Light Intensity Effects on Productivity and Post-Harvest Quality in Perilla frutescens Cultivated in CEA
Abstract
1. Introduction
2. Materials and Methods
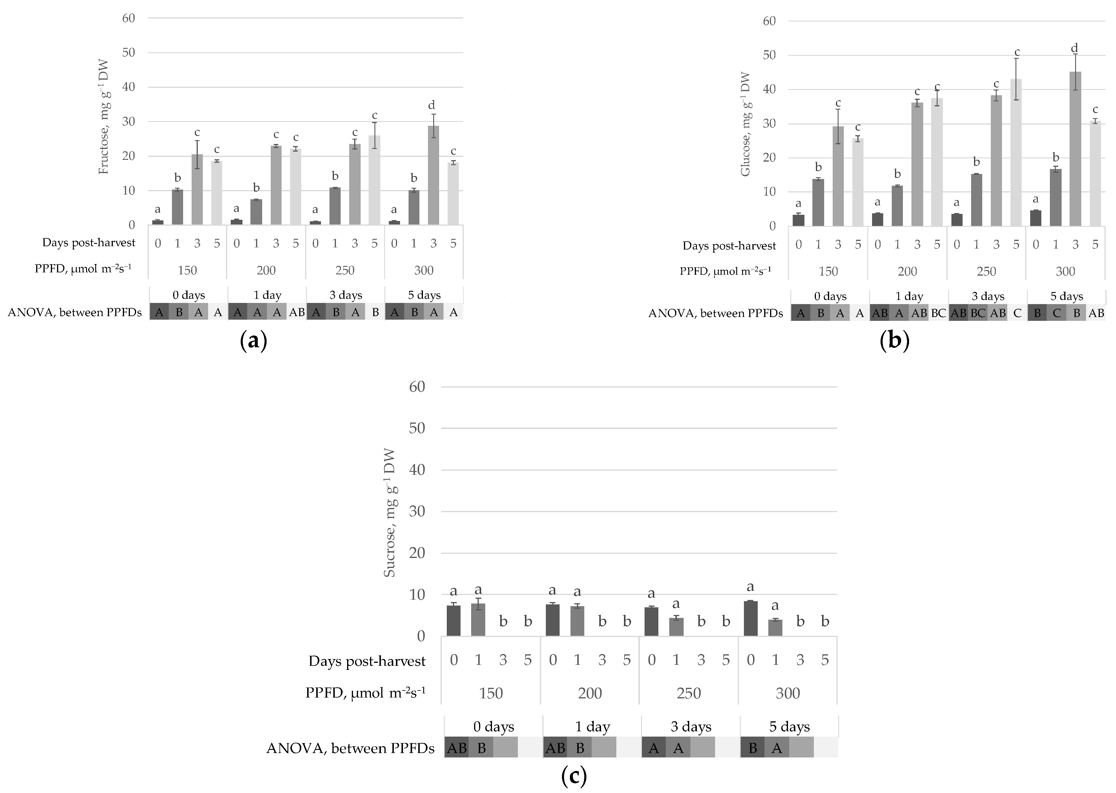
3. Results
4. Discussion
5. Conclusions
Author Contributions
Funding
Institutional Review Board Statement
Data Availability Statement
Conflicts of Interest
References
- Neo, D.C.J.; Ong, M.M.X.; Lee, Y.Y.; Teo, E.J.; Ong, Q.; Tanoto, H.; Xu, J.; Ong, K.S.; Suresh, V. Shaping and Tuning Lighting Conditions in Controlled Environment Agriculture: A Review. ACS Agric. Sci. Technol. 2022, 2, 3–16. [Google Scholar] [CrossRef]
- Kutschera, A.; Lamb, J.J. Light Meter for Measuring Photosynthetically Active Radiation. Am. J. Plant Sci. 2018, 09, 2420–2428. [Google Scholar] [CrossRef]
- Nelson, N.; Junge, W. Structure and Energy Transfer in Photosystems of Oxygenic Photosynthesis. Annu. Rev. Biochem. 2015, 84, 659–683. [Google Scholar] [CrossRef] [PubMed]
- Kelly, N.; Choe, D.; Meng, Q.; Runkle, E.S. Promotion of Lettuce Growth under an Increasing Daily Light Integral Depends on the Combination of the Photosynthetic Photon Flux Density and Photoperiod. Sci. Hortic. 2020, 272, 109565. [Google Scholar] [CrossRef]
- Liu, X.; Xu, Y.; Wang, Y.; Yang, Q.; Li, Q. Rerouting Artificial Light for Efficient Crops Production: A Review of Lighting Strategy in PFALs. Agronomy 2022, 12, 1021. [Google Scholar] [CrossRef]
- Zhou, J.; Wang, J.Z.; Hang, T.; Li, P.P. Photosynthetic Characteristics and Growth Performance of Lettuce (Lactuca sativa L.) under Different Light/Dark Cycles in Mini Plant Factories. Photosynt 2020, 58, 740–747. [Google Scholar] [CrossRef]
- Tarr, S.T.; Valle De Souza, S.; Lopez, R.G. Influence of Day and Night Temperature and Radiation Intensity on Growth, Quality, and Economics of Indoor Green Butterhead and Red Oakleaf Lettuce Production. Sustainability 2023, 15, 829. [Google Scholar] [CrossRef]
- Shafiq, I.; Hussain, S.; Raza, M.A.; Iqbal, N.; Asghar, M.A.; Raza, A.; Fan, Y.; Mumtaz, M.; Shoaib, M.; Ansar, M.; et al. Crop Photosynthetic Response to Light Quality and Light Intensity. J. Integr. Agric. 2021, 20, 4–23. [Google Scholar] [CrossRef]
- Carotti, L.; Graamans, L.; Puksic, F.; Butturini, M.; Meinen, E.; Heuvelink, E.; Stanghellini, C. Plant Factories Are Heating Up: Hunting for the Best Combination of Light Intensity, Air Temperature and Root-Zone Temperature in Lettuce Production. Front. Plant Sci. 2021, 11, 592171. [Google Scholar] [CrossRef]
- Pennisi, G.; Pistillo, A.; Orsini, F.; Cellini, A.; Spinelli, F.; Nicola, S.; Fernandez, J.A.; Crepaldi, A.; Gianquinto, G.; Marcelis, L.F.M. Optimal Light Intensity for Sustainable Water and Energy Use in Indoor Cultivation of Lettuce and Basil under Red and Blue LEDs. Sci. Hortic. 2020, 272, 109508. [Google Scholar] [CrossRef]
