Next Article in Journal
Application of Deep Learning in Image Recognition of Citrus Pests
Previous Article in Journal
Mitigation of Salinity Stress on Soybean Seedlings Using Indole Acetic Acid-Producing Acinetobacter pittii YNA40
Previous Article in Special Issue
A Comprehensive Review of Organochlorine Pesticide Monitoring in Agricultural Soils: The Silent Threat of a Conventional Agricultural Past
 
 
Font Type:
Arial Georgia Verdana
Font Size:
Aa Aa Aa
Line Spacing:
Column Width:
Background:
Article

Short Term Effects of Chemical Fertilizer, Compost and Zeolite on Yield of Lettuce, Nutrient Composition and Soil Properties

by
Victor Kavvadias
1,*,
Zacharias Ioannou
2,
Evangelia Vavoulidou
1 and
Christos Paschalidis
3
1
Department of Soil Science of Athens, Institute of Soil and Water Resources, Hellenic Agricultural Organization DIIMITRA, Sofokli Venizelou 1, 14123 Lykovrysi, Greece
2
Department of Food Science and Nutrition, School of the environment, University of the Aegean, Mitropoliti Ioakeim 2, 81400 Limnos, Greece
3
School of Agriculture and Food, University of Peloponnese, Antikalamos, 24100 Kalamata, Greece
*
Author to whom correspondence should be addressed.
Agriculture 2023, 13(5), 1022; https://doi.org/10.3390/agriculture13051022
Submission received: 30 March 2023 / Revised: 2 May 2023 / Accepted: 4 May 2023 / Published: 7 May 2023
(This article belongs to the Special Issue Emerging Soil Pollutants: Detection, Risk Assessment, and Remediation)

Abstract

The proper management of treated agricultural wastes (e.g., composts) contributes to the protection of water and soil quality by reducing the use of chemical fertilizers, lowering leachate, and protecting renewable and nonrenewable resources. Natural zeolites, particularly clinoptilolite, can be used in agriculture to improve soil quality and increase yields due to their unique properties. The objective of the study was to test the effects of the co-addition of compost, zeolite and ammonium-based fertilizer on the Above-ground Fresh Weight (AFW) of lettuce (Lactuca sativa L.), leaf nutrients and soil fertility. To this aim, a soil pot experiment was carried out at the Department of Soil Science of Athens, which is located in the region of Attica, in the area of central Greece. Two levels of olive compost originated from olive leaves (0% and 10% v/v), three levels of zeolite (0%, 2%, and 5% w/w) and two levels of chemical fertilization (no fertilization and NPK fertilization) were combined. Furthermore, two different soils were introduced, one moderately acidic (pH = 5.6) and sandy loam in texture (Ac-LT), and the other slightly alkaline (pH = 7.7) and sandy clay in texture (Al-HT). Results showed that the response of lettuce yield to chemical fertilization and zeolite application is soil type-dependent, whereas compost application significantly improved AFW in both soil types. The availability of macronutrients (P, K, and Na) in the soil, as well as their concentration in leaves, were significantly increased by NPK fertilization in most cases. Conversely, the impact of inorganic fertilization on DTPA extractable micronutrients and leaf micronutrient contents was found to be associated with the type of soil. The study recorded a significant reduction in available Fe, Cu, and Mn in AL-HT soil, whereas DTPA-Mn and -Zn were significantly enhanced in Ac-LT soil. Comparable patterns were also documented for the micronutrient concentration in leaves. In most cases, compost application had significant and beneficial effects on plant nutrients. On the contrary, different responses of soil properties to compost addition were registered. The main effect of compost treatment on soil pH, EC, SOM, total N, and available P was significant and positive in both soil types, except for pH and EC in Al-HT soil. On the other hand, exchangeable K and Na were significantly reduced by compost. Zeolite substantially increased the availability of P, K, and Na in soil and plants, whereas the concentrations of DTPA-extractable micronutrients and leaf macronutrients were largely unaffected. In addition, the results of our study indicated that co-additions of organic and inorganic amendments did not yield any significant impact on the lettuce yield, leaf nutrient content and soil fertility. It is suggested that the degree of changes in main soil properties (e.g., pH, EC, SOM) as a result of amendment application as well as the interaction of the amendments with nutrient availability are strongly related to soil type.

1. Introduction

Vegetable production in Mediterranean countries is an important agricultural activity. There is an increasing concern in Mediterranean countries about conventional agricultural practices, such as excessive use of synthetic agrochemicals and luxury irrigation that cause degraded soils, polluted water resources, and air pollution [1,2]. The use of NPK fertilizers promotes the vigorous growth of vegetables (lettuce, cucumber, tomato, etc.) and enhances the absorption of other essential plant nutrients, transpiration rate and stomata conductance [3]. The balanced supply of nitrogen, phosphorus and potassium resulted in the greatest lettuce yield and quality [4]. On the other hand, the application of high rates of nitrogen-based fertilizers is a common practice in lettuce cultivation, and lettuce crops exhibit increased yields and improved quality in response to N fertilization. More than fifty percent of nitrogen inputs are lost to the environment when used in excess, causing severe environmental problems such as air and water pollution, soil acidification, ozone depletion, biodiversity loss, and climate change. Additionally, the high dosages of N leads to the accumulation of nitrate (NO3) in leaves, as well as nitrogen losses through leaching [5]. Moreover, excessive fertilization can lead to yield losses and product quality decline [6]. The efficient use of fertilizer and water is highly critical to maintaining or increasing crop yields of high quality and to eliminating environmental concerns over the production of food that does not endanger health.
Therefore, an increase in alternative cultivation practices such as crop rotation systems, intercropping mixtures, germplasm, tillage systems, mulching, manures, composts, zeolites, etc., is required [2,7,8]. Sustainability concerns on the waste management scenarios in Europe for various organic wastes, in combination with the policy-driven priorities at the EU and the subsequent adoption of EU policy at national levels, have given momentum for the diversion of organic wastes away from landfills and ultimately onto the land. Proper management of agricultural wastes contributes to the protection of the quality of water and soil by reducing the use of chemical fertilizers, thus reducing leachate and protecting renewable and nonrenewable resources. According to Zdruli et al. [9], almost 75% of the soils in Southern Europe may have topsoils containing very low (≤1%) or low (≤2%) amounts of organic carbon. In this context, increasing soil organic matter becomes critical. Indeed, compost, when applied as an organic amendment in field trials, can improve the physicochemical properties of the soil, leading to a positive effect on plant yield [10]. Different composts derived from agricultural by-products, such as olive stone or olive leaves, grape and tobacco wastes, which are abundant in Mediterranean countries, have been successfully applied to ameliorate soil physical and chemical properties [11,12]. Particularly, the utilization of compost derived from olive mill by-products as a soil amendment can serve as a significant agricultural practice in improving soil quality [13]. Additionally, this practice can aid in the reuse of by-products, thereby mitigating their detrimental environmental effects, as stated by Bechara et al. [14]. Among agricultural field by-products in the Mediterranean region, olive tree leaves are a major source of agricultural residues. Olive tree leaves represent the largest contributor to olive oil mill waste generation, while their availability without any cost makes them a favorable organic material for compost production [15]. The application of the final product to soil had positive effects on soil’s capacity to retain water, on aggregate stability, on soil organic carbon, as well as on nitrogen, phosphorus and potassium availability. Michailides et al. [16] produced a compost using only olive leaves and olive pomace. With a C/N ratio of 27.1 and high nutrient concentrations (N = 1.79%; P = 0.17%; K = 4.97%; Na = 2.8%), the final product proved to be a high-quality amendment. The germination index was greatest (198%) for mature compost. In addition, 31.5 tons of compost per hectare increased lettuce yield by 145%. Manios et al. [17] demonstrated that compost prepared from fresh olive tree leaves has very low phytotoxicity. Moreover, mature compost with a C/N ratio of 12.50, N = 2.87% and Organic Carbon 36.50% dw, pH = 7.48 and EC = 3.66 mS cm−1 [18] can be a valuable source of organic fertilizer.
According to Gao et al. [19], the combined use of organic fertilizers can lead to a reduction in chemical fertilizer usage, through a synergistic interaction between the sources. This can also result in an enhancement of the microbial community composition, ultimately leading to improved plant growth and development. In addition, organic fertilizers will have an important role in overcoming soil degradation, due to highly intensive crop production. Reis et al. [20] concluded that the lettuce yield increased with compost application up to the maximum value tested (60 t ha−1). SPAD readings revealed a quicker effect of inorganic fertilization on plant growth, which was eventually counteracted by the effect of compost fertilization. This increase in SPAD values may explain why compost has a more permanent effect on soil, particularly delayed nutrient release, sustaining plant growth for a longer duration than organic NK fertilization.
Zeolite is one of the most common minerals used to increase crop production [8]. Their combination with organic amendments, such as compost derived from agricultural wastes, could improve the efficiency of organic fertilizers. Indeed, in the context of increasing the efficiency of agricultural waste application practices, one of the main measures that was considered highly effective, biologically justified and environmentally safe, especially on degraded soils, is the use of natural zeolites [21]. Natural zeolites have physical and chemical properties suitable for a wide range of industrial, agricultural and commercial applications, due to their unique physical and chemical properties (crystallinity, thermal stability, well-defined cage structure of molecular size, ion-exchange, etc.). Natural zeolites are generally considered to be low-cost, safe and environment-friendly materials, suitable for a vast variety of uses, such as soil remediation, land erodibility control and soil conditions’ improvement in arid and semiarid environments, particularly in sandy and clay-poor soils [22].
The most common zeolite for agricultural applications, out of more than 40 natural zeolite species, is clinoptilolite, which acts as a soil amendment for crop production, due to its exceptionally high ion-exchange capacity [23,24], while improving available water to the plants and increasing water use efficiency [25,26]. Zeolites have been successfully used in cultivating different crops. The application of zeolites in the range of up to 20% of the soil weight was found to be the best medium for tomato plants [27,28]. The addition of clinoptilolite increased yields of barley, potato, clover and wheat, after adding 15 t/ha in a sandy loam soil [29,30]. It was found that in the field the zeolite clinoptilolite reduced corn yields, while in the greenhouse this material appeared to act as a slow-release fertilizer, increasing the growth of radish after three successive harvests.
With regards to soil properties, the application of natural zeolite to the soil, to control pH, increased the availability of macronutrients [26] and improved ammonium retention [31]. The main use of zeolites in agriculture is for nitrogen capture, storage and slow release. Natural zeolites have a high tendency toward ammonium selectivity [32]. There are several reports in the literature showing that the addition of zeolite to the source of N can improve nitrogen use efficiency [33,34,35,36]. Zeolite, when mixed with nitrogen, phosphorus and potassium compounds, enhances the action of such compounds as slow-release fertilizers, both in horticultural and extensive crops [37,38]. Ammonium-charged zeolites have also been tested successfully for their ability to increase the solubilization of phosphate minerals. Studies, conducted to examine solubility and cation-exchange relationships in mixtures of rock phosphate and NH4+ and K+ saturated clinoptilolite, revealed that mixtures of zeolite and phosphate rock have the potential to provide slow-release fertilization of plants in synthetic soils, by dissolution and ion-exchange reactions [39]. Furthermore, natural zeolites showed high affinity to heavy metals such as Cd, Pb, Cr, Zn, Cu, etc. [40,41], due to their high cation-exchange capacity. In some cultivations the use of heavy metals is a common practice. For example, Cu-based fungicides have been extensively applied to vineyards and as a result, there is a high potential risk for soil contamination with Cu [42,43]. Zeolites can mitigate this contamination by adsorbing Cu+ ions [44].
It has been reported that zeolites can enhance the efficiency of organic fertilizers, and particularly that of composts, with regards to its beneficial effects on soil physicochemical properties, soil acidity and salinity, and plant growth [8]. Zeolites can take up ammonium due to their specific selectivity for specific cations, from either farmyard manure, composts, or ammonium-bearing fertilizers, thereby reducing losses of nitrogen to the environment. Rodriguez et al. [45] confirmed that zeolite, mixed with manure, increases the effectiveness of organic fertilizers on meadowland soils. Chuprova et al. [46] found the beneficial effect of zeolite fertilizers on the mobile humus substances of Chernozem and on the biological productivity of maize. Natural zeolites can bind humic acid through the action of the surface extra-framework cations and this ability is markedly enhanced if the zeolitic material is enriched with divalent cations, especially Ca2+ [47]. Nevertheless, despite their very good properties and benefits for agriculture, zeolites have not received wide acceptance and application, mainly due to the lack of specific guidelines and application practices.
Lettuce (Lactuca sativa L.) is one of the most intensively produced vegetables in Mediterranean countries. Intensive cultivation practices in lettuce production require high amounts of fertilizers and pesticides, resulting in a serious contamination risk to plants, soils and groundwater. The main objective of this study was to test the benefits of the co-addition of compost from olive leaves, zeolite and NPK fertilizer on lettuce yield, nutrient composition and on soil fertility. Additionally, the soil-plant interaction, as induced by the combined use of the above amendments, was also addressed.

2. Materials and Methods

Two soil pot experiments were conducted with a romaine-type lettuce (Lactuca sativa L.) cv. Corsica, at the farm of the Department of Soil Science of Athens, prefecture of Attica, central Greece (latitude 23°46′35″ E, longitude 38°4′9″ N; altitude: 202 m). The growth period lasted from 9 April to 25 June 2015 and throughout the trial, the average day and nighttime temperatures were 24.3 °C and 12.4 °C, respectively. Relative humidity was 54.6% on average. The pot experiments involved two soil types: (a) moderately acid (pH = 5.6) soil and sandy loam in texture (Ac-LT) and (b) slight alkaline (pH = 7.7) soil and sandy clay in texture (Al-HT). Initial soil physio-chemical analyses of the experiment before seedling planting are presented in Table 1. Plastic pots of 4 L in volume and 24 cm in diameter were used. Lettuce seedlings were planted directly in pot soil. Based on preliminary pot experiments, conducted as part of the ARIDWASTE project [48], it was demonstrated that compost and zeolite applications above 10% v/v and 5% w/w, respectively, significantly inhibited growth of lettuce plants. Two rates of olive leaves composts (C0: 0% and C10: 10% v/v), three rates of natural zeolite (clinoptilolite) (Z0: 0% and Z2: 2% and Z5: 5%, w/w) and two chemical fertilization regimes (F0: no chemical fertilization, F: chemical fertilization) were factorially combined. Treatment combinations are presented in Table 2. The experimental design was completely randomized with six replicates (6 pots) per treatment combination. Therefore, there were in total 72 pots for each soil type experiment: 2 compost rates × 3 zeolite rates × 2 fertilization rates × 6 replications.
Before planting to pots, fertilization with an ammonium-based fertilizer (COMPLET 12-12-17-2 MgO) at a dose of 0.25 g/kg dry soil for each nutrient was applied. Nitrogen was mainly given in the form of NH4-N (11%). Zeolite was applied at two different amounts of 20 g/kg dry soil (2% w/w) and 50 g/kg dry soil (5% w/w). Compost was applied at a dose of 290 g/pot or 6.4 t/ha (10% v/v).
Compost and zeolite properties are presented in Table 3 and Table 4, respectively. Pots were irrigated up to 70% of field capacity, with the aid of tensiometer readings and gross pot weights. Hand weeding was done regularly to prevent weed growth on the surface. During harvest, the fresh weight of above ground biomass (AFW) was measured and leaf samples were taken for nutrient analysis (total N, P, K, Na, Fe, Cu, Zn, and Mn). In addition, soil samples from each pot were selected and different soil parameters were measured, such as pH, electrical conductivity, organic matter, total N, available P, exchangeable cations (K, Na) and DTPA extractable metals (Fe, Cu, Zn and Mn).

