Abstract
Tamil Nadu in particular is a key rice-producing region in peninsular India. Hydrochemistry, viz., redox potential (Rh), soil temperature and dissolved oxygen (DO), of rice soils can determine the production of greenhouse gas methane (CH4). In recent decades, the cultivation of crops organically became a viable option for mitigating climate change. Hence, this study aimed to investigate the effects of different organic amendments on CH4 emission, Rh, DO, and soil and water temperature (T) in relation to the yield of paddy. The treatments composed of viz., control, blue-green algae (BGA), Azolla, farm yard manure (FYM), green leaf manure (GLM), blue-green algae + Azolla, FYM + GLM, BGA + Azolla + FYM + GLM, vermicompost and decomposed livestock manure. With the addition of BGA + Azolla, the highest reduction in CH4 emission was 37.9% over the control followed by BGA. However, the same treatment had a 50% and 43% increase in Rh and DO, respectively, over the control. Established Pearson correlation analyses showed that the CH4 emission had a positive correlation with soil (r = 0.880 **) and water T (r = 0.888 **) and negative correlations with Rh (r = −0.987 **) and DO (r = −0.963 **). The higher grain yield of 26.5% was associated with BGA + Azolla + FYM + GLM application. Our findings showed that there are significant differences in CH4 emissions between different organic amendments and that hydro-parameters may be a more important controlling factor for methane emissions than temperature. The conclusion has been drawn based on valid research findings that bio-fertilization using BGA and Azolla is an efficient and feasible approach to combat climate change, as it assists in reducing methane emissions while simultaneously boosting crop yield by fixing nitrogen into the soil in the studied agro-climatic zone.
1. Introduction
Rice is the most important staple crop after wheat and two-thirds of the world’s population relies on rice as their main food supply [1]. Rice is produced on a global scale of 769.4 million tonnes from 167.2 million acres [2] and it is an essential component of food systems. Globally, India ranks first with approximately 44 million hectares under rice cultivation [3]. Globally, agriculture has been identified as one of the major sources of greenhouse gas (GHG) emissions and is estimated to contribute around 12% of the total GHG emissions [4]. Rice cultivation has been identified as the fourth largest source of greenhouse gas emissions in the agricultural industry, following enteric fermentation (40%), livestock manure management (23%) and fertilizer use in croplands and grasslands (13%). Rice production is a major contributor to the global climate crisis and reducing emissions from this sector is essential in order to mitigate its impacts [5]. Rice production in India, China and Southeast Asia dominates the global markets. Together, these three regions account for nearly 90% of total rice cultivation worldwide [6].
Annually, rice farming in India is one of the major contributors to emissions, releasing an estimated 97 megatons of carbon dioxide equivalents into the environment [5]. Rice cultivation is a major source of greenhouse gases (GHGs) such as methane (CH4) and nitrous oxide (N2O). These emissions are 28 and 265 times more powerful than carbon dioxide (CO2) at warming up the planet in a 100-year period [7]. Cultivating rice has long been known to be an important source of releasing CH4 (Methane) into the atmosphere. Rice cultivation is responsible for a significant amount of global methane emissions, which have a huge impact on climate change [8]. The extent of rice fields has been a major culprit of the increment in global CH4 discharges from rice farming during the past century [9,10].
Rice farming around the world is increasing, leading to an increase in CH4 emissions. Unless preventive steps are taken, this trend is likely to continue in the future [5,11]. Methane is a major factor in global warming, as it traps infrared radiation and leads to significant increases in mean surface temperatures. Around 30 to 50 percent of recent temperature rises have been attributed to methane emissions [4].
Methane is one of the main components of our atmosphere, which is produced by anaerobic microorganisms. It is formed as the result of an organic carbon mineralization process that happens in oxygen-free sediments [12,13]. Rice cultivation plays an important role in global warming potential (GWP), as the methane produced in fields affects both the carbon and nitrogen cycles, making it a crucial contributor to GWP. Ninety percent of the methane in soils is transported to the troposphere via ebullition, diffusion and plant-mediated pathways. Plants facilitate this release through their specialized aerenchyma structures that provide oxygen for respiration and methane for transport [14,15,16,17].
Soil methane production and consumption are determined by weather, water and soil conditions and agricultural practices such as irrigation, drainage, organic amendments, fertilizer application and crop selection. Methane production in the soil is affected by variables such as temperature, irrigation, redox potential, fertilization and carbon availability [18,19,20]. Factors limiting CH4 production in wetland rice fields include organic carbon from the soil and organic amendments. Methane production is impacted by soil redox potential, temperature, carbon content and rice growth in a positive direction. Soil microorganisms, including those that produce methane, are heavily influenced by temperature. The CH4 emission rate is closely correlated with air or soil temperature, according to multiple research studies [21,22,23,24].
Rice cultivation is a key contributor to methane emissions and climate change, so reducing it is critical for mitigating the effects of global warming. Biological processes consume a large amount of methane in the global cycle. Methane-oxidizing bacteria (MOB) is responsible for up to 15% of global methane destruction, making them the main biological sink for atmospheric CH4.
These days, organic inputs are increasingly being used by the farmers to improve soil fertility. Among them FYM, vermicompost, green manures Azolla and BGA are common. FYM has been shown to be effective in reducing CH4 emissions from rice fields while also increasing soil fertility and crop productivity [25]. A study disclosed that vermicompost emits far less methane than synthetic fertilizers [26]. BGA and Azolla can help reduce global warming by increasing dissolved oxygen content in flooded rice, suppressing the activity of methanogens. Nitrogen-fixing systems can reduce methane emissions from flooded rice fields while also providing essential added nitrogen to the crop [27]. Contrastingly, organic additions into the soil, such as straw or manure amendment, often increase methane emissions. The amount, quality and timing of organic inputs affect the increase in CH4 emissions [28].
In light of the above insights, this study was conducted to investigate the impacts of various organic amendments on soil and water temperature, redox potential, dissolved oxygen potential, methane emission rates and yield potential of rice crops in an effort to mitigate global warming effects.
2. Materials and Methods
2.1. Site Details
The experimental site was located at Ponnaniyar Basin, Vaiyampatti block (10.4838° N, 78.4423° E), Trichy, Tamil Nadu, India (Figure 1). The farm is located 85 metres above mean sea level at 10°45′ N latitude and 78°36′ E longitude. The site has a semi-arid tropical environment, receives 843 mm of rain on average annually, spread out across 48 wet days. The average high and low temperatures are 34.8 °C and 24.7 °C, respectively. In the morning, the relative humidity ranged from 87 to 96 percent, and in the afternoon, it ranged from 66 to 87 percent. Figure 2 displays the precipitation and temperature for the study site during the course of the investigation. The average minimum and maximum temperature during the growing season (Kharif 2021) were 21.7 °C and 33.8 °C, respectively.
