Dry Direct-Seeded Rice Yield and Water Use Efficiency as Affected by Biodegradable Film Mulching in the Northeastern Region of China
Abstract
1. Introduction
2. Materials and Methods
2.1. General Situation of the Research Area
2.2. Experimental Protocols and Field Management
2.3. Rice Growth Development and Physiological Indices Assessment
2.4. Field Data Survey and Measurement Soil Temperature
2.5. Statistical Evaluations
3. Results
3.1. Effects of Varied Covering Substances on Soil Humidity and Temperature
3.1.1. Soil Temperature
3.1.2. Soil Moisture
3.2. The Impacts of Different Covering Materials on Rice Growth and Photosynthetic Characteristics
3.2.1. Rice Growth
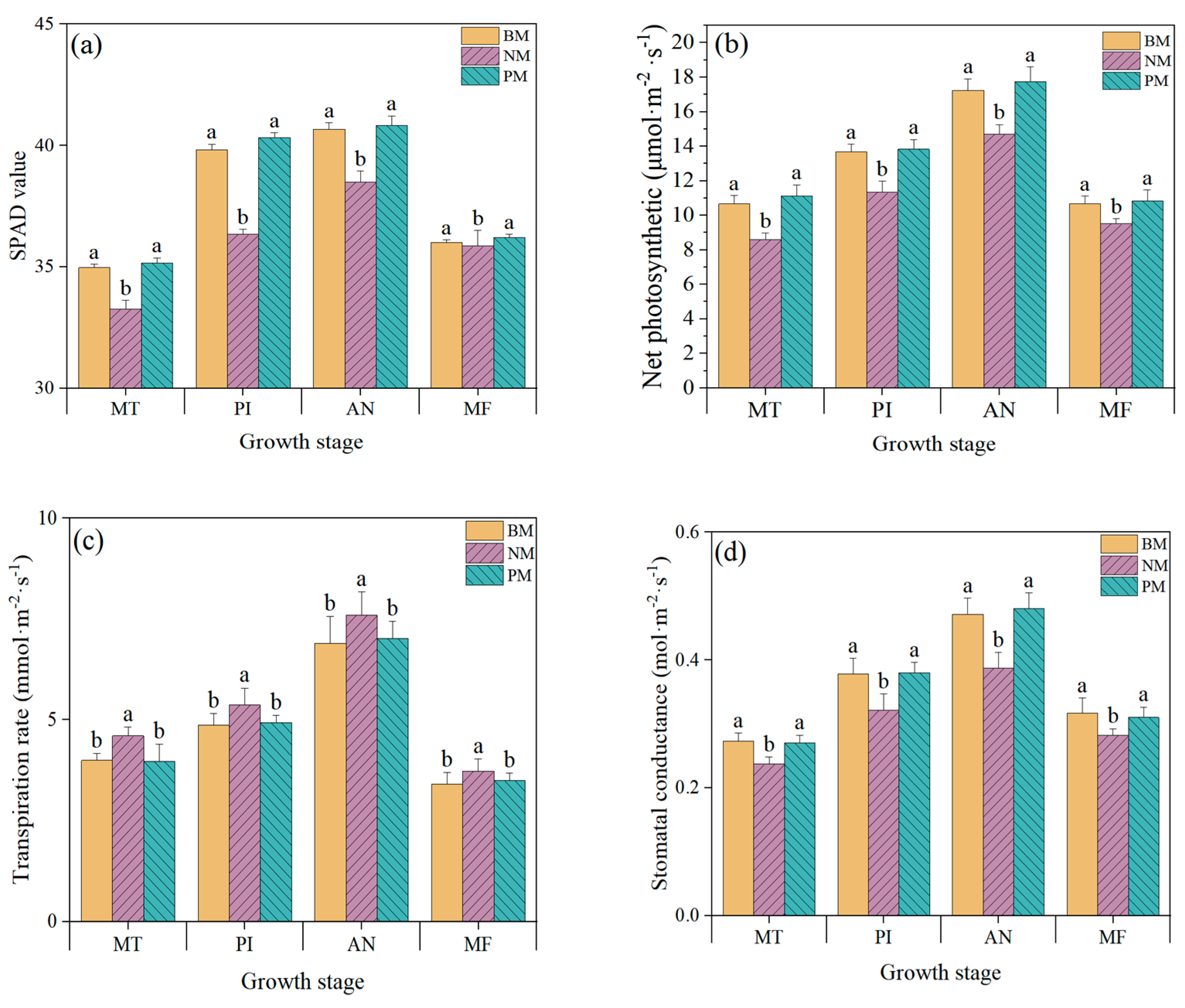
3.2.2. Rice Photosynthetic Characteristics
3.3. Effects of Diverse Cover Materials on Water Intake and Productivity
3.4. The Effects of Diverse Covering Materials on Rice Production and Overall Profitability
4. Discussion and Conclusions
4.1. Soil Condition
4.2. Crop Growth
4.3. Water Use Efficiency
4.4. Economic Benefits
Author Contributions
Funding
Institutional Review Board Statement
Informed Consent Statement
Data Availability Statement
Conflicts of Interest
References
- Chen, L.; Zhu, X.; Chen, J.; Wang, J.; Lu, G. Effects of Mulching on Early-Spring Green Asparagus Yield and Quality under Cultivation in Plastic Tunnels. Horticulturae 2022, 8, 395. [Google Scholar] [CrossRef]
- Tan, Q.; Yang, L.; Wei, F.; Chen, Y.; Li, J. Comparative life cycle assessment of polyethylene agricultural mulching film and alternative options including different end-of-life routes. Renew. Sustain. Energy Rev. 2023, 178, 113239. [Google Scholar] [CrossRef]
- Hu, Q.; Li, X.; Šimůnek, J.; Shi, H.; Chen, N.; Zhang, Y.; Xin, M.; Song, F. Evaluating soil water dynamics under a no-tillage system with residual plastic film mulching in an arid region of western China using HYDRUS-2D. Soil Tillage Res. 2023, 234, 105849. [Google Scholar] [CrossRef]
- Wang, D.; Xi, Y.; Shi, X.-Y.; Zhong, Y.-J.; Guo, C.-L.; Han, Y.-N.; Li, F.-M. Effect of plastic film mulching and film residues on phthalate esters concentrations in soil and plants, and its risk assessment. Environ. Pollut. 2021, 286, 117546. [Google Scholar] [CrossRef] [PubMed]
- Jang, Y.; Kim, M.; Kim, Y.; Yu, J.; Kim, S.-K.; Han, J.; Kim, Y.-H.; Min, J. Enhancing biodegradation of PBAT through bio-stimulation using Pseudozyma jejuensis for effective plastic waste reduction. Chemosphere 2023, 340, 139867. [Google Scholar] [CrossRef] [PubMed]