2.1. Physical and Chemical Analysis of Soils

Soil physical and chemical properties were analyzed before treatments and after the termination of the experiments. All soil analyses were carried out on four replicates per treatment. The preparation of samples for analysis was performed according to the [49]. Laboratory determinations were performed according to the usual methods for soil characterization [50]. Particle-size distribution analysis was carried out by the Bouyoucos hydrometer method; the pH and the electrical conductivity (EC) were measured in paste extract with a pH/EC meter equipped with a glass electrode; carbonates by using a Bernard calcimeter; total N by the Kjeldahl method [51]; Soil organic C was determined by sulfochromic oxidation [52]; available P was determined by sodium hydrogen carbonate extraction [53], exchangeable K, Mg using BaCl2 extraction [54]. Available Fe, Cu were determined by DTPA extraction [55].

2.2. Chemical Analysis of Leaves

Lettuce leaves were first cleaned with washing powder and then washed with tap water and distilled water. The samples were dried in the oven at 70 °C until constant weight and were ground to pass through a mesh screen, to achieve sample homogeneity before mineral concentration analysis. Dried samples were ground in a stainless “Fritch” pulverisette mill to pass through the 1-mm round whole sieve. Ground samples were stored at room temperature in acid-washed glass jars. Leaf samples were analyzed for total N, P, K, Na, Zn, Mn, Fe and Cu. Total N was determined by the Kjeldahl method. Prior to the measuring of the other nutrients, leaf subsamples were subjected to dry ashing at 520 °C for 5 h then were diluted with hydrochloric acid (HCl) in a 1:1 ratio v/v [56]. Phosphorus was determined by the vanadomolybdophosphoric yellow color method. Total K, Na and metal contents (Zn, Mn, Fe and Cu) through atomic absorption spectrophotometry (PerkinElmer AAnalyst 100 atomic absorption spectrometer, Waltham, MA, USA).

2.3. Statistical Analysis

The combined effect of zeolite, compost and chemical fertilization to soil and plant was evaluated by using factorial ANOVA procedure with SPSS version 21. The experimental design used in the soil pot experiments (Ac-LT and Al-HT experiments) was Completely Randomized Designed (CRD). Before performing analysis of variance (ANOVA), Shapiro–Wilk (p ≤ 0.05) and Bartlett (p ≤ 0.05) tests were applied to test normality and homogeneity of variances respectively. Duncan’s multiple-range test was used to test differences among means (p < 0.05). A correlation analysis was also conducted, to determine the relations between soil and plant nutrients. The Pearson correlation coefficient was used to perform bivariate correlation analysis on the measured soil and plant nutrient concentrations, to identify the significant relations between soil and plant nutrients.

3. Results

3.1. A. Bove Fresh Weight (AFW)

Chemical fertilization (F) significantly increased the Above Fresh Weight (AFW) of lettuce plants in Ac-LT soil, while decreasing significantly the AFW of plants grown in Al-HT soil (Table 5). A significant FXC interaction (F: 8.25 *, p < 0.05) was observed (Figure 1A(a)), showing that inorganic fertilization enhanced the AFW of plants growing without the addition of compost (C) in Ac-LT soils. Compost application was likewise significantly and positively related to AFW in both soil types. Zeolite amendment (Z) at a dosage of 2% w/w significantly increased AFW in Ac-LT soil relative to the other two zeolite rates, while having no effect on yield in Al-HT soil. Moreover, a significant F × Z interaction (F: 5.58 **, p < 0.01) in Ac-LT soils demonstrated that, the addition of zeolite improved the AFW of plants grown without chemical fertilizers compared to fertilized plants (Figure 1A(b)).

3.2. Soil pH and Electrical Conductivity (EC)

Chemical fertilization significantly reduced pH in both soil types (Table 5). The significant FxC interaction (F: 18.28 **, p < 0.01) suggested that the decline in pH of Ac-LT soil was more apparent in soil without the addition of compost compared to compost-amended soil (Figure 1A(c)). Compost addition significantly increased soil pH in Ac-LT soils but had little effect on pH in AL-HT soils. Furthermore, the application of zeolite had no noticeable impact on soil pH. Significant interactions were also recorded in Al-HT soil, although there was no apparent effect on soil pH. All treatments (F, C, Z) significantly increased the electrical conductivity of Ac-LT soil. The positive effect was also recorded in Al-HT soil, but only chemical fertilization had a significant impact on it. In addition, a sharp increase in the EC of chemically fertilized Ac-LT soil, following the addition of zeolite compared to soil without NPK fertilization, led to a significant FXZ interaction (F: 26.61 ***, p < 0.001) (Table 5 and Figure 1A(d)).

3.3. Soil Organic Matter (SOM)

Only compost application significantly influenced SOM in Ac-LT soil in a positive manner (Table 5). Interactions between amendments were negligible. The main treatment effects (F, C, Z) on SOM in Al-HT soils were significant and positive. The effect of zeolite was more pronounced in fertilized soil than in soil without fertilization, as indicated by the significant F × Z interaction (F: 6.3 *, p < 0.05) (Figure 1B(d)).

3.4. Soil Nitrogen (TN) and its Uptake (LN)

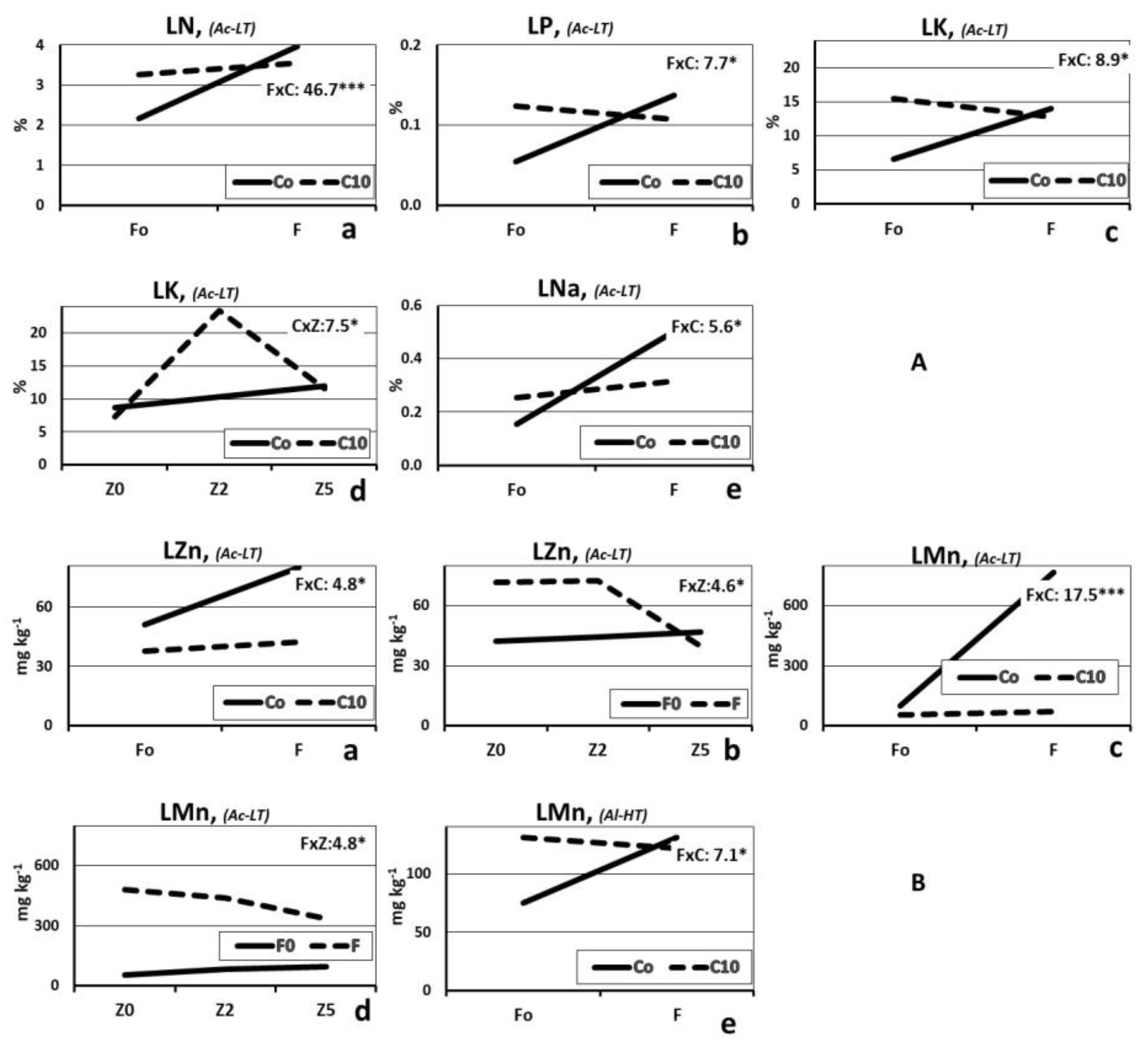
The main effect of inorganic fertilization and zeolite additions on TN content was negligible in both soil types (Table 5), whereas the application of compost significantly improved it. Concerning plant uptake, chemical fertilization significantly enhanced leaf N concentration (LN) in both soil types (Table 6), whereas zeolite treatments had no appreciable effect on LN. Application of compost raised N uptake, but the effect was only significant in Ac-LT soil. A strong FxC interaction (F: 46.69 **, p < 0.01) in Ac-LT soil was also recorded indicating that the increase in leaf N concentration due to NPK fertilization was more pronounced in plants grown in the absence of compost (Figure 2A(a)).

3.5. Soil Available P (Pavail.) and Its Uptake (LP)

Chemical fertilization and compost addition significantly increased available P (Pavail.) in both soil types, whereas zeolite rates did not significantly influence the availability of phosphorus in soils (Table 7). The interactions between inorganic and organic amendments were not significant. Regarding leaf concentrations (LP), chemical fertilization and compost application were significantly related to leaf P content (LP) in both soil types, apart from compost treatment in Al-HT soils (Table 6). Moreover, the addition of zeolite significantly enhanced the LP of plants grown in both soil types. Although a significant FxC interaction (F = 7.67 *, p < 0.05) was observed in Ac-LT soil, the combined application of inorganic and organic amendments did not increase leaf P content, because NPK application favored LP without the addition of compost (Figure 2A(b)).

3.6. Exchangeable K (K exch.) and Its Uptake (LK)

Exchangeable K (K exch.) was significantly increased by NPK application in both soil types, while compost application significantly reduced the availability of potassium (Table 7). The addition of zeolite significantly increased K exch. in Ac-LT soils. In Al-HT soils, application of 2% (w/w) zeolite significantly increased K exch. compared to the control (0% w/w), whereas the opposite effect was recorded at 5% zeolite. As indicated by the significant FXZ interaction (F: 17.07 **, p < 0.01) (Figure 1B(e)), this decrease was more pronounced in soil amended with chemical fertilization, compared to soil without fertilization.
Concerning potassium uptake (LK), chemical fertilization did not significantly influence LK, whereas the addition of compost or zeolite significantly increased K uptake (Table 6). Combinations of treatments (F, C, Z) had no effect on the leaf K content of plants cultivated in heavy textured soil (Al-HT), as interaction effects were not significant. In Ac-LT soils, however, significant interactions were observed. The significant F × C interaction (F: 8.93 *, p < 0.05) indicated that NPK fertilization significantly increased K uptake in plants without compost addition, compared to plants that received compost (Figure 2A(c)). Furthermore, the application of 2% zeolite to soil without the addition of compost favored LK over plants receiving compost (C × Z: 7.54 *, p < 0.05; Figure 2A(d)).

3.7. Availability of Soil Na (Na exch.) and Its Uptake (LN)

Chemical fertilization increased the content of exchangeable Na (Na exch.); nevertheless, the effect was only significant for Al-HT soil (Table 7). In both soil types, compost had a significant negative impact on Na exch., whereas the application of zeolite had a significant positive effect.
Furthermore, treatment combinations (F, C, Z) produced significant interactions in Al-HT soils (F × C, F × Z, C × Z). Indeed, NPK fertilization or zeolite addition increased Na exch. in soils without the addition of compost (Figure 1B(f,h) for F × C: 12.08 *, p < 0.05 and C × Z: 16.49 ***, p < 0.001, respectively). In addition, the beneficial influence of zeolite was stronger in unfertilized soil, following the addition of a higher dose than in fertilized soil (F × Z: 58.63 ***, p < 0.001) (Figure 1B(g)). The combined effect of F with Z or with C was not significant in Ac-LT soil; however, a significant C × Z interaction (F: 5.90 *, p < 0.05) was noticed, where the positive effect of zeolite addition on Na exch. was more pronounced in soil without the use of compost than in soil amended with compost (Figure 1A(e)).
Concerning leaf Na content (LNa), it was significantly and positively related to fertilizer and zeolite treatments in Ac-LT and Al-HT soils (Table 6).

3.8. Availability of Micronutrients

3.8.1. Soil Available Fe (DTPA-Fe) and Its Uptake (LFe)

Chemical fertilization did not alter the Fe availability (DTPA-Fe) in Ac-LT soil, whereas it significantly lowered DTPA-Fe in Al-HT soil (Table 8). Compost application significantly decreased DTPA-Fe in Ac-LT soils, while it significantly increased in Al-HT soils. Zeolite treatments were significantly and negatively correlated with Fe availability in Al-HT soil. In addition, treatment combinations produced significant interactions in Ac-LT soils (FxC and FXZ; Figure 3a and Figure 3b, respectively). Fertilization increased DTPA-Fe in unamended soil, while the opposite was observed in soil amended with compost (FXC: 10.55 *, p < 0.05). In addition, zeolite amendments decreased Fe availability in unfertilized soils, while increasing DTPA-Fe in fertilized ones (FxZ: 17.30 **, p < 0.01). In terms of Fe uptake (LFe), it was unaffected by treatments in both soil types, except for Al-HT soils, where chemical fertilization significantly reduced LFe (Table 9).

3.8.2. Soil Available Cu (DTPA-Cu) and Its Uptake (LCu)

Chemical fertilization significantly reduced the Cu concentration in Al-HT soil (DTPA-Zn) (Table 8). There was a significant negative response of DTPA-Cu to the addition of compost in Ac-LT soil. Zeolite treatments had no impact on the availability of Cu. Regarding Cu uptake (LCu), there was no effect of treatments (Table 9).