Figure 1.
Illustrating the study location of Vaiyampatti block in Trichy district of Tamil Nadu.
Figure 2.
Average precipitation and temperature of the study site during the course of the investigation.
The soil of the study site contained 57.0% sand, 13.1% silt and 29.1% clay and electrical conductivity of 0.35 (dS m−1). Initial soil analysis showed a pH of 9.1, 0.49% organic carbon, 191 kg of available nitrogen per hectare, 27.5 kg of available phosphorus per hectare and 240 kg of available potassium per hectare (Table 1).
Table 1.
Properties of the paddy soils before the experiment was conducted.
2.2. Treatment Details and Design
The experiment was laid out in randomized block design (RBD) and replicated thrice. The treatments composed of viz., the control (T1), blue-green algae @ 10 kg ha−1 (T2), Azolla@ 1 tonnes per hectare (T3), farm yard manure @ 12.5 tonnes ha−1 (T4), green leaf manure @ 6.25 tonnes ha−1 (T5), blue-green algae + Azolla@ 1.1 tonnes per hectare(T6), farm yard manure + green leaf manure @ 18.7 tonnes ha−1 (T7), blue-green algae + Azolla + farm yard manure + green leaf manure @ 19.8 tonnes ha−1 (T8), vermicompost @ 10 t ha−1 (T9) and decomposed livestock manure @ 2.5 t ha−1 (T10). The experimental area was divided into three blocks with each block representing a replication. Unit block size was 5 × 4 m (20 m2). Organic material rates were chosen based on regional standards. The Azolla and blue-green algae (BGA) for treatments were procured from the Paddy Breeding station of Tamil Nadu Agricultural University (TNAU), Coimbatore-3. Seeds for green leaf manure, vermicompost and livestock manure were acquired from the Central Farm of TNAU. The nutrient composition of the FYM used in this study were total N = 0.52%; P = 0.31%; K = 0.49%; vermicompost N = 0.83%; P = 0.39%; K = 0.75%; and green leaf manure (Sesbania aculeate) N = 3.34%; P = 0.62%; K = 1.12%.
2.3. Cultivation Details
The experimental field was completely puddled with a tractor-mounted cage wheel, resulting in a soft permeable layer of soil. After that, the field was properly levelled using a wooden level board. The plots were laid out in the experimental layout, with irrigation and drainage channels running throughout the field. The green manure (25 kg ha−1) was raised in a separate field and incorporated in the field as green leaf manure before planting. The rice variety TNAU (R) TRY1 was chosen for this study with a duration of 135 days. In order to prevent diseases transmitted through seeds, rice seeds (40 kg ha−1) were given a carbendazim treatment at a rate of 2 g per kilogram of seeds. After being treated with a fungicide for 24 h, the seeds were then treated with 600 g ha−1 of Azospirillum to increase their chances of sprouting. To further encourage growth, the seeds were soaked in water for an additional 24 h. The nursery was properly prepared and the seeds were evenly distributed. Additionally, a thin layer of water was continually kept so that it remained moist. A spacing of 20 × 10 cm was used for transplanting seedlings that were 19 days old. To ensure successful crop growth, weeding, intercultural operations and plant protection, measures were carried out for all the treatments. Sampling frequency was recorded once in every 15 days. The treatments were put in place using the randomized block design and performed thrice for accurate results.
2.4. Soil and Water Temperature
Soil and water temperature were measured throughout the crop period in each treatment. To measure the soil temperature, mercury-filled glass thermometers (15 cm deep) were positioned in every treatment. A regular thermometer was also used to evaluate the water temperature. Measurements of soil and water temperatures were taken at 10 am and 3 pm, then averaged to obtain the daily value.
2.5. Redox Potential and Dissolved Oxygen Concentration
The redox potential and the concentration of dissolved oxygen were both evaluated in conjunction with methane flux measurements. To measure the redox potential (Eh) of the field soil, an ORP/Redox meter from Eutech Instruments (Vernon Hills, IL, USA) was used. The device was inserted into the root region to check the potential difference in millivolts [29]. To measure the Eh of soil at various points in the vicinity of the flux measurement setup, readings were taken both in the morning and afternoon and these averages were used for that day. The measurements extended from the rhizosphere to the bulk soil interface.
The amount of dissolved oxygen in the soil-floodwater was estimated using an Azide modification iodimetric method, expressed as mg L−1. To gain insight into the soil chemical components of a particular field, soil samples were collected by using an auger set to 2 cm diameter and inserted to a depth of 5–7 cm in between two rice hills.
2.6. Gas Sampling
To evaluate the emissions of methane and nitrous oxide from field-cultivated pots, a closed-chamber method was adopted [30]. Gas sampling was performed by placing cylindrical acrylic chambers with a diameter of 21 cm and height of 100 cm on the bases of potted rice plants. To collect air gas samples from the acrylic chamber, 50 mL gas-tight syringes were utilized at 0, 15 and 30 min intervals after it was placed over the rice pots. These were then transferred to vials with butyl rubber septa that had been evacuated beforehand. Twice a day, from 9:00 a.m. to 10:00 a.m. and from 3:00 p.m. to 4:00 p.m., gas samples were collected in order to measure the average CH4 levels during the crop season.
2.7. CH4 Estimation
For the estimation of CH4, a Shimadzu GC-2014 gas chromatograph with a flame ionization detector (FID) was used. It was equipped with nitrogen as the carrier gas, which had been thoroughly purified. The gas samples were loaded into the analyser through a 1.0 mL fixed loop on the sampling valve. Samples were loaded into the column system by beginning the analyser which triggered a valve to initiate and cycle the samples based on a predetermined time. The GC was accurately calibrated with varying concentrations of CH4 before and after each measurement, ranging from 1 ppm to 5 ppm. This resulted in a mean retention time of CH4, which was between 4 and 4.17 min (Chemtron® science laboratories Pvt. Ltd., Mumbai, India); the primary standard curves showed linearity over the concentration ranges used. The oven was set at 100 °C while a flame-ionization detector (FID) was used at 200 °C to detect the presence of methane (CH4). Its minimum detectable limit was 1 ppm and its flux rate, measured using peak area, was expressed as mg m−2 day−1 [31].
2.8. Yield Attributes and Yield
Rice grain and straw yields were measured when plants had more than 90% golden yellow, and the crop was harvested manually in 1 m2 plots. Separate bundles of harvested plants were created, labelled according to treatment and then manually threshed.