- Yang, C.; Zhao, Y.; Long, B.; Wang, F.; Li, F.; Xie, D. Biodegradable mulch films improve yield of winter potatoes through effects on soil properties and nutrients. Ecotoxicol. Environ. Saf. 2023, 264, 115402. [Google Scholar] [CrossRef] [PubMed]
- Wen, Y.; Liu, J.; Zhang, J.Z.; Li, W.H.; Ayantobo, O.O.; Wang, Z.H. Effects of macro-plastics on soil hydrothermal environment, cotton yield, and fiber quality under mulched drip irrigation in the arid region of Northwest China. Field Crops Res. 2023, 302, 109060. [Google Scholar] [CrossRef]
- Wu, Z.; Zheng, Y.; Sui, X.; Zhang, Z.; Wang, E.; Liu, Y.; Yu, T.; Yang, J.; Wu, Y. Comparative analysis of the effects of conventional and biodegradable plastic mulching films on soil-peanut ecology and soil pollution. Chemosphere 2023, 334, 139044. [Google Scholar] [CrossRef]
- Wang, B.F.; Li, Z.Y.; Liu, Z.H.; Pang, J.W.; Zhang, P.; Jia, Z.K. Effects of Future Climate Change on Spring Maize Yield and Water Use Efficiency under Film Mulching with Different Materials in the LOESS Plateau Region of China. Agriculture 2023, 13, 1252. [Google Scholar] [CrossRef]
- Lan, Y.; Shen, L.; Li, R. Effects of Different Film Mulching on Soil Temperature and Moisture. Chin. Agric. Sci. Bull. 2013, 29, 120–126. [Google Scholar]
- Li, X.; Peng, Z.; Shi, H.; Yan, J.; Wang, Z. Effects of Different Degradable Films Mulching on Soil Water Potential, Temperature and Sunflower Growth. Trans. Chin. Soc. Agric. Mach. 2015, 46, 97–103. [Google Scholar]
- Xiang, W.; Feng, C.; Feng, L.; Liu, Q.; Zhang, L.; Bai, W.; Yang, N.; Zheng, J.; Sun, Z. Degradation and residual characteristics of PBAT biodegradable plastic film in semi-arid area in western Liaoning. J. China Agric. Univ. 2021, 26, 45–53. [Google Scholar]
- Yang, Y.; Xie, D.; Chen, M.; Huang, J.; Mo, J.; Li, H. Research of truly biodegradable mulch film applied in sugarcane planting. Guangdong Agric. Sci. 2013, 40, 19. [Google Scholar]
- Liu, H.; Liu, H.; Wang, J.; Wu, Y.; Liu, B.; Sun, D.; Guo, X.; Chun, L.; Liu, J. Degradation characteristics of fully biodegradable mulch film and its effect on dry rice yield. North. J. Agric. Sci. 2021, 49, 71–76. [Google Scholar]
- Fang, H.; Li, Y.; Gu, X.; Chen, P.; Li, Y. Root characteristics, utilization of water and nitrogen, and yield of maize under biodegradable film mulching and nitrogen application. Agric. Water Manag. 2022, 262, 107392. [Google Scholar] [CrossRef]
- Zhao, A.; Li, Z.; Gong, Y. Effects of biodegradable mulch film on corn growth and its degradation in field. J. China Agric. Univ. 2005, 10, 74–78. [Google Scholar]
- HaiMing, L.I. Rice varietal improvement and rice production in China. J. Grad. Sch. Acad. Sci. 2007, 24, 1–8. [Google Scholar]