3.8.3. Soil Available Zn (DTPA-Zn) and Its Uptake (LZn)

Inorganic fertilization and compost application increased Zn availability in soil (DTPA-Zn). Nevertheless, the positive effect was significant in Ac-LT soils and Al-HT soils, respectively (Table 8). Concerning Zn uptake (LZn), the concentration of Zn in leaves was significantly increased by chemical fertilization in Ac-LT soils (Table 9) and the increase was more pronounced in plants grown without the addition of compost, than in compost amended plants (F × C: 4.79 *, p < 0.05) (Figure 2B(a)). In contrast, LZn was drastically reduced in Al-HT soil. Compost treatment decreased Zn uptake, but the effect was significant in Ac-LT soils. Zeolite had no effect on the LZn concentration in either soil type; however, there was a significant FxZ interaction (F = 4.59 *, p < 0.05) in which the addition of 5% zeolite reduced the LZn in fertilized plants compared to unfertilized ones (Figure 2B(b)).

3.8.4. Soil Available Mn (DTPA-Mn) and Its Uptake (LMn)

With reference to Ac-LT soils, fertilization significantly increased available Mn (DTPA-Mn) (Table 8). On the other hand, additions of compost and zeolite significantly decreased it. A significant F × C interaction (F: 15.43 **, p < 0.01) revealed that the positive effect of fertilization on soil Mn availability was more pronounced in soil without compost addition, compared to compost-amended soil (Figure 3e). Significant interactions F × Z (F: 7.09 **, p < 0.01) and C × Z (F: 15.78 ***, p < 0.001) indicated that differences in DTPA Mn in soils with and without chemical fertilization, as well as in soils with and without organic fertilization (Figure 3c,d), were reduced at the highest dosage of zeolite (5% w/w). Chemical fertilization significantly decreased the amount of available Mn in Al-HT soil (Table 8). The NPK fertilization significantly increased leaf manganese content (LMn) in Ac-LT soils, whereas compost substantially decreased it (Table 9). A significant FXC interaction in both soil types (F: 17.5 ***, p < 0.001; F: 7.12 *, p < 0.05) revealed that 10% compost lessened the differences between fertilizer regimes (Figure 2B(c,e)). As in the case for DTPA-Mn in Ac-LT soil, differences in LMn of plants grown without and with chemical fertilization were reduced at the highest rate of zeolite (F × Z: 4.8 *, p < 0.05, Figure 3B(d)).

3.9. Correlations between Soil and Plant Nutrients

In Ac-LT soil, soil with available Mn was significantly and positively correlated with plant Mn (R2: 0.56, p < 0.01). No additional significant relationships were identified (data not displayed). Significant negative relationships were recorded in Al-HT soils between soil exchangeable K and plant K (R2 = 0.32, p < 0.01) and between soil available Zn and plant Zn (R2 = 0.28, p < 0.05). No additional significant relationships were identified.

4. Discussion

4.1. Above Fresh Weight (AFW)

Considering the variance analysis (Table 5), the response of AFW to chemical fertilization depended on the type of soil. The NPK fertilization significantly increased the AFW of plants cultivated in Ac-LT soil, whereas the AFW of plants cultivated in Al-HT soil was significantly decreased. The adverse response may be attributed to the high soil EC value (6.94 mS cm−1), which greatly exceeded the threshold value of 1.3 mS cm−1 for lettuce grown in soil [57].
The application of compost had a significant and positive effect on AFW for both soil types. Many authors have documented positive effects of compost addition on various yield attributes [16,58,59,60]. According to Michailides et al. [16], the addition of compost made from olive leaves and pomace at a rate of 31.5 t/ha can increase lettuce yield by 145%. Hernández et al. [59] reported that soils treated with various types of compost produced lettuce yields that were comparable to, or higher than, conventional inorganic fertilization-treated soils.
As in the case with NPK fertilization, the response of lettuce yield to the application of natural zeolite is also related to soil type. The addition of zeolite, significantly improved AFW in Ac-LT soil, while the yield response in Al-HT soil was negligible. Differences in soil CEC and available water may be responsible for the differential response of plant growth to zeolite application. Zeolite may influence coarse-textured soils to a greater degree than fine-textured soils, due to a significant change in CEC and soil’s water-holding capacity and its availability to crops, due to their porous structure [61,62]. Ferguson and Pepper [63] proposed that the effects of zeolite on plant growth varied with soil type and maximum benefit (e.g., improved nutrient retention, availability, and water holding capacity) would be expected on coarse textured soils with low CEC. According to Wiedenfeld [64], the slight effect of zeolite application on crop yield suggests that its potential benefit might be achieved under poor soil conditions, in terms of nutrient retention and moisture holding capacity.
The co-addition of compost and zeolites did not favor crop yield (non-significant CxZ). Litaor et al. [43] tested the potential benefits of the use of compost and zeolite on the fertility of peat soil where the potato, desired cultivar was cultivated. Compost and zeolites did not improve total crop yield, or the number of large tubers, compared with compost addition alone and this was attributed to the low dosages of zeolite (≤5% w/w). Most of the crop yield improvement, due to co-addition reported, has occurred after adding high dosages of zeolites (7%, 14% and 21%) [62].
In addition, despite registering significant interactions (F × C **, p < 0.01 and F × Z **, p < 0.01) in Ac-LT soils, the co-addition of chemical fertilization with either compost or zeolite did not increase crop yield. The high values of soil electrical conductivity after the addition of compost, and especially fertilizer or zeolite, are the main cause of the yield response. Indeed, the co-application of fertilizer and compost increased the soil ECe above the threshold level for soil salinity (4 mS cm−1) and the lettuce’s tolerance threshold ECe of 1.3 mS cm−1 (57). Moreover, concerning the co-application of fertilizer and zeolite, EC in NPK-fertilized soil increased dramatically with increasing zeolite dosage, attaining a value of 6.7 mS cm−1, which was well above the aforementioned threshold values. In contrast, numerous researchers have observed that the combination of compost and inorganic fertilizer reduces the need for chemical fertilization, while achieving comparable or even higher vegetable yields [59,65], as well as enhanced growth, when zeolite is combined with chemical fertilizer [66,67,68].

4.2. Soil pH and Electrical Conductivity (EC)

For both soil types, the significant decrease in pH after chemical fertilization (Table 5) could be attributed to the form of nitrogen fertilizer (NH4-N), where fertilization with nitrogen in ammonium form causes soil acidification via nitrification of the ion. The reduction was more pronounced in soil without the addition of compost (significant F × C interaction, Figure 1A(c),B(a)), which could be attributed to the high pH (pH: 8.2) of compost. Similarly, Ac-LT soil pH significantly increased after the addition of compost, due to its alkaline pH, whereas Al-HT soil pH was not affected by compost application, because the high calcium carbonate content and clay content acted as buffers and resisted any considerable change in soil pH [69].
The application of zeolite to each type of soil did not significantly alter soil pH, nor did the combination of zeolite with fertilizer or compost. Numerous studies [70,71,72,73,74,75] indicate that the addition of zeolite typically results in an increase in soil pH, because zeolites are marginally alkaline. Ravali et al. [76] noted that higher pH values, recorded after the combination of N fertilizer with various zeolite concentrations, may be the result of higher zeolite rates, which was able to retain ammonium ions from the soil within its pores. Milosevic and Milosevic [77] also proposed that zeolites, which have a moderately alkaline reaction, can be combined with mineral fertilizers to maintain soil buffering and indirectly control soil pH.
Due to the presence of salts in the amendments, the application of chemical fertilizer, compost and zeolite significantly increased Ac-LT soil’s EC (Table 5). With zeolite application, Ramesh et al. [75] and Li et al. [78] observed an increase in EC. Positive effects were also observed in Al-HT soils; however, only inorganic fertilization had a significant impact. The differences in clay content between the two soil types may account for their distinct behaviors. It is well-known that ion adsorption is related to clay content and in general, EC increases as clay content increases and as porosity (soil moisture content) increases, EC also increases. Furthermore, significant F × Z interaction in Ac-LT soil suggested that zeolite increases EC when combined with chemical fertilizer (Figure 1A(c)). This is because, when zeolites are combined with chemical fertilizers, they help retain nutrients in the root zone, thereby enhancing nutrient assimilation and enhancing the soil’s long-term quality [79]. The increase is directly proportional to the quantity of minerals present in the zeolite or to its capacity to retain salt. According to Ravali et al. [76], the high exchange capacity of zeolites increases soil EC, because zeolites can introduce cations into the soil solution.

4.3. Soil Organic Matter (SOM)

The application of compost significantly increased SOM, in both soil types (Table 5). In general, the application of organic fertilizers increases SOM. [80,81]. Many authors have stated that the presence of clay in soil may serve as a safeguard against organic matter mineralization in soils amended with compost [82,83]. As documented in studies by Ladd et al. [84] and Amato and Ladd [85], there is a positive correlation between clay content and the preservation of soil organic carbon. Zeolite application did not influence SOM in Ac-LT soils. Similarly, Filcheva and Tsadilas [71], reported that there was no significant effect of zeolite on the organic carbon of a silty loam acid soil poor in organic matter. On the other hand, zeolite significantly increased SOM in Al-HT soils. The application of natural zeolite improves carbon sequestration by increasing the organic carbon contents of soil particularly, when it is used with organic materials such as plant residues [86,87]. In our trial, the increase in SOM was more pronounced in combination with chemical fertilization (F × Z *, p < 0.05, Figure 1B(d)). In fact, inorganic fertilization significantly improved SOM in heavy textured soil (Al-HT), which may be attributed to increases in net primary productivity (NPP), [88] mainly via inorganic N fertilization [89]. The increase in NPP reduces soil moisture and temperature, due to changes in transpiration and shading, respectively resulting in the reduction of SOM mineralization [90,91,92]. Moreover, Mahal et al. [89] suggested that microbes may be mineralizing SOM to meet N demand in soils, due to the suppressive effect of inorganic N fertilizer application on gross ammonification.

4.4. Macronutrient (N, P, K, Na) Content in Soil and Plants

Inorganic NPK fertilization failed to improve TN content in both soil types (Table 5), either indicating nitrogen losses or that the N application rate was below the optimal level without therefore increasing residual nitrogen [93]. In contrast, the application of inorganic fertilizers significantly enhanced the uptake of nitrogen in both soil types (Table 6), especially in the Ac-LT soil lacking compost amendment (F × C ***, p < 0.001, Figure 2A(a)). The application of compost significantly improved TN, as compost contains significant amounts of valuable plant nutrients [94,95,96], including N. It should be noted that the increase in soil TN was complemented by significant increases in SOM, indicating that the organic N was tied up in organic matter. In addition, the application of zeolite did not significantly influence TN, as well as LN, probably because zeolite has the capacity to reduce nitrate and ammonium from soil solution, due to its high ion-exchange capacity [73]. Ahmed et al. [70] investigated the effect of inorganic fertilizers together with zeolite on the uptake of NPK by maize. They stated that soil TN was marginally enhanced by zeolite treatments, due to the specific characteristics of zeolites. Plant N uptake was also not affected by zeolite treatments. Medoro et al. [97] proposed that zeolite increased the N retention time in the soil, allowing for better exploitation by plants, which led to the same N uptake as the control, notwithstanding the reduction in the N inputs.
Chemical and organic fertilization substantially increased the availability of phosphorus in both soil types (Table 7), as both amendments contained substantial amounts of this nutrient. Specifically, crop residues with a greater P content (>0.24%) promoted net P mineralization [98]. In our investigation, the P concentration in the organic amendment exceeded the minimum threshold, indicating high P mineralization. However, combinations of inorganic (F, Z) and organic (C) amendments had no effect on soil available P or leaf P content (Table 6). Since zeolites effectively absorb P [70], they had no appreciable effect on P availability in the soil. This was not the case for P uptake, which improved considerably in both soil types when zeolite was added. Pickering et al. [99] investigated the effect of the zeolite mineral clinoptilolite in conjunction with rock phosphate on sunflower P absorption. Their experiments clearly demonstrated significantly increased plant uptake of phosphorus. Natural zeolites are preferable due to their high exchange ability, which increases phosphorus uptake while decreasing this element’s pollution load [100].
Inorganic NPK fertilization favored exchangeable K in both soil types (Table 7), however, the positive effect was not reflected in K uptake, indicating fixation or adsorption of K ions. Wihardjaka et al. [101] stated that, when the exchangeable K is relatively high, it will be fixed partly in the clay mineral lattice and will be leached to deeper layers. Although the addition of composted olive tree leaves (rich in K [16]) significantly improved K uptake by lettuce, the exchangeable K was significantly reduced by compost treatment in both soil types, indicating K losses via leaching. By contrast, many authors have reported that organic fertilization increases the availability of K in soil [102,103], due to the dissolution of some of the soil minerals containing potassium via organic acids (humic and fulvic) [104].
It is well known that clinoptilolite is highly selective for potassium [96] and that exchangeable K is enhanced by zeolite additions [12,71]. Moreover, improvement in K uptake due to zeolite addition was reported in many studies [70,105]. Similarly in our trials the addition of zeolite significantly raised K uptake in both soil types (Table 6), as well as exchangeable K in Ac-LT soils (Table 7). Potassium is among the nutrients with the highest ion-exchange capacity [106] and therefore it is very easily released from zeolite into the soil solution, increasing the K content in the soil [77]. The results are of paramount importance for light-textured soils, when considering the lower availability of K in these soils and particularly when lowering pH [107]. On the contrary, in Al-HT soils, the addition of 5% zeolite significantly reduced soil K exch compared to 0% and 2% w/w dosages, which may reflect the high tendency of zeolite for K adsorption [108].
Nevertheless, the combination of inorganic and organic amendments did not improve the uptake of K (F × C *, p < 0.05, and C × Z *, p < 0.01, interactions, Figure 2A(c,d) respectively). Compost application, alone or in combination, has a liming effect due to its richness in alkaline cations, suggesting that the low K uptake may be related to the soil pH changes (Table 5). Additionally, zeolites minimize the rate of nutrient release from both organic and inorganic fertilizers [73,109] and thereby making them available for plant uptake in the long run. Conversely, improvements in N, P, K uptake and use efficiency of maize were recorded in studies using inorganic fertilizers mixed with zeolite or compost [70,105,110].
As for Na content in soil, NPK fertilization increased Na exch. in Al-HT soil and particularly in soil without the addition of compost (F × C *, p < 0.05, Figure 1B(f)). The addition of organic materials (e.g., compost) lowers the soil SAR [111] and can accelerate the leaching of Na and decrease the ESP [112,113,114], while compost absorbs Na [69]. Indeed, the application of compost caused a significant and negative effect on exchangeable Na in both soil types (Table 7), because the addition of organic matter can absorb Na, reducing its phytoavailability [69]. The use of compost demonstrates very good potential for Na containment in problem soils. On the other hand, the application of zeolite was significantly and positively related to Na exch. in both soil types. Although the crystalline structure of the zeolite allows it to readily absorb cations [115], natural zeolites contain major proportions of sodium, so their addition increases the availability of sodium in soil. Besides the high content of sodium in clinoptilolite, Trinchera et al. [116] reported that this type of zeolite behaved as a sort of physical stimulant for roots during the seedling stage of maize plants, because it was able to create a micro-environment, in which excreted mucigel could solubilize the organic compounds, consequently promoting the nutrients availability and uptake. Similarly, enhanced Na uptake due to soil amendments was registered in our trials (Table 6).