The grains were cleaned and dried until their moisture level reached 14%. Straws were sun-dried and weighed to determine straw yield. (kg ha−1) [29].
During harvesting, five hills per plot were randomly selected for documenting yield contributing features. Only ear-bearing tillers were counted and expressed as productive tillers m−2 in tagged plants. Panicle length was measured from the neck to the apex of each panicle, the number of filled and unfilled grains was counted randomly from 20 panicles, 1000 grains were counted randomly from the seed stock of each experimental plot and their weights were recorded using an electric balance
The harvest index (HI) was worked out by using the formula [32].
2.9. Statistical Analysis
The study was carried out in a randomized block design with three replicates. Statistical analysis was executed using IBM SPSS 25 for Windows (IBM, Inc., Armonk, NY, USA) and the results were depicted as mean values with standard errors of 3 replicated studies. Fisher LSD was employed to detect distinctions between means that were noteworthy at the 0.05 significance level.
3. Results
3.1. Soil and Water Temperature
The ten various types of amendments had no discernible impact on the soil and water temperatures (Figure 1 and Figure 2). In the rice growing season, the average soil and water T at 10–15 cm deep was 28.4 and 30.5 °C (Table 2). Both T had a significant and positive relationship with CH4 emissions (r = 0.880 **; r = 0.888 **, respectively). As a result, the weather conditions such as soil and water temperature had a major influence on CH4 emission and rice yield, as discussed below.
Table 2.
Hydrochemistry of rice soils and yield under different organic amendments.
3.2. Redox Potential
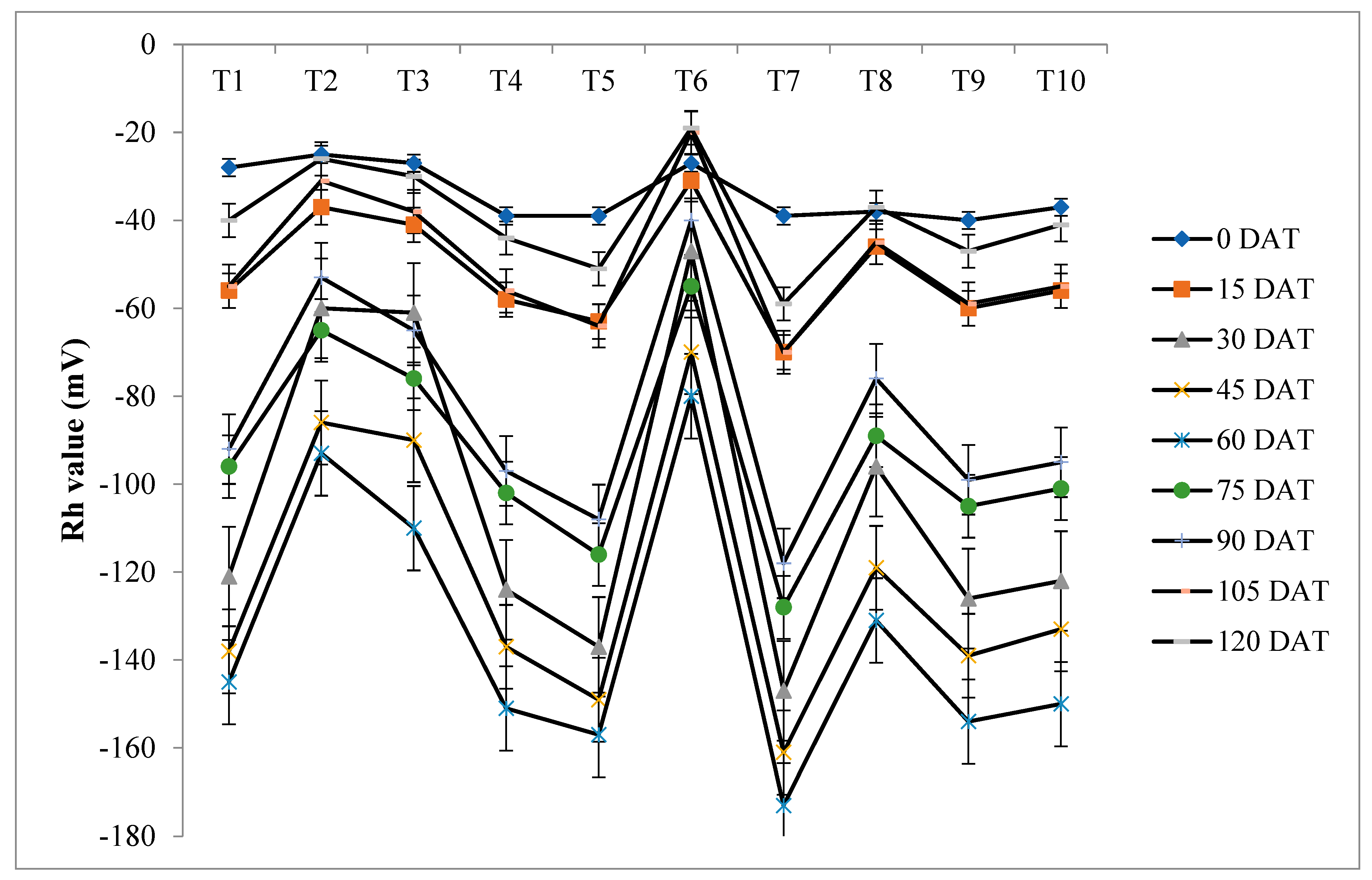
Organic amendments have shown a positive impact on Eh values in the root region of rice (Figure 3). During the initial stages of crop growth, Eh values were in the decreasing trend and converged to −134.4 mV at 60 DAT and thereafter increased for all the treatments. Eh showed less fluctuation between 45 and 60 DAT. The Eh ranged from −27 to −40 mV at 0 DAT, −47 to −147 mV at 30 DAT, −158 to −270 mV at 60 DAT, −40 to −118 mV at 90 DAT and −19 to −59 mV at 120 DAT. The Eh showed less fluctuation from 75 to 90 DAT. Among treatments, the combined application of BGA and Azolla (T6) registered the highest redox potential value of −43 mV followed by T2 and the lowest (−107 mV) was associated with FYM + GLM (T7) (Table 2).
Figure 3.
Different growth phases of TRY 1 rice variety along with its duration.
3.3. Dissolved Oxygen Concentration
DO showed distinct variation (Figure 4) among the treatments with the mean range of 1.31 to 2.20 mg L−1 (Table 2). The DO was in the decreasing trend till the heading stage and thereafter increased. The data presented in Table 3 reveal that among the treatments studied, significantly higher DO was found in T6 (2.20 mg L−1) followed by T2 and T3. The low DO (1.31) was observed with green leaf manure application (T5), which was comparable with T7, T9 and T10. Oxygen level was negatively correlated with CH4 emission and positively correlated with the Eh value.