- Dou, H.; Niu, G.; Gu, M.; Masabni, J.G. Responses of Sweet Basil to Different Daily Light Integrals in Photosynthesis, Morphology, Yield, and Nutritional Quality. Horts 2018, 53, 496–503. [Google Scholar] [CrossRef]
- Beaman, A.R.; Gladon, R.J.; Schrader, J.A. Sweet Basil Requires an Irradiance of 500 μ Mol·m−2·s−1 for Greatest Edible Biomass Production. Horts 2009, 44, 64–67. [Google Scholar] [CrossRef]
- Larsen, D.H.; Woltering, E.J.; Nicole, C.C.S.; Marcelis, L.F.M. Response of Basil Growth and Morphology to Light Intensity and Spectrum in a Vertical Farm. Front. Plant Sci. 2020, 11, 597906. [Google Scholar] [CrossRef] [PubMed]
- Miao, C.; Yang, S.; Xu, J.; Wang, H.; Zhang, Y.; Cui, J.; Zhang, H.; Jin, H.; Lu, P.; He, L.; et al. Effects of Light Intensity on Growth and Quality of Lettuce and Spinach Cultivars in a Plant Factory. Plants 2023, 12, 3337. [Google Scholar] [CrossRef] [PubMed]
- Nájera, C.; Urrestarazu, M. Effect of the Intensity and Spectral Quality of LED Light on Yield and Nitrate Accumulation in Vegetables. Horts 2019, 54, 1745–1750. [Google Scholar] [CrossRef]
- Nicole, C.C.S.; Krijn, M.P.C.M.; Van Slooten, U. Nitrate Content Control in Green Vegetables Grown Under LED Lighting. In Plant Factory Using Artificial Light; Elsevier: Amsterdam, The Netherlands, 2019; pp. 99–110. ISBN 9780128139738. [Google Scholar]
- Zhou, W.L.; Liu, W.K.; Yang, Q.C. Quality Changes in Hydroponic Lettuce Grown under Pre-Harvest Short-Duration Continuous Light of Different Intensities. J. Hortic. Sci. Biotechnol. 2012, 87, 429–434. [Google Scholar] [CrossRef]
- Samuolienė, G.; Brazaitytė, A.; Viršilė, A.; Jankauskienė, J.; Sakalauskienė, S.; Duchovskis, P. Red Light-Dose or Wavelength-Dependent Photoresponse of Antioxidants in Herb Microgreens. PLoS ONE 2016, 11, e0163405. [Google Scholar] [CrossRef]
- Zhou, Y.-H.; Zhang, Y.-Y.; Zhao, X.; Yu, H.-J.; Shi, K.; Yu, J.-Q. Impact of Light Variation on Development of Photoprotection, Antioxidants, and Nutritional Value in Lactuca sativa L. J. Agric. Food Chem. 2009, 57, 5494–5500. [Google Scholar] [CrossRef]
- Min, Q.; Marcelis, L.F.M.; Nicole, C.C.S.; Woltering, E.J. High Light Intensity Applied Shortly Before Harvest Improves Lettuce Nutritional Quality and Extends the Shelf Life. Front. Plant Sci. 2021, 12, 615355. [Google Scholar] [CrossRef]
- Jiang, H.; Li, X.; Tian, J.; Liu, H. Pre-Harvest Supplemental Blue Light Enhanced Antioxidant Activity of Flower Stalk in Chinese Kale during Storage. Plants 2021, 10, 1177. [Google Scholar] [CrossRef]
- Hou, T.; Netala, V.R.; Zhang, H.; Xing, Y.; Li, H.; Zhang, Z. Perilla frutescens: A Rich Source of Pharmacological Active Compounds. Molecules 2022, 27, 3578. [Google Scholar] [CrossRef] [PubMed]
