, J.M. Nitrogen Deposition Contributes to Soil Acidification in Tropical Ecosystems. Glob. Chang. Biol. 2014, 12, 3790–3801. [Google Scholar] [CrossRef] [PubMed]
- Bai, Y.F.; Wu, J.G.; Clark, C.M.; Naeem, S.; Pan, Q.M.; Huang, J.H.; Zhang, L.X.; Han, X.G. Tradeoffs and Thresholds in the Effects of Nitrogen Addition on Biodiversity and Ecosystem Functioning: Evidence from Inner Mongolia Grasslands. Glob. Chang. Biol. 2010, 16, 358–372. [Google Scholar] [CrossRef]
- Lu, X.T.; Reed, S.; Yu, Q.; He, N.P.; Wang, Z.W. Convergent Responses of Nitrogen and Phosphorus Resorption to Nitrogen Inputs in a Semiarid Grassland. Glob. Chang. Biol. 2013, 19, 2775–2784. [Google Scholar] [CrossRef] [PubMed]
- Li, L.; Gao, X.P.; Li, X.Y.; Lin, L.S.; Zeng, F.J.; Gui, D.W.; Lu, Y. Nitrogen (N) and Phosphorus (P) Resorption of Two Dominant Alpine Perennial Grass Species in Response to Contrasting N and P Availability. Environ. Exp. Bot. 2016, 127, 37–44. [Google Scholar] [CrossRef]
- Li, Y.; Niu, S.L.; Yu, G.R. Aggravated Phosphorus Limitation on Biomass Production under Increasing Nitrogen Loading: A Meta-Analysis. Glob. Chang. Biol. 2016, 22, 934–943. [Google Scholar] [CrossRef] [PubMed]
- Yu, Q.; Chen, Q.S.; Elser, J.J.; He, N.P.; Wu, H.H.; Zhang, G.M.; Wu, J.G.; Bai, Y.F.; Han, X.G. Linking Stoichiometric Homoeostasis with Ecosystem Structure, Functioning and Stability. Ecol. Lett. 2010, 13, 1390–1399. [Google Scholar] [CrossRef]
- Qiao, J.; Yang, L.Z.; Yan, T.M.; Xue, F.; Zhao, D. Nitrogen Fertilizer Reduction in Rice Production for Two Consecutive Years in the Taihu Lake Area. Agric. Ecosyst. Environ. 2012, 146, 103–112. [Google Scholar] [CrossRef]
- Lkhagvasuren, B.; Schoenau, J.J.; Anderson, D.W.; Malhi, S.S. Plant and soil responses to nitrogen and phosphorus fertilization of bromegrass-dominated haylands in Saskatchewan, Canada. Grass Forage Sci. 2011, 66, 351–360. [Google Scholar] [CrossRef]
- Liu, Z.; Gao, J.; Gao, F.; Liu, P.; Zhao, B.; Zhang, J.W. Photosynthetic Characteristics and Chloroplast Ultrastructure of Summer Maize Response to Different Nitrogen Supplies. Front. Plant Sci. 2018, 9, 57. [Google Scholar] [CrossRef] [PubMed]
- Zhang, S.L.; Gao, P.C.; Tong, Y.A.; Norse, D.; Lu, Y.L.; Powlson, D. Overcoming Nitrogen Fertilizer Over-Use through Technical and Advisory Approaches: A Case Study from Shaanxi Province, Northwest China. Agric. Ecosyst. Environ. 2015, 209, 89–99. [Google Scholar] [CrossRef]
- Zhao, S.C.; Qiu, S.J.; Cao, C.Y.; Zheng, C.L.; Zhou, W.; He, P. Responses of Soil Properties, Microbial Community and Crop Yields to Various Rates of Nitrogen Fertilization in a Wheat-Maize Cropping System in North-Central China. Agric. Ecosyst. Environ. 2014, 194, 29–37. [Google Scholar] [CrossRef]
- Boyce, R.L.; Larson, J.R.; Sanford, R.L. Phosphorus and Nitrogen Limitations to Photosynthesis in Rocky Mountain Bristlecone Pine (Pinas Aristata) in Colorado. Tree Physiol. 2006, 26, 1477–1486. [Google Scholar] [CrossRef] [PubMed] [Green Version]
- Kant, S.; Bi, Y.M.; Rothstein, S.J. Understanding Plant Response to Nitrogen Limitation for the Improvement of Crop Nitrogen Use Efficiency. J. Exp. Bot. 2011, 62, 1499–1509. [Google Scholar] [CrossRef] [PubMed] [Green Version]
- Zhang, S.; Jiang, H.; Zhao, H.X.; Korpelainen, H.; Li, C.Y. Sexually Different Physiological Responses of Populus Cathayana to Nitrogen and Phosphorus Deficiencies. Tree Physiol. 2014, 34, 343–354. [Google Scholar] [CrossRef] [PubMed] [Green Version]
- Luo, J.; Qin, J.J.; He, F.F.; Li, H.; Liu, T.X.; Polle, A.; Peng, C.H.; Luo, Z.B. Net Fluxes of Ammonium and Nitrate in Association with H+ Fluxes in Fine Roots of Populus Popularis. Planta 2013, 237, 919–931. [Google Scholar] [CrossRef] [PubMed]
