Physiological Changes and Yield Components of Safflower (Carthamus tinctorius L.) Lines as a Function of Water Deficit and Recovery in the Flowering Phase
Abstract
1. Introduction
2. Material and Methods
2.1. Description of the Experimental Area
2.2. Soil Water Retention Curve, Irrigation Management, and Soil Water Content Monitoring
2.3. Experimental Design, Treatments, and Plant Material
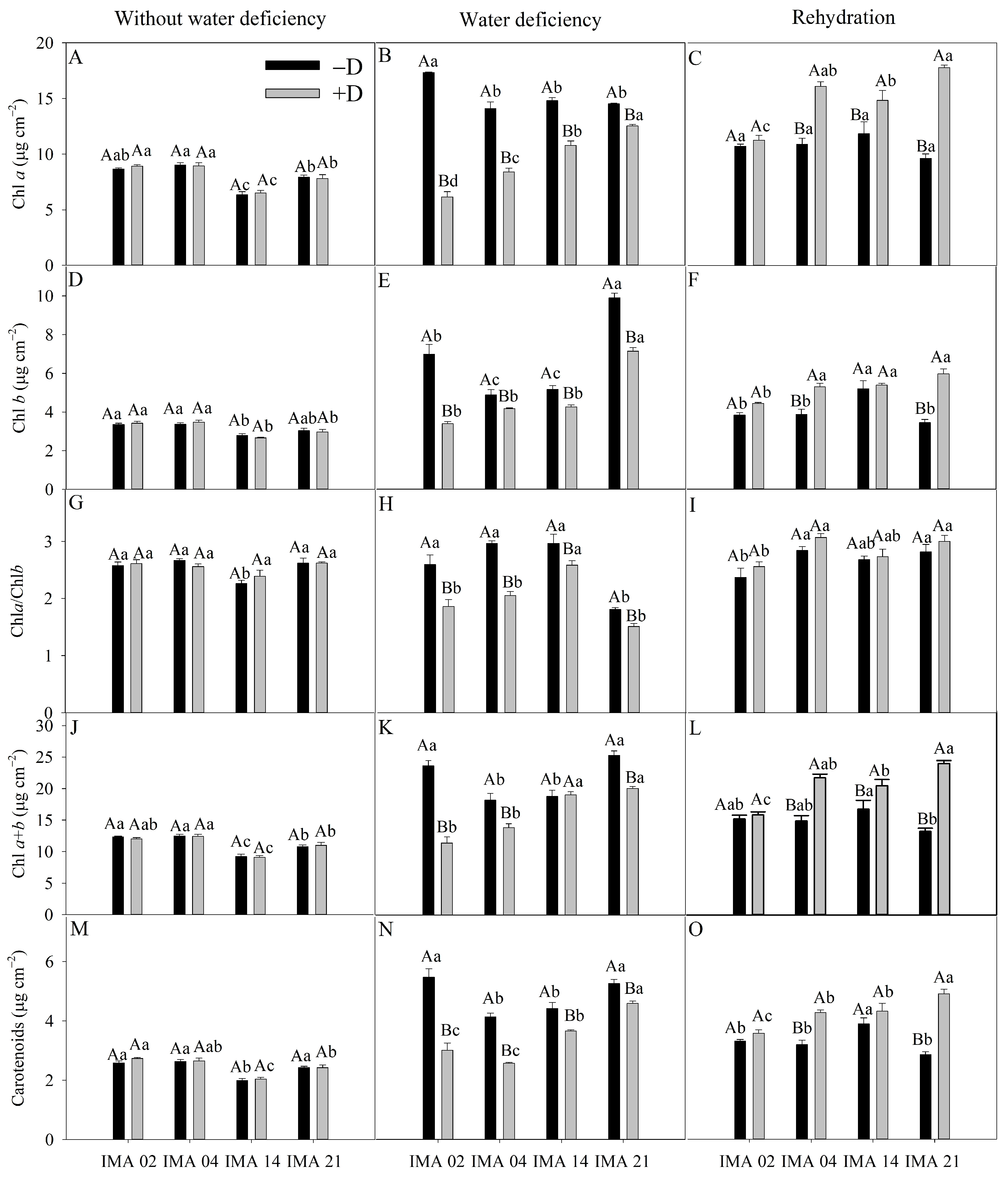
2.4. Physiological Traits
2.5. Yield Components
2.6. Statistical Analysis
3. Results
3.1. Physiological Traits
3.2. Yield Components
4. Discussion
5. Conclusions
Author Contributions
Funding
Institutional Review Board Statement
Informed Consent Statement
Data Availability Statement
Acknowledgments
Conflicts of Interest
References
- Queiroga, V.P.; Girão, E.G.; Albuquerque, E.M.B. Cártamo (Carthamus tinctorius L.): Tecnologias de plantio e utilização; AREPB: Campina Grande, Brazil, 2021. [Google Scholar]
- Santos, J.C.C.; Silva, D.M.R.; Amorim, D.J.; Sab, M.P.V.; Silva, M.A. Glyphosate hormesis mitigates the effect of water deficit in safflower (Carthamus tinctorius L.). Pest Manag. Sci. 2021, 77, 2029–2044. [Google Scholar] [CrossRef]
- Bortolheiro, F.P.; Silva, M.A. Physiological response and productivity of safflower lines under water deficit and rehydration. An. Acad. Bras. Cien. 2017, 89, 3051–3066. [Google Scholar] [CrossRef] [PubMed]
- Oliveira, A.J. A cultura do Carthamus tinctorius L.: Principais usos e variabilidade genética. Res. Soc. Dev. 2021, 10, 2. [Google Scholar] [CrossRef]
- Silva, D.M.R.; Santos, J.C.C.D.; Sab, M.P.V.; Silva, M.A. Morpho-physiological and nutritional responses of safflower as a function of potassium doses. J. Plant Nutr. 2021, 44, 1903–1915. [Google Scholar] [CrossRef]
- Ramos, A.R.; Bassegio, D.; Nakagawa, J.; Zanotto, M.D. Harvest times and seed germination of three safflower genotypes. Cien. Rural 2021, 51, e20200606. [Google Scholar] [CrossRef]
- Hussain, M.I.; Lyra, D.-A.; Farooq, M.; Nikoloudakis, N.; Khalid, N. Salt and drought stresses in safflower: A review. Agron. Sustain. Dev. 2016, 36, 4. [Google Scholar] [CrossRef]
- Lovelli, S.; Perniola, M.; Ferrara, A.; Di Tommaso, T. Yield response factor to water (Ky) and water use efficiency of Carthamus tinctorius L. and Solanum melongena L. Agric. Water Manag. 2007, 92, 73–80. [Google Scholar] [CrossRef]
- Singh, S.; Angadi, S.V.; Grover, K.; Begna, S.; Auld, D. Drought response and yield formation of spring safflower under different water regimes in the semi-arid Southern High Plains. Agric. Water Manag. 2016, 163, 354–362. [Google Scholar] [CrossRef]
- Santos, R.F.; Bassegio, D.; Silva, M.A. Productivity and production components of safflower genotypes affected by irrigation at phenological stages. Agric. Water Manag. 2017, 186, 66–74. [Google Scholar] [CrossRef]
- Shahrokhnia, M.H.; Sepaskhah, A.R. Physiologic and agronomic traits in safflower under various irrigation strategies, planting methods and nitrogen fertilization. Ind. Crops Prod. 2017, 95, 126–139. [Google Scholar] [CrossRef]
- Mohammadi, M.; Ghassemi-Golezani, K.; Chaichi, M.R.; Safikhani, S. Seed oil accumulation and yield of safflower affected by water supply and harvest time. Agron. J. 2018, 110, 586–593. [Google Scholar] [CrossRef]
- Yeloojeh, K.A.; Saeidi, G.; Ehsanzadeh, P. Effectiveness of physiological traits in adopting safflower (Carthamus tinctorius L.) genotypes to water deficit condition. Int. J. Plant Prod. 2020, 14, 155–164. [Google Scholar] [CrossRef]
- Daryanto, S.; Wang, L.; Jacinthe, P.A. Global synthesis of drought effects on maize and wheat production. PLoS ONE 2016, 11, e0156362. [Google Scholar] [CrossRef] [PubMed]
