Insights into Drought Tolerance of Tetraploid Wheat Genotypes in the Germination Stage Using Machine Learning Algorithms
Abstract
1. Introduction
2. Materials and Methods
2.1. Plant Materials
2.2. Treatment Conditions and Plant Growth
- -
- Stress tolerance index: STI =
- -
- Stress intensity: SI
- -
- Stress susceptibility index: (SSI)
2.3. Experiment Design and Statistical Analysis
2.4. Machine Learning Analysis and Model Assessment
3. Results
3.1. Germination Speed and Germination Power
3.2. Fresh Dry Weight and Water Absorption Capacity
3.3. Multivariate Analysis
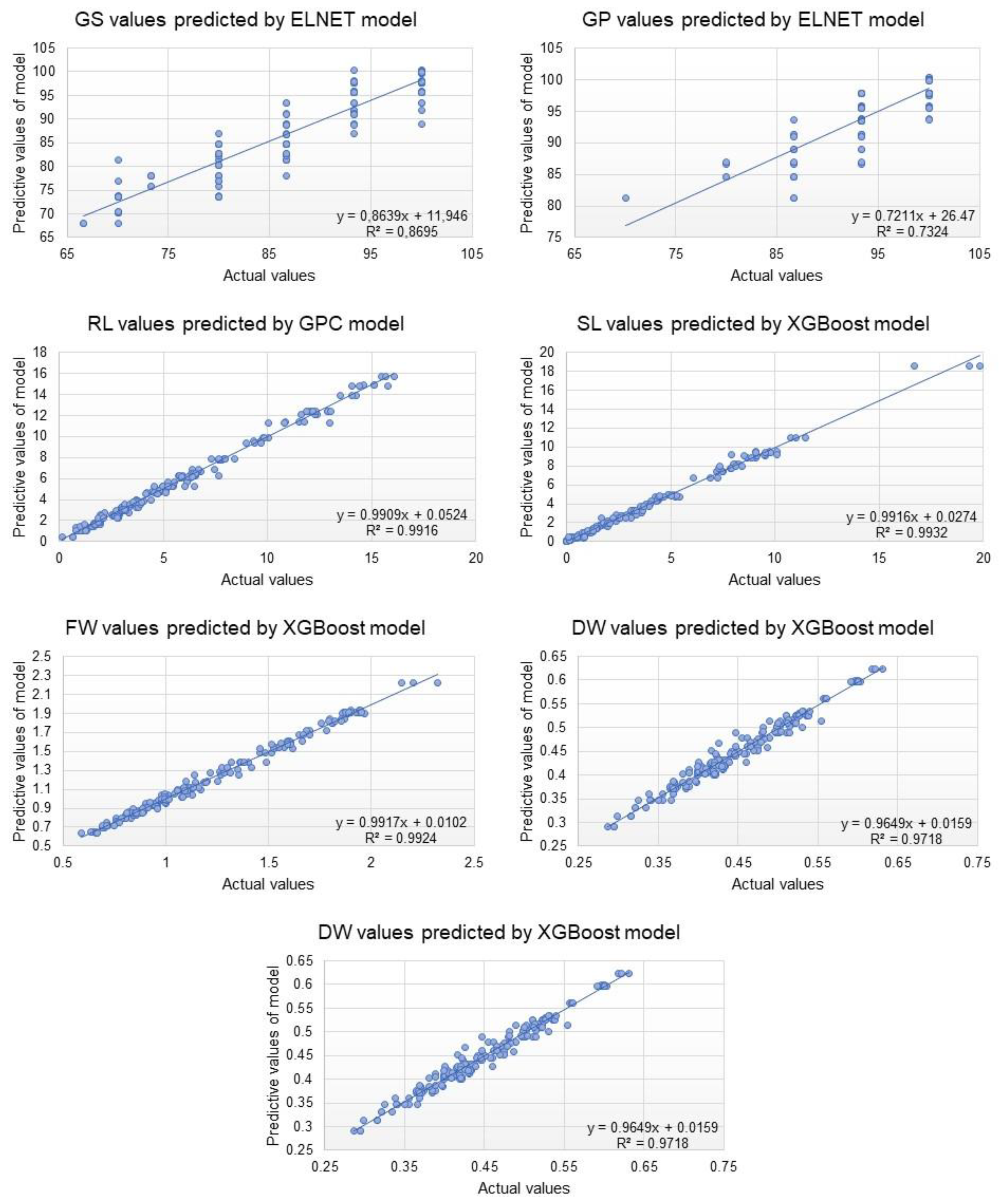
3.4. Machine Learning (ML) Analysis
4. Discussion
5. Conclusions
Supplementary Materials
Author Contributions
Funding
Institutional Review Board Statement
Data Availability Statement
Conflicts of Interest
References
- Loura, D.; Dhankar, A.; Kumar, S. Weed management practices in wheat (Triticum aestivum L.): A review. Agric. Rev. 2023, 44, 1–11. [Google Scholar]
- Benlioglu, B.; Ozgen, M. In vitro selection of drought tolerant regenerants in durum wheat (Triticum durum desf.). Appl. Ecol. Environ. Res. 2021, 19, 1813–1825. [Google Scholar] [CrossRef]
- Zingale, S.; Guarnaccia, P.; Matarazzo, A.; Lagioia, G.; Ingrao, C. A systematic literature review of life cycle assessments in the durum wheat sector. Sci. Total Environ. 2022, 844, 157230. [Google Scholar] [CrossRef] [PubMed]
- TUIK. TSI: 2022 Türkiye Agricultural Production Values; TUIK: Ankara, Türkiye, 2023.
- Varga, I.; Radočaj, D.; Jurišić, M.; Kulundžić, A.M.; Antunović, M. Prediction of sugar beet yield and quality parameters with varying nitrogen fertilization using ensemble decision trees and artificial neural networks. Comput. Electron. Agric. 2023, 212, 108076. [Google Scholar] [CrossRef]
- Balestrini, R.; Chitarra, W.; Ghirardo, A.; Nardini, A.; Nerva, L. A stressful life: How plants cope with multiple biotic and abiotic adverse factors. Plant Stress 2022, 5, 100095. [Google Scholar] [CrossRef]
- Cohen, I.; Zandalinas, S.I.; Huck, C.; Fritschi, F.B.; Mittler, R. Meta-analysis of drought and heat stress combination impact on crop yield and yield components. Physiol. Plant. 2021, 171, 66–76. [Google Scholar] [CrossRef] [PubMed]
- De Santis, M.A.; Soccio, M.; Laus, M.N.; Flagella, Z. Influence of drought and salt stress on durum wheat grain quality and composition: A review. Plants 2021, 10, 2599. [Google Scholar] [CrossRef] [PubMed]
- Gitz, V.; Meybeck, A.; Lipper, L.; Young, C.D.; Braatz, S. Climate Change and Food Security: Risks and Responses; FAO: Rome, Italy, 2016. [Google Scholar]
- Yu, H.; Zhang, Q.; Sun, P.; Song, C. Impact of droughts on winter wheat yield in different growth stages during 2001–2016 in Eastern China. Int. J. Disaster Risk Sci. 2018, 9, 376–391. [Google Scholar] [CrossRef]