Figure 4.
Contribution of different growth phases to methane emissions.
Table 3.
Yield attributes of rice under different organic amendments.
3.4. CH4 Emission
CH4 emission pattern varied significantly between the treatments with the rice growth stages (Figure 5). The CH4 emission began to increase after the soil Eh decreased to approximately −134.4 mV at 60 DAT and emission peaked at 75 DAT with the developing anaerobic soil conditions. Initially, on the day of transplanting (0 DAT), the CH4 emission was less than 10 mg m−2 day−1 irrespective of the treatments. Irrespective of the treatments, the CH4 emission rate peaked at 30 DAT (active tillering stage), followed by a second peak at 75 DAT (flowering to heading stage) and then began to decrease slightly before the rice harvest. Among the amendments, blue-green algae in combination with Azolla significantly decreased the CH4 emission rate in all the studied growth stages of rice. However, the plots that received FYM + GLM (T7) emitted more methane compared to the control. On average, T7 emitted the highest CH4, followed by T5, T4, T9, T10 and T1 transported the medium methane, followed by T8 then T2, T3 andT6 emitted the lowest CH4.
Figure 5.
Soil temperature fluctuations at different growth stages of rice under diversified organic amendments (note: error bars indicate standard error among the mean values).
TRY 1 is a medium duration variety; the total life cycle of the plant was 120 days after transplanting (Figure 3). We classified CH4 emissions into three agronomic phases: vegetative, reproductive and ripening. Among the different rice growth phases, the reproductive phase produced the most CH4 while the vegetative phase produced the least (Figure 4). CH4 emission ranged from 30.7 (T6) to 55.4 (T7) during the ripening phase.
3.5. Rice Productivity
The plots treated with BGA + Azolla + FYM + GLM (T8) produced a significantly higher number of productive tillers (420), panicle length (25.5 cm), panicle weight (6.23 g), filled grains hill−1 (191), lower number of ill filled grain hill−1 (12) and the highest 1000 grain weight (24.85 g) (Table 3) and retained an outstanding treatment on the yield (3847 and 5778 kg ha−1 as grain and straw yield, respectively) basis. The yield of grain from the treatment plots varied between 3040 and 3847 kg ha−1 (Table 2). The plots treated with BGA recorded significantly the highest value of the harvest index (40.5) whereas the vermicompost application registered lower HI. The control plots recorded the lowest value of all yield attribute parameters.
3.6. Correlation between the Studied Parameters
Pearson’s correlation relationship revealed that there were significant correlations between soil properties, yield and methane emission (Table 4). CH4 emission and yield in all the studied treatments showed significant correlations (p < 0.05 and p < 0.01). For instance, the soil T (r = 0.810 **), water T (r = 0.888 **), grain yield (r = 0.757 *) and straw yield (r = 0.731 *) were significantly positively correlated with CH4 emission in all the studied treatments. Moreover, dissolved oxygen (r = −0.963 **) and Rh (r = −0.987 **) had a significant negative correlation with CH4 emission. HI (r = 0.396) had a positive correlation with the emission of CH4.
Table 4.
Relationship between CH4 emission and soil properties.
4. Discussion
4.1. Organic Manure vs. Soil and Water Temperature
Soil and water temperatures (Figure 5 and Figure 6) were not significantly different among the different organic amendments; however, they had a significant relationship with CH4 emission (r = 0.880 ** and 0.880 **, respectively). Numerically, the application of FYM and GLM in the T4, T5 and T7 plots resulted in a higher soil temperature as well as water temperature. This was likely due to the decomposition of organics and mineralization processes taking place. The minimal CH4 levels during the vegetative stage can be credited to an increase in soil Eh levels and a reduction in soil temperature, thus curbing the methanogenesis process [33].
Figure 6.
Water temperature fluctuations at different growth stages of rice under diversified organic amendments (note: error bars indicate standard error among the mean values).
In the present investigation, the lower soil and water temperature in BGA and Azolla applied plots, due to better oxygen diffusion, might have been a factor that caused the decreased methane flux. In general, the simple diffusion coefficient of dissolved gases in solution increases with increasing temperature. Methane enters into rice roots from the root surface in contact with water and is affected by the temperature, which is confirmed by the results of the present investigation [34].
4.2. Organic Manure vs. Soil Redox Potential
The redox status of the soil is an indirect indicator of CH4 emission from the rice ecosystem and soils, with lower redox potential usually associated with high methane flux (Figure 7). Methane production typically takes place in soil microenvironments that have a low redox status [35,36]. It has been confirmed that the utilization of both BGA and Azolla results in a higher redox potential which consequently decreases CH4 emission.
Figure 7.
Redox potential fluctuations at different growth stages of rice under diversified organic amendments (note: error bars indicate standard error among the mean values).
4.3. Organic Manure vs. Dissolved Oxygen Concentration
Dissolved oxygen (DO) is a major contributing factor to methane emissions from rice fields. Our study determined that significant variations in DO concentration exist and that it decreases until the heading stage across all treatments (Figure 8). It is likely that the heightened microbial activity in the rice soil rhizosphere contributes to a significant amount of oxygen being released throughout photosynthesis [37]. Application of BGA and Azolla increased DO could reduce the amount of CH4 that is emitted from rice fields by accelerating CH4 oxidation at the soil–water interface. In contrast, the amount of DO was much less in FYM and GLM applied plots and thus there were more CH4 emissions.
Figure 8.
Trends of dissolved oxygen flux at different growth stages of rice under diversified organic amendments (note: error bars indicate standard error among the mean values).
4.4. Organic Manure vs. CH4 Emission
The mean methane emission rate exhibited significant variation between organic amendments and growth stages. CH4 emission varies with the age of the rice crop [38], which was confirmed in the present study. The higher rates of CH4 production during the flowering stage were due to the degradation of available organic carbon in the form of root exudates that provided a substrate for methanogenesis [26,39]. Low CH4 flux during the early growth stage of rice was due to low levels of methanogenesis and poor conduction of CH4 from the soil to the atmosphere [40]. The same results were found in the same region by [41].