- Karas, E. The effect of deficit irrigation applied in different phenological periods on safflower yield and quality. Appl. Ecol. Environ. Res. 2020, 18, 1755–1769. [Google Scholar] [CrossRef]
- Soren, K.R.; Ali, K.; Tyagi, V.; Tyagi, A. Recent advances in molecular breeding of drought tolerance in rice (Oryza sativa L.). Indian J. Biotechnol. 2010, 9, 233–251. Available online: https://hdl.handle.net/123456789/9881 (accessed on 15 December 2022).
- Foster, K.; Lambers, H.; Real, D.; Ramankutty, P.; Cawthray, G.R.; Ryan, M.H. Drought resistance and recovery in mature Bituminaria bituminosa var. albomarginata. Ann. Appl. Biol. 2015, 166, 154–169. [Google Scholar] [CrossRef]
- Hu, L.; Wang, Z.; Huang, B. Diffusion limitations and metabolic factors associated with inhibition and recovery of photosynthesis from drought stress in a C3 perennial grass species. Physiol. Plant. 2010, 139, 93–106. [Google Scholar] [CrossRef] [PubMed]
- Shi, J.; Yasuor, H.; Yermiyahu, U.; Zuo, Q.; Ben-Gal, A. Dynamic responses of wheat to drought and nitrogen stresses during re-watering cycles. Agric. Water Manag. 2014, 146, 163–172. [Google Scholar] [CrossRef]
- Oddo, E.; Abbate, L.; Inzerillo, S.; Carimi, F.; Motisi, A.; Sajeva, M.; Nardini, A. Water relations of two Sicilian grapevine cultivars in response to potassium availability and drought stress. Plant Physiol. Biochem. 2020, 148, 282–290. [Google Scholar] [CrossRef]
- Ashraf, M.; Harris, P.J.C. Photosynthesis under stressful environments: An overview. Photosynthetica 2013, 51, 163–190. [Google Scholar] [CrossRef]
- Servani, M.; Mobasser, H.R.; Ganjali, H.R. Influence of drought stress on photosynthetic, radical oxygen, respiration, assimilate partitioning, activities of enzymes, phytohormones and essential oils in crop plants. Int. J. Biosci. 2014, 5, 223–236. [Google Scholar]
- Chaves, M.M.; Pereira, J.S.; Maroco, J.; Rodrigues, M.L.; Ricardo, C.P.P.; Osrio, M.L.; Carvalho, I.; Faria, T.; Pinheiro, C. How plants cope with water stress in the field? Photosynthesis and growth. Ann. Bot. 2002, 89, 907–916. [Google Scholar] [CrossRef] [PubMed]
- Feller, U. Drought stress and carbon assimilation in a warming climate: Reversible and irreversible impacts. J. Plant Physiol. 2016, 203, 84–94. [Google Scholar] [CrossRef] [PubMed]
- Hojati, M.; Modarres-Sanavy, S.; Karimi, M.; Ghanati, F. Responses of growth and antioxidant systems in Carthamus tinctorius L. under water deficit stress. Acta Physiol. Plant. 2011, 33, 105–112. [Google Scholar] [CrossRef]
- Eslam, B.P. Evaluation of physiological indices for improving water deficit tolerance in spring safflower. J. Agric. Sci. Technol. 2011, 13, 327–338. [Google Scholar]
- Mohammadi, M.; Ghassemi-Golezani, K.; Zehtab-Salmasi, S.; Nasrollahzade, S. Assessment of some physiological traits in spring safflower (Carthamus tinctorius L.) cultivars under water stress. Int. J. Life Sci. 2016, 10, 58–64. [Google Scholar] [CrossRef]
- Nazar, Z.; Akram, N.A.; Saleem, M.H.; Ashraf, M.; Ahmed, S.; Ali, S.; Alsahli, A.A.; Alyemeni, M.N. Glycinebetaine-Induced Alteration in Gaseous Exchange Capacity and Osmoprotective Phenomena in Safflower (Carthamus tinctorius L.) under Water Deficit Conditions. Sustainability 2020, 12, 10649. [Google Scholar] [CrossRef]
- Kazemeini, S.A.; Mohamadi, S.; Pirastehanosheh, H. Growth and photosynthesis responses of safflower cultivars to water stress at two developmental stages. Biol. Forum Int. J. 2015, 7, 923–929. [Google Scholar]
- Amini, H.; Arzani, A.; Bahrami, F. Seed yield and some physiological traits of safflower as affected by water deficit stress. Int. J. Plant Prod. 2013, 7, 597–614. [Google Scholar]