- Desa, U. World Population Prospects 2019: Highlights; United Nations Department for Economic and Social Affairs: New York, NY, USA, 2019; Volume 11, p. 125. [Google Scholar]
- Özgen, M.; Birsin, M.A.; Benlioglu, B. Biotechnological characterization of a diverse set of wheat progenitors (Aegilops sp. and Triticum sp.) using callus culture parameters. Plant Genet. Res. 2017, 15, 45–50. [Google Scholar] [CrossRef]
- Ahmad, A.; Aslam, Z.; Javed, T.; Hussain, S.; Raza, A.; Shabbir, R.; Mora-Poblete, F.; Saeed, T.; Zulfiqar, F.; Ali, M.M. Screening of wheat (Triticum aestivum L.) genotypes for drought tolerance through agronomic and physiological response. Agronomy 2022, 12, 287. [Google Scholar] [CrossRef]
- Rai, R.; Agrawal, M.; Agrawal, S. Threat to food security under current levels of ground level ozone: A case study for Indian cultivars of rice. Atmos. Environ. 2010, 44, 4272–4282. [Google Scholar] [CrossRef]
- Gopal, J.; Iwama, K. In vitro screening of potato against water-stress mediated through sorbitol and polyethylene glycol. Plant Cell Rep. 2007, 26, 693–700. [Google Scholar] [CrossRef] [PubMed]
- Verslues, P.E.; Agarwal, M.; Katiyar-Agarwal, S.; Zhu, J.; Zhu, J.K. Methods and concepts in quantifying resistance to drought, salt and freezing, abiotic stresses that affect plant water status. Plant J. 2006, 45, 523–539. [Google Scholar] [CrossRef] [PubMed]
- Mustamu, N.E.; Tampubolon, K.; Basyuni, M.; Al-Taey, D.K.; Janabi, H.J.K.A.; Mehdizadeh, M. Drought stress induced by polyethylene glycol (PEG) in local maize at the early seedling stage. Heliyon 2023, 9, e20209. [Google Scholar] [CrossRef] [PubMed]
- Caruso, A.; Chefdor, F.; Carpin, S.; Depierreux, C.; Delmotte, F.M.; Kahlem, G.; Morabito, D. Physiological characterization and identification of genes differentially expressed in response to drought induced by PEG 6000 in Populus canadensis leaves. J. Plant Physiol. 2008, 165, 932–941. [Google Scholar] [CrossRef]
- Türkoğlu, A.; Bolouri, P.; Haliloğlu, K.; Eren, B.; Demirel, F.; Işık, M.I.; Piekutowska, M.; Wojciechowski, T.; Niedbała, G. Modeling callus induction and regeneration in hypocotyl explant of fodder pea (Pisum sativum var. arvense L.) using machine learning algorithm method. Agronomy 2023, 13, 2835. [Google Scholar] [CrossRef]
- Demirel, F.; Eren, B.; Yilmaz, A.; Türkoğlu, A.; Haliloğlu, K.; Niedbała, G.; Bujak, H.; Jamshidi, B.; Pour-Aboughadareh, A.; Bocianowski, J. Prediction of grain yield in wheat by CHAID and MARS algorithms analyses. Agronomy 2023, 13, 1438. [Google Scholar] [CrossRef]
- Niazian, M.; Niedbała, G. Machine learning for plant breeding and biotechnology. Agriculture 2020, 10, 436. [Google Scholar] [CrossRef]