4.5. Availability of Micronutrients (Fe, Cu, Zn and Mn)

Ammonium-based fertilization significantly reduced Fe availability in Al-HT soil (Table 8) and that was also reflected in LFe (Table 9). It is well known that ammonium (NH4+) can be held on cation exchange sites and is not susceptible to leaching, although it can interact negatively with metal cations [117]. On the other hand, DTPA-Fe increased in Al-HT soils probably since: (a) soil pH did not respond to compost application because of its relatively higher buffer capacity, and (b) olive leaf compost was rich in Fe, resulting in the enhancement of Fe availability. In relatively high pH soils, the complexation of organic matter with metals, such as Fe, will promote the maintenance of Fe in dissolved forms, increasing the availability of this element in soils [118].
The DTPA-Fe in Ac-LT soils was significantly reduced by compost application maybe due to the respective change in soil pH, where a large increase of approximately one pH unit (from 5.43 to 6.48) was registered. Organic amendments may increase the solubility of Fe through their effects on the soil redox potential [119]. According to Asaye et al. [120], compost application is related to the effect of colloid dynamics, strongly altered by the change in pH. Moreover, Carstens et al. [121] stated that the mobility of colloidal Fe-oxides is governed by soil conditions such as pH and organic matter content.
Natural zeolites are generally used for heavy metal sequestration (Cd, Pb, Cr, Zn, Cu, Fe, etc.) because they have a high cation-exchange capacity [40], thereby reducing their availability in the soil and therefore the uptake by the plant [122,123]. Clinoptilolite can adsorb heavy metals that are in easily available fractions, while it can also exchange sodium and potassium [124]. In our trials, zeolite addition did not significantly affect Fe availability in Ac-LT soils, although according to Sheta et al. [125], sorbed or freshly precipitated Fe on zeolite in acid soils could be a source for increasing available iron. However, several studies reported that the direct application of zeolites to the soil did not reveal any effect on soil properties, nor on traits found in plants [126]. On the other hand, a significant negative effect was determined by the application of zeolite in Al-HT soil, suggesting that the addition of zeolite favors metal sorption into their exchange places. It seems that zeolite’s adsorption mechanism is a major contributing factor to the low concentrations of Fe in soil solutions, particularly in alkaline soils rich in clay minerals.
As in the case of DTPA-Fe, the ammonium-based fertilizer significantly reduced the availability of Cu in Al-HT soil (Table 8). There was a negative response of Cu in soils due to compost addition; however, the effect was significant in Ac-LT soils. Organic amendments have a high specific surface area and functional groups that increase the sorption potential for cationic metals such as Cu [127,128]. Moreover, there was no significant response to Cu in soil types as a result of zeolite addition. Many studies concerning the addition of natural zeolites to soil have shown little or no effect on the availability of copper [129,130,131]. With regards to Cu uptake, no significant effect was recorded, although other authors have reported inhibition of Cu and other PTEs (e.g., Cr, Zn and Cd) uptake by lettuce, spinach and parsley after zeolite application [132,133].
Concerning the availability of soil Zn and its plant content, it was favored by chemical fertilization in Ac-LT soil (Table 8). The positive impact may be related to the decrease in soil pH from 6.65 to 5.31 (Table 5) after NPK fertilization. The soil pH is the most important factor controlling Zn availability, which increases with a decrease in pH [134]. On the other hand, inorganic fertilization did not significantly affect DTPA-Zn in Al-HT soils, since a neutral pH value was recorded (from 7.57 to 7.30) after the application of ammonium-based fertilizer. Nevertheless, LZn was significantly reduced by NPK fertilization (Table 9). In fact, phosphorus fertilization can affect Zn uptake by plants since both nutrients show antagonistic behavior in plant nutrition [135,136]. Further, ammonium (NH4+) would influence the uptake and translocation of Cd and Zn to mediate their interactions in wheat [137].
Compost application was also positively related to DTPA-Zn, particularly in Al-HT soil (Table 8). The concentration of Zn in soil increases under the influence of organic matter because Zn forms labile organic mineral complexes [138,139]. Angelova et al. [140] reported that the quantities of zinc extracted with DTPA increase with the rate of compost application to soils. The high amount of organic matter in compost and its oxidation and degradation increases the availability of micronutrients such as Fe, Mn, Zn and Cu in soil [141]. Similar findings have been reported by Antoniadis and Alloway [142]. On the other hand, Zn uptake was significantly reduced by compost application in Ac-LT soils (Table 9). This decrease at high compost doses might be attributed to the dilution effect of increasing the plant biomass (Table 5). Furthermore, zeolite addition did not have any significant effect on Zn content in both soil types and plants, although natural zeolite-amended soil can reduce metal bioavailability [8,143,144]. In our trials, the absence, in most cases, of a significant effect of zeolite on micronutrient availability could be the cause of the short duration of the experiments.
As in the case of iron and copper, ammonium-based fertilization significantly reduced the availability of Mn in Al-HT soils, indicating the antagonistic effect of NH4+ ions on Mn for retention on cation exchange complexes. Both DTPA-Mn and LMn, were significantly enhanced by mineral fertilization in Ac-LT soils and the increase was more pronounced in soils without the addition of compost (F × C **, p < 0.01, Figure 2B(c) and Figure 3(e)). Compost could primarily immobilize metals via humus, microorganisms and inorganic components [145] and the formation of stable metal complexes may reduce metal ion solubility in soils [146]. Hence, the availability of Mn is enhanced due to the pH decrease due to ammonium-based fertilization. On the other hand, DTPA-Mn was significantly decreased by zeolite and compost treatments, since compost and natural zeolites effectively sorb Mn in soils [147,148], reducing therefore metal availability [122,140]. Additionally, it seems that there is a close relationship in acid light texture soil between available Mn in the soil and plant Mn, as indicated by the significant positive correlation (R2: 0.56, p < 0.01).

5. Conclusions

Soil type influences the response of lettuce yield to chemical fertilization and zeolite application. In fact, our results indicate that changes in soil EC due to NPK fertilization are more pronounced in coarse-textured soils than in fine-textured soils and that this differential response is closely related to lettuce yields. Additionally, clinoptilolite may have a greater impact on coarse-textured soils than fine-textured soils. In contrast, the application of compost significantly increased AFW in both soil types. Furthermore, the treatment combinations did not favor the above fresh weight of lettuce, because they caused a significant increase in the EC of the soil, which exceeded the soil salinity threshold.
Regarding chemical fertilization, ammonium-based fertilization significantly decreased soil pH, while significantly enhancing EC, particularly in Al-HT soil. Fertilization also significantly improved organic matter in Al-HT soil. The availability of macronutrients (P, K and Na) in the soil was significantly increased in most cases. Similarly, leaf macronutrient content increased, with N and Na exhibiting significant responses. On the other hand, the response of DTPA-extractable micronutrients to ammonium-based fertilization was dependent on soil type, as available Fe, Cu, and Mn were significantly reduced in AL-HT soil, whereas DTPA-Mn and -Zn were significantly increased in Ac-LT soil, mainly as a result of a decrease in pH. Our findings suggested that the antagonistic effect of NH4+ ions on metals for retention on cation exchange complexes is more pronounced in fine-textured soils than in coarse-textured soils. Leaf micronutrient content exhibited similar trends to soil micronutrient content.
In most cases, compost application had a significant and positive influence on plant nutrients. Conversely, the addition of compost was found to affect soil properties differently., The compost treatment had a significant and positive impact on soil pH, EC, SOM, TN and Pavail. was with the exception of pH and EC in Al-HT soil. This effect was observed in both soil types. On the other hand, compost significantly reduced K exch. and Na exch. The use of composts demonstrates very good potential for Na containment in problem soils such as sodic soils. Soil type also influenced the effect of compost application on micronutrient availability. Extractable Fe, Cu and Mn were significantly reduced by compost application in Ac-LT soil, whereas the availability of Fe and Zn increased in Al-HT. The results presented above suggest that the degree of changes in soil conditions, such as pH and organic matter, caused by soil amendment application as well as the interaction of the amendments with nutrient availability, are strongly related to soil type.
Concerning zeolite effects, the application of zeolite to Ac-LT and Al-HT soils significantly increased EC and SOM, as well as the availability of K and Na. Although natural zeolites are generally used for heavy metal sequestration, micronutrient availability was not affected by zeolite, with the exception of a significant negative effect on DTPA-Fe and DTPA-Mn in Al-HT and Ac-LT soils, respectively. Zeolite significantly increased leaf concentrations of macronutrients, particularly P, K and Na, but had no effect on leaf micronutrient levels. Moreover, our results showed that combinations of organic and inorganic amendments did not substantially affect soil properties and plant nutrient status.
In order to establish conclusive evidence regarding the influence of the co-addition of inorganic and organic amendments on soil fertility and productivity, it is necessary to conduct field-based, long-term trials utilizing soil types that are representative of those used for intensive lettuce cultivation.

Author Contributions

Conceptualization V.K. and Z.I.; methodology, V.K.; software, V.K.; validation, V.K., Z.I., E.V. and C.P.; formal analysis, V.K.; investigation V.K., E.V. and C.P.; writing—original draft preparation, V.K., Z.I., E.V. and C.P. writing—review and editing, V.K. and Z.I.; visualization, V.K. and E.V. All authors have read and agreed to the published version of the manuscript.

Funding

Please add: This research was partially funded by Hellenic Agricultural Research Organization DIMITRA, the ARIMNET program, (ARIMNET Grant agreement ID: 219262) that was part of the ARIDWASTE project.

Institutional Review Board Statement

Not applicable.

Data Availability Statement

The data presented in this study are available from the authors upon request.

Conflicts of Interest

The authors declare no conflict of interest.