- Chavoushi, M.; Najafi, F.; Salimi, A.; Angaji, S.A. Effect of salicylic acid and sodium nitroprusside on growth parameters, photosynthetic pigments and secondary metabolites of safflower under drought stress. Sci. Hortic. 2020, 259, 108823. [Google Scholar] [CrossRef]
- Salem, N.; Msaada, K.; Dhifi, W.; Sriti, J.; Mejri, H.; Limam, F.; Marzouk, B. Effect of drought on safflower natural dyes and their biological activities. EXCLI J. 2014, 13, 1–18. [Google Scholar]
- Aeini, M.; Abad, H.H.S.; Yousefidad, M.; Heravan, E.M.; Madani, H. Effect of seed priming on morphological and biochemical characteristics of safflower (Carthamus tinctorius L.) under drought stress. Crop Res. 2018, 53, 45–52. [Google Scholar] [CrossRef]
- Nepomuceno, A.L.; Neumaier, N.; Farias, J.R.B.; Oya, T. Tolerância à seca em plantas: Mecanismos fisiológicos e moleculares. Biotecnolog. Cien. Desenvolv. 2001, 23, 12–18. [Google Scholar]
- Bahrami, F.; Arzani, A.; Karimi, V. Evaluation of yield-based drought tolerance indices for screening safflower genotypes. Agron. J. 2014, 106, 1219–1224. [Google Scholar] [CrossRef]
- Wei, B.; Hou, K.; Zhang, H.; Wang, X.; Wu, W. Integrating transcriptomics and metabolomics to studies key metabolism, pathways and candidate genes associated with drought-tolerance in Carthamus tinctorius L., under drought stress. Ind. Crops Prod. 2020, 151, 112465. [Google Scholar] [CrossRef]
- Nogueira, R.J.; Mansur, C.; Moraes, J.A.P.D.; Burity, H.A.; Bezerra Neto, E. Alterações na resistência à difusão de vapor das folhas e relações hídricas em aceroleiras submetidas a déficit de água. Braz. J. Plant Physiol. 2001, 13, 75–87. [Google Scholar] [CrossRef]
- Masupiemang, M.; Emongor, V.E.; Malambane, G. A review of drought tolerance in Safflower. Int. J. Plant Soil Sci. 2022, 34, 140–149. [Google Scholar] [CrossRef]
- Santos, H.G.; Jacomine, P.K.T.; Anjos, L.; Oliveira, V.; Lumbreras, J.F.; Coelho, M.R.; Almeida, J.; Araujo Filho, J.; Oliveira, J.; Cunha, T.J.F. Sistema Brasileiro de Classificação de Solos; Embrapa: Brasília, Brazil, 2018. [Google Scholar]
- Ambrosano, E.J.; Tanaka, R.T.; Mascarenhas, H.A.A. Leguminosas e Oleaginosas. In Recomendações de Calagem e Adubação Para o Estado de São Paulo; van Raij, B., Cantarella, H., Quaggio, J.A., Furlani, A.M.C., Eds.; Instituto Agronômico de Campinas: São Paulo, Brazil, 1997; pp. 187–204. [Google Scholar]
- Van Genuchten, M.T. A closed-form equation for predicting the hydraulic conductivity of unsaturated soils. Soil Sci. Soc. Am. J. 1980, 44, 892–898. [Google Scholar] [CrossRef]
- Gomes, E.R.; Broetto, F.; Queluz, J.G.T.; Bressan, D.F. Efeito da fertirrigação com potássio sobre o solo e produtividade do morangueiro. Irriga 2015, 1, 107–122. [Google Scholar] [CrossRef][Green Version]
- Jamaux, I.; Steinmetz, A.; Belhassen, E. Looking for molecular and physiological markers of osmotic adjustment in sunflower. New Phytol. 1997, 137, 117–127. [Google Scholar] [CrossRef]
- Campos, P.S.; Thi, A.T.P. Effect of abscisic acid pretreatment on membrane leakage and lipid composition of Vigna unguiculata leaf discs subjected to osmotic stress. Plant Sci. 1997, 130, 11–18. [Google Scholar] [CrossRef]
- Wellburn, A.R. The spectral determination of chlorophylls a and b, as well as total carotenoids, using various solvents with spectrophotometers of different resolution. J Plant Physiol. 1994, 144, 307–313. [Google Scholar] [CrossRef]
- Kramer, D.M.; Avenson, T.J.; Edwards, G.E. Dynamic flexibility in the light reactions of photosynthesis governed by both electron and proton transfer reactions. Trends Plant Sci. 2004, 9, 349–357. [Google Scholar] [CrossRef] [PubMed]