- Ding, J.; Yang, K.; Ma, C.; Wen, Q. Spatial-temporal evolution of grain production in China. Arid Land Geogr. 2017, 40, 1290–1297. [Google Scholar]
- Liu, Q.; Mu, X.; Yuan, Z.; Gao, H.; Zhang, R. Degradation of Biodegradable Mulch Film and Its Effect on Growth and Yield of Maize. Bull. Soil Water Conserv. 2011, 31, 126–129. [Google Scholar]
- Zhang, L.; Zhou, X.; Liu, M.; Guo, X.; Jiang, P.; Zhu, Y.; Xu, F.; Xiong, H.; Yang, L. Breeding and Application of High-quality Rice Restorer Line Luhui 107 with High Temperature and Drought Tolerance. Hybrid Rice 2023, 38, 74–78. [Google Scholar]
- Dang, C.; Hao, R.; Zhou, M.; Hu, Y.; Liu, Y.; Yang, Q.; Zhou, J.; Tian, X. Effects of Meteorological Conditions During Grain Filling Stage on Grain Yield and Rice Quality of High-quality Rice in Jianghan Plain. Resour. Environ. Yangtze Basin 2023, 32, 1068–1079. [Google Scholar]
- Yang, X.; Wang, B.; Wang, B.; Zhang, Z.; Zhang, Z.; Yang, L.; Cheng, J.; Li, Y. Effects of Different Water Management on Yield and Rice Quality of Dry-seeded Rice. Chin. J. Rice Sci. 2023, 37, 285–294. [Google Scholar]
- Wei, Y.; Hou, J.; Wu, Y.; Liu, H.; Ru, C.; Yang, J. Effects of Different Water Management on Growth Physiology and Water-saving of Dry Direct Seeding Rice. Trans. Chin. Soc. Agric. Mach. 2018, 49, 253–264. [Google Scholar]
- Wei, Y.; Cao, X.; Ji, J.; Zhang, X.; Liu, H.; Wu, Y. Effects of Different Irrigation Methods on Photosynthetic Characteristics and Dry Matter Accumulation Dynamics of Dry Direct Seeding Rice. Trans. Chin. Soc. Agric. Mach. 2021, 52, 358–368. [Google Scholar]
- Qi, X.; Song, B.O.; Zhang, W. Dry Rice Dry Direct Seeding and Film Mulching Drip Irrigation Cultivation System and Application Thereof in Dry Rice Planting. 2022. Available online: https://kns.cnki.net/kcms2/article/abstract?v=fCqJ37DMrBlI8lFUOQCKXq0iiHbr0t_crTT7Vpa-USUEk8HhdmUtEjNrx8YpFQ5dVlVxwdVFFvBH8SUN3ushZEt_CDR4Hz6z_9lI2ACMHSE_CItlpimlJ5X5dDf0_GtU4Y4-j-T0uEqwUJ5jBITFOQ==&uniplatform=NZKPT&language=CHS (accessed on 27 November 2023).
- Xue, Y.; Sun, Z.; Ju, X.; Xi, B.; Jin, T.; Jia, T. Current Status of Research and Applications of Degradable Materials for Agricultural Soil Films. China Plast. 2020, 34, 87–96. [Google Scholar]
- Bai, X.; Zhou, H.; Xie, W.; Yang, Z.; Cheng, M.; Du, Y. Effects of Different Plastic Film Mulching on Soil Moistures, Temperatures and Maize Yields. Soils 2018, 50, 414–420. [Google Scholar]
- Li, Y.; Yang, X.; Wang, B.; Zhang, Z.; Chen, S.; Lin, Y.; Cheng, J. Effects of Sowing Dates on Grain Yield and Rice Quality Under Mechanical Dry Direct Seeding. J. Nucl. Agric. Sci. 2022, 36, 1648–1656. [Google Scholar]
