Design and Testing of an Integrated Corn Stubble Residual Film-Recycling Machine
Abstract
1. Introduction
2. Materials and Methods
2.1. Whole-Machine Structure
2.2. Principle of Operation
3. Design of Key Components
3.1. Design and Simulation of Membrane Lifting Device
3.1.1. Structure Design of the Stubble Lifting Spade
3.1.2. Design of the Angle of Entry into the Ground
3.1.3. Simulation Analysis of Membrane Lifting Device
3.2. Design and Analysis of Membrane Soil Separation Unit
3.3. Design and Analysis of Film Winding Device
3.3.1. Structural Design of the Film Winding Unit
3.3.2. Design of Rotational Speed of Film Rollers
3.4. Design of Self-Loading Stubble Collectors
4. Results
4.1. Test Conditions
4.2. Test Factors and Test Indicators
4.3. Test Results and Analysis
4.3.1. Test Results
4.3.2. Experimental Regression Analysis
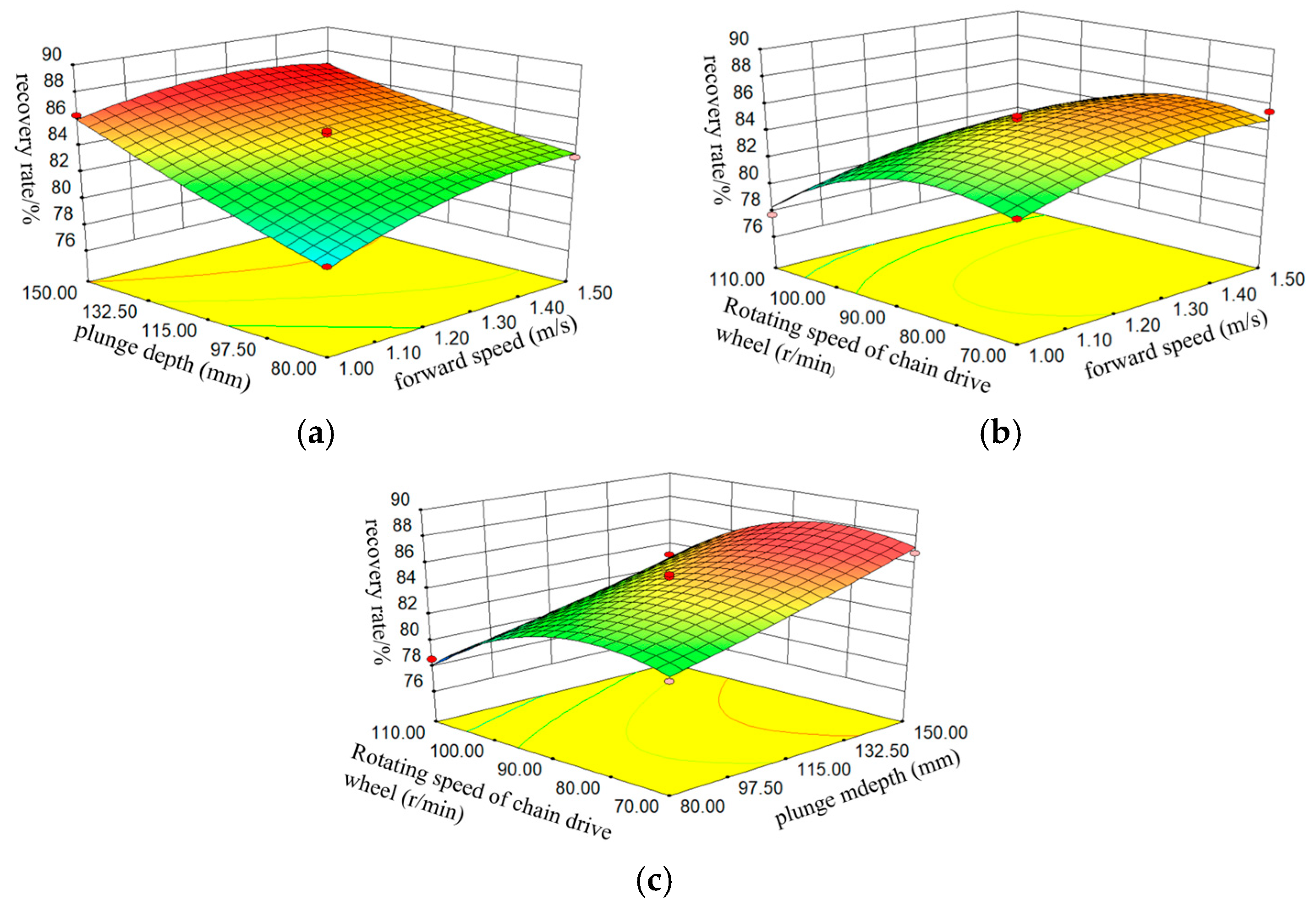
4.4. Analysis of the Influence of Interaction Factors on the Working Performance of the Machines
4.5. Parameter Optimization and Experimental Validation
5. Conclusions
- (1)
- We designed a residual film-recycling equipment that can complete a series of operations such as film lifting, film pickup, film rolling, film unloading, etc., and realize film stubble recycling and separation. The design parameters of the film lifting device and film soil separation device were determined.