- Genty, B.; Briantais, J.M.; Baker, N.R. The relationship between the quantum yield of photosynthetic electron transport and quenching of chlorophyll fluorescence. Biochim. Biophys. Acta Gen. Subj. 1989, 990, 87–92. [Google Scholar] [CrossRef]
- Bilger, W.; Schreiber, U.; Bock, M. Determination of the quantum efficiency of photosystem II and non-photochemical quenching of chlorophyll fluorescence in the field. Oecologia 1995, 102, 425–432. [Google Scholar] [CrossRef]
- Yang, X.; Lu, M.; Wang, Y.; Wang, Y.; Liu, Z.; Chen, S. Response Mechanism of Plants to Drought Stress. Horticulturae 2021, 7, 50. [Google Scholar] [CrossRef]
- Singh, S.; Angadi, S.V.; Hilaire, R.S.; Grover, K.; Van Leeuwen, D.M. Spring safflower performance under growth stage based irrigation in the Southern High Plains. Crop Sci. 2016, 56, 1878–1889. [Google Scholar] [CrossRef]
- Eslam, B.P. Some Eco-physiological and Agronomic Responses of Several Salinity Tolerant Safflower Varieties to Water Deficit Stress. J. Agric. Sci. Sustain. Prod. 2020, 30, 145–155. [Google Scholar]
- Wang, J.; Zhang, X.; Han, Z.; Feng, H.; Wang, Y.; Kang, J.; Han, X.; Wang, L.; Wang, C.; Li, H.; et al. Analysis of Physiological Indicators Associated with Drought Tolerance in Wheat under Drought and Re-Watering Conditions. Antioxidants 2022, 11, 2266. [Google Scholar] [CrossRef]
- Yang, Y.; Han, C.; Liu, Q.; Lin, B.; Wang, J. Effect of drought and low light on growth and enzymatic antioxidant system of Picea asperata seedlings. Acta Physiol Plant. 2008, 30, 433–440. [Google Scholar] [CrossRef]
- Langaro, A.C.; Nohatto, M.A.; Perboni, L.T.; Tarouco, C.P.; Agostinetto, D. Alterações fisiológicas na cultura do tomateiro devido à deriva simulada de herbicidas. Rev. Bras. Herb. 2014, 13, 40–46. [Google Scholar] [CrossRef]
- Torres Neto, A.; Campostrini, E.; Oliveira, J.G.; Smith, R.E.B. Photosynthetic pigments, nitrogen, chlorophyll a fluorescence and SPAD-502 readings in coffee leaves. Sci. Hortic. 2005, 104, 199–209. [Google Scholar] [CrossRef]
- Bajji, M.; Kinet, J.M.; Lutts, S. The use of the electrolyte leakage method for assessing cell membrane stability as a water stress tolerance test in durum wheat. Plant Growth Regul. 2002, 36, 61–70. [Google Scholar] [CrossRef]
- Reyes, S.M.R.; Hoyos, G.R.; Ferreira Júnior, D.C.; Cecílio Filho, A.B.; Fonseca, L.P.M. Physiological response of Physalis peruviana L. seedlings inoculated with Funneliformis mosseae under drought stress. Rev. Cien. Agrar. 2019, 4, 175–183. [Google Scholar] [CrossRef]
- Sosnowski, J.; Truba, M. Photosynthetic activity and chlorophyll pigment concentration in Medicago x varia T. Martyn leaves treated with the Tytanit growth regulator. Saudi J. Biol. Sci. 2021, 28, 4039–4045. [Google Scholar] [CrossRef] [PubMed]
- Farooq, M.; Wahid, A.; Kobayashi, N.; Fujita, D.; Basra, S.M.A. Plant drought stress: Effects, mechanisms and management. Agron. Sustain. Dev. 2009, 29, 185–212. [Google Scholar] [CrossRef]
- Araújo, S.A.C.; Deminicis, B.B. Fotoinibição da fotossíntese. Rev. Bras. Biocienc. 2009, 7, 463–472. [Google Scholar]
- Hassan, M.A.L.; Fuertes, M.M.; Sanchez, F.J.R.; Vicente, O.; Boscaiu, M. Effects of salt and water stress on plant growth and on accumulation of osmolytes and antioxidant compounds in cherry tomato. Not. Bot. Horti. Agrobo. 2015, 43, 1–11. [Google Scholar] [CrossRef]
- Urban, L.; Aarrouf, J.; Bidel, L.P.R. Assessing the Effects of Water Deficit on Photosynthesis Using Parameters Derived from Measurements of Leaf Gas Exchange and of Chlorophyll a Fluorescence. Front. Plant Sci. 2017, 8, 2068. [Google Scholar] [CrossRef]
- Golkar, P.; Hamzeh, E.; Maibody, S.A.M.; Taghizadeh, M. Safflower’s (Carthamus tinctorius L.) physio-biochemical mechanisms to improve its drought tolerance. Acta Physiol. Plant. 2021, 43, 82. [Google Scholar] [CrossRef]