Among the treatments, Azolla + BGA considerably reduced the rate of CH4 emission (Figure 9), maybe as a result of their high concentration of ferric iron oxides (Fe2O3) and sulphate (SO42−) ions, which served as electron acceptors. Moreover, cyanobacterial inoculation may have enhanced the redox status of the rice rhizosphere (Figure 7) by boosting oxygen levels, which subsequently increased CH4 oxidation and decreased CH4 emissions [19,42] (Figure 10). Of the ten treatments, significantly higher CH4 emission was recorded from FYM applied plots, followed by GLM applied plots in decreasing order. The degradation of GLM during the crop season may provide more nitrogen and organic material and the resultant promotion of microbial activities, which could have accounted for the higher CH4 emission [43]. The CH4 emission was enhanced by two to five times when Sesbania was added with a lower C/N ratio than straw [44]. In our study, the total CH4 fluxes increased at about 16% and 8% with GLM @ 6.25 tonnes ha−1 (T5), FYM + GLM @ 18.7 tonnes ha−1 (T7) applications, respectively, compared to the control treatment.
Figure 9.
Trends of CH4 flux at different growth stages of rice under diversified organic amendments (note: error bars indicate standard error among the mean values).
Figure 10.
Illustration of methane emission under major treatments in the rhizosphere region.
The FYM used in the investigation was brought from a dairy cow. The readily available C from the FYM speeds up the reduction process while also providing substrates for the methanogens. As a result, in the current investigation, the FYM treatment had considerably greater total cumulative CH4 emissions.
After the incorporation of vermicompost into the soil, more resistant substrates, such as the remainder of the cellulose and hemicellulose and some of the lignin that were not mineralized during composting, gradually become mineralized in the soil [45]. Mineralization of this kind can supply electron donors for the reduction process and C substrates for methanogenic activity and thus might enhance CH4 emissions [46].
Application of organic materials to rice fields significantly increased the rate of methane emission as compared to control plots receiving no fertilizers, as the addition of organic matter selectively enhanced the growth of particular methanogenic populations by providing them with a carbon source. The rate of increase in methane emission was highest with the application of wheat straw followed by farmyard manure, green manure and then least with rice straw compost [47]. In the study, it was confirmed that the emission was higher in GLM followed by FYM.
4.5. Organic Manure vs. Yield
The impact of various organic amendments on grain yield was transparent. The plots that applied organic manure (FYM and GLM) and biofertilizers considerably increased rice yield (BGA and Azolla). The use of organic manure is advocated in rice production despite the fact that it is shown to have a high CH4 emission rate because it results in a higher yield and healthier soil. The current study indicated that when organics and blue-green algae were applied together, rice cultivation yield increased and more methane was released into the atmosphere than with the application of organic manures alone (T5 and T4). The overall mean of CH4 emission in FYM (T4) and GLM (T5) were greater by 2.6% and 9.6%, respectively. It was found that due to the enhanced nutrients availability under GLM and FYM applications, the yield of rice was the highest compared to the other manures [48].
BGA + Azolla + FYM + GLM applied plot (T8) achieved a significantly greater yield (3847 kg ha−1) than the control (T1). This might be due to the fact that organic manures can increase the amount of soil organic carbon that is readily used by methanogens, enhancing CH4 emission. This was confirmed by the [49,50].
However, BGA + Azolla treatment decreased CH4 emission without lowering rice yields and can be employed as a practical mitigation approach to reduce the rice ecosystem’s contribution to global warming. This is in line with the findings of [37]. Current research confirms a significant correlation between climate change mitigation and the biofertilization of paddy fields using blue-green algae and Azolla. This process can reduce methane emissions, leading to a positive environmental impact in addition to enhancing crop yield through nitrogen fixation. Similar to grain yield, rice straw yield in organic manure and biofertilizers amended plots significantly increased as compared with the control. These results comply with earlier observations by [51].
4.6. Methane Emission vs. Rice Growth Stages
Maximum CH4 fluxes were found during the reproductive phases in all treatments (Figure 3 and Figure 4). It might be attributed to the combined effect of increased root exudation during tillering, which provided substrate for methanogenesis [26], and direct transport of produced CH4 to the atmosphere by the rice tiller through parenchyma, which reduced the possibility of oxidation near the surface soil [52]. Fully developed aerenchymatous tissues in rice plants at flowering stage [53] transported greater amount of CH4 from the soil to the atmosphere; hence, triggering emissions.
At the beginning of the crop cycle, when rice plants were still developing, the main transfer method was bubble formation and vertical movement in the bulk of the soil. After tillering, the primary mechanism is diffusion through the parenchyma, which accounts for more than 90% of CH4 emissions during active tillering and reproductive stages [54]. Changes in the pattern of CH4 emissions are typically influenced by the emergence of intensely reduced conditions in the rice rhizosphere [55], which increases the fermentation of labile organic C and root exudates [56] and improves the conductivity of CH4 through the rice plant [57]. After that, as the plant matured, CH4 emission rates gradually declined until they achieved minimum levels.
4.7. Relationship between Methane Emission and Other Soil Properties
During the growing season, there was a similar pattern of soil and water temperature fluctuation (Figure 5 and Figure 6). Soil temperature (15 cm depth) was in the range of 27.3 to 28.5 °C throughout the crop period. This relatively high temperature stimulated the non-methanogenic aerobic microorganisms which resulted in rapid oxygen uptake. Because of this, methane production increased along with a drop in redox potentials [58,59]. Any variation in soil or water T may directly affect Eh, which is a key factor in the methanogenesis process that produces CH4. This has been confirmed in the present study, with a strong negative correlation between soil T and Eh (r = −828 **) and soil T and CH4 emission (r = 0.880 **). From this study, soil and water T have been identified as a strong factor for influencing rice CH4 emission and perhaps other related soil properties. This was evidently confirmed in the present investigation, with a strong correlation of CH4 emission with soil T (r = 0.880 **) and water T (r = 0.888 **).
In this study, Azolla + BGA applied plots had higher average DO concentrations, suggesting that these ferns play a function in enhancing oxygen in stagnant water, thereby reducing methane emission [60]. This was affirmed by the clear negative correlation between DO (r = −0.963 **) and CH4 emission. At the early growth stages, when CH4 emission was minimal, DO in the soil–floodwater interface was high. However, when the CH4 emission attained an increasing trend during the heading to harvest stage, DO decreased and reached low levels (Table 2, Figure 4 and Figure 5). It was also noted that CH4 emission did not become significant until oxygen became scarce.
The experiment revealed that, with increasing CH4 emission, Eh decreased proportionately (r = −0.987 **) in rice soils at all the growth stages (Table 2 and Table 4 and Figure 3). This finding corresponds to the results of [49]. Any change in soil temperature might have a direct bearing on Eh, which largely determines the methanogenesis process responsible for CH4 formation. This indicates that the Eh of the soil was indirectly correlated with the temperature (r= −0.828 **).