- (2)
- We took the forward speed of the machine, the depth of the soil, and the rotational speed of the driving wheel of the shaking feed chain as the test factors, and took the residual film recovery rate as the index to carry out the test. We used the Design-Expert software to carry out the response surface analysis on the test results, and the results show that the order of the influence of each factor on the residual film recovery rate is as follows, from large to small: the rotational speed of the driving wheel of the shaking feed chain, the depth of the soil, and the forward speed.
- (3)
- Using the data optimization function of Design-Expert software, with the residual film recovery rate as the optimization objective, the best working parameters were determined as follows: the forward speed was 1.36 m/s, the depth of entry was 147.16 mm, the rotational speed of the driving wheel of the jogging chain was 77.89 r/min, and the residual film recovery rate was 87.56%. The field test was carried out after the parameters were adjusted according to the actual conditions of the machine and the limitations of the transmission system, and the results of the field test showed that the recovery rate of the residual film was 84.83%, and the relative error between the average value of the test and the optimized value of the result was 2.73%, which was less than 5%, indicating that the model reliability was relatively high.
- (4)
- In this paper, the experiment was carried out on the maize field that had been harvested in the spring at the experimental base of Gansu Agricultural University in Wuwei City, Gansu Province, but there were some shortcomings due to the limitations of the weather and testing conditions. The limitations and influences of the climatic conditions and the harvesting time, such as fluctuations in the temperature, rainfall, and illumination, may lead to uncertainty of the experimental results. The machine’s operating trips were short, the data samples collected were small, and only the theoretical operating productivity was determined. The implements in this trial and the manufacturers will work closely together and will gradually carry out demonstration and promotion activities in a number of regions in order to enhance the adaptability and reliability of the implements.
Author Contributions
Funding
Institutional Review Board Statement
Data Availability Statement
Conflicts of Interest
References
- Hu, Q.; Li, X.; Shi, H.; Chen, N.; Zhang, Y.; Ma, H. Response of Corn Root System to Residual Film and Root Distribution Model in Hetao Irrigation Area. Agric. Eng. J. 2021, 37, 143–152. [Google Scholar]
- Liang, R.Q.; Chen, X.G.; Zhang, B.C.; Meng, H.; Jiang, P.; Peng, X.; Kan, Z.; Li, W. Current Issues and Strategies for Residual Film Recovery and Resource Utilization in Xinjiang Cotton Fields. Agric. Eng. J. 2019, 35, 1–13. [Google Scholar]
- Hu, C.; Wang, X.F.; Chen, X.G.; Tang, X.; Zhao, Y.; Yan, C. Current Status and Prevention Strategies of Residual Film Pollution in Xinjiang Farmland. Agric. Eng. J. 2019, 35, 223–234. [Google Scholar]
- Wang, Z.C.; Meng, Q.; Yu, L.H.; Yang, W.; Li, W.; Yang, J.; Yang, F. Characteristics of Microplastics in Agricultural Soils of Inner Mongolia Hetao Irrigation Area. Agric. Eng. J. 2020, 36, 204–209. [Google Scholar]