- Silva, D.M.R.; Santos, J.C.C.; Rosa, V.R.; Santos, A.L.F.; Silva, M.A. Tolerance to water defciency in safflower (Carthamus tinctorius L.) modulated by potassium fertilization. Acta Physiol. Plant. 2022, 44, 99. [Google Scholar] [CrossRef]
- Wahid, A. Physiological implications of metabolite biosynthesis for net assimilation and heat-stress tolerance of sugarcane (Saccharum officinarum) sprouts. J. Plant Res. 2007, 120, 219–228. [Google Scholar] [CrossRef]
- Yadav, S.K.; Khatri, K.; Rathore, M.S.; Jha, B. Introgression of UfCyt c6, a thylakoid lumen protein from a green seaweed Ulva fasciata Delile enhanced photosynthesis and growth in tobacco. Mol. Biol. Rep. 2018, 45, 1745–1758. [Google Scholar] [CrossRef]
- Khatri, K.; Rathore, M.S. Photosystem photochemistry, prompt and delayed fluorescence, photosynthetic responses and electron flow in tobacco under drought and salt stress. Photosynthetica 2019, 57, 61–74. [Google Scholar] [CrossRef]
- Steele, M.R.; Gitelson, A.A.; Rundquist, D.C. A comparison of two techniques for nondestructive measurement of chlorophyll content in grapevine leaves. Agron. J. 2008, 100, 779–782. [Google Scholar] [CrossRef]
- Houborg, R.; Fisher, J.B.; Skidmore, A.K. Advances in remote sensing of vegetation function and traits. Int. J. Appl. Earth Obs. Geoinf. 2015, 43, 1–6. [Google Scholar] [CrossRef]
- Carter, A.G.; Spiering, B.A. Optical properties of intact leaves for estimating chlorophyll concentration. J. Environ. Qual. 2002, 31, 1424–1432. [Google Scholar] [CrossRef] [PubMed]
- Parveen, A.; Saleem, M.H.; Kamran, M.; Haider, M.Z.; Chen, J.-T.; Malik, Z.; Rana, M.S.; Hassan, A.; Hur, G.; Javed, M.T. Effect of Citric Acid on Growth, Ecophysiology, Chloroplast Ultrastructure, and Phytoremediation Potential of Jute (Corchorus capsularis L.) Seedlings Exposed to Copper Stress. Biomolecules 2020, 10, 592. [Google Scholar] [CrossRef] [PubMed]
- Saleem, M.H.; Ali, S.; Kamran, M.; Iqbal, N.; Azeem, M.; Tariq Javed, M.; Ali, Q.; Zulqurnain Haider, M.; Irshad, S.; Rizwan, M. Ethylenediaminetetraacetic Acid (EDTA) Mitigates the Toxic Effect of Excessive Copper Concentrations on Growth, Gaseous Exchange and Chloroplast Ultrastructure of Corchorus capsularis L. and Improves Copper Accumulation Capabilities. Plants 2020, 9, 756. [Google Scholar] [CrossRef]
- Carvalho, M.H.C. Drought stress and reactive oxygen species: Production, scavenging and signaling. Plant Signal. Behav. 2008, 3, 156–165. [Google Scholar] [CrossRef]
- Guo, X.Y.; Zhangl, X.S.; Huang, Z.Y. Drought tolerance in three hybrid poplar clones submitted to different watering regimes. J. Plant Ecol. 2010, 3, 79–87. [Google Scholar] [CrossRef]
- Ronchi, C.P.; Araújo, F.C.; Almeida, W.L.; Silva, M.A.A.; Magalhães, C.E.O.; Oliveira, L.B.; Drumond, L.C.D. Respostas ecofisiológicas de cafeeiros submetidos ao déficit hídrico para concentração da florada no Cerrado de Minas Gerais. Pesqui. Agropecu. Bras. 2015, 50, 24–32. [Google Scholar] [CrossRef]
- Picoli-Junior, G.J.; Carbonari, C.A.; Matos, A.K.A.; Rodrigues, L.F.O.S.; Velini, E.D. Influence of glyphosate on susceptible and resistant ryegrass populations to herbicide. Planta Daninha 2017, 35, e017163391. [Google Scholar] [CrossRef]
- Santaniello, A.; Scartazza, A.; Gresta, F.; Loreti, E.; Biasone, A.; Di Tommaso, D.; Piaggesi, A.; Perata, P. Ascophyllum nodosum seaweed extract alleviates drought stress in Arabidopsis by afecting photosynthetic performance and related gene expression. Front. Plant Sci. 2017, 8, 1362. [Google Scholar] [CrossRef]
- Machado, E.C.; Schmidt, P.T.; Medina, C.L.; Ribeiro, R.V. Respostas da fotossíntese de três espécies de citros a fatores ambientais. Pesqui. Agropecu. Bras. 2005, 40, 1161–1170. [Google Scholar] [CrossRef]