Thus, farmers can be encouraged to use Azolla, blue-green algae and plant growth-promoting bacteria because they not only lower the CH4 emission but also result in savings.
5. Conclusions
In rice, the combined application of organics and blue-green algae not only produced a higher yield but was also discovered to generate less methane than the application of organics alone. Compared to the farmers’ practice of FYM incorporation, the Azolla + BGA successfully maintained CH4 at a lower level. The current study provides evidence that, in addition to increasing yield, blue-green algae and Azolla could minimize the potential for global warming from flooded rice soils at the levels of greenhouse gas production, transport and oxidation. Farmers are already using biofertilizers to encourage the growth of various crops. The use of microbial inoculants that have the capability to lower methane emission should also aid in crop growth. Therefore, it is crucial to incorporate microbial cultures with the capacity to both promote plant development and utilize methane with the current biofertilizer formulation and procedures. Farmers can help to cut off methane emissions by adopting the aforesaid techniques. Reducing methane emissions from rice fields through BGA+ Azolla is one of the fastest and most cost-effective strategies to reduce the rate of global warming.
Author Contributions
Conceptualization, K.S and V.G.; methodology, K.S and V.G.; software, D.U.N. and S.V.; validation, M.D., B.P. and M.R.; formal analysis, D.U.N. and S.V.; investigation, K.S. and M.D.; resources, K.S., S.V., D.U.N., M.D., B.P., K.B. (Kulanthaivel Bhuvaneswari), S.M.K., K.B. (Kovilpillai Boomiraj), M.R. and V.G.; data curation, K.S., S.V. and D.U.N.; writing-original draft preparation, K.S., D.U.N. and S.V.; review and editing, K.S., S.V., D.U.N., M.D., B.P., K.B. (Kulanthaivel Bhuvaneswari), S.M.K., K.B. (Kovilpillai Boomiraj), M.R. and V.G.; visualization, M.D., B.P., K.B. (Kulanthaivel Bhuvaneswari), S.M.K., K.B. (Kovilpillai Boomiraj), M.R. and V.G.; supervision, K.S., V.G. and M.R. All authors have read and agreed to the published version of the manuscript.
Funding
This research received no external funding.
Institutional Review Board Statement
Not applicable.
Informed Consent Statement
Informed consent was obtained from all subjects involved in the study.
Data Availability Statement
The corresponding author can provide the data used in this work upon request.
Acknowledgments
Authors are indebted to Agro-Climatic Research Centre, Tamil Nadu Agricultural University, Coimbatore for providing necessary laboratory and instrumentation facilities to support the study and J. Jesuraj, Vaiyampatti, Trichy, Tamil Nadu is also acknowledged for providing land to conduct the research.
Conflicts of Interest
The authors declare no conflict of interest.
References
- Lu, Y.; Yi, S.; Zeng, N.; Liu, Y.; Zhang, Y. Identification of rice diseases using deep convolutional neural networks. Neurocomputing 2017, 267, 378–384. [Google Scholar] [CrossRef]
- Mbanjo, E.G.N.; Kretzschmar, T.; Jones, H.; Ereful, N.; Blanchard, C.; Boyd, L.A.; Sreenivasulu, N. The genetic basis and nutritional benefits of pigmented rice grain. Front. Genet. 2020, 11, 229. [Google Scholar] [CrossRef]
- SRD. Area of Cultivation of Rice in India (2013–2018); Ministry of Statistics and Planning, Government of India: Puram, India, 2020.
- IPCC. Special Report on Climate Change Desertification, Land Degradation, Sustainable Land Management, Food Security, and Greenhouse Gas Fluxes in Terrestrial Ecosystems: Summary for Policymakers; IPCC: Geneva, Switzerland, 2019. [Google Scholar]
- FAO. FAOSTATS—Agricultural Emissions; FAO: Rome, Italy, 2017. [Google Scholar]
- Chakraborty, D.; Ladha, J.K.; Rana, D.S. A global analysis of alternative tillage and crop establishment practices for economically and environmentally efficient rice production. Sci. Rep. 2017, 7, 9342. [Google Scholar] [CrossRef] [PubMed]
- IPCC. Climate Change: The Physical Science Basis; Intergovernmental Panel for Climate Change (IPCC): Geneve, Switzerland, 2013. [Google Scholar]
- Ciais, P.; Sabine, C.; Bala, G.; Bopp, L.; Brovkin, V.; Canadell, J.; Thornton, P. Carbon and other biogeochemical cycles. In Climate Change 2013: The Physical Science Basis. Contribution of Working Group I to the Fifth Assessment Report of the Intergovernmental Panel on Climate Change; Cambridge University Press: Cambridge, UK, 2014; pp. 465–570. [Google Scholar]
- Fuller, D.Q.; Van Etten, J.; Manning, K. The contribution of rice agriculture and livestock pastoralism to prehistoric methane levels: An archaeological assessment. Holocene 2011, 21, 743–759. [Google Scholar] [CrossRef]
- Zhang, H.; Zhang, P.; Ye, J.; Wu, Y.; Fang, W.; Gou, X.; Zeng, G. Improvement of methane production from rice straw with rumen fluid pretreatment: A feasibility study. Int. Biodeterior. Biodegrad. 2016, 113, 9–16. [Google Scholar] [CrossRef]
- Epa, V.C.; Burden, F.R.; Tassa, C.; Weissleder, R.; Shaw, S.; Winkler, D.A. Modeling biological activities of nanoparticles. Nano Lett. 2012, 12, 5808–5812. [Google Scholar] [CrossRef]
- Keppler, F.; Ernst, L.; Steinfeld, B.; Thomas, K.; Grimm, D.; Bischofs, I. Non-enzymatic methane formation by aerobic organisms. Res. Sq. 2021, 1–17. [Google Scholar] [CrossRef]
- Ernst, L.; Steinfeld, B.; Barayeu, U.; Klintzsch, T.; Kurth, M.; Grimm, D.; Keppler, F. Methane formation driven by reactive oxygen species across all living organisms. Nature 2022, 603, 482–487. [Google Scholar] [CrossRef] [PubMed]