- Yu, H.; Qiu, J.-F.; Ma, L.-J.; Hu, Y.-J.; Li, P.; Wan, J.-B. Phytochemical and Phytopharmacological Review of Perilla frutescens L. (Labiatae), a Traditional Edible-Medicinal Herb in China. Food Chem. Toxicol. 2017, 108, 375–391. [Google Scholar] [CrossRef] [PubMed]
- Aochen, C.; Kumar, A.; Jaiswal, S.; Puro, K.; Shimray, P.W.; Hajong, S.; Sangma, R.H.C.; Aochen, S.; Iangrai, B.; Bhattacharjee, B.; et al. Perilla frutescens L.: A Dynamic Food Crop Worthy of Future Challenges. Front. Nutr. 2023, 10, 1130927. [Google Scholar] [CrossRef] [PubMed]
- Nguyen, T.K.L.; Oh, M. Physiological and Biochemical Responses of Green and Red Perilla to LED -based Light. J. Sci. Food Agric. 2021, 101, 240–252. [Google Scholar] [CrossRef]
- Nguyen, L.T.K.; Oh, M. Growth and Biochemical Responses of Green and Red Perilla Supplementally Subjected to UV-A and Deep-blue LED Lights. Photochem. Photobiol. 2022, 98, 1332–1342. [Google Scholar] [CrossRef]
- Hwang, C.H.; Park, Y.G.; Jeong, B.R. Changes in Content of Total Polyphenol and Activities of Antioxidizing Enzymes in Perilla frutescens Var. acuta Kudo and Salvia plebeia R. Br. as Affected by Light Intensity. Hortic. Environ. Biotechnol. 2014, 55, 489–497. [Google Scholar] [CrossRef]
- Lu, N.; Takagaki, M.; Yamori, W.; Kagawa, N. Flavonoid Productivity Optimized for Green and Red Forms of Perilla frutescens via Environmental Control Technologies in Plant Factory. J. Food Qual. 2018, 2018, 4270279. [Google Scholar] [CrossRef]
- Lu, N.; Bernardo, E.L.; Tippayadarapanich, C.; Takagaki, M.; Kagawa, N.; Yamori, W. Growth and Accumulation of Secondary Metabolites in Perilla as Affected by Photosynthetic Photon Flux Density and Electrical Conductivity of the Nutrient Solution. Front. Plant Sci. 2017, 8, 708. [Google Scholar] [CrossRef]
- Kudirka, G.; Viršilė, A.; Laužikė, K.; Sutulienė, R.; Samuolienė, G. Photosynthetic Photon Flux Density Effects on Portulaca olearacea in Controlled-Environment Agriculture. Plants 2023, 12, 3622. [Google Scholar] [CrossRef]
- Volpe, S.; Mahajan, P.V.; Rux, G.; Cavella, S.; Torrieri, E. Condensation and Moisture Regulation in Packaged Fresh-Cut Iceberg Lettuce. J. Food Eng. 2018, 216, 132–137. [Google Scholar] [CrossRef]
- Agüero, M.V.; Ponce, A.G.; Moreira, M.R.; Roura, S.I. Lettuce Quality Loss under Conditions That Favor the Wilting Phenomenon. Postharvest Biol. Technol. 2011, 59, 124–131. [Google Scholar] [CrossRef]
- Jayalath, T.C.; Van Iersel, M.W. Canopy Size and Light Use Efficiency Explain Growth Differences between Lettuce and Mizuna in Vertical Farms. Plants 2021, 10, 704. [Google Scholar] [CrossRef] [PubMed]
- Sharma, O.P.; Bhat, T.K. DPPH Antioxidant Assay Revisited. Food Chem. 2009, 113, 1202–1205. [Google Scholar] [CrossRef]