- Yan, C.R.; Liu, E.K.; Shu, F.; Liu, Q.; Liu, S.; He, W. Characteristics and Control Technology of Plastic Film Coverage and Residue Pollution in China. J. Agric. Res. Environ. 2014, 31, 95–102. [Google Scholar] [CrossRef]
- Sun, Y.; Jian, J.M.; Tian, Y.T.; Sun, F.; Zhang, M.; Wang, S. Analysis and Experiment of the Mechanism of Rotating Film Removal Device for Residual Film Recovery. J. Agric. Mech. 2018, 49 (Suppl. S1), 304–310. [Google Scholar]
- He, W.Q.; Yan, C.R.; Liu, S.; Chang, R.; Wang, X.; Cao, S.; Liu, Q. Research on Application and Pollution Status of Plastic Film in Typical Cotton Regions. J. Agric. Environ. Sci. 2009, 28, 1618–1622. [Google Scholar]
- Wang, L.; Lin, T.; Yan, C.R.; Wang, J.; Guo, R.; Yue, L.; Tang, Q. Effects of Residual Film Amount on Evapotranspiration and Inter-Row Evaporation in Xinjiang Cotton Fields. Agric. Eng. J. 2016, 32, 120–128. [Google Scholar]
- Wang, Z.H.; He, H.J.; Zheng, X.R.; Zhang, J.; Li, W. Impact of Returning Cotton Stalks to Soil on Residual Film Distribution in Mulched Drip Irrigated Cotton Fields in Typical Oases of Xinjiang. Agric. Eng. J. 2018, 34, 120–127. [Google Scholar]
- Du, L.; Li, Y.N.; Chen, P.P.; Wang, K.; Li, Y. Effects of Different Residue Film Amounts on Soil Environment and Corn Growth. Water Sav. Irrig. 2018, 4–9+14. [Google Scholar] [CrossRef]
- Li, Y.Q.; He, W.Q.; Yan, C.R.; Guo, R.; Zhao, C. Effects of Residual Plastic Film on Root Morphology and Physiological Characteristics of Cotton and Corn Seedlings. J. Agric. Resour. Environ. 2017, 34, 108–114. [Google Scholar] [CrossRef]
- Hu, Q.; Li, X.Y.; Shi, H.B.; Chen, N.; Zhang, Y. Effects of Residue Film Pollution on Soil Moisture and Root Growth of Drip Irrigated Corn. China Environ. Sci. 2023, 43, 5944–5953. [Google Scholar] [CrossRef]
- Ya, P.; Hu, Z.C.; You, Z.Y.; Shen, O.; Gu, F.; Wu, F.; Liu, M. Research on the Film-Soil Separation Technology of Shovel-Screen Type Residue Film Recovery Machine. J. Chin. Agric. Mech. 2018, 39, 21–26. [Google Scholar] [CrossRef]
- Chen, X.H.; Chen, X.G.; Li, J.B.; Li, C.; Yang, Y. Design and Experiment of Nail-Tooth Roller Type Residual Film Recovery Device before Sowing. Agric. Eng. J. 2020, 36, 30–39. [Google Scholar]
- Jin, W.; Bai, S.H.; Zhang, X.J.; Zhou, X.; Ma, S. Parameter Optimization and Experiment of the Spring Tooth Residue Film Recovery Machine. Agric. Mach. Res. 2020, 42, 186–190. [Google Scholar] [CrossRef]
- Kang, X.Y.; Zhao, Y.; Chen, X.G.; Zhou, D.X.; Gou, H.X.; Tian, X.L. Design and Experiment of Tooth-Belt Type Residue Film Pickup Mechanism. J. Gansu Agric. Univ. 2020, 55, 166–174. [Google Scholar] [CrossRef]
- Shi, L.L.; Hu, Z.C.; Gu, F.W.; Wu, F.; Chen, Y. Design of Automatic Film Stripping Mechanism for Rake-Type Residue Film Recovery Machine. Agric. Eng. J. 2017, 33, 11–18. [Google Scholar]
- Kang, J.M.; Wang, S.G.; Yan, L.M.; Wang, N.; Di, M.; Du, J. Design and Experiment of Film Lifting Shovel for Residue Film Recovery Machine. J. Agric. Mach. 2016, 47 (Suppl. S1), 143–148. [Google Scholar]
- Shi, L.R.; Zhao, W.Y.; Sun, W. Based on Discrete Element Method for Parameter Calibration of Soil Particle Contact Model in Northwest Arid Area. Agric. Eng. J. 2017, 33, 181–187. [Google Scholar]
- Fang, Y.Y.; Zhang, K.P.; Yang, Z.K. Simulation Analysis and Experiment of Plow Tillage Process Based on Discrete Element Method in Northwest Arid Region. J. Jiangxi Agric. Univ. 2024, 1–20. Available online: http://kns.cnki.net/kcms/detail/36.1028.S.20240401.1802.006.html (accessed on 2 April 2024).