- Neue, H.U.; Sass, R.L. Trace gas emissions from rice fields. Glob. Atmos. Biosph. Chem. 1994, 48, 119–147. [Google Scholar]
- Ali, M.A.; Hoque, M.A.; Kim, P.J. Mitigating global warming potentials of methane and nitrous oxide gases from rice paddies under different irrigation regimes. Ambio 2013, 42, 357–368. [Google Scholar] [CrossRef]
- Gorh, D.; Baruah, K.K. Estimation of methane and nitrous oxide emission from wetland rice paddies with reference to global warming potential. Environ. Sci. Pollut. Res. 2019, 26, 16331–16344. [Google Scholar] [CrossRef]
- Costa, C.; Wironen, M.; Racette, K.; Wollenberg, E.K. Global Warming Potential* (GWP*): Understanding the implications for mitigating methane emissions in agriculture. In CCAFS Info Note; Agriculture and Food Security (CCAFS): Cape Canaveral, FL, USA, 2021. [Google Scholar]
- Yang, S.; Peng, S.; Xu, J.; Luo, Y.; Li, D. Methane and nitrous oxide emissions from paddy field as affected by water-saving irrigation. Phys. Chem. Earth 2012, 53, 30–37. [Google Scholar] [CrossRef]
- Malyan, S.K.; Bhatia, A.; Kumar, A.; Gupta, D.K.; Singh, R.; Kumar, S.S.; Tomer, R.; Kumar, O.; Jain, N. Methane production, oxidation and mitigation: A mechanistic understanding and comprehensive evaluation of influencing factors. Sci. Total Environ. 2016, 572, 874–896. [Google Scholar] [CrossRef]
- Kumar, A.; Nayak, A.K.; Mohanty, S.; Das, B.S. Greenhouse gas emission from direct seeded paddy fields under different soil water potentials in Eastern India. Agric. Ecosyst. Environ. 2016, 228, 111–123. [Google Scholar] [CrossRef]
- Dijkstra, F.A.; Prior, S.A.; Runion, G.B.; Torbert, H.A.; Tian, H.; Lu, C.; Venterea, R.T. Effects of elevated carbon dioxide and increased temperature on methane and nitrous oxide fluxes: Evidence from field experiments. Front. Ecol. Evol. 2012, 10, 520–527. [Google Scholar] [CrossRef]
- Yvon-Durocher, G.; Allen, A.P.; Bastviken, D.; Conrad, R.; Gudasz, C.; St-Pierre, A.; Del Giorgio, P.A. Methane fluxes show consistent temperature dependence across microbial to ecosystem scales. Nature 2014, 507, 488–491. [Google Scholar] [CrossRef]
- Ghatak, M.D.; Mahanata, P. Effect of temperature on biogas production from rice straw and rice husk. IOP Conf. Ser. Mater. Sci. Eng. 2018, 377, 012146. [Google Scholar] [CrossRef]
- Qian, H.; Zhang, N.; Chen, J.; Chen, C.; Hungate, B.A.; Ruan, J.; Jiang, Y. Unexpected parabolic temperature dependency of CH4 emissions from rice paddies. Environ. Sci. Technol. 2022, 56, 4871–4881. [Google Scholar] [CrossRef] [PubMed]
- Khosa, M.K.; Sidhu, B.S.; Benbi, D.K. Methane emission from rice fields in relation to management of irrigation water. J. Environ. Biol. 2011, 32, 169–172. [Google Scholar] [PubMed]
- Singh, S.K.; Bharadwaj, V.; Thakur, T.C.; Pachauri, P.C.; Singh, P.P.; Mishra, A.K. Influence of crop establishment methods on methane emission from rice fields. Curr. Sci. 2009, 97, 84–89. [Google Scholar]
- Lakshmanan, A.; Geethalakshmi, V.; Nagothu, U.S. Azolla and cyanobacterial systems in supplementing nitrogen to rice besides minimizing methane flux. Climarice Tech. Brief 2010, 2. [Google Scholar]
- Sass, R.L.; Cicerone, R.J. Photosynthate allocations in rice plants: Food production or atmospheric methane? Proc. Natl. Acad. Sci. USA 2002, 99, 11993–11995. [Google Scholar] [CrossRef]
- Satpathy, S.N. Factors Affecting Methane Emission in Tropical Rice Soil. Ph.D. Thesis, Utkal University, Bhubaneswar, India, 1997. [Google Scholar]
- Ali, M.A.; Lee, C.H.; Kim, P.J. Effects of silicate fertilizer on reducing methane emission during rice cultivation. Biol. Fertil. Soils 2008, 44, 597–604. [Google Scholar] [CrossRef]
- Lantin, R.S.; Aduna, J.B.; Javellana, A.M.J. Methane measurements in rice fields. In Instruction Manual and Methodologies, Maintenance and Troubleshooting Guide; A Joint Undertaking by International Rice Research Institute (IRRI), United State Environmental Protection Agency (US-EPA) and United Nation Development Program (UNDP): New York, NY, USA, 1995; pp. 12–15. [Google Scholar]
- Yoshida, S.; Parao, F.T. Climatic influence on yield and yield components of lowland rice in the tropics. International Rice Research Institute. Clim. Rice 1976, 20, 471–494. [Google Scholar]
- Gardner, F.P.; Pearce, R.B.; Mitchell, R.L. Physiology of Crop Plants; Iowa State University: Ames, LA, USA, 1985; p. 327. [Google Scholar]
- Pabby, A.; Prasanna, R.; Singh, P.K. Biological significance of Azolla and its utilization in agriculture. Proc. Indian Natl. Sci. Acad. Part B Biol. Sci. 2004, 70, 299–333. [Google Scholar]
- Hosono, T.; Nouchi, I. The dependence of methane transport in rice plants on the root zone temperature. Plant Soil 1997, 191, 233–240. [Google Scholar] [CrossRef]
- Neue, H.U. Methane emission from rice fields. Bioscience 1993, 43, 466–475. [Google Scholar] [CrossRef]
- Bharati, K.; Mohanty, S.R. Influence of incorporation or dual cropping of Azolla on methane emission from a flooded alluvial soil planted to rice in eastern India. Agric. Ecosyst. Environ. 2000, 79, 73–83. [Google Scholar] [CrossRef]
- Sethunathan, N.; Kumaraswami, S.; Rath, A.K.; Ramakrishnan, B.; Satpathy, S.N.; Adhya, T.K.; Rao, V.R. Methane production, oxidation and emission from rice soils. Nutr. Cycl. Agroecosyst. 2000, 58, 377–388. [Google Scholar] [CrossRef]
- Purkait, M.K.; Das Gupta, S.; De, S. Synthesis and characterization of porous polyurethaneurea membranes for pervaporative separation of 4-nitrophenol from aqueous solution. J. Coll. Interf. Sci. 2005, 285, 395. [Google Scholar] [CrossRef]