- Re, R.; Pellegrini, N.; Proteggente, A.; Pannala, A.; Yang, M.; Rice-Evans, C. Antioxidant Activity Applying an Improved ABTS Radical Cation Decolorization Assay. Free Radic. Biol. Med. 1999, 26, 1231–1237. [Google Scholar] [CrossRef]
- Benzie, I.F.F.; Strain, J.J. The Ferric Reducing Ability of Plasma (FRAP) as a Measure of “Antioxidant Power”: The FRAP Assay. Anal. Biochem. 1996, 239, 70–76. [Google Scholar] [CrossRef]
- Ainsworth, E.A.; Gillespie, K.M. Estimation of Total Phenolic Content and Other Oxidation Substrates in Plant Tissues Using Folin–Ciocalteu Reagent. Nat. Protoc. 2007, 2, 875–877. [Google Scholar] [CrossRef]
- Gudžinskaitė, I.; Laužikė, K.; Pukalskas, A.; Samuolienė, G. The Effect of Light Intensity during Cultivation and Postharvest Storage on Mustard and Kale Microgreen Quality. Antioxidants 2024, 13, 1075. [Google Scholar] [CrossRef]
- Samuolienė, G.; Viršilė, A.; Miliauskienė, J.; Haimi, P.J.; Laužikė, K.; Brazaitytė, A.; Duchovskis, P. The Physiological Response of Lettuce to Red and Blue Light Dynamics Over Different Photoperiods. Front. Plant Sci. 2021, 11, 610174. [Google Scholar] [CrossRef]
- Boros, I.F.; Székely, G.; Balázs, L.; Csambalik, L.; Sipos, L. Effects of LED Lighting Environments on Lettuce (Lactuca sativa L.) in PFAL Systems—A Review. Sci. Hortic. 2023, 321, 112351. [Google Scholar] [CrossRef]
- Wada, K.C.; Kondo, H.; Takeno, K. Obligatory Short-Day Plant, Perilla frutescens Var. crispa Can Flower in Response to Low-Intensity Light Stress under Long-Day Conditions. Physiol. Plant. 2010, 138, 339–345. [Google Scholar] [CrossRef]
- Sale, A.I.; Uthairatanakij, A.; Laohakunjit, N.; Jitareerat, P.; Kaisangsri, N. Pre-Harvest Supplemental LED Treatments Led to Improved Postharvest Quality of Sweet Basil Leaves. J. Photochem. Photobiol. B Biol. 2023, 248, 112788. [Google Scholar] [CrossRef] [PubMed]
- Brindisi, L.J.; Simon, J.E. Preharvest and Postharvest Techniques That Optimize the Shelf Life of Fresh Basil (Ocimum basilicum L.): A Review. Front. Plant Sci. 2023, 14, 1237577. [Google Scholar] [CrossRef] [PubMed]
- Zhou, F.; Zuo, J.; Xu, D.; Gao, L.; Wang, Q.; Jiang, A. Low Intensity White Light-Emitting Diodes (LED) Application to Delay Senescence and Maintain Quality of Postharvest Pakchoi (Brassica campestris L. Ssp. chinensis (L.) Makino Var. communis Tsen et Lee). Sci. Hortic. 2020, 262, 109060. [Google Scholar] [CrossRef]
- Koukounaras, A.; Bantis, F.; Karatolos, N.; Melissas, C.; Vezyroglou, A. Influence of Pre-Harvest Factors on Postharvest Quality of Fresh-Cut and Baby Leafy Vegetables. Agronomy 2020, 10, 172. [Google Scholar] [CrossRef]
- Woltering, E.J.; Witkowska, I.M. Effects of Pre- and Postharvest Lighting on Quality and Shelf Life of Fresh-Cut Lettuce. Acta Hortic. 2016, 1134, 357–366. [Google Scholar] [CrossRef]