- GB/T 35795—2017; Fully Biodegradable Agricultural Ground Cover Film. National Technical Committee for Standardization of Bio-based Materials and Degradable Products (SAC/TC380): Beijing, China, 2017.
- GB 13735—2017; Polyethylene Blown Mulch Film for Agricultural Uses. Ministry of Industry and Information Technology: Beijing, China, 2017.
- NY/T 83-2017; Determination of Rice Quality. Bureau of Agricultural Products Processing, Ministry of Agriculture: Beijing, China, 2017.
- Li, W.; Zu, B.; Ran, D.; Huang, Y.; Li, J. The adsorption behavior of phosphorus in microplastics in water and soil. J. Agro-Environ. Sci. 2021, 40, 1758–1764. [Google Scholar] [CrossRef]
- Gao, H.; Liu, Q.; Gong, D.; Liu, H.; Luo, L.; Cui, J.; Qi, H.; Ma, F.; He, W.; Mancl, K.; et al. Biodegradable film mulching reduces the climate cost of saving water without yield penalty in dryland rice production. Resour. Conserv. Recycl. 2023, 197, 107071. [Google Scholar] [CrossRef]
- Gao, H.; Liu, Q.; Yan, C.; Wu, Q.; Gong, D.; He, W.; Liu, H.; Wang, J.; Mei, X. Mitigation of greenhouse gas emissions and improved yield by plastic mulching in rice production. Sci. Total Environ. 2023, 880, 162984. [Google Scholar] [CrossRef]
- Chen, N.; Li, X.; Šimůnek, J.; Shi, H.; Hu, Q.; Zhang, Y. Evaluating the effects of biodegradable and plastic film mulching on soil temperature in a drip-irrigated field. Soil Tillage Res. 2021, 213, 105116. [Google Scholar] [CrossRef]
- Bu, L.-d.; Liu, J.-l.; Zhu, L.; Luo, S.-s.; Chen, X.-p.; Li, S.-q.; Lee Hill, R.; Zhao, Y. The effects of mulching on maize growth, yield and water use in a semi-arid region. Agric. Water Manag. 2013, 123, 71–78. [Google Scholar] [CrossRef]
- Gu, X.-B.; Li, Y.-N.; Du, Y.-D. Continuous ridges with film mulching improve soil water content, root growth, seed yield and water use efficiency of winter oilseed rape. Ind. Crops Prod. 2016, 85, 139–148. [Google Scholar] [CrossRef]
- Gao, W.C.; Lin, Z.Y.; Cai, K.; Pan, W.J.; Li, H.; Liu, Y.X.; Peng, D.; Fei, J.C. Effect of PBAT Biodegradable Mulch Film Extract on Seed Germination and Seedlings Metabolism of Tobacco. Agriculture 2022, 12, 1553. [Google Scholar] [CrossRef]
- Lynch, J. Root Architecture and Plant Productivity. Plant Physiol. 1995, 109, 7–13. [Google Scholar] [CrossRef]
- Li, R.; Li, N.; Liang, L.; Yan, B.; Chen, G.; Hou, L.A. Research Progress on Removal Methods of Microplastics from Aquatic Environment. Technol. Water Treat. 2022, 48, 1–5+12. [Google Scholar]