- Win, E.P.; Win, K.K.; Bellingrath-Kimura, S.D.; Oo, A.Z. Correction: Influence of rice varieties, organic manure and water management on greenhouse gas emissions from paddy rice soils. PLoS ONE 2022, 17, e0263554. [Google Scholar] [CrossRef] [PubMed]
- Davamani, V.; Parameswari, E.; Arulmani, S. Mitigation of methane gas emissions in flooded paddy soil through the utilization of methanotrophs. Sci. Total Environ. 2020, 726, 138570. [Google Scholar] [CrossRef] [PubMed]
- Nouchi, I. Mechanisms of methane transport through rice plants. In CH4 and N2O: Global Emissions and Control from Rice Fields and Other Agricultural and Industrial Sources; Minami, K., Moiser, A., Sass, R., Eds.; National Institute of Agro-Environmental Sciences: Tsukuba, Japan, 1994; pp. 87–104. [Google Scholar]
- Ali, M.A.; Kim, P.J.; Inubushi, K. Mitigating yield-scaled greenhouse gas emissions through combined application of soil amendments: A comparative study between temperate and subtropical rice paddy soils. Sci. Total Environ. 2015, 529, 140–148. [Google Scholar] [CrossRef] [PubMed]
- Denier van der Gon, H.A.C.; Neue, H.U. Influence of organic matter incorporation on the methane emission from a wetland rice field. Glob. Biogeochem. 1995, 9, 11–22. [Google Scholar] [CrossRef]
- Plaza, C.; Senesi, N. The effect of organic matter amendment on native soil humic substances. In Senesi PM, Huang XB Author, Biophysico-Chemical Processes Involving Natural Nonliving Organic Matter in Environmental System; Wiley & Sons: Hoboken, NJ, USA, 2009; pp. 147–181. [Google Scholar]
- Pandey, A.; Mai, V.T.; Vu, D.Q.; Bui, T.P.L.; Mai, T.L.A.; Jensen, L.S.; de Neergaard, A. Organic matter and water management strategies to reduce methane and nitrous oxide emissions from rice paddies in Vietnam. Agric. Ecosyst. Environ. 2014, 196, 137–146. [Google Scholar] [CrossRef]
- Khosa, M.K.; Sidhu, B.S.; Benbi, D.K. Effect of organic materials and rice cultivars on methane emission from rice field. J. Environ. Biol. 2010, 31, 281–285. [Google Scholar] [PubMed]
- Sha, C.; Mitsch, W.J.; Mander, U.; Lu, J.; Batson, J.; Zhang, L.; He, W. Methane emissions from freshwater riverine wetlands. Ecol. Eng. 2011, 37, 16–24. [Google Scholar] [CrossRef]
- Datta, A.; Yeluripati, J.B.; Nayak, D.R.; Mahata, K.R.; Santra, S.C.; Adhya, T.K. Seasonal variation of methane flux from coastal saline rice field with the application of different organic manures. Atmos. Environ. 2013, 66, 114–122. [Google Scholar] [CrossRef]
- Bhattacharyya, P.; Roy, K.S.; Neogi, S.; Chakravorti, S.P.; Behera, K.S.; Das, K.M.; Rao, K.S. Effect of long-term application of organic amendment on C storage in relation to global warming potential and biological activities in tropical flooded soil planted to rice. Nutr. Cycl. Agroecosyst. 2012, 94, 2–3. [Google Scholar] [CrossRef]
- Ramesh, S.; Vayapuri, V. Yield potential and economic efficiency of rice (Oryza sativa) as influenced by organic nutrition under Cauvery Delta region of Tamilnadu. Plant Arch. 2008, 8, 621–622. [Google Scholar]
- Sass, R.L.; Fisher, F.M.; Harcombe, P.A.; Turner, F.T. Mitigation of methane emissions from rice fieldsPossible adverse effects of incorporated rice straw. Glob. Biogeochem. Cycles 1991, 5, 275–287. [Google Scholar] [CrossRef]
- Kludze, H.K.; DeLaune, R.D.; Patrick, W.H. Aerenchyma formation and methane and oxygen exchange in rice. Soil Sci. Soc. Am. J. 1993, 57, 386–391. [Google Scholar] [CrossRef]
- Tyler, S.C.; Bilek, R.S.; Sass, R.L.; Fisher, F.M. Methane oxidation and pathways of production in a Texas paddy field deduced from measurements of flux, delta-C-13, and delta-D of CH4. Glob. Biogeochem. Cycles 1997, 11, 323–348. [Google Scholar] [CrossRef]
- Chidthaisong, A.; Obata, H.; Watanabe, I. Methane formation and substrate utilization in anaerobic rice soils as affected by fertilization. Soil Biol. Biochem. 1999, 31, 135–143. [Google Scholar] [CrossRef]
- Inubushi, K.; Cheng, W.; Aonuma, S.; Hoque, M.M.; Kobayashi, K.; Miura, S.; Kim, H.Y.; Okada, M. Effects of free-air CO2 enrichment (FACE) on CH4 emission from a rice paddy field. Glob. Chang. Biol. 2003, 9, 1458–1464. [Google Scholar] [CrossRef]
- Mariko, S.; Harazano, Y.; Owa, N.; Nouchi, I. Methane in flooded soil water and the emission through rice plants to atmosphere. Environ. Exp. Bot. 1991, 31, 343–350. [Google Scholar] [CrossRef]
- Ding, W.X.; Cai, Z.C.; Tsuruta, H. Cultivation, nitrogen fertilization, and setaside effects on methane uptake in a drained marsh soil in Northeast China. Glob. Chang. Biol. 2004, 10, 1801–1809. [Google Scholar] [CrossRef]
- Malyan, S.K.; Bhatia, A.; Tomer, R.; Harit, R.C.; Jain, N.; Bhowmik, A.; Kaushik, R. Mitigation of yield-scaled greenhouse gas emissions from irrigated rice through Azolla, Blue-green algae, and plant growth–promoting bacteria. Environ. Sci. Pollut. Res. 2021, 28, 51425–51439. [Google Scholar] [CrossRef]
- Chadwick, D.R.; John, F.; Pain, B.F.; Chambers, B.J.; Williams, J. Plant uptake ofnitrogen from the organic nitrogen fraction of animal manures: A laboratory experiment. J. Agric. Sci. 2000, 134, 159–168. [Google Scholar] [CrossRef]
Disclaimer/Publisher’s Note: The statements, opinions and data contained in all publications are solely those of the individual author(s) and contributor(s) and not of MDPI and/or the editor(s). MDPI and/or the editor(s) disclaim responsibility for any injury to people or property resulting from any ideas, methods, instructions or products referred to in the content. |
© 2023 by the authors. Licensee MDPI, Basel, Switzerland. This article is an open access article distributed under the terms and conditions of the Creative Commons Attribution (CC BY) license (https://creativecommons.org/licenses/by/4.0/).