- Gusewell, S. N:P Ratios in Terrestrial Plants: Variation and Functional Significance. New Phytol. 2004, 164, 243–266. [Google Scholar] [CrossRef]
- Takashima, T.; Hikosaka, K.; Hirose, T. Photosynthesis or Persistence: Nitrogen Allocation in Leaves of Evergreen and Deciduous Quercus Species. Plant Cell Environ. 2004, 27, 1047–1054. [Google Scholar] [CrossRef]
- Lu, Y.J.; Duursma, R.A.; Farrior, C.E.; Medlyn, B.E.; Feng, X. Optimal Stomatal Drought Response Shaped by Competition for Water and Hydraulic Risk Can Explain Plant Trait Covariation. New Phytol. 2019, 225, 1206–1217. [Google Scholar] [CrossRef]
- Sack, L.; Scoffoni, C.; John, G.P.; Poorter, H.; Mason, C.M.; Mendez-Alonzo, R.; Donovan, L.A. Leaf Mass per Area Is Independent of Vein Length per Area: Avoiding Pitfalls When Modelling Phenotypic Integration (reply to Blonder et al. 2014). J. Exp. Bot. 2014, 65, 5115–5123. [Google Scholar] [CrossRef] [PubMed] [Green Version]
- Hao, T.X.; Song, L.; Goulding, K.; Zhang, F.S.; Liu, X.J. Cumulative and Partially Recoverable Impacts of Nitrogen Addition on a Temperate Steppe. Ecol. Appl. 2018, 28, 237–248. [Google Scholar] [CrossRef] [PubMed]
- Lue, X.T.; Cui, Q.; Wang, Q.B.; Han, X.G. Nutrient Resorption Response to Fire and Nitrogen Addition in a Semi-Arid Grassland. Ecol. Eng. 2011, 37, 534–538. [Google Scholar] [CrossRef]
- Gan, H.H.; Jiao, Y.; Jia, J.B.; Wang, X.L.; Li, H.; Shi, W.G.; Peng, C.H.; Polle, A.; Luo, Z.B. Phosphorus and Nitrogen Physiology of Two Contrasting Poplar Genotypes When Exposed to Phosphorus and/or Nitrogen Starvation. Tree Physiol. 2016, 36, 22–38. [Google Scholar] [CrossRef] [Green Version]
- Lu, R.K. Soil Agricultural Chemistry Analysis Method; Agricultural Scientech Press: Beijing, China, 1999; pp. 150–152. [Google Scholar]
- Zhou, X.Q.; Li, H.W.; He, J.; Wang, Q.J.; Zhang, X.R. Design of multi-segment in situ soil sampler testing bulk density. Trans. Chin. Soc. Agric. Eng. 2008, 24, 127–130. [Google Scholar]
- Xiong, H.; Ma, C.E.; Li, L.; Zeng, H.; Guo, D.I. Stomatal Characteristics of Ferns and Angiosperms and Their Responses to Changing Light Intensity at Different Habitats. Chin. J. Plant Ecol. 2014, 38, 868–877. [Google Scholar] [CrossRef]
- Zhao, X.; Feng, B.H.; Chen, T.T.; Zhang, C.X.; Tao, L.X.; Fu, G.F. Transcriptome Analysis of Pale-Green Leaf Rice Reveals Photosynthetic Regulatory Pathways. Acta Physiol. Plant. 2017, 39, 274. [Google Scholar] [CrossRef]
- Li, J.Y.; Guo, Q.X.; Zhang, J.X.; Korpelainen, H.; Li, C.Y. Effects of Nitrogen and Phosphorus Supply on Growth and Physiological Traits of Two Larix Species. Environ. Exp. Bot. 2016, 130, 206–215. [Google Scholar] [CrossRef]
- Rasse, D.P. Nitrogen Deposition and Atmospheric CO2 Interactions on Fine Root Dynamics in Temperate Forests: A Theoretical Model Analysis. Glob. Chang. Biol. 2002, 8, 486–503. [Google Scholar] [CrossRef]
- Liu, J.Y.; Hui, J.F.; Sun, M.Y.; Liu, X.S.; Lu, W.H.; Ma, C.H.; Zhang, Q.B. Effects of Phosphorus Application and Inoculation Arbuscular Mycorrhizae Fungi (AMF) and Phosphate Solubilizing Bacteria on Dry Matter Yield and Phosphorus Use Efficiency of Alfalfa. Trans. Chin. Soc. Agric. Eng. 2020, 36, 142–149. [Google Scholar] [CrossRef]
- Marklein, A.R.; Houlton, B.Z. Nitrogen Inputs Accelerate Phosphorus Cycling Rates across a Wide Variety of Terrestrial Ecosystems. New Phytol. 2012, 193, 696–704. [Google Scholar] [CrossRef]
- Xu, H.S.; Zhu, L.; Mei, Y. Effects of High Levels of Nitrogen and Phosphorus on Perennial Ryegrass (Lolium Perenne L.) and Its Potential in Bioremediation of Highly Eutrophic Water. Environ. Sci. Pollut. Res. 2020, 28, 9475–9483. [Google Scholar] [CrossRef]