- Mathobo, R.; Marais, D.; Steyn, J.M. The effect of drought stress on yield; leaf gaseous exchange and chlorophyll fuorescence of dry beans (Phaseolus vulgaris L.). Agric. Water Manag. 2017, 80, 118–125. [Google Scholar] [CrossRef]
- Maxwell, K.; Johnson, G.N. Chlorophyll fluorescence—A practical guide. J. Exp. Bot. 2000, 51, 659–668. [Google Scholar] [CrossRef] [PubMed]
- Snider, J.L.; Collins, G.D.; Whitaker, J.; Perry, C.D.; Chastain, D.R. Electron transport through photosystem II is not limited by a wide range of water deficit conditions in field-grown Gossypium hirsutum. J. Agron. Crop Sci. 2014, 200, 77–82. [Google Scholar] [CrossRef]
- Kalaji, H.M.; Jajoo, A.; Oukarroum, A.; Brestic, M.; Zivcak, M.; Samborska, I.A.; Cetner, M.D.; Lukasik, I.; Goltsev, V.; Ladle, R.J. Chlorophyll a fluorescence as a tool to monitor physiological status of plants under abiotic stress conditions. Acta Physiol. Plant. 2016, 38, 102. [Google Scholar] [CrossRef]
- Pastenes, C.; Pimentel, P.; Lillo, J. Leaf movements and photoinhibition in relation to water stress in field-grown beans. J. Exp. Bot. 2005, 56, 425–433. [Google Scholar] [CrossRef]
- Flexas, J.; Bota, J.; Escalona, J.M.; Sampol, B.; Medrano, H. Effects of drought on photosynthesis in grapevines under field conditions: An evaluation of stomatal and mesophyll limitations. Funct. Plant Biol. 2002, 29, 461–471. [Google Scholar] [CrossRef]
- Govindjee. On the requirement of minimum number of four versus eight quanta of light for the evolution of one molecule of oxygen in photosynthesis: A historical note. Photosynth. Res. 1999, 59, 249–254. [Google Scholar] [CrossRef]
- Souza, R.P.; Machado, E.C.; Silva, J.A.B.; Lagôa, A.M.M.A.; Silveira, J.A.G. Photosynthetic gas exchange, chlorophyll fluorescence and some associated metabolic changes in cowpea (Vigna unguiculata) during water stress and recovery. Environ. Exp. Bot. 2004, 51, 45–56. [Google Scholar] [CrossRef]
- Papageorgiou, G.C.; Govindjee. Chlorophyll a Fluorescence: A Signature of Photosynthesis; Springer: Dordrecht, The Netherlands, 2004. [Google Scholar]
- Mota, C.S.; Cano, M.A.O. Respostas fisiológicas de plantas jovens de macaúba a condições de seca cíclica. Pesq. Flor. Bras. 2016, 36, 225–234. [Google Scholar] [CrossRef]
- Falqueto, A.R.; Cassol, D.; Júnior, A.M.M.; Oliveira, A.C.; Bacarin, M.A. Características da fluorescência da clorofila em cultivares de arroz com ciclo precoce, médio e tardio. Rev. Bras. Biocienc. 2007, 5, 579–581. [Google Scholar]
- Kalaji, H.M.; Rastogi, A.; Zivcak, M.; Brestic, M.; Daszkowska-Golec, A.; Sitko, K.; Alsharafa, K.Y.; Lofti, R.; Stypinski, P.; Samborska, I.A.; et al. Prompt chlorophyll fluorescence as a tool for crop phenotyping: An example of barley landraces exposed to various abiotic stress factors. Photosynthetica 2018, 56, 953–961. [Google Scholar] [CrossRef]
- Lokstein, H.; Renger, G.; Götze, J.P. Photosynthetic Light-Harvesting (Antenna) Complexes—Structures and Functions. Molecules 2021, 26, 3378. [Google Scholar] [CrossRef] [PubMed]
- Veres, S.; Tóth, V.R.; Láposi, R.; Oláh, V.; Lakatos, G.; Mészáros, I. Carotenoid composition and photochemical activity of four sandy grassland species. Photosynthetica 2006, 44, 255–261. [Google Scholar] [CrossRef]
- Pontasch, S.; Fisher, P.L.; Krueger, T.; Dove, S.; Hoegh-Guldberg, O.; Leggat, W.; Davy, S.K. Photoacclimatory and photoprotective responses to cold versus heat stress in high latitude reef corals. J. Phyc. 2017, 53, 308–321. [Google Scholar] [CrossRef] [PubMed]