- Li, W.L.; Dai, F.; Zhao, W.Y.; Shi, R.; Song, X.; Ma, H. Simulation Analysis and Experiment of Double-Ridge Seed Bed Tillage and Fertilization Operation Process. Res. Agric. Arid Areas 2023, 41, 264–273. [Google Scholar]
- Zhao, S.H.; Liu, H.P.; Yang, C.; Yang, L.; Gao, L.; Yang, Y. Design and Discrete Element Simulation of Interactive Layered Deep Loosening Shovel for Corn Straw Returning. J. Agric. Mach. 2021, 52, 75–87. [Google Scholar]
- Jin, W.; Ding, Y.C.; Nong, F.; Zhang, X.; Bai, S. Design and Experiment of Jittering Chain Tooth Rod Type Residue Film-Soil-Straw Excavation and Conveying Device. J. Agric. Mach. 2023, 54, 71–82. [Google Scholar]
- Sun, W.; Wang, H.C.; Zhao, W.Y.; Zhang, H.; Liu, X.; Wu, J. Design and Experiment of Residue Film Recovery Type Full-Mulch Covered Potato Digger. J. Agric. Mach. 2018, 49, 105–114. [Google Scholar]
- GB/T 25412-2021; Residual Film Recycling Machine. Standards Press of China: Beijing, China, 2021.















| Parameters | Numerical Value |
|---|---|
| Size of the whole machine (mm × mm × mm) | 3070 × 1920 × 1690 |
| auxiliary power/kW | ≥60 |
| operating depth/mm | 80~150 |
| Working width/mm | 1400 |
| working speed (km·/h) | 3.5~6 |
| Parameters | Numerical Value |
|---|---|
| Soil particle density/(kg·m−3) | 2680 |
| Poisson’s ratio of soil particles | 0.3 |
| Soil particle shear modulus 0/Pa | 1 × 108 |
| 65Mn steel density ρ/(kg·m−3) | 7861 |
| 65Mn steel Poisson’s ratio | 0.29 |
| 65Mn steel shear modulus | 7.9 × 1010 |
| Soil–soil recovery factor | 0.3 |
| Soil–soil kinetic friction factor | 0.3 |
| Soil–soil static friction factor | 0.5 |
| Soil–65Mn steel recovery factor | 0.6 |
| Soil–65Mn steel dynamic friction factor | 0.11 |
| Soil–65Mn steel static friction factor | 0.4 |
| JKR surface energy (J/m2) | 5.4 |
| Dimensions of virtual soil tank (L × W × H)/mm × mm × mm | 2000 × 1600 × 200 |
| Advance speed of the film lifter m/s | 1.3 |
| Simulation time/s | 3 |
| Levels | Moving Speed v/(m·s−1) | Depth into Soil h·mm−1 | Jitter Conveyor Chain Drive Wheel Speed n/(r·min−1) |
|---|---|---|---|
| −1 | 1 | 80 | 60 |
| 0 | 1.3 | 115 | 90 |
| 1 | 1.6 | 150 | 120 |
| Number | Moving Speed X1 | Depth into Soil X2 | Jitter Conveyor Chain Drive Wheel Speed X3 | Rate of Recovery Y/% |
|---|---|---|---|---|
| 1 | 1 | 0 | −1 | 86.15 |
| 2 | 0 | 1 | 1 | 82.62 |
| 3 | −1 | 1 | 0 | 85.79 |
| 4 | 0 | 1 | −1 | 86.25 |
| 5 | 0 | −1 | −1 | 82.20 |
| 6 | 0 | −1 | 1 | 79.05 |
| 7 | 0 | 0 | 0 | 85.77 |
| 8 | 0 | 0 | 0 | 86.05 |
| 9 | 1 | −1 | 0 | 83.68 |
| 10 | −1 | 0 | 1 | 79.31 |
| 11 | −1 | 0 | −1 | 82.81 |
| 12 | 1 | 1 | 0 | 85.95 |