- Thompson, J.B.; Slot, M.; Dalling, J.W.; Winter, K.; Turner, B.L.; Zalamea, P.C. Species-Specific Effects of Phosphorus Addition on Tropical Tree Seedling Response to Elevated CO2. Funct. Ecol. 2019, 33, 1871–1881. [Google Scholar] [CrossRef]
- Wright, I.J.; Reich, P.B.; Cornelissen, J.H.C.; Falster, D.S.; Garnier, E.; Hikosaka, K.; Lamont, B.B.; Lee, W.; Oleksyn, J.; Osada, N.; et al. Assessing the Generality of Global Leaf Trait Relationships. New Phytol. 2005, 166, 485–496. [Google Scholar] [CrossRef] [PubMed]
- Aerts, R.; Chapin, F.S.; Fitter, A.H.; Raffaelli, D.G. The Mineral Nutrition of Wild Plants Revisited: A Re-Evaluation of Processes and Patterns. Adv. Ecol. Res. 2000, 30, 1–67. [Google Scholar] [CrossRef]
- Sun, J.G.; Liu, C.C.; Hou, J.H.; He, N.P. Spatial Variation of Stomatal Morphological Traits in Grassland Plants of the Loess Plateau. Ecol. Indic. 2021, 128, 107857. [Google Scholar] [CrossRef]
- Chaerle, L.; Saibo, N.; Straeten, D. Tuning the Pores: Towards Engineering Plants for Improved Water Use Efficiency. Trends Biotechnol. 2005, 23, 308–315. [Google Scholar] [CrossRef] [PubMed]
- Lu, W.Y.; Fang, K.; Bian, H.W.; Zhu, M.Y. Advances in Stomatal Development and Its Regulation Factors. Plant Physiol. Commun. 2015, 52, 782–788. [Google Scholar] [CrossRef]
- Chen, T.T.; Fu, W.M.; Yu, J.; Feng, B.H.; Li, G.Y.; Fu, G.F.; Tao, L.X. The Photosynthesis Characteristics of Colored Rice Leaves and Its Relation with Antioxidant Capacity and Anthocyanin Content. Sci. Agric. Sin. 2022, 55, 467–478. [Google Scholar] [CrossRef]
- Sanita, d.T.L.; Pawlik-Skowronska, B.; Vurro, E.; Vattuone, Z.; Kalinowska, R.; Restivo, F.M.; Musetti, R.; Skowronski, T. First and Second Line Mechanisms of Cadmium Detoxification in the Lichen Photobiont Trebouxia Impressa (Chlorophyta). Environ. Pollut. 2008, 151, 280–286. [Google Scholar] [CrossRef]
- Zhang, X.Q.; Tong, T.; Tian, B.; Fang, Y.X.; Pan, J.J.; Zheng, J.J.; Xue, D. Physiological, Biochemical and Molecular Responses of Barley Seedlings to Aluminum Stress. Phyton-Int. J. Exp. Bot. 2019, 88, 253–260. [Google Scholar] [CrossRef]
- Ahmad, H.; Hayat, S.; Ali, M.; Liu, T.; Cheng, Z.H. The Combination of Arbuscular Mycorrhizal Fungi Inoculation (Glomus Versiforme) and 28-Homobrassinolide Spraying Intervals Improves Growth by Enhancing Photosynthesis, Nutrient Absorption, and Antioxidant System in Cucumber (Cucumis Sativus L.) under Salinity. Ecol. Evol. 2018, 8, 5724–5740. [Google Scholar] [CrossRef] [PubMed]
- Hajiboland, R.; Aliasgharzadeh, N.; Laiegh, S.F.; Poschenrieder, C. Colonization with Arbuscular Mycorrhizal Fungi Improves Salinity Tolerance of Tomato (Solanum Lycopersicum L.) Plants. Plant Soil 2010, 331, 313–327. [Google Scholar] [CrossRef]
- Xue, J.R.; Pang, T.; Liu, J.G. Changes in the Temperature Tolerance Profile of Gracilariopsis Lemaneiformis from the Perspective of Photosynthesis, Respiration, and Biochemical Markers after Many Years of Vegetative Propagation. J. Appl. Phycol. 2022, 34, 1045–1058. [Google Scholar] [CrossRef]
- Lei, P.; Xu, Z.Q.; Liang, J.F.; Luo, X.H.; Zhang, Y.X.; Feng, X.H.; Xu, H. Poly (Gamma-Glutamic Acid) Enhanced Tolerance to Salt Stress by Promoting Proline Accumulation in Brassica Napus L. Plant Growth Regul 2016, 78, 233–241. [Google Scholar] [CrossRef]
Publisher’s Note: MDPI stays neutral with regard to jurisdictional claims in published maps and institutional affiliations. |
© 2022 by the authors. Licensee MDPI, Basel, Switzerland. This article is an open access article distributed under the terms and conditions of the Creative Commons Attribution (CC BY) license (https://creativecommons.org/licenses/by/4.0/).