References

  1. Wells, A.T.; Chan, K.Y.; Cornish, P.S. Comparison of conventional and alternative vegetable farming systems on the properties of a yellow earth in New South Wales. Agric. Ecosyst. Environ. 2000, 80, 47–60. [Google Scholar] [CrossRef]
  2. Waqas, M.; Hawkesford, M.J.; Geilfus, C. Feeding the world sustainably: Efficient nitrogen use. Trends Plant Sci. 2023, 28, 505–508. [Google Scholar] [CrossRef] [PubMed]
  3. Qiu, Z.P.; Yang, Q.C.; Liu, W.K. Effects of nitrogen fertilizer on nutritional quality and root secretion accumulation of hydroponic lettuce. Acta Hortic. 2014, 1037, 679–686. [Google Scholar] [CrossRef]
  4. Inkham, C.; Panjama, K.; Seehanam, P.; Ruamrungsri, S. Effect of nitrogen, potassium and calcium concentrations on growth, yield and nutritional quality of green oak lettuce. Acta Hortic. 2021, 1312, 409–416. [Google Scholar] [CrossRef]
  5. Di, H.J.; Cameron, K.C. Nitrate leaching losses and pasture yields as affected by different rates of animal urine nitrogen returns and application of a nitrification inhibitor—A lysimeter study. Nutr. Cycl. Agroecosyst. 2007, 79, 281–290. [Google Scholar] [CrossRef]
  6. Albornoz, F. Crop responses to nitrogen overfertilization: A review. Sci. Hortic. 2016, 205, 79–83. [Google Scholar] [CrossRef]
  7. Michalopoulos, G.; Kasapi, K.A.; Koubouris, G.; Psarras, G.; Arampatzis, G.; Hatzigiannakis, E.; Kavvadias, V.; Xiloyannis, C.; Montanaro, G.; Malliaraki, S.; et al. Adaptation of Mediterranean Olive Groves to Climate Change through Sustainable Cultivation Practices. Climate 2020, 8, 54. [Google Scholar] [CrossRef]
  8. Kavvadias, V.; Ioannou, Z.; Katsaris, P.; Kardimaki, A.; Vavoulidou, E.; Theocharopoulos, S. Use of Zeolites in Agriculture: Effect of Addition of Natural Zeolite–Clinoptilolite and Compost on Soil Properties and Crop Development, Section II Management Strategies: Chapter 15. In Soil Amendments for Sustainability. Challenges and Perspectives; Rakshit, A., Sarkar, B., Abhilash, P., Eds.; CRC Press: Boca Raton, FL, USA; Routledge: Oxfordshire, UK; Taylor & Francis Group: Oxfordshire, UK, 2018; p. 404. [Google Scholar]
  9. Zdruli, P.; Jones, R.; Montanarella, L. Organic Matter in the Soils of Southern Europe; European Soil Bureau Technical Report, EUR 21083 EN; Office for Official Publications of the European Communities: Luxembourg, 2004; p. 16. [Google Scholar]
  10. Boutchich, G.E.; Tahiri, S.; El Krati, M.; Kabil, E.M.; Lhadi, E.K.; Mahi, M.; de la Guardia, M. Sandy soil modification by bio-composts for wheat production. Waste Biomass Valoriz. 2018, 9, 1129–1139. [Google Scholar] [CrossRef]
  11. Kuči, D.; Kopči, N.; Briški, F. Zeolite and potting soil sorption of CO2 and NH3 evolved during co-composting of grape and tobacco waste. Chem. Pap. 2013, 67, 1172–1180. [Google Scholar] [CrossRef]
  12. Najafi-Ghiri, M. Effects of zeolite and vermicompost applications on potassium release from calcareous soils. Soil Water Res. 2014, 9, 31–37. [Google Scholar] [CrossRef]
  13. Kavvadias, V.; Koubouris, G. Sustainable Soil Management Practices in Olive Groves Chapter 8. In Soil Fertility Management for Sustainable Development; Panpatte, D., Jhala, Y., Eds.; Springer: Berlin/Heidelberg, Germany, 2019; pp. 167–188. [Google Scholar] [CrossRef]
  14. Bechara, E.; Papafilippaki, A.; Doupis, G.; Sofo, A.; Koubouris, G. Nutrient dynamics, soil properties and microbiological aspects in an irrigated olive orchard managed with five different management systems involving soil tillage, cover crops and compost. J. Water Clim. Chang. 2018, 9, 736–747. [Google Scholar] [CrossRef]
  15. García-Ruiz, R.; Ochoa, M.V.; Hinojosa, M.B.; Gómez-Muñoz, B. Improved Soil Quality After 16 Years of Olive Mill Pomace Application in Olive Oil Groves. Agron. Sustain. Dev. 2012, 32, 803–810. [Google Scholar] [CrossRef]
  16. Michailides, M.; Christou, G.; Akratos, C.S.; Tekerlekopoulou, A.G.; Vayenas, D.V. Composting of olive leaves and pomace from a three-phase olive mill plant. Int. Biodeterior. Biodegrad. 2011, 65, 560–564. [Google Scholar] [CrossRef]
  17. Manios, V.I.; Tsikalas, P.E.; Syminis, C.I. Phytotoxicity of olive tree leaf compost in relation to the organic acid concentration. Biol. Wastes 1989, 27, 307–317. [Google Scholar] [CrossRef]
  18. Manios, V.I.; Stentiford, E.I.; Kefakis, M.D.; Syminis, C.I.; Dialynas, G.; Manios, T. Development of a methodology for the composting of sludge of Crete. In Proceedings of the International Conference in ‘Organic Recovery and Biological Treatment’, Waimar, Germany, 13–15 September 2006; Stentiford, E.I., Ed.; Harrogate University of Leeds: Leeds, UK, 1997; pp. 199–204. [Google Scholar]
  19. Gao, J.; Pei, H.; Xie, H. Synergistic effects of organic fertilizer and corn straw on microorganisms of pepper continuous cropping soil in China. Bioengineered 2020, 11, 1258–1268. [Google Scholar] [CrossRef]
  20. Reis, M.; Coelho, L.; Beltrao, J.; Domingos, I.; Moura, M. Comparative effects of inorganic and organic compost fertilization on lettuce (Lactuca sativa L.). Int. J. Energy Environ. Eng. 2014, 8, 108–117. [Google Scholar]
  21. Protic, N.; Martinovic, L.; Milicic, B.; Stevanovic, D.; Mojasevic, M. The status of soil surveys in Serbia and Montenegro. ESBN-Res. Rep. 2003, 9, 287–315. [Google Scholar]
  22. Yasuda, H.; Takama, K.; Fukuda, T.; Araki, Y.; Suzuka, J.; Fukushima, Y. Effects of zeolite on water and salt control in soil. J. Fac Agric. Tottori. Univ. 1998, 51, 35–42. [Google Scholar]
  23. Butorac, A.; Filipan, T.; Bašić, F.; Mesić, M.; Kisić, I. Crop response to the application of special natural amendments based on zeolite tuff. Rostl. Vyrob. 2002, 48, 118–124. [Google Scholar] [CrossRef]
  24. DeSutter, T.M.; Pierzynski, G.M. Evaluation of soils for use as liner materials: A soil chemistry approach. J. Environ. Qual. 2005, 34, 951–962. [Google Scholar] [CrossRef]
  25. Simonne, E.O.; Hutchinson, C.; DeValerio, J.; Hochmuth, R.; Treadwell, D.; Wright, A.; Santos, B.; Whidden, A.; McAvoy, G.; Zhao, X.; et al. Current Knowledge, Gaps, and Future Needs for Keeping Water and Nutrients in the Root Zone of Vegetables Grown in Florida. HortTechnology 2010, 20, 143–152. [Google Scholar] [CrossRef]
  26. Abdi, G. Effects of Natural Zeolite on Growth and Flowering of Strawberry (Fragariaxananassa Duch.). Int. J. Agric. Res. 2006, 1, 384–389. [Google Scholar] [CrossRef]
  27. Markovic, A.; Takac, A.; Ilin, Z. Enriched zeolite as a substrate component in the production of pepper and tomato seedlings. Acta Hortic. 1995, 396, 321–328. [Google Scholar] [CrossRef]
  28. Unlu, H.; Ertok, R.; Padem, H. The usage of zeolite in tomato seedling production medium. In Proceedings of the Vegetable Production Symposium, Canakkale, Turkey, 21–24 September 2004; pp. 318–320. [Google Scholar]
  29. Mazur, G.A.; Medvid, G.K.; Gvigora, I.T. Use of natural zeolite to increase the fertilizer of coarse soils. Soviet Soil Sci. 1986, 16, 105–111. [Google Scholar]
  30. Pierla, H.J.; Westfall, D.G.; Barbarick, K.A. Use of clinoptilolite in combination with nitrogen fertilization to increase plant growth. In Zeo-Agriculture: Uses of Natural Zeolites in Agriculture and Aquaculture; Pond, W.G., Mumpton, F.A., Eds.; Westview Press: Boulder, CO, USA, 1984; pp. 65–76. [Google Scholar]
  31. Dwyer, J.; Dyer, A. Zeolites—An introduction. Chem. Ind. 1984, 2, 237–240. [Google Scholar]
  32. Kithome, M.; Paul, J.W.; Lavkulich, L.M.; Bomke, A.A. Effect of pH on ammonium adsorption by natural Zeolite clinoptilolite. Commun. Soil Sci. Plant Anal. 1999, 30, 9–10. [Google Scholar] [CrossRef]
  33. Ming, D.W.; Mumpton, F.A. Zeolites in soils. In Minerals in Soil Environments, 2nd ed.; Dixon, J.B., Weed, S.B., Eds.; Soil Science Society of America: Madison, Wi, USA, 1989; Volume 1, pp. 873–911. [Google Scholar] [CrossRef]
  34. Gruener, J.E.; Ming, D.W.; Henderson, K.E.; Galindo, C., Jr. Common ion effects in zeoponic substrates: Wheat plant growth experiment. Micropor. Mesopor. Mat. 2003, 61, 223–230. [Google Scholar] [CrossRef]
  35. Mcgilloway, R.; Weaver, R.; Ming, D.; Gruener, J.E. Nitrification in a zeoponic substrate. Plant Soil 2003, 256, 371–378. [Google Scholar] [CrossRef]
  36. Rehakova, M.; Cuvanova, S.; Dzivak, M.; Rimarand, J.; Gavalova, Z. Agricultural and agrochemical uses of natural zeolite of the clinoptilolite type. Curr. Opin. Solid State Mater. Sci. 2004, 8, 397–404. [Google Scholar] [CrossRef]
  37. Dwairi, J.M. Evaluation of Jordanian zeolite tuff as a controlled slow-released fertilizer for NH4+. Environ. Geol. 1998, 34, 1–4. [Google Scholar] [CrossRef]
  38. Dwairi, J.M. Renewable, controlled and environmentally safe phosphorous release in soil mixtures of NH4+-phillipsite tuff and phosphate rock. Environ. Geol. 1998, 34, 293–296. [Google Scholar] [CrossRef]
  39. Allen, E.R.; Hossner, L.R.; Ming, D.W.; Henninger, D.L. Solubility and cation exchange in phosphate rock and saturated clinoptilolite mixtures. Soil Sci. Soc. Am. J. 1993, 57, 1368–1374. [Google Scholar] [CrossRef] [PubMed]
  40. Kumar, P.; Jadhav, P.D.; Rayalu, S.S.; Devotta, S. Surface-modified zeolite—A for sequestration of arsenic and chromium anions. Curr. Sci. 2007, 92, 512–517. [Google Scholar]
  41. Tashauoei, H.R.; Attar, H.M.; Amin, M.M.; Kamali, M.; Nikaeen, M.; Dastjerdi, M.V. Removal of cadmium and humic acid from aqueous solutions using surface modified nanozeolite A. Int. J. Environ. Sci. Technol. 2010, 7, 497–508. [Google Scholar] [CrossRef]
  42. Vavoulidou, E.; Avramides, E.J.; Papadopoulos, P.; Dimirkou, A.; Charoulis, A.; Konstantinidou-Doltsinis, S. Copper content in agricultural soils related to cropping systems in different regions of Greece. Commun Soil Sci. Plant Anal. 2005, 36, 759–773. [Google Scholar] [CrossRef]
  43. Kelepertzis, E.; Massas, I.; Fligos, G.; Panagiotou, M.; Ariadnem, A. Copper accumulation in vineyard soils from Nemea, Greece. Bull. Geol. Soc. Greece 2017, 50, 2192–2199. [Google Scholar] [CrossRef]
  44. Cataldo, E.; Salvi, L.; Paoli, F.; Fucile, M.; Masciandaro, G.; Manzi, D.; Masini, C.M.; Mattii, G.B. Application of Zeolites in Agriculture and Other Potential Uses: A Review. Agronomy 2021, 11, 1547. [Google Scholar] [CrossRef]
  45. Rodrıguez, I.; Crespo, G.; Rodrıguez, M.; Aguilar, M. Efecto de diferentes proporciones de excreta-zeolita en el rendimiento y composicio´n quı´mica de pacinum maximum vc. Likoni. Rev. Cuba. Cienc. Agríc. 1994, 28, 113–117. [Google Scholar]
  46. Chuprova, V.V.; Ul’yanova, O.A.; Kulebakin, V.G. The effect of bark-zeolites fertilizers on mobile humus substances of Chernozem and on biological productivity of corn. In Euro Soil; Institute of Soil Science and Forest Nutrition, University of Freiburg: Freiburg, Germany, 2004. [Google Scholar]
  47. Capasso, S.; Salvestrini, S.; Coppola, E.; Buondonno, A.; Colella, C. Sorption of humic acid on zeolitic tuff: A preliminary investigation. Appl. Clay Sci. 2005, 28, 159–165. [Google Scholar] [CrossRef]
  48. ARIDWASTE: Development of Specific Agricultural Practices With The Use Of Recycled Wastes Suitable For Intensively Cultivated Mediterranean Areas Under Degradation Risk. A Research Project Under The Frame Of ARIMnet 2011, Coordination of Agricultural Research in Mediterranean Region. Available online: https://cordis.europa.eu/project/id/618127/reporting/it (accessed on 19 April 2023).
  49. ISO 11464:2006; Soil Quality. Pretreatment of Samples for Physico-Chemical Analysis. International Organization for Standardization: Geneva, Switzerland, 2006.
  50. Page, A.L.; Miller, R.H.; Keeny, D.R. Methods of Soil Analysis Part 2: Chemical and Microbiological Properties, 2nd ed.; American Society of Agronomy, Inc.: Madison, WI, USA, 1982. [Google Scholar] [CrossRef]
  51. ISO 11261; Soil Quality. Determination of Total Nitrogen—Modified Kjeldahl Method. International Organization for Standardization: Geneva, Switzerland, 1995.
  52. ISO 14235; Soil Quality 5 Determination of Organic Carbon By Sulfochromic Oxidation. International Organization for Standardization: Geneva, Switzerland, 1998.
  53. ISO 14263; Soil Quality-7 Determination of Phosphorus-Spectrometric Determination Of Phosphorus Soluble In Sodium Hydrogen Carbonate Solution. International Organization for Standardization: Geneva, Switzerland, 1994.
  54. ISO 11260; Soil Quality Determination Of Effective Cation Exchange Capacity And Base Saturation Level Using 1 Barium Chloride Solution. International Organization for Standardization: Geneva, Switzerland, 1994.
  55. ISO 14870; Soil quality. Extraction of Trace Elements by Buffered DTPA Solution. International Organization for Standardization: Geneva, Switzerland, 2001.
  56. Allen, S.E.; Grimshaw, H.M.; Parkinson, J.A.; Quarmby, C. Chemical Analysis of Ecological Materials; Allen, E., Ed.; Blackwell Scientific Publications: Oxford, UK; London, UK, 1974; p. 565. [Google Scholar]
  57. Ayers, A.D.; Wadleigh, C.H.; Bernstein, L. Salt tolerance of six varieties of lettuce. Proc. Am. Soc. Hort. Sci. 1951, 57, 237–242. [Google Scholar]
  58. Litaor, M.I.; Katz, L.; Shenker, M. The influence of compost and zeolite co-addition on the nutrients status and plant growth in intensively cultivated Mediterranean soils. Soil Use Manag. 2017, 33, 72–80. [Google Scholar] [CrossRef]
  59. Hernández, T.; Chocano, C.; José-Luis Moreno, C. García. Use of compost as an alternative to conventional inorganic fertilizers in intensive lettuce (Lactuca sativa L.) crops—Effects on soil and plant. Soil Till. Res. 2016, 160, 14–22. [Google Scholar] [CrossRef]
  60. Jaza Folefack, A.J. The Influence of Compost Use on the Production of Lettuce (Lactuca sativa) in the Urban and Peri-Urban Areas of Yaoundé (Cameroon). Tropicultura 2008, 26, 246–254. [Google Scholar]
  61. Ippolito, J.A.; Tarkalson, D.D.; Lehrsch, G.A. Zeolite Soil Application Method Affects Inorganic Nitrogen, Moisture and Corn Growth. Soil Sci. 2011, 176, 136–142. [Google Scholar] [CrossRef]
  62. Gholamhoseini, M.; Ghalavand, A.; Khodaei-Joghan, A.; Dolatabadian, A.; Zakikhani, H.; Farmanbar, E. Zeolite-amended cattle manure effects on sunflower yield, seed quality, water use efficiency and nutrient leaching. Soil Tillage Res. 2013, 126, 193–202. [Google Scholar] [CrossRef]
  63. Ferguson, G.A.; Pepper, I.L. Ammonium retention in sand amended with clinoptilolite. Soil Sci. Soc. Am. J. 1987, 51, 231–234. [Google Scholar] [CrossRef]
  64. Wiedenfeld, B. Zeolite as a soil amendment for vegetable production in the Lower Rio Grande Valley. Subtrop. Plant Sci. 2003, 55, 7–10. [Google Scholar]
  65. Hernandez, T.; Chocano, C.; Moreno, J.L.; García, C. Towards a more sustainable fertilization: Combined use of compost and inorganic fertilization for tomato cultivation. Agric. Ecosyst. Environ. 2014, 196, 178–184. [Google Scholar] [CrossRef]
  66. Gül, A.; Eroğul, D.; Ongun, A.R. Comparison of the use of zeolite and perlite as grown in Sri Lanka. Sci. Hortic. 2005, 106, 464–471. [Google Scholar] [CrossRef]
  67. Valente, S.; Burriesci, N.; Cavallaro, S.; Galvagno, S.; Zipelli, C. Utilization of Zeolites as soil conditioner in tomato-growing. Zeolites 1982, 2, 271–274. [Google Scholar] [CrossRef]
  68. Zarpour, E.; Motamed, M.K.; Moraditochaee, M.; Bozorgi, H.R. Effects of Zeolite Application and Nitrogen Fertilization on Yield Components of Cowpea (Vigna unguiculata L.). World Appl. Sci. J. 2011, 14, 687–692. [Google Scholar]
  69. Mahdy, M.A. Comparative Effects of Different Soil Amendments on Amelioration of Saline-Sodic Soils. Soil Water Res. 2011, 6, 205–216. [Google Scholar] [CrossRef]
  70. Ahmed, O.H.; Sumalatha, G.; Nik Muhamad, A.M. Use of zeolite in maize (Zea mays) cultivation onnitrogen, potassium and phosphorus uptake and use efficiency. Int. J. Phys. Sci. 2010, 5, 2393–2401. [Google Scholar]
  71. Filcheva, E.G.; Tsadilas, C.D. Influence of clinoptilolite and compost on soil properties. Commun. Soil Sci. Plant Anal. 2002, 33, 595–607. [Google Scholar] [CrossRef]
  72. Noori, M.; Zendehdel, M.; Ahmadi, A. Using Natural Zeolite for the Improvement of Soil Salinity and Crop Yield. Toxicol. Environ. Chem. 2006, 88, 77–84. [Google Scholar] [CrossRef]
  73. Perez-Caballero, R.; Gil, J.; Benitez, C.; Gonzalez, J.L. The effect of adding zeolite to soils in order to improve the N-K nutrition of olive trees, preliminary results. Am. J. Agric. Biol. Sci. 2008, 2, 321–324. [Google Scholar] [CrossRef]