- Mo, F.; Wang, J.-Y.; Zhou, H.; Luo, C.-L.; Zhang, X.-F.; Li, X.-Y.; Li, F.-M.; Xiong, L.-B.; Kavagi, L.; Nguluu, S.N.; et al. Ridge-furrow plastic-mulching with balanced fertilization in rainfed maize (Zea mays L.): An adaptive management in east African Plateau. Agric. For. Meteorol. 2017, 236, 100–112. [Google Scholar] [CrossRef]
- Gan, Y.; Siddique, K.H.M.; Turner, N.C.; Li, X.-G.; Niu, J.-Y.; Yang, C.; Liu, L.; Chai, Q. Ridge-Furrow Mulching Systems—An Innovative Technique for Boosting Crop Productivity in Semiarid Rain-Fed Environments. Adv. Agron. 2013, 118, 429–476. [Google Scholar]
- Yang, C.; Gao, X. Impact of microplastics from polyethylene and biodegradable mulch films on rice (Oryza sativa L.). Sci. Total Environ. 2022, 828, 154579. [Google Scholar] [CrossRef]
- Zhang, D.; Wang, H.; Hu, W.; Yang, H.; Xu, Y.; Ma, X.; Zhao, P.; Liu, H. Effect of film thickness on crop yield and soil environment. J. Agro-Environ. Sci. 2017, 36, 293–301. [Google Scholar]
- Zhang, Y.; Liu, M.; Dannenmann, M.; Tao, Y.; Yao, Z.; Jing, R.; Zheng, X.; Butterbach-Bahl, K.; Lin, S. Benefit of using biodegradable film on rice grain yield and N use efficiency in ground cover rice production system. Field Crops Res. 2017, 201, 52–59. [Google Scholar] [CrossRef]
- Zhao, H.; Wang, R.-Y.; Ma, B.-L.; Xiong, Y.-C.; Qiang, S.-C.; Wang, C.-L.; Liu, C.-A.; Li, F.-M. Ridge-furrow with full plastic film mulching improves water use efficiency and tuber yields of potato in a semiarid rainfed ecosystem. Field Crops Res. 2014, 161, 137–148. [Google Scholar] [CrossRef]
- Gu, X.-B.; Li, Y.-N.; Du, Y.-D. Biodegradable film mulching improves soil temperature, moisture and seed yield of winter oilseed rape (Brassica napus L.). Soil Tillage Res. 2017, 171, 42–50. [Google Scholar] [CrossRef]
- Jia, Q.; Wang, J.; Ali, S.; Chang, S.; Zhang, C.; Hou, F. Nutrient management and cultivation techniques affect maize production through regulating greenhouse gas intensity and carbon budget under semi-arid climate. J. Clean. Prod. 2020, 276, 124197. [Google Scholar] [CrossRef]
- Kim, Y.; Chung, Y.S.; Lee, E.; Tripathi, P.; Heo, S.; Kim, K.-H. Root Response to Drought Stress in Rice (Oryza sativa L.). Int. J. Mol. Sci. 2020, 21, 1513. [Google Scholar] [CrossRef] [PubMed]
- Zhang, G.; Hou, Y.; Zhang, H.; Fan, H.; Wen, X.; Han, J.; Liao, Y. Optimizing planting pattern and nitrogen application rate improves grain yield and water use efficiency for rain-fed spring maize by promoting root growth and reducing redundant root growth. Soil Tillage Res. 2022, 220, 105385. [Google Scholar] [CrossRef]