- Wahab, A.; Abdi, G.; Saleem, M.H.; Ali, B.; Ullah, S.; Shah, W.; Mumtaz, S.; Yasin, G.; Muresan, C.C.; Marc, R.A. Plants’ physio-biochemical and phyto-hormonal responses to alleviate the adverse effects of drought stress: A comprehensive review. Plants 2022, 11, 1620. [Google Scholar] [CrossRef]
- Kırnak, H.; Uzun, S.; Irik, H.A.; Özaktan, H.; Arslan, M. Water–yield relations of drip-irrigated peas under semi-arid climate condition. Int. J. Agric. Nat. Sci. 2021, 14, 85–95. [Google Scholar]
- Sivakumar, J.; Prashanth, J.E.P.; Rajesh, N.; Reddy, S.M.; Pinjari, O.B. Principal component analysis approach for comprehensive screening of salt stress-tolerant tomato germplasm at the seedling stage. J. Biosci. 2020, 45, 141. [Google Scholar] [CrossRef]
- Özaktan, H. Technological characteristics of chickpea (Cicer arietinum L.) cultivars grown under natural conditions. Turkish J. Field Crops 2021, 26, 235–243. [Google Scholar] [CrossRef]
- Demirel, F.; Uğur, R.; Popescu, G.C.; Demirel, S.; Popescu, M. Usage of Machine learning algorithms for establishing an effective protocol for the in vitro micropropagation ability of black chokeberry (Aronia melanocarpa (Michx.) Elliott). Horticulturae 2023, 9, 1112. [Google Scholar] [CrossRef]
- Eren, B.; Türkoğlu, A.; Haliloğlu, K.; Demirel, F.; Nowosad, K.; Özkan, G.; Niedbała, G.; Pour-Aboughadareh, A.; Bujak, H.; Bocianowski, J. Investigation of the influence of polyamines on mature embryo culture and DNA methylation of wheat (Triticum aestivum L.) using the machine learning algorithm method. Plants 2023, 12, 3261. [Google Scholar] [CrossRef] [PubMed]
- Michel, B.E.; Kaufmann, M.R. The osmotic potential of polyethylene glycol 6000. Plant Physiol. 1973, 51, 914–916. [Google Scholar] [CrossRef] [PubMed]
- El-Rawy, M.A.; Hassan, M.I. A diallel analysis of drought tolerance indices at seedling stage in bread wheat (Triticum aestivum L.). Plant Breed. Biotechnol. 2014, 2, 276–288. [Google Scholar] [CrossRef]
- ISTA. International Rules for Seed Testing. Intentional Seed Testing Association; ISTA: Bassersdorf, Switzerland, 2013. [Google Scholar]
- Haliloğlu, K.; Türkoğlu, A.; Aydin, M. Determination of imazamox herbicide dose in in vivo selection in wheat (Triticum aestivum L.). Eregli J. Agric. Sci. 2022, 2, 1–11. [Google Scholar]
- Türkoğlu, A.; Tosun, M.; Haliloğlu, K.; Karagöz, H. Effects of early drought stress on germination and seedling growth parameters of Kırik bread wheat (Triticum aestivum L.). Eregli J. Agric. Sci. 2022, 2, 75–80. [Google Scholar] [CrossRef]
- Fernandez, G.C. Stress tolerance index-a new indicator of tolerance. HortScience 1992, 27, 626d. [Google Scholar] [CrossRef]