- Larsen, D.H.; Li, H.; Van De Peppel, A.C.; Nicole, C.C.S.; Marcelis, L.F.M.; Woltering, E.J. High Light Intensity at End-Of-Production Improves the Nutritional Value of Basil but Does Not Affect Postharvest Chilling Tolerance. Food Chem. 2022, 369, 130913. [Google Scholar] [CrossRef]
- Meitha, K.; Pramesti, Y.; Suhandono, S. Reactive Oxygen Species and Antioxidants in Postharvest Vegetables and Fruits. Int. J. Food Sci. 2020, 2020, 8817778. [Google Scholar] [CrossRef]
- Valle De Souza, S.; Peterson, H.C.; Seong, J. Emerging Economics and Profitability of PFALs. In Plant Factory Basics, Applications and Advances; Elsevier: Amsterdam, The Netherlands, 2022; pp. 251–270. ISBN 9780323851527. [Google Scholar]
- Katzin, D.; Marcelis, L.F.M.; Van Mourik, S. Energy Savings in Greenhouses by Transition from High-Pressure Sodium to LED Lighting. Appl. Energy 2021, 281, 116019. [Google Scholar] [CrossRef]
- Engler, N.; Krarti, M. Review of Energy Efficiency in Controlled Environment Agriculture. Renew. Sustain. Energy Rev. 2021, 141, 110786. [Google Scholar] [CrossRef]
- Arcasi, A.; Mauro, A.W.; Napoli, G.; Tariello, F.; Vanoli, G.P. Energy and Cost Analysis for a Crop Production in a Vertical Farm. Appl. Therm. Eng. 2024, 239, 122129. [Google Scholar] [CrossRef]
- Kusuma, P.; Pattison, P.M.; Bugbee, B. From Physics to Fixtures to Food: Current and Potential LED Efficacy. Hortic. Res. 2020, 7, 56. [Google Scholar] [CrossRef] [PubMed]





| PPFD, µmol m−2s−1 | Days Post-Harvest | TR g kg−1h−1 | WL, % | WC, % | |||
|---|---|---|---|---|---|---|---|
| 150 | 1 | 6.6 ± 1.1 B | a | 15.8 ± 2.7 B | a | 85.3 ± 1.0 B | a |
| 3 | 5.6 ± 0.5 B | a | 40.3 ± 3.9 B | b | 73.2 ± 7.8 A | a | |
| 5 | 4.4 ± 0.6 B | a | 53.2 ± 7.3 B | b | 73.2 ± 3.4 A | a | |
| 200 | 1 | 5.0 ± 1.4 AB | a | 12.0 ± 3.4 AB | a | 83.8 ± 1.0 AB | b |
| 3 | 4.1 ± 0.2 AB | a | 29.5 ± 1.3 AB | b | 81.0 ± 0.3 A | ab | |
| 5 | 3.1 ± 0.6 AB | a | 39.2 ± 7.6 AB | b | 77.6 ± 2.2 A | a | |
| 250 | 1 | 6.0 ± 0.1 B | b | 14.5 ± 0.3 B | a | 82.4 ± 0.1 A | c |
| 3 | 3.4 ± 0.8 A | a | 24.3 ± 5.7 A | ab | 80.5 ± 1.0 A | b | |
| 5 | 2.9 ± 0.2 A | a | 34.8 ± 2.8 A | b | 77.6 ± 0.4 A | a | |
| 300 | 1 | 2.9 ± 0.1 A | a | 6.9 ± 0.2 A | a | 84.0 ± 0.9 AB | b |
| 3 | 2.6 ± 0.3 A | a | 19.0 ± 2.0 A | b | 80.7 ± 1.6 A | ab | |
| 5 | 2.8 ± 0.1 A | a | 33.9 ± 1.5 A | c | 77.0 ± 1.2 A | a |
| PPFD, µmol m−2s−1 | Days Post-Harvest | Protein Content, mg g−1 DW | ChlA, mg g−1 DW | ChlB, mg g−1 DW | β carotene, µg g−1 DW | ||||
|---|---|---|---|---|---|---|---|---|---|
| 150 | 0 | 16.5 ± 0.4 A | b | 3.0 ± 0.03 A | b | 2.2 ± 0.02 A | b | 80 ± 8 A | a |
| 1 | 8.6 ± 0.4 A | a | 2.3 ± 0.09 A | a | 1.9 ± 0.10 A | a | 92 ± 7 A | a | |
| 3 | 8.8 ± 0.1 A | a | 2.9 ± 0.04 A | b | 2.4 ± 0.03 A | b | 98 ± 3 A | a | |
| 5 | 8.2 ± 0.5 A | a | 3.3 ± 0.10 B | c | 2.6 ± 0.04 C | c | 94 ± 4 A | a | |