  74. Radulescu, H. Soil treatment effects of Zeolitic Volcanic Tuff on soil fertility. Res. J. Agric. Sci. 2013, 45, 238–244. [Google Scholar]
  75. Ramesh, V.; George, J.; Jyothi, S.J.; Shibli, S.M.A. Effect of Zeolites on Soil Quality, Plant Growth and Nutrient Uptake Efficiency in Sweet Potato (Ipomoea batatas L.). J. Root Crops 2015, 41, 25–31. [Google Scholar]
  76. Ravali, C.; Jeevan Rao, K.; Anjaiah, T.; Suresh, K. Effect of zeolite on soil physical and physico-chemical properties. Multilogic Sci. 2020, 10, 776–781. [Google Scholar]
  77. Milošević, T.; Milošević, N. The effect of zeolite, organic and inorganic fertilizers on soil chemical properties, growth and biomass yield of apple trees. Plant Soil Environ. 2009, 55, 528–535. [Google Scholar] [CrossRef]
  78. Li, J.; Wee, C.; Sohn, B. Effect of Ammonium-and Potassium-Loaded Zeolite on Kale (Brassica alboglabra) Growth and Soil Property. Am. J. Plant Sci. 2013, 4, 1976–1982. [Google Scholar] [CrossRef]
  79. Mumpton, F.A. La Roca Magica: Uses of natural zeolites in agriculture and industry. Proc. Natl. Acad. Sci. USA 1999, 96, 3463–3470. [Google Scholar] [CrossRef]
  80. Edmeades, D.C. The long-term effects of manures and fertilizers on soil productivity and quality: A review. Nutr. Cycl. Agroecosyst. 2003, 66, 165–180. [Google Scholar] [CrossRef]
  81. Ning, C.C.; Gao, P.D.; Wang, B.Q.; Lin, W.P.; Jiang, N.H.; Cai, K.Z. Impacts of chemical fertilizer reduction and organic amendments supplementation on soil nutrient, enzyme activity and heavy metal content. J. Integr. Agr. 2017, 16, 1819–1831. [Google Scholar] [CrossRef]
  82. Hassink, J. The capacity of soils to preserve organic C and N by their association with clay and silt particles. Plant Soil 1997, 191, 77–87. [Google Scholar] [CrossRef]
  83. Hernandez, T.; Moral, R.; Perez-Espinosa, A.; Moreno-Caselles, J.; Perez-Murcia, M.D.; Garcia, C. Nitrogen mineralisation potential in calcareous soils amended with sewage sludge. Bioresour. Technol. 2002, 83, 213–219. [Google Scholar] [CrossRef]
  84. Ladd, J.N.; Amato, M.; Oades, J.M. Decomposition of plant materials in Australian soils. III Residual organic and microbial biomass C and N from isotope-labelled legume materials and soil organic matter decomposing under field conditions. Aust. J. Soil Res. 1985, 23, 603–611. [Google Scholar] [CrossRef]
  85. Amato, M.A.; Ladd, J.N. Decomposition of 14C-labelled glucose and legume material in soils: Properties influencing the accumulation of organic residue C and microbial biomass C. Soil Biol. Biochem. 1992, 24, 455–464. [Google Scholar] [CrossRef]
  86. Truc, M.T.; Yoshida, M. Effect of Zeolite on the Decomposition Resistance of Organic Matter in Tropical Soils under Global Warming. Int. J. Innov. Sci. Res. 2011, 5, 664–668. [Google Scholar]
  87. Aminiyan, M.M.; Safari Sinegani, A.A.; Sheklabadi, M. The effect of zeolite and some plant residues on soil organic carbon changes in density and soluble fractions: Incubation study. Eurasian J. Soil Sci. 2016, 5, 74. [Google Scholar] [CrossRef]
  88. Poffenbarger, H.J.; Barker, D.W.; Helmers, M.J.; Miguez, F.E.; Olk, D.C.; Sawyer, J.E.; Castellano, M.J. Maximum soil organic carbon storage in Midwest US cropping systems when crops are optimally nitrogen-fertilized. PLoS ONE 2017, 12, e0172293. [Google Scholar] [CrossRef] [PubMed]
  89. Mahal, N.K.; Osterholz, W.R.; Miguez, F.E.; Poffenbarger, H.J.; Sawyer, J.E.; Olk, D.C.; Archontoulis, S.V.; Castellano, M.J. Nitrogen Fertilizer Suppresses Mineralization of Soil Organic Matter in Maize Agroecosystems. Front. Ecol. Evol. 2019, 7, 59. [Google Scholar] [CrossRef]
  90. Parton, W.J.; Schimel, D.S.; Cole, C.V.; Ojima, D.S. Analysis of factors controlling soil organic matter levels in great plains grasslands. Soil Sci. Soc. Am. J. 1987, 51, 1173–1179. [Google Scholar] [CrossRef]
  91. Wang, C.; Wan, S.; Xing, X.; Zhang, L.; Han, X. Temperature and soil moisture interactively affected soil net N mineralization in temperate grassland in Northern China. Soil Biol. Biochem. 2006, 38, 1101–1110. [Google Scholar] [CrossRef]
  92. Liu, C.; Lu, M.; Cui, J.; Li, B.; Fang, C. Effects of straw carbon input on carbon dynamics in agricultural soils: A meta-analysis. Glob. Chang. Biol. 2014, 20, 1366–1381. [Google Scholar] [CrossRef] [PubMed]
  93. Singh, B. Are Nitrogen Fertilizers Deleterious to Soil Health? Agronomy 2018, 8, 48. [Google Scholar] [CrossRef]
  94. Madeleine, I.; Peter, S.; Tim, T.; Tom, V. The preparation and use of compost. In Agrodok No. 8, 7th ed.; Agromisa/CTA: Wagenningen, The Netherlands, 2005; p. 65. [Google Scholar]
  95. Diacono, M.; Montemurro, F. Long-term effects of organic amendments on soil fertility. A review. Agron Sustain Dev. 2010, 30, 401–422. [Google Scholar] [CrossRef]
  96. Brown, S.; Cotton, M. Changes in Soil Properties and Carbon Content Following Compost Application: Results of On-farm Sampling. Compost Sci. Util. 2011, 19, 88–97. [Google Scholar] [CrossRef]
  97. Medoro, V.; Ferretti, G.; Galamini, G.; Rotondi, A.; Morrone, L.; Faccini, B.; Coltorti, M. Reducing Nitrogen Fertilization in Olive Growing by the Use of Natural Chabazite-Zeolitite as Soil Improver. Land 2022, 11, 1471. [Google Scholar] [CrossRef]
  98. Nziguheba, G.; Palm, C.A.; Buresh, R.J.; Smithson, P.C. Soil phosphorus fractions and adsorption as affected by organic and inorganic sources. Plant Soil 1998, 198, 159–168. [Google Scholar] [CrossRef]
  99. Pickering, H.W.; Menzies, N.W.; Hunter, M.N. Zeolite/phosphate rock—A novel slow release phosphorus fertiliser for potted plant production. Sci. Hortic. 2002, 94, 333–343. [Google Scholar] [CrossRef]
  100. Ramesh, K.; Redd, D.D. Zeolites and their potential uses in agriculture. Adv. Agron. 2011, 113, 219–241. [Google Scholar]
  101. Wihardjaka, A.; Harsanti, E.S.; Ardiwinata, A.N. Effect of fertilizer management on potassium dynamics and yield of rainfed lowland rice in Indonesia. Chil. J Agric. Res. 2022, 82, 33–43. [Google Scholar] [CrossRef]
  102. Rahem-Bader, B.; Kadhim-Taban, S.; Hasan-Fahmi, A.; Ali-Abood, M.; Jaafar-Hamdi, G. Potassium availability in soil amended with organic matter and phosphorous fertilizer under water stress during maize (Zea mays L.) growth. J. Saudi Soc. Agric. Sci. 2021, 20, 390–394. [Google Scholar] [CrossRef]
  103. Magdich, S.; Rouina, B. Impact of compost agronomic application on soil chemical properties and olive trees (Olea europaea L.) growth parameters. JAAOG 2022, 1, 42–54. [Google Scholar]
  104. Al-Jabori, J.S.J.; Al-Obaed, B.S.O.; Al-Amiri, A.H.F. Effect of soil gypsum content and kind of organic matter on status and behavior of potassium. Tikrit J. Agric. Sci. 2011, 11, 299–310. [Google Scholar]
  105. Rabai, K.A.; Haruna, A.O.; Kasim, S. Use of formulated Nitrogen, phosphorus and potassium compound fertilizer using clinoptilolite zeolite in Maize (Zea mays L.) cultivation. Emir. J. Food Agric. 2013, 25, 713–722. [Google Scholar] [CrossRef]
  106. Treacy, M.J.; Higgins, J.B. Collection of Simulated XRD Powder Patterns for Zeolites, 4th ed.; Treacy, M.J., Higgins, J.B., Eds.; Elsevier: Amsterdam, The Netherlands, 2001; p. 586. [Google Scholar] [CrossRef]
  107. Meena, V.S.; Bahadur, I.; Maurya, B.R.; Kumar, A.; Meena, R.K.; Meena, S.K.; Verma, J.P. Potassium-Solubilizing Microorganism in Evergreen Agriculture: An Overview. In Potassium Solubilizing Microorganisms for Sustainable Agriculture; Meena, V.S., Maurya, B.R., Verma, J.P., Meena, R.S., Eds.; Springer: New Delhi, India, 2016; pp. 1–20. [Google Scholar] [CrossRef]
  108. Barros, M.A.S.D.; Arroyo, P.A. Thermodynamics of the exchange processes between K+, Ca2+ and Cr 3+ in zeolite Na. Adsorption 2004, 10, 227–235. [Google Scholar] [CrossRef]
  109. Mondal, M.; Biswas, B.; Garai, S.; Sarkar, S.; Banerjee, H.; Brahmachari, K.; Bandyopadhyay, P.K.; Maitra, S.; Brestic, M.; Skalicky, M.; et al. Zeolites Enhance Soil Health, Crop Productivity and Environmental Safety. Agronomy 2021, 11, 448. [Google Scholar] [CrossRef]
  110. Bauer, A.; Black, A.L. Quantification of the effect of soil organic matter content on soil productivity. Soil Sci. Soc. Am. J. 1994, 58, 185–193. [Google Scholar] [CrossRef]
  111. Ghulam, S.; Helge, S.; Nazir, H.; Muhammad, M.; Ayesha, Z.; Ghulam, M. Impact of compost to produce rice-wheat crops from saline sodic soil. J. Pure Appl. Agric. 2020, 5, 11–19. [Google Scholar]
  112. Tejada, M.; Garcia, C.; González, J.; Hernández, M. Use of organic amendment as a strategy for saline soil remediation: Influence on the physical, chemical and biological properties of soil. Soil Biol. Biochem. 2006, 38, 1413–1421. [Google Scholar] [CrossRef]
  113. Lax, A.; Diaz, E.; Castillo, V.; Albaladejo, J. Reclamation of physical and chemical properties of a salinized soil by organic amendment. Arid. Soil Res. Rehabil. 1994, 8, 9–17. [Google Scholar] [CrossRef]
  114. Qadir, M.; Schubert, S.; Ghafoor, A.; Murtaza, G. Amelioration strategies for sodic soils: A review. Land Degrad. Dev. 2001, 12, 357–386. [Google Scholar] [CrossRef]
  115. Ramesh, K.; Damodar Reddy, D.; Kumar Biswas, A.; Subba Rao, A. Chapter Four-Zeolites and Their Potential Uses in Agriculture. Adv. Agron. 2011, 113, 219–241. [Google Scholar]
  116. Trinchera, A.; Mario Rivera, C.; Rinaldi, S.; Salerno, A.; Rea, E.; Sequi, P. Granular Size Effect of Clinoptilolite on Maize Seedlings Growth. Open Agric. J. 2010, 4, 23–30. [Google Scholar] [CrossRef]
  117. Nieder, R.; Benbi, D.K.; Scherer, H.W. Fixation and defixation of ammonium in soils: A review. Biol. Fertil. Soils 2011, 47, 1–14. [Google Scholar] [CrossRef]
  118. Maqueda, C.; Herencia, J.F.; Ruiz, J.C.; Hidalgo, M.F. Organic and inorganic fertilization effects on DTPA-extractable Fe, Cu, Mn and Zn and their concentration in the edible portion of crops. J. Agric. Sci. 2011, 149, 461–472. [Google Scholar] [CrossRef]
  119. Rengel, Z.; Batten, G.D.; Crowley, D.E. Agronomic approaches for improving the micronutrient density in edible portions of field crops. Field Crops Res. 1999, 60, 27–40. [Google Scholar] [CrossRef]
  120. Asaye, Z.; Kim, D.-G.; Yimer, F.; Prost, K.; Obsa, O.; Tadesse, M.; Gebrehiwot, M.; Brüggemann, N. Effects of Combined Application of Compost and Mineral Fertilizer on Soil Carbon and Nutrient Content, Yield and Agronomic Nitrogen Use Efficiency in Maize-Potato Cropping Systems in Southern Ethiopia. Land 2022, 11, 784. [Google Scholar] [CrossRef]
  121. Carstens, J.F.; Bachmann, J.; Neuweiler, I. Effects of organic matter coatings on the mobility of goethite colloids in model sand and undisturbed soil. Eur. J. Soil Sci. 2018, 69, 360–369. [Google Scholar] [CrossRef]
  122. Li, Z.; Alessi, D.; Allen, L. Influence of Quaternary Ammonium on Sorption of Selected Metal Cations onto Clinoptilolite Zeolite. J. Environ. Qual. 2000, 31, 1106–1114. [Google Scholar] [CrossRef]
  123. Erdem, E.; Karapinar, N.; Donat, R. The removal of heavy metal cations by Natural zeolites. J. Colloid Interface Sci. 2004, 280, 309–314. [Google Scholar] [CrossRef]
  124. Singh, J.; Kalamdhad, A.S. Reduction of heavy metals during composting—A review. Int. J. Environ. Prot. 2012, 2, 36–43. [Google Scholar]
  125. Sheta, A.S.; Falatah, A.M.; Al-Sewailem, M.S.; Khaled, E.M.; Sallam, A.S. Sorption characteristics of zinc and iron by natural zeolite and bentonite. Micropor. Mesopor. Mat. 2003, 61, 127–136. [Google Scholar] [CrossRef]
  126. Arrobas, M.; Decker, J.V.; Feix, B.L.; WI Godoy, C.A.; Casali, C.M.; Correia, M.Â. Rodrigues Biochar and zeolites did not improve phosphorus uptake or crop productivity in a field trial performed in an irrigated intensive farming system. Soil Use Manag. 2022, 38, 564–575. [Google Scholar] [CrossRef]
  127. Karami, N.; Clemente, R.; Moreno-Jimenez, E.; Lepp, N.W.; Beesley, L. Efficiency of green waste compost and biochar soil amendments for reducing lead and copper mobility and uptake to ryegrass. J. Hazard. Mater. 2011, 191, 41–44. [Google Scholar] [CrossRef] [PubMed]
  128. Soja, G.; Wimmer, B.; Rosner, F.; Faber, F.; Dersch, G.; von Chamier, J.; Pardeller, G.; Ameur, D.; Keiblinger, K.; Zehetner, F. Compost and biochar interactions with copper immobilisation in copper-enriched vineyard soils. Appl. Geochem. 2018, 88, 40–48. [Google Scholar] [CrossRef]
  129. Baydina, N.L. Inactivation of heavy metals by humus and zeolites in industrially contaminated soils. Eurasian Soil Sci. 1996, 28, 96–105. [Google Scholar]
  130. Chlopecka, A.; Adriano, D.C. Mimicked in-situ stabilization of metals in a cropped soil: Bioavailability and chemical form of zinc. Environ. Sci. Technol. 1996, 30, 3294–3303. [Google Scholar] [CrossRef]
  131. Chlopecka, A.; Adriano, D.C. Influence of zeolite, apatite and Fe-oxide on Cd and Pb uptake by crops. Sci. Total Environ. 1997, 207, 195–206. [Google Scholar] [CrossRef] [PubMed]
  132. Gworek, B. The effect of zeolites on copper uptake by plants growing in contaminated soils. J. Incl. Phenom. Macrocycl. Chem. 1993, 1, 1–7. [Google Scholar] [CrossRef]
  133. Cadar, O.; Stupar, Z.; Senila, M.; Levei, L.; Moldovan, A.; Becze, A.; Ozunu, A.; Levei, E.A. Zeolites Reduce the Transfer of Potentially Toxic Elements from Soil to Leafy Vegetables. Materials 2022, 15, 5657. [Google Scholar] [CrossRef] [PubMed]
  134. Shuman, L.M. Organic waste amendments effect on zinc fractions of two soils. J. Environ. Qual. 1999, 28, 1442–1447. [Google Scholar] [CrossRef]
  135. Watts-Williams, S.J.; Turney, T.W.; Patti, A.F.; Cavagnaro, T.R. Uptake of zinc and phosphorus by plants is affected by zinc fertiliser material and arbuscular mycorrhizas. Plant Soil 2014, 376, 165–175. [Google Scholar] [CrossRef]
  136. Zhang, Y.Q.; Deng, Y.; Chen, R.Y.; Cui, Z.L.; Chen, X.P.; Yost, R.; Zhang, F.S.; Zou, C.Q. The reduction in zinc concentration of wheat grain upon increased phosphorus-fertilization and its mitigation by foliar zinc application. Plant Soil 2012, 361, 143–152. [Google Scholar] [CrossRef]
  137. Cheng, Y.; Wang, C.; Chai, S.; Shuai, W.; Sha, L.; Zhang, H.; Kang, H.; Fan, X.; Zeng, J.; Zhou, Y.; et al. Ammonium N influences the uptakes, translocations, subcellular distributions and chemical forms of Cd and Zn to mediate the Cd/Zn interactions in dwarf polish wheat (Triticum polonicum L.) seedlings. Chemosphere 2018, 193, 1164–1171. [Google Scholar] [CrossRef]
  138. Behera, S.K.; Singh, M.V.; Singh, K.N.; Todwal, S. Distribution variability of total extractable zinc in cultivated acid soils of India and their relationship with some selected soil properties. Geoderma 2011, 162, 242–250. [Google Scholar] [CrossRef]
  139. Rutkowska, B.; Szulc, W.; Sosulski, T.; Stępień, W. Soil micronutrient availability to crops affected by long-terminorganic and organic fertilizer applications. Plant Soil Environ. 2014, 60, 198–203. [Google Scholar] [CrossRef]
  140. Angelova, V.; Akova, V.; Artinova, N.; Ivanov, K. The Effect of Organic Amendments on Soil Chemical Characteristics. Bulg. J. Agric. Sci. 2013, 19, 958–971. [Google Scholar]
  141. Gallardo-Lara, F.; Nogales, R. Effect of the application of town refuse compost on the soil-plant system: A review. Biol. Wastes 1987, 19, 35–62. [Google Scholar] [CrossRef]
  142. Antoniadis, V.; Alloway, B.J. Evidence of heavy metal movementdown the profile of a heavily-sludged soil. Commun. Soil Sci. Plant Anal. 2003, 34, 1225–1231. [Google Scholar] [CrossRef]
  143. Zorpas, A.A.; Constantinides, T.; Vlyssides, A.G.; Haralambous, I.; Loizidou, M. Heavy metal uptake by natural zeolite and metals partitioning in sewage sludge compost. Bioresour. Technol. 2000, 72, 113–119. [Google Scholar] [CrossRef]
  144. Clemente, R.; Walker, D.J.; Bernal, M.P. Uptake of heavy metals and As by Brassica juncea grown in a contaminated soil in Aznaco´ llar (Spain). The effect of soil amendments. Environ. Pollut. 2005, 138, 46–58. [Google Scholar] [CrossRef]
  145. Chung, J.B.; Cho, H.Y. Content and Availability of Micronutrients in Manure-based Composts. Korean. J. Soil Sci. Fert. 2006, 39, 230–236. [Google Scholar]
  146. Sorrenti, G.; Toselli, M.; Marangoni, B. Use of compost to manage Fe nutrition of pear trees grown in calcareous soil. Sci. Hortic. 2012, 136, 87–94. [Google Scholar] [CrossRef]
  147. Iskander, A.L.; Khald, E.M.; Sheta, A.S. Zinc and manganese sorption behavior by natural zeolite and bentonite. Ann. Agric. Sci. 2011, 56, 43–48. [Google Scholar] [CrossRef]