- Clarke, J.M.; DePauw, R.M.; Townley-Smith, T.F. Evaluation of methods for quantification of drought tolerance in wheat. Crop Sci. 1992, 32, 723–728. [Google Scholar] [CrossRef]
- Guttieri, M.J.; Stark, J.C.; O’Brien, K.; Souza, E. Relative sensitivity of spring wheat grain yield and quality parameters to moisture deficit. Crop Sci. 2001, 41, 327–335. [Google Scholar] [CrossRef]
- Fernandez, G.C. Effective selection criteria for assessing plant stress tolerance. In Proceedings of the International Symposium on Adaptation of Vegetables and Other Food Crops in Temperature and Water Stress, Shanhua, Taiwan, 13–16 August 1992; pp. 257–270. [Google Scholar]
- Yuan, Y. Multiple imputation using SAS software. J. Stat. Softw. 2011, 45, 1–25. [Google Scholar] [CrossRef]
- Noble, W.S. What is a support vector machine? Nat. Biotechnol. 2006, 24, 1565–1567. [Google Scholar] [CrossRef]
- Chen, T.; Guestrin, C. Xgboost: A scalable tree boosting system. In Proceedings of the 22nd ACM Sigkdd International Conference on Knowledge Discovery and Data Mining, San Francisco, CA, USA, 13–17 August 2016; pp. 785–794. [Google Scholar]
- John, M.; Haselbeck, F.; Dass, R.; Malisi, C.; Ricca, P.; Dreischer, C.; Schultheiss, S.J.; Grimm, D.G. A comparison of classical and machine learning-based phenotype prediction methods on simulated data and three plant species. Front. Plant Sci. 2022, 13, 932512. [Google Scholar] [CrossRef] [PubMed]
- Rasmussen, C.E. Gaussian processes in machine learning. In Summer School on Machine Learning; Springer: Cambridge, MA, USA, 2003; pp. 63–71. [Google Scholar]
- Camacho-Pérez, E.; Lugo-Quintal, J.M.; Tirink, C.; Aguilar-Quiñonez, J.A.; Gastelum-Delgado, M.A.; Lee-Rangel, H.A.; Roque-Jiménez, J.A.; Garcia-Herrera, R.A.; Chay-Canul, A.J. Predicting carcass tissue composition in Blackbelly sheep using ultrasound measurements and machine learning methods. Trop. Anim. Health Prod. 2023, 55, 300. [Google Scholar] [CrossRef] [PubMed]
- Sayar, R.; Bchini, H.; Mosbahi, M.; Ezzine, M. Effects of salt and drought stresses on germination, emergence and seedling growth of durum wheat (Triticum durum Desf.). J. Agric. Res. 2010, 5, 2008–2016. [Google Scholar]
- Aslan, D.; Aktaş, H.; Ordu, B.; Zencirci, N. Evaluation of bread and einkorn wheat under in vitro drought stress. J. Anim. Plant Sci. 2017, 27, 1974–1983. [Google Scholar]
- Badr, A.; El-Shazly, H.H.; Tarawneh, R.A.; Börner, A. Screening for drought tolerance in maize (Zea mays L.) germplasm using germination and seedling traits under simulated drought conditions. Plants 2020, 9, 565. [Google Scholar] [CrossRef] [PubMed]
- Datta, J.; Mondal, T.; Banerjee, A.; Mondal, N. Assessment of drought tolerance of selected wheat cultivars under laboratory condition. J. Agric. Technol. 2011, 7, 383–393. [Google Scholar]