- Peloso, A.F.; Tatagiba, S.D.; Reis, E.F.; Pezzopane, J.E.M.; Amaral, J.F.T. Limitações fotossintéticas em folhas de cafeeiro arábica promovidas pelo déficit hídrico. Coffee Sci. 2017, 12, 389–399. [Google Scholar] [CrossRef]
- Camas, N.; Çirak, C.; Esendal, E. Seed yield, oil content and fatty acids composition of safflower (Carthamus tinctorius L.) grown in northern Turkey conditions. Anadolu Tarım Bilim. Derg. 2007, 22, 98–104. [Google Scholar]
- Loghmani, S.M.T.T.; Bazrafshan, F.; Alizadeh, O.; Amiri, B.; Bahrani, A. Influence of cut-off irrigation on seed quality and physiological indices of various safflower (Carthamus tinctorius L.) genotypes. Acta Agrobot. 2019, 72, 4. [Google Scholar] [CrossRef]
- Joshan, Y.; Sani, B.; Jabbari, H.; Mozafari, H.; Moaveni, P. The effect of late season drought stress on some morphophysiological characteristics of Iranian safflower varieties in Karaj region. Environ. Stress. Crop Sci. 2020, 13, 1093–1104. [Google Scholar] [CrossRef]
- Movahhedy-Dehnavy, M.; Modarres-Sanavy, S.A.M.; Mokhtassi-Bidgoli, A. Foliar application of zinc and manganese improves seed yield and quality of safflower (Carthamus tinctorius L.) grown under water deficit stress. Ind. Crops Prod. 2009, 30, 82–92. [Google Scholar] [CrossRef]
- Heydarian, M.; Moghadam, H.R.T.; Hassanpour, J.; Zahedi, H. Effect of boron foliar application and irrigation withholding on yield and yield components of safflower. Res. Crops 2012, 13, 166–173. [Google Scholar] [CrossRef]
- Sun, C.; Gao, X.; Chen, X.; Fu, J.; Zhang, Y. Metabolic and growth responses of maize to successive drought and re-watering cycles. Agric. Water Manag. 2016, 172, 62–73. [Google Scholar] [CrossRef]








| pH | OM | P Resin | Na | H + Al | K | Ca | Mg | SB | CEC | V |
| CaCl2 | g dm–3 | mg dm–3 | mmolcdm–3 | % | ||||||
| 6.5 | 29 | 88 | 0.1 | 10 | 0.7 | 110 | 28 | 138 | 148 | 93 |
| B | Cu | Fe | Mn | Zn | ||||||
| mg dm–3 | ||||||||||
| 0.19 | 0.7 | 30 | 0.8 | 2.2 | ||||||
| Sand | Silt | Clay | Soil Texture Medium | |||||||
| g dm–3 | ||||||||||
| 682 | 61 | 257 | ||||||||
| Sources of Variation | F Values | ||||||||
|---|---|---|---|---|---|---|---|---|---|
| Ψleaf | RWC | EL | Chl a | Chl b | Chl a + b | Chl a/Chl b | Carotenoids | ||
| Without water deficiency | Water regime (Wr) | 0.03 ns | 0.29 ns | 0.15 ns | 0.14 ns | 0.00 ns | 0.15 ns | 0.08 ns | 1.19 ns |
| Lines (L) | 2.53 ns | 57.70 ** | 1.82 ns | 51.09 ** | 24.22 ** | 49.18 ** | 8.97 ** | 39.31 ** | |
| Wr × L | 0.01 ns | 0.63 ns | 0.06 ns | 0.34 ns | 0.65 ns | 0.25 ns | 1.04 ns | 0.57 ns | |
| Water deficiency | Water regime (Wr) | 137.12 ** | 69.06 ** | 244.65 ** | 564.42 ** | 131.51 ** | 544.92 ** | 34.69 ** | 127.67 ** |
| Lines (L) | 3.69 * | 8.84 ** | 19.03 ** | 18.50 ** | 117.08 ** | 69.75 ** | 42.81 ** | 28.67 ** | |
| Wr × L | 3.16 * | 3.64 * | 12.90 ** | 66.83 ** | 16.67 ** | 52.02 ** | 13.21 ** | 12.03 ** | |
| Rehydration | Water regime (Wr) | 20.80 ** | 0.14 ns | 10.63 ** | 100.33 ** | 57.68 ** | 97.03 ** | 0.59 ns | 78.84 ** |
| Lines (L) | 18.64 ** | 3.55 * | 9.54 ** | 9.05 ** | 9.38 ** | 7.22 ** | 8.46 ** | 6.78 * | |
| Wr × L | 4.14 * | 4.72 ** | 9.05 ** | 14.69 ** | 10.83 ** | 14.98 ** | 0.28 ns | 14.04 ** | |
| Sources of Variation | F Values | ||||||
|---|---|---|---|---|---|---|---|
| A | E | gs | Ci | WUE | CE | ||
| Without water deficiency | Water regime (Wr) | 0.00 ns | 0.00 ns | 0.00 ns | 0.00 ns | 0.00 ns | 0.00 ns |
| Lines (L) | 3.49 * | 7.63 ** | 16.81 ** | 10.78 ** | 12.81 ** | 1.67 ns | |
| Wr × L | 0.00 ns | 0.00 ns | 0.00 ns | 0.00 ns | 0.00 ns | 0.00 ns | |
| Water deficiency | Water regime (Wr) | 126.80 ** | 246.36 ** | 455.09 ** | 90.09 ** | 29.68 ** | 4.98 * |
| Lines (L) | 16.09 ** | 26.12 ** | 8.78 ** | 17.69 ** | 0.51 ns | 27.14 ** | |
| Wr × L | 3.69 * | 4.54 ** | 6.36 * | 3.96 * | 3.05 * | 3.00 * | |