  148. Khan, A.G.; Kuek, C.; Chandhry, T.M.; Khoo, C.S.; Hayes, W.J. Role of plants, mycorrhizae and phytochelators in heavy metal contaminated land remediation. Chemosphere 2000, 41, 197–207. [Google Scholar] [CrossRef]
Figure 1. Significant interaction effects of the use of chemical fertilizer, compost and zeolite in Ac-LT soils (A): (a,b) for above fresh weight (AFW; g.), (c) for soil pH, (d) for electrical conductivity (E.C.; mS/cm), (e) for exchangeable Na (Na exch.; cmolc kg−1) and in Al-HT soils (B): (ac) for pH, (d) for soil organic matter (SOM; %), (e) for exchangeable K (K exch.; cmolc kg−1), (fh) for exchangeable Na (Na exch., cmolc kg−1). Chemical fertilization regimes (F: NPK fertilization and F0: without chemical fertilization), Compost rates (C0: 0% and C10: 10% v/v), Zeolite rates (Z0: 0% and Z2: 2% and Z5: 5%, w/w). The results of ANOVA (F values) were shown at the top of each figure. *, **, *** indicated significant interactions at p < 0.05, 0.01, 0.001, respectively.
Figure 1. Significant interaction effects of the use of chemical fertilizer, compost and zeolite in Ac-LT soils (A): (a,b) for above fresh weight (AFW; g.), (c) for soil pH, (d) for electrical conductivity (E.C.; mS/cm), (e) for exchangeable Na (Na exch.; cmolc kg−1) and in Al-HT soils (B): (ac) for pH, (d) for soil organic matter (SOM; %), (e) for exchangeable K (K exch.; cmolc kg−1), (fh) for exchangeable Na (Na exch., cmolc kg−1). Chemical fertilization regimes (F: NPK fertilization and F0: without chemical fertilization), Compost rates (C0: 0% and C10: 10% v/v), Zeolite rates (Z0: 0% and Z2: 2% and Z5: 5%, w/w). The results of ANOVA (F values) were shown at the top of each figure. *, **, *** indicated significant interactions at p < 0.05, 0.01, 0.001, respectively.
Agriculture 13 01022 g001
Figure 2. Significant interaction effects of the use of chemical fertilizer, compost and zeolite on leaf nutrient content in lettuce grown in Ac-LT soils and Al-HT soils. Macronutrient content (A): (a) for leaf N (LN; %), (b) for leaf P, (LP; %), (c,d) for leaf K (LK; %) and (e) for leaf Na (LNa; %); Micronutrient content (B): (a,b) for leaf Zn (LZn; mg kg−1) and (ce) for leaf Mn (LMn; mg kg−1); Chemical fertilization regimes (F: NPK fertilization and F0: without chemical fertilization), Compost rates (C0: 0% and C10: 10% v/v), Zeolite rates (Z0: 0% and Z2: 2% and Z5: 5%, w/w). The results of ANOVA (F values) were shown at the top of each figure. *, **, *** indicated significant interactions at p < 0.05, 0.01, 0.001, respectively.
Figure 2. Significant interaction effects of the use of chemical fertilizer, compost and zeolite on leaf nutrient content in lettuce grown in Ac-LT soils and Al-HT soils. Macronutrient content (A): (a) for leaf N (LN; %), (b) for leaf P, (LP; %), (c,d) for leaf K (LK; %) and (e) for leaf Na (LNa; %); Micronutrient content (B): (a,b) for leaf Zn (LZn; mg kg−1) and (ce) for leaf Mn (LMn; mg kg−1); Chemical fertilization regimes (F: NPK fertilization and F0: without chemical fertilization), Compost rates (C0: 0% and C10: 10% v/v), Zeolite rates (Z0: 0% and Z2: 2% and Z5: 5%, w/w). The results of ANOVA (F values) were shown at the top of each figure. *, **, *** indicated significant interactions at p < 0.05, 0.01, 0.001, respectively.
Agriculture 13 01022 g002
Figure 3. Interaction effects of the use of chemical fertilizer, compost and zeolite on available micronutrients in Ac-LT soils. (a,b) for Available Fe (DTPA-Fe; mg kg−1) and (ce) for available Mn (DTPA-Mn; mg kg−1). Chemical fertilization regimes (F: NPK fertilization and F0: without chemical fertilization), Compost rates (C0: 0% and C10: 10% v/v), Zeolite rates (Z0: 0% and Z2: 2% and Z5: 5%, w/w). The results of ANOVA (F values) were shown at the top of each figure. **, *** indicated significant interactions at p < 0.01, 0.001, respectively.
Figure 3. Interaction effects of the use of chemical fertilizer, compost and zeolite on available micronutrients in Ac-LT soils. (a,b) for Available Fe (DTPA-Fe; mg kg−1) and (ce) for available Mn (DTPA-Mn; mg kg−1). Chemical fertilization regimes (F: NPK fertilization and F0: without chemical fertilization), Compost rates (C0: 0% and C10: 10% v/v), Zeolite rates (Z0: 0% and Z2: 2% and Z5: 5%, w/w). The results of ANOVA (F values) were shown at the top of each figure. **, *** indicated significant interactions at p < 0.01, 0.001, respectively.
Agriculture 13 01022 g003
Table 1. Soil properties before application of the amendments.
Table 1. Soil properties before application of the amendments.
Soil TypeTexturepHE.C.
mS cm−1
Org. Matter
g kg−1
CaCO3
%
N
mg g−1
P-Olsen
mg kg−1
Exchangeable
Cations
DTPA Extractable Micronutrients
KMgCaNaZnMnFeCu
cmol kg−1mg kg−1
Ac-LTSL5.60.7915.07-0.95470.441.10.870.112.997.2157.220.1
Al-HTSC7.71.317.8211.60.71140.721.82.380.121.6418.5419.32.47
Table 2. Combinations of chemical fertilization, compost and zeolite.
Table 2. Combinations of chemical fertilization, compost and zeolite.
Treatment Combinations a/aChemical FertilizationCompostZeolite
1F0C0Z0
2F0C10Z0
3F0C0Z2
4F0C10Z2
5F0C0Z5
6F0C10Z5
7FC0Z0
8FC10Z0
9FC0Z2
10FC10Z2
11FC0Z5
12FC10Z5
Table 3. Compost characteristics.
Table 3. Compost characteristics.
pH (1:5)8.2Total Mg, (%)0.32
Organic carbon, %49.4Total Na, (%)0.02
Solids, %46Total Fe, (mg/kg)1495
EC, mS cm−1 (1:5)0.95Total Cu, (mg/kg)65
Total N, (%)2.31Total Zn, (mg/kg)79
Total K, (%)2.9Total Mn, (mg/kg)120
Total P, (%)0.53Total B, (mg/kg)654
Table 4. Clinoptilolite zeolite characteristics.
Table 4. Clinoptilolite zeolite characteristics.
pH7.31
CEC187 cmol(+)/kg
Size of Granules0–0.15 mm
Moisture content11.9%
Content of clinoptilolite87%
Residue on Sieve 0.15 mm0.8%
Table 5. Effects of chemical fertilization (F), application of compost (C) and zeolite (Z) and their interactions on above fresh weight of lettuce (AFW), soil pH, electrical conductivity (EC), organic matter (SOM) and total N (TN), in Ac-LT and Al-HT soils.
Table 5. Effects of chemical fertilization (F), application of compost (C) and zeolite (Z) and their interactions on above fresh weight of lettuce (AFW), soil pH, electrical conductivity (EC), organic matter (SOM) and total N (TN), in Ac-LT and Al-HT soils.
F Value
AFW (b)pH (b)EC (b)SOM (b)TN (b)
Source (a)dfAc-LTAl-HTAc-LTAl-HTAc-LTAl-HTAc-LTAl-HTAc-LTAl-HT
Fertilization (F)111.70 **10.107 **457.143 ***101.769 ***327.07 ****150.388 ***0.04 NS21.951 **0.55 NS3.224 NS
Compost (C)123.03 ***24.328 ***257.143 ***3.769 NS8.58 *0.078 NS9.35 *19.608 **20.36 **157.742 ***
Zeolite (Z)21.54 NS1.641 NS0.018 NS2.026 NS27.11 ***2.015 NS2.74 NS5.390 *1.26 NS1.862 NS
F × C18.25 **0.096 NS18.286 ***7.410 *0.31 NS0.015 NS0.82 NS1.160 NS0.37 NS0.469 NS
F × Z25.58 **1.999 NS0.768 NS7.154 *26.61 ***1.743 NS0.65 NS6.226 *0.37 NS0.125 NS
C × Z10.57 NS0.308 NS0.375 NS5.769 *2.60 NS0.209 NS0.27 NS1.472 NS0.95 NS0.807 NS
F × C × Z21.22 NS0.542 NS1.839 NS7.410 *2.54 NS0.441 NS0.35 NS1.489 NS0.70 NS2.302 NS
Main factorMean values ± std
Fertilization (F)F040.3±8.37 b (c)27.4±3.65 a6.65±0.39 a7.60±0.14 a1.0±0.27 b1.5±0.19 b2.4±1.11.7±0.79 b1.09±0.361.09±0.57
F45.8±6.64 a23.0±5.02 b5.31±0.68 b7.30±0.08 b4.7±1.75 a6.9±1.50 a2.3±1.43.5±2.04 a1.01±0.301.15±0.50
Compost (C)C 0%39.2±7.57 b21.5±4.59 b5.43±0.84 b7.46±0.202.2±2.27 b4.1±1.121.6±1.34 b1.8±1.46 b0.82±0.17 b0.59±0.15 b
C 10%47.9±6.16 a28.0±4.82 a6.48±0.57 a7.53±0.153.8± 2.36 a4.3±2.983.0±0.72 a3.4±1.68 a1.28±0.28 a1.55±0.25 a
Zeolite (Z)Z 0%41.6±9.99 b26.3±4.875.98±0.877.40±0.222.0±1.20 c3.7±1.472.1±0.781.7±1.17 b0.40±0401.14±0.54
Z 2%46.1±5.12 a22.9±2.825.98±0.957.44±0.202.9±2.0 b4.2±1.983.1±1.553.1±2.06 a0.33±0.331.10±0.62
Z 5%42.4±7.44 ab25.7±3.975.97±0.907.46±0.103.8±3.06 a4.8±1.691.8±1.143.0±1.80 a0.24±0.240.97±0.48
(a) GLM model. Values of F: * p < 0.05; ** p < 0.01; *** p < 0.001; **** p < 0.0001; NS: no significant differences; (b) AFW in g, EC in mS cm−1, SOM in % and TN in mg g−1; (c) Mean values for each measured parameter within each main factor and soil type with the same letter are not significantly different (p < 0.05).
Table 6. Effects of chemical fertilization (F), application of compost (C) and zeolite (Z) on concentration of N, P, K and Na in lettuce grown in Ac-LT and Al-HT soils.
Table 6. Effects of chemical fertilization (F), application of compost (C) and zeolite (Z) on concentration of N, P, K and Na in lettuce grown in Ac-LT and Al-HT soils.
F Value
LN (b)LP (b)LK (b)LNa (b)
Source (a)dfAc-LTAl-HTAc-LTAl-HTAc-LTAl-HTAc-LTAl-HT
Fertilization (F)192.461 ***5.612 *3.513 NS0.042 NS1.999 NS0.106 NS11.449 *0.039
Compost (C)19.536 **1.749 NS1.273 NS14.439 **5.020 *24.156 ***0.49615.011 *
Zeolite (Z)21.282 NS1.447 NS4.265 *4.440 *9.293 **5.807 *5.320 *9.821 *
F × C146.695 ***2.634 NS7.670 *0.482 NS8.937 *0.413 NS5.577 *2.151
F × Z23.304 NS1.933 NS1.284 NS3.206 NS3.754 NS2.902 NS2.2482.606
C × Z10.324 NS1.104 NS2.994 NS0.274 NS7.547 *0.379 NS0.3571.174
F × C × Z20.337 NS1.163 NS8.200 **0.143 NS12.172 **0.360 NS1.5131.835
Main factorMean values ± std (c)
Fertilization (F)F02.72 ± 0.63 b2.75 ± 0.63 b0.09 ± 0.030.18 ± 0.0111.04 ± 2.195.43 ± 1.990.205 ± 0.11a0.20 ± 0.05
F3.76 ± 0.34 a3.16 ± 0.22 a0.12 ± 0.050.17 ± 0.0213.43 ± 4.155.68 ± 0.480.409 ± 0.19 b0.23 ± 0.06
Compost (C)C 0%3.07 ± 0.97 b2.84 ± 0.690.10 ± 0.050.10 ± 0.08 b10.34 ± 5.11 b2.82 ± 0.60 b0.33 ± 0.150.15 ± 0.04 b
C 10%3.41 ± 0.33 a3.07 ± 0.180.12 ± 0.030.25 ± 0.21 a14.13 ± 5.56 a8.18 ± 1.69 a0.29 ± 0.180.31 ± 0.05 a
Zeolite (Z)Z 0%3.21 ± 0.643.09 ± 0.270.08 ± 0.05 b0.13 ± 0.12 b8.02 ± 6.15 b4.53 ± 0.40 b0.17 ± 0.081 b0.20 ± 0.045 b
Z 2%3.16 ± 0.952.75 ± 0.740.14 ± 0.04 a0.11 ± 0.14 b16.90 ± 10.79 a3.88 ± 1.54 b0.35 ± 0.11 a0.14 ± 0.025 b
Z 5%3.36 ± 0.643.03 ± 0.390.13 ± 0.05 a0.25 ± 0.11 a11.78 ± 2.53 b8.10 ± 2.54 a0.40 ± 0.15 a0.35 ± 0.06 a
(a) GLM model. Values of F: * p < 0.05; ** p < 0.01; *** p < 0.001; NS: no significant differences; (b) LN, LP, LK and LNa in %; (c) Mean values for each measured parameter within each main factor and soil type with the same letter are not significantly different (p < 0.05).
Table 7. Effects of chemical fertilization (F), application of compost (C) and zeolite (Z) and their interactions on available P (P-Olsen), exchangeable K (K exch.) and exchangeable Na (Na exch.), in Ac-LT and Al-HT soils.
Table 7. Effects of chemical fertilization (F), application of compost (C) and zeolite (Z) and their interactions on available P (P-Olsen), exchangeable K (K exch.) and exchangeable Na (Na exch.), in Ac-LT and Al-HT soils.
F Value
P-Olsen (b)K Exch (b)Na Exch(b)
Source (a)dfAc-LTAl-HTAc-LTAl-HTAc-LTAl-HT
Fertilization (F)158.869 ***429.170 ***332.569 ***16.670 **428311.121 *
Compost (C)17.056 *399.925 ***21.786 **4.680 *6.967 *12.847 *
Zeolite (Z)20.546 NS1.525 NS4.912 *14.637 **20.315 ***222.721 ***
F × C10.101 NS0.176 NS0.497 NS0.023 NS0.97212.089 *
F × Z20.149 NS0.272 NS0.572 NS17.07 ***0.40758.634 ***
C × Z10.014 NS0.450 NS0.122 NS0.241 NS5.900 *16.497 ***
F × C × Z20.333 NS0.076 NS1.292 NS2.215 NS0.5505.536 *
Main factorMean values ± std (c)
Fertilization (F)F056.4 ± 8.01 b23.14 ± 10.77 b1.10 ± 0.87 b0.96 ± 0.91 b1.27 ± 0.591.41 ± 0.41 a
F89.3 ± 12.13 a44.64 ± 11.34 a1.84 ± 1.01 a2.04 ± 1.50 a1.52 ± 0.481.74 ± 0.24 b
Compost (C)C 0%67.2 ± 17.14 b23.51 ± 11.17 b1.64 ± 1.12 a1.81 ± 1.47 a1.65 ± 0.68 a1.73 ± 0.32 b
C 10%78.6 ± 20.83 a44.26 ± 11.71 a1.25 ± 0.81 b1.32 ± 1.12 b1.20 ± 0.31 b1.32 ± 0.34 a
Zeolite (Z)Z 0%72.2 ± 21.2934.20 ± 15.510.52 ± 0.25 c1.49 ± 0.89 b1.02 ± 0.16 a0.62 ± 0.11a
Z 2%70.6 ± 18.8632.66 ± 15.781.32 ± 0.52 b2.36 ± 1.18 a1.24 ± 0.28 a1.31 ± 0.94 b
Z 5%75.9 ± 20.6834.81 ± 16.982.41 ± 1.10 a0.85 ± 1.18 c1.92 ± 0.60 b2.86 ± 0.60 c
(a) GLM model. Values of F: * p < 0.05; ** p < 0.01; *** p < 0.001; NS: no significant differences; (b) P-Olsen in mg kg−1, Kexch and Naexch. in cmol kg−1; (c) Mean values for each measured parameter within each main factor and soil type with the same letter are not significantly different (p < 0.05).
Table 8. Effects of chemical fertilization (F), application of compost (C) and zeolite (Z) and their interactions on available (DTPA) micronutrients (Fe, Cu, Zn, Mn) in Ac-LT and Al-HT soils.
Table 8. Effects of chemical fertilization (F), application of compost (C) and zeolite (Z) and their interactions on available (DTPA) micronutrients (Fe, Cu, Zn, Mn) in Ac-LT and Al-HT soils.
F Value
DTPA-Fe (b)DTPA-Cu (b)DTPA-Zn (b)DTPA-Mn (b)
Source (a)dfAc-LTAl-HTAc-LTAl-HTAc-LTAl-HTAc-LTAl-HT
Fertilization (F)10.139 NS25.222 ***3.409 NS9.547 *18.078 **0.932 NS67.875 ***28.883 ***
Compost (C)110.191 **14.106 **13.610 **2.451 NS2.175 NS10.594 *31.816 ***3.224 NS
Zeolite (Z)22.481 NS5.767 *0.974 NS1.403 NS0.332 NS0.660 NS6.271 *3.067 NS
F × C110.558 **0.422 NS0.033 NS1.257 NS0.090 NS0.831 NS15.430 **0.188 NS
F × Z217.301 ***0.611 NS0.976 NS0.087 NS2.770 NS0.168 NS7.096 **0.483 NS
C × Z12.194 NS0.191 NS0.908 NS0.583 NS1.839 NS0.444 NS15.780 ***0.806 NS
F × C × Z20.323 NS0.167 NS0.286 NS1.560 NS0.577 NS0.751 NS24.316 ***0.602 NS
Main FactorMean Values ± std (c)
Fertilization (F)F054.82 ± 9.2220.44 ± 3.31 a21.7 ± 3.002.20 ± 0.31 a2.2 ± 0.31 b1.9 ± 0.401.94 ± 1.23 b17.1 ± 3.32 a
F55.71 ± 14.6414.52 ± 4.40 b23.7 ± 3.471.67 ± 0.52 b3.8 ± 0.26 a2.1 ± 0.426.43 ± 1.42 a11.8 ± 1.66 b
Compost (C)C 0%59.54 ± 12.11 a15.27 ± 3.42 b24.8 ± 2.61 a2.15 ± 0.533.1 ± 0.391.8 ± 0.37 b5.72 ± 1.55 a13.6 ± 1.16
C 10%51.04 ± 10.6 b19.69 ± 5.19 a20.7 ± 2.74 b1.78 ± 0.453.3 ± 0.332.4 ± 0.28 a2.64 ± 0.56 b15.4 ± 0.97
Zeolite (Z)Z 0%53.72 ± 11.1719.73 ± 3.64 a22.4 ± 2.702.13 ± 0.353.4 ± 0.391.9 ± 0.405.06 ± 1.45 a16.2 ± 1.12
Z 2%52.76 ± 8.2417.84 ± 4.48 ab22.0 ± 3.631.80 ± 0.513.2 ± 0.292.2 ± 0.474.66 ± 2.07 a13.6 ± 1.54
Z 5%59.41 ± 15.7714.87 ± 5.53 b23.8 ± 3.71.86 ± 0.603.1 ± 0.441.9 ± 0.362.84 ± 0.81 b13.7 ± 1.24
(a) GLM model. Values of F: * p < 0.05; ** p < 0.01; *** p < 0.001; NS: no significant differences; (b) DTPA-Fe, DTPA- Cu, DTPA- Mn, DTPA-Zn in mg kg−1; (c) Mean values for each measured parameter within each main factor and soil type with the same letter are not significantly different (p < 0.05).
Table 9. Effects of fertilization (F), application of compost (C) and zeolite (Z) on leaf concentration of iron (LFe), copper (LCu), zink (LZn) and manganese (LMn) in lettuce plants grown in Ac-LT and Al-HT soils.
Table 9. Effects of fertilization (F), application of compost (C) and zeolite (Z) on leaf concentration of iron (LFe), copper (LCu), zink (LZn) and manganese (LMn) in lettuce plants grown in Ac-LT and Al-HT soils.
F Value
LFe (b)LCu (b)LZn (b)LMn (b)
Source (a)dfAc-LTAl-HTAc-LTAl-HTAc-LTAl-HTAc-LTAl-HT
Fertilization (F)13.848 NS4.498 *1.820 NS3.881 NS9.230 *4.863 *192.236 ***3.574 NS
Compost (C)13.955 NS1.895 NS1.324 NS1.093 NS21.378 **0.470 NS228.966 ***3.533 NS
Zeolite (Z)20.836 NS0.800 NS0.607 NS1.120 NS2,9460.401 NS1.734 NS0.023 NS
F × C12.037 NS2.596 NS1.429 NS0.102 NS4.795 *0.023 NS17.507 ***7.129 *
F × Z20.431 NS0.914 NS0.024 NS2.003 NS4.595 *0.745 NS4.796 *1.638 NS
C × Z10.027 NS0.498 NS0.039 NS1.475 NS2.8 NS1.794 NS2.818 NS0.359 NS
F × C × Z20.011 NS0.580 NS0.387 NS1.349 NS4.808 *0.199 NS5.270 *0.405 NS
Main factorMean values ± std (c)
Fertilization (F)F0503 ± 8820.4 ± 3.31 a16.263.592.2 ± 0.3144.4 ± 10.3 b36.7 ± 4.37 a77 ± 29.2 b103 ± 12.3
F383 ± 7214.5 ± 2.40 b18.53 ± 3.611.7 ± 0.5261.3 ± 23.1 a25.7 ± 1.41 b417 ± 84.4 a126 ± 6.0
Compost (C)C 0%382 ± 8615.2 ± 3.4216.43 ± 3.512.1 ± 0.5365.6 ± 3.32 a32.9 ± 4.55430 ± 38.5 a103 ± 13.4
C 10%503 ± 9519.6 ± 1.1918.36 ± 3.791.8 ± 0.4540.0 ± 4.77 b29.5 ± 2.3062 ± 11.2 b126 ± 3.3
Zeolite (Z)Z 0%450 ± 3919.7 ± 3.6418.69 ± 3.932.1 ± 0.3556.9 ± 28.234.3 ± 4.9266 ± 118110 ± 6.4
Z 2%487 ± 4417.8 ± 2.4816.57 ± 3.211.8 ± 0.5158.3 ± 27.429.9 ± 4.4261 ± 110115 ± 16.7
Z 5%391 ± 2814.8 ± 3.5316.03 ± 4.011.9 ± 0.6043.4 ± 17.829.3 ± 4.1215 ± 85112 ± 13.4
(a) GLM model. Values of F: * p < 0.05; ** p < 0.01; *** p < 0.001; NS: no significant differences; (b) LFe, LCu, LZn and LMn in mg kg−1; (c) Mean values for each measured parameter within factors and soil type with the same letter are not significantly different (p < 0.05).
Disclaimer/Publisher’s Note: The statements, opinions and data contained in all publications are solely those of the individual author(s) and contributor(s) and not of MDPI and/or the editor(s). MDPI and/or the editor(s) disclaim responsibility for any injury to people or property resulting from any ideas, methods, instructions or products referred to in the content.