- Benlioglu, B.; Ozkan, U. The influence of salinity and drought stress on some oat cultivars (Avena sativa L.) by determining some stress indexes and growth performances at the germination stage. Fresenius Environ. Bull. 2021, 31, 771–778. [Google Scholar]
- Yang, X.; Lu, M.; Wang, Y.; Wang, Y.; Liu, Z.; Chen, S. Response mechanism of plants to drought stress. Horticulturae 2021, 7, 50. [Google Scholar] [CrossRef]
- Khaeim, H.; Kende, Z.; Jolánkai, M.; Kovács, G.P.; Gyuricza, C.; Tarnawa, Á. Impact of temperature and water on seed germination and seedling growth of maize (Zea mays L.). Agronomy 2022, 12, 397. [Google Scholar] [CrossRef]
- Benlioğlu, B. Determination of responses of some barley cultivars (Hordeum vulgare L.) to salt stress in different doses at the germination period. J. Cent. Res. Inst. Field Crops 2015, 24, 109–114. [Google Scholar]
- Wang, J.Y.; Turner, N.C.; Liu, Y.X.; Siddique, K.H.; Xiong, Y.C. Effects of drought stress on morphological, physiological and biochemical characteristics of wheat species differing in ploidy level. Funct. Plant Biol. 2016, 44, 219–234. [Google Scholar] [CrossRef]
- Zencirci, N.; Ulukan, H.; Bülent, O.; Aslan, D.; Mutlu, H.T.; Örgeç, M. Salt, cold, and drought stress on einkorn and bread wheat during germination. Int. J. Second. Metab. 2019, 6, 113–128. [Google Scholar] [CrossRef]
- Ozaktan, H.; Doymaz, A. Mineral composition and technological and morphological performance of beans as influenced by organic seaweed-extracted fertilizers applied in different growth stages. J. Food Compos. Anal. 2022, 114, 104741. [Google Scholar] [CrossRef]
- Wang, J.Y.; Xiong, Y.C.; Li, F.M.; Siddique, K.H.; Turner, N.C. Effects of drought stress on morphophysiological traits, biochemical characteristics, yield, and yield components in different ploidy wheat: A meta-analysis. Adv. Agron. 2017, 143, 139–173. [Google Scholar]
- Aasim, M.; Katırcı, R.; Akgur, O.; Yildirim, B.; Mustafa, Z.; Nadeem, M.A.; Baloch, F.S.; Karakoy, T.; Yılmaz, G. Machine learning (ML) algorithms and artificial neural network for optimizing in vitro germination and growth indices of industrial hemp (Cannabis sativa L.). Ind. Crops Prod. 2022, 181, 114801. [Google Scholar] [CrossRef]
- Jafari, M.; Daneshvar, M.H.; Jafari, S.; Hesami, M. Machine learning-assisted in vitro rooting optimization in Passiflora caerulea. Forests 2022, 13, 2020. [Google Scholar] [CrossRef]
- Kirtis, A.; Aasim, M.; Katırcı, R. Application of artificial neural network and machine learning algorithms for modeling the in vitro regeneration of chickpea (Cicer arietinum L.). Plant Cell Tissue Organ Cult. 2022, 150, 141–152. [Google Scholar] [CrossRef]