| Rehydration | Water regime (Wr) | 7.43 ** | 1.57 ns | 0.06 ns | 3.48 * | 3.34 ns | 24.24 ** |
| Lines (L) | 12.98 ** | 4.41 ** | 7.86 ** | 0.58 ns | 3.42 * | 17.56 ** | |
| Wr × L | 5.68 ** | 4.16 * | 3.05 * | 2.26 ns | 1.87 ns | 9.63 ** | |
| Sources of Variation | F Values | |||||||
|---|---|---|---|---|---|---|---|---|
| Fv/Fm | φPSII | ETR | qP | NQP | Y(NQP) | Y(NO) | ||
| Without water deficiency | Water regime (Wr) | 0.00 ns | 0.00 ns | 0.00 ns | 2.54 ns | 0.00 ns | 0.00 ns | 0.00 ns |
| Lines (L) | 3.19 * | 0.99 ns | 1.00 ns | 0.00 ns | 17.87 ** | 8.74 ** | 14.69 ** | |
| Wr × L | 0.00 ns | 0.00 ns | 0.00 ns | 0.00 ns | 0.00 ns | 0.00 ns | 0.00 ns | |
| Water deficiency | Water regime (Wr) | 32.10 ** | 19.24 ** | 38.57 ** | 2.39 ns | 12.89 ** | 32.64 ** | 4.78 * |
| Lines (L) | 6.88 ** | 11.55 ** | 17.50 ** | 1.28 ns | 1.77 ns | 12.68 ** | 1.46 ns | |
| Wr × L | 10.38 ** | 4.53 * | 3.40 * | 5.16 ** | 8.78 ** | 7.16 ** | 6.34 ** | |
| Rehydration | Water regime (Wr) | 1.61 ns | 0.79 ns | 0.01 ns | 0.93 ns | 0.04 ns | 0.22 ns | 0.22 ns |
| Lines (L) | 1.73 ns | 1.59 ns | 3.05 * | 1.41 ns | 16.70 ** | 1.28 ns | 2.91 * | |
| Wr × L | 0.61 ns | 0.06 ns | 1.40 ns | 0.95 ns | 1.95 ns | 0.08 ns | 0.40 ns | |
| Sources of Variation | F Values | |||
|---|---|---|---|---|
| NC | 100 GM (g) | Yield (g plant−1) | HI (g g−1) | |
| Water regime (Wr) | 89.18 ** | 2.35 ns | 139.39 ** | 34.35 ** |
| Lines (L) | 18.67 ** | 2.59 ns | 10.39 ** | 46.98 ** |
| Wr × L | 7.38 ** | 4.92 ** | 4.89 ** | 11.49 ** |
Disclaimer/Publisher’s Note: The statements, opinions and data contained in all publications are solely those of the individual author(s) and contributor(s) and not of MDPI and/or the editor(s). MDPI and/or the editor(s) disclaim responsibility for any injury to people or property resulting from any ideas, methods, instructions or products referred to in the content. |
© 2023 by the authors. Licensee MDPI, Basel, Switzerland. This article is an open access article distributed under the terms and conditions of the Creative Commons Attribution (CC BY) license (https://creativecommons.org/licenses/by/4.0/).
Share and Cite
de Almeida Silva, M.; Santos, H.L.; de Sousa Ferreira, L.; Silva, D.M.R.; dos Santos, J.C.C.; de Almeida Prado Bortolheiro, F.P. Physiological Changes and Yield Components of Safflower (Carthamus tinctorius L.) Lines as a Function of Water Deficit and Recovery in the Flowering Phase. Agriculture 2023, 13, 558. https://doi.org/10.3390/agriculture13030558
de Almeida Silva M, Santos HL, de Sousa Ferreira L, Silva DMR, dos Santos JCC, de Almeida Prado Bortolheiro FP. Physiological Changes and Yield Components of Safflower (Carthamus tinctorius L.) Lines as a Function of Water Deficit and Recovery in the Flowering Phase. Agriculture. 2023; 13(3):558. https://doi.org/10.3390/agriculture13030558
Chicago/Turabian Stylede Almeida Silva, Marcelo, Hariane Luiz Santos, Lusiane de Sousa Ferreira, Dayane Mércia Ribeiro Silva, Jania Claudia Camilo dos Santos, and Fernanda Pacheco de Almeida Prado Bortolheiro. 2023. "Physiological Changes and Yield Components of Safflower (Carthamus tinctorius L.) Lines as a Function of Water Deficit and Recovery in the Flowering Phase" Agriculture 13, no. 3: 558. https://doi.org/10.3390/agriculture13030558
APA Stylede Almeida Silva, M., Santos, H. L., de Sousa Ferreira, L., Silva, D. M. R., dos Santos, J. C. C., & de Almeida Prado Bortolheiro, F. P. (2023). Physiological Changes and Yield Components of Safflower (Carthamus tinctorius L.) Lines as a Function of Water Deficit and Recovery in the Flowering Phase. Agriculture, 13(3), 558. https://doi.org/10.3390/agriculture13030558