| 200 | 0 | 19.7 ± 3.5 A | b | 3.4 ± 0.03 C | b | 2.5 ± 0.02 B | c | 95 ± 7 A | a |
| 1 | 14.8 ± 0.2 C | ab | 3.1 ± 0.10 B | a | 2.4 ± 0.09 B | bc | 113 ± 2 B | a | |
| 3 | 11.2 ± 0.5 AB | a | 2.9 ± 0.08 A | a | 2.2 ± 0.08 A | ab | 105 ± 3 AB | a | |
| 5 | 12.8 ± 0.2 AB | a | 2.8 ± 0.12 A | a | 2.1 ± 0.09 AB | a | 104 ± 4 AB | a | |
| 250 | 0 | 18.2 ± 0.5 A | c | 3.1 ± 0.06 B | c | 2.4 ± 0.02 A | b | 145 ± 3 A | b |
| 1 | 12.0 ± 1.0 B | a | 2.4 ± 0.02 A | a | 1.9 ± 0.02 A | a | 103 ± 5 AB | a | |
| 3 | 16.8 ± 0.6 B | bc | 3.1 ± 0.10 A | c | 2.4 ± 0.09 A | b | 107 ± 4 AB | a | |
| 5 | 14.8 ± 0.8 B | b | 2.8 ± 0.05 A | b | 2.2 ± 0.06 AB | b | 110 ± 3 B | a | |
| 300 | 0 | 19.0 ± 0.7 A | a | 3.1 ± 0.03 AB | b | 2.3 ± 0.02 B | b | 0.131 ± 0.004 A | c |
| 1 | 18.3 ± 0.6 D | a | 3.0 ± 0.11 B | ab | 2.4 ± 0.06 B | b | 0.106 ± 0.002 AB | ab | |
| 3 | 15.5 ± 4.2 AB | a | 2.8 ± 0.10 A | ab | 2.3 ± 0.09 A | b | 0.113 ± 0.004 B | b | |
| 5 | 11.1 ± 3.1 AB | a | 2.6 ± 0.19 A | a | 2.0 ± 0.13 A | a | 0.098 ± 0.001 A | a |
Disclaimer/Publisher’s Note: The statements, opinions and data contained in all publications are solely those of the individual author(s) and contributor(s) and not of MDPI and/or the editor(s). MDPI and/or the editor(s) disclaim responsibility for any injury to people or property resulting from any ideas, methods, instructions or products referred to in the content. |
© 2024 by the authors. Licensee MDPI, Basel, Switzerland. This article is an open access article distributed under the terms and conditions of the Creative Commons Attribution (CC BY) license (https://creativecommons.org/licenses/by/4.0/).
Share and Cite
Viršilė, A.; Gudžinskaitė, I.; Laužikė, K.; Kudirka, G.; Pukalskas, A.; Samuolienė, G. Light Intensity Effects on Productivity and Post-Harvest Quality in Perilla frutescens Cultivated in CEA. Agriculture 2024, 14, 2079. https://doi.org/10.3390/agriculture14112079
Viršilė A, Gudžinskaitė I, Laužikė K, Kudirka G, Pukalskas A, Samuolienė G. Light Intensity Effects on Productivity and Post-Harvest Quality in Perilla frutescens Cultivated in CEA. Agriculture. 2024; 14(11):2079. https://doi.org/10.3390/agriculture14112079
Chicago/Turabian StyleViršilė, Akvilė, Ieva Gudžinskaitė, Kristina Laužikė, Gediminas Kudirka, Audrius Pukalskas, and Giedrė Samuolienė. 2024. "Light Intensity Effects on Productivity and Post-Harvest Quality in Perilla frutescens Cultivated in CEA" Agriculture 14, no. 11: 2079. https://doi.org/10.3390/agriculture14112079
APA StyleViršilė, A., Gudžinskaitė, I., Laužikė, K., Kudirka, G., Pukalskas, A., & Samuolienė, G. (2024). Light Intensity Effects on Productivity and Post-Harvest Quality in Perilla frutescens Cultivated in CEA. Agriculture, 14(11), 2079. https://doi.org/10.3390/agriculture14112079