| 13 | 0 | 0 | 0 | 86.87 |
| 14 | 0 | 0 | 0 | 86.29 |
| 15 | −1 | −1 | 0 | 80.41 |
| 16 | 1 | 0 | 1 | 80.79 |
| 17 | 0 | 0 | 0 | 85.93 |
| Source | Recovery Rate of Residual Film | |||
|---|---|---|---|---|
| Sum of Squares | Degree of Freedom | F | Significant Level | |
| Model | 115.81 | 9 | 59.34 | <0.0001 ** |
| X1 | 8.51 | 1 | 39.23 | 0.0004 ** |
| X2 | 29.15 | 1 | 134.40 | <0.0001 ** |
| X3 | 30.58 | 1 | 140.99 | <0.0001 ** |
| X1X2 | 2.42 | 1 | 11.15 | 0.0124 * |
| X1X3 | 0.86 | 1 | 3.99 | 0.0860 |
| X2X3 | 0.058 | 1 | 0.27 | 0.6222 |
| X12 | 6.52 | 1 | 30.08 | 0.0009 ** |
| X22 | 4.04 | 1 | 18.64 | 0.0035 ** |
| X32 | 30.07 | 1 | 138.64 | <0.0001 ** |
| Residual | 1.52 | 7 | ||
| Lack of fit | 0.78 | 3 | 1.42 | 0.3610 |
| Pure error | 0.74 | 4 | ||
| Total | 117.33 | 16 | ||
| Sports Event | Residual Film Recovery Rate/% |
|---|---|
| Test average | 84.83 |
| Optimal value | 87.56 |
| Relative error | 2.73 |
Disclaimer/Publisher’s Note: The statements, opinions and data contained in all publications are solely those of the individual author(s) and contributor(s) and not of MDPI and/or the editor(s). MDPI and/or the editor(s) disclaim responsibility for any injury to people or property resulting from any ideas, methods, instructions or products referred to in the content. |
© 2024 by the authors. Licensee MDPI, Basel, Switzerland. This article is an open access article distributed under the terms and conditions of the Creative Commons Attribution (CC BY) license (https://creativecommons.org/licenses/by/4.0/).
Share and Cite
Wei, L.; Liu, X.; Sun, W.; Zhao, W.; Li, H.; Zhang, H.; Li, H.; Liang, J.; Li, Y.; Zhou, Y.; et al. Design and Testing of an Integrated Corn Stubble Residual Film-Recycling Machine. Agriculture 2024, 14, 1809. https://doi.org/10.3390/agriculture14101809
Wei L, Liu X, Sun W, Zhao W, Li H, Zhang H, Li H, Liang J, Li Y, Zhou Y, et al. Design and Testing of an Integrated Corn Stubble Residual Film-Recycling Machine. Agriculture. 2024; 14(10):1809. https://doi.org/10.3390/agriculture14101809
Chicago/Turabian StyleWei, Le, Xiaolong Liu, Wei Sun, Wuyun Zhao, Hui Li, Hua Zhang, Hongling Li, Jiadong Liang, Yongzhi Li, Yuhang Zhou, and et al. 2024. "Design and Testing of an Integrated Corn Stubble Residual Film-Recycling Machine" Agriculture 14, no. 10: 1809. https://doi.org/10.3390/agriculture14101809
APA StyleWei, L., Liu, X., Sun, W., Zhao, W., Li, H., Zhang, H., Li, H., Liang, J., Li, Y., Zhou, Y., & Zhao, N. (2024). Design and Testing of an Integrated Corn Stubble Residual Film-Recycling Machine. Agriculture, 14(10), 1809. https://doi.org/10.3390/agriculture14101809