- Cozzolino, E.; Di Mola, I.; Ottaiano, L.; Bilotto, M.; Petriccione, M.; Ferrara, E.; Mori, M.; Morra, L. Assessing Yield and Quality of Melon (Cucumis melo L.) Improved by Biodegradable Mulching Film. Plants 2023, 12, 219. [Google Scholar] [CrossRef]
- Yin, M.; Li, Y.; Fang, H.; Chen, P. Biodegradable mulching film with an optimum degradation rate improves soil environment and enhances maize growth. Agric. Water Manag. 2019, 216, 127–137. [Google Scholar] [CrossRef]
- Abduwaiti, A.; Liu, X.W.; Yan, C.R.; Xue, Y.H.; Jin, T.; Wu, H.Q.; He, P.C.; Bao, Z.; Liu, Q. Testing Biodegradable Films as Alternatives to Plastic-Film Mulching for Enhancing the Yield and Economic Benefits of Processed Tomato in Xinjiang Region. Sustainability 2021, 13, 3093. [Google Scholar] [CrossRef]
- Briassoulis, D.; Giannoulis, A. Evaluation of the functionality of bio-based plastic mulching films. Polym. Test. 2018, 67, 99–109. [Google Scholar] [CrossRef]
- Marí, A.I.; Pardo, G.; Cirujeda, A.; Martínez, Y. Economic Evaluation of Biodegradable Plastic Films and Paper Mulches Used in Open-Air Grown Pepper (Capsicum annum L.) Crop. Agronomy 2019, 9, 36. [Google Scholar] [CrossRef]












| Sites | Soil Organic Matter (g kg−1) | Total Nitrogen (g kg−1) | Total Phosphorus (g kg−1) | Total Potassium (g kg−1) | Available Nitrogen (mg kg−1) | Available Phosphorus (mg kg−1) | Available Potassium (mg kg−1) | pH | Clay (%) | Silt (%) | Sand (%) | Field Water Capacity (cm3 cm−3) |
|---|---|---|---|---|---|---|---|---|---|---|---|---|
| Dry fields | 24.1 | 0.11 | 0.04 | 2.38 | 92.8 | 35.3 | 130 | 7.1 | 13.1 | 47.6 | 39.3 | 0.27 |
| Types | Width (cm) | Thickness (mm) | Color | Transmittance (%) | Maximum Tensile Load (N) | Tear Load (N) | Water Vapor Permeability (g (m2 24 h)−1) | |
|---|---|---|---|---|---|---|---|---|
| Portrait | Landscape | |||||||
| Biodegradable film | 150 | ≥0.008 | Black | <5 | ≥1.50 | ≥1.50 | ≥0.50 | <800 |
| Plastic film | 150 | ≥0.010 | Black | <5 | ≥1.60 | ≥1.60 | ≥0.80 | <800 |
| Year | Treatment | Rainfall (mm) | Irrigation (mm) | Total Water Input (mm) | Irrigation Water Productivity (kg m−3) | Total Water Productivity (kg m−3) |
|---|---|---|---|---|---|---|
| 2021 | BM | 451 | 164 ± 14 a | 615 ± 14 a | 4.77 ± 0.23 a | 1.27 ± 0.05 a |
| PM | 451 | 146 ± 20 a | 597 ± 20 a | 5.21 ± 0.27 a | 1.28 ± 0.05 a | |
| NM | 451 | 225 ± 20 b | 676 ± 20 b | 2.90 ± 0.15 b | 0.97 ± 0.06 b | |
| 2022 | BM | 327 | 305 ± 27 a | 632 ± 27 a | 2.55 ± 0.14 b | 1.23 ± 0.07 a |
| PM | 327 | 278 ± 23 a | 605 ± 23 a | 2.81 ± 0.12 a | 1.29 ± 0.06 a | |
| NM | 327 | 451 ± 31 b | 778 ± 31 b | 1.41 ± 0.09 c | 0.82 ± 0.08 b |