Share and Cite

MDPI and ACS Style

Kavvadias, V.; Ioannou, Z.; Vavoulidou, E.; Paschalidis, C. Short Term Effects of Chemical Fertilizer, Compost and Zeolite on Yield of Lettuce, Nutrient Composition and Soil Properties. Agriculture 2023, 13, 1022. https://doi.org/10.3390/agriculture13051022

AMA Style

Kavvadias V, Ioannou Z, Vavoulidou E, Paschalidis C. Short Term Effects of Chemical Fertilizer, Compost and Zeolite on Yield of Lettuce, Nutrient Composition and Soil Properties. Agriculture. 2023; 13(5):1022. https://doi.org/10.3390/agriculture13051022

Chicago/Turabian Style

Kavvadias, Victor, Zacharias Ioannou, Evangelia Vavoulidou, and Christos Paschalidis. 2023. "Short Term Effects of Chemical Fertilizer, Compost and Zeolite on Yield of Lettuce, Nutrient Composition and Soil Properties" Agriculture 13, no. 5: 1022. https://doi.org/10.3390/agriculture13051022

APA Style

Kavvadias, V., Ioannou, Z., Vavoulidou, E., & Paschalidis, C. (2023). Short Term Effects of Chemical Fertilizer, Compost and Zeolite on Yield of Lettuce, Nutrient Composition and Soil Properties. Agriculture, 13(5), 1022. https://doi.org/10.3390/agriculture13051022

Note that from the first issue of 2016, this journal uses article numbers instead of page numbers. See further details here.

Article Metrics

Back to TopTop