| Classification | Subclass | BM | PM | NM |
|---|---|---|---|---|
| Agricultural materials input (CNY ha−1) | Seeds | 1125 | 1125 | 1125 |
| Seedling | 0 | 0 | 0 | |
| Drip tape and water pipe | 1050 | 1050 | 1050 | |
| Film | 2150 | 1575 | 0 | |
| Fertilizer | 2025 | 2025 | 2025 | |
| Pesticide | 525 | 525 | 1050 | |
| Irrigation water and electricity | 1050 | 1050 | 1500 | |
| Leasehold and labour (CNY ha−1) | Leasehold | 7500 | 7500 | 7500 |
| Soil preparation | 525 | 525 | 525 | |
| Sow or transplant | 300 | 300 | 300 | |
| Supplement seeding | 150 | 150 | 150 | |
| Labor control | 1050 | 1050 | 1500 | |
| Harvest | 825 | 825 | 825 | |
| Plastic film recycling | 0 | 600 | 0 | |
| Total cost (CNY ha−1) | 18,275 | 18,300 | 17,550 | |
| Yield (kg ha−1) | 7802 | 7719 | 6453 | |
| Rice price (RMB kg −1) | 3.5 | 3.5 | 3.5 | |
| Net profit (CNY ha−1) | 9032 | 8718 | 5035 | |
Disclaimer/Publisher’s Note: The statements, opinions and data contained in all publications are solely those of the individual author(s) and contributor(s) and not of MDPI and/or the editor(s). MDPI and/or the editor(s) disclaim responsibility for any injury to people or property resulting from any ideas, methods, instructions or products referred to in the content. |
© 2024 by the authors. Licensee MDPI, Basel, Switzerland. This article is an open access article distributed under the terms and conditions of the Creative Commons Attribution (CC BY) license (https://creativecommons.org/licenses/by/4.0/).
Share and Cite
Zhao, Z.; He, W.; Chen, G.; Yan, C.; Gao, H.; Liu, Q. Dry Direct-Seeded Rice Yield and Water Use Efficiency as Affected by Biodegradable Film Mulching in the Northeastern Region of China. Agriculture 2024, 14, 170. https://doi.org/10.3390/agriculture14020170
Zhao Z, He W, Chen G, Yan C, Gao H, Liu Q. Dry Direct-Seeded Rice Yield and Water Use Efficiency as Affected by Biodegradable Film Mulching in the Northeastern Region of China. Agriculture. 2024; 14(2):170. https://doi.org/10.3390/agriculture14020170
Chicago/Turabian StyleZhao, Zijun, Wenqing He, Guangfeng Chen, Changrong Yan, Haihe Gao, and Qin Liu. 2024. "Dry Direct-Seeded Rice Yield and Water Use Efficiency as Affected by Biodegradable Film Mulching in the Northeastern Region of China" Agriculture 14, no. 2: 170. https://doi.org/10.3390/agriculture14020170
APA StyleZhao, Z., He, W., Chen, G., Yan, C., Gao, H., & Liu, Q. (2024). Dry Direct-Seeded Rice Yield and Water Use Efficiency as Affected by Biodegradable Film Mulching in the Northeastern Region of China. Agriculture, 14(2), 170. https://doi.org/10.3390/agriculture14020170