- Pepe, M.; Hesami, M.; Small, F.; Jones, A.M.P. Comparative analysis of machine learning and evolutionary optimization algorithms for precision micropropagation of Cannabis sativa: Prediction and validation of in vitro shoot growth and development based on the optimization of light and carbohydrate sources. Front. Plant Sci. 2021, 12, 757869. [Google Scholar]






| Genotype | Type | Registration Year | Growth Habit | Breeding Company |
|---|---|---|---|---|
| Altın-40/98 | Cultivar | 1998 | Alternative | Field Crops Central Research Institute, Ankara, Türkiye |
| Artuklu | Cultivar | 2008 | Spring | GAP International Agricultural Research and Training Center, Diyarbakir, Türkiye |
| Çakmak-79 | Cultivar | 1979 | Alternative | Field Crops Central Research Institute, Ankara, Türkiye |
| Çeşit-1252 | Cultivar | 1999 | Alternative | Field Crops Central Research Institute, Ankara, Türkiye |
| Eminbey | Cultivar | 2009 | Winter | Field Crops Central Research Institute, Ankara, Türkiye |
| Kızıltan-91 | Cultivar | 1991 | Alternative | Field Crops Central Research Institute, Ankara, Türkiye |
| Kunduru-1149 | Cultivar | 1967 | Winter | Field Crops Central Research Institute, Ankara, Türkiye |
| Meram-2002 | Cultivar | 2002 | Alternative | Bahri Dagdas International Agricultural Research Institute, Konya, Türkiye |
| Mirzabey-2000 | Cultivar | 2000 | Alternative | Field Crops Central Research Institute, Ankara, Türkiye |
| Sarıçanak 98 | Cultivar | 1998 | Spring | GAP International Agricultural Research and Training Center, Diyarbakir, Türkiye |
| Selçuklu-97 | Cultivar | 1997 | Alternative | Bahri Dagdas International Agricultural Research Institute, Konya, Türkiye |
| T. dicoccum (Emmer) | Landrace | - | Alternative | Collected from Kars Province, Türkiye |
| Variation Source | df | Mean Square | ||||||
|---|---|---|---|---|---|---|---|---|
| GS | GP | RL | SL | FW | DW | WAC | ||
| Genotype (G) | 11 | 184.833 ** | 97.391 ** | 17.668 ** | 10.879 ** | 0.290 ** | 0.047 ** | 242.055 ** |
| Stress level (S) | 4 | 2981.008 ** | 642.359 ** | 628.871 ** | 522.911 ** | 5.938 ** | 0.057 ** | 9299.92 ** |
| G × S | 44 | 35.308 ** | 16.267 ns | 2.936 ** | 6.641 ** | 0.053 ** | 0.005 ** | 72.837 ** |
| Observed Variable | ML Criterion | SVM | XGBoost | ELNET | GPC | ||||
|---|---|---|---|---|---|---|---|---|---|
| Train | Test | Train | Test | Train | Test | Train | Test | ||
| GS 1 | R2 | 0.801 | 0.600 | 0.890 | 0.730 | 0.796 | 0.762 | 0.871 | 0.715 |
| MSE | 4.406 | 6.320 | 3.280 | 5.190 | 4.455 | 4.873 | 3.540 | 5.339 | |
| MAD | 3.389 | 4.831 | 2.591 | 3.861 | 3.608 | 3.755 | 2.990 | 4.266 | |
| GP | R2 | 0.655 | 0.310 | 0.789 | 0.352 | 0.621 | 0.514 | 0.758 | 0.349 |
| MSE | 2.934 | 5.894 | 2.291 | 5.713 | 3.074 | 4.946 | 2.455 | 5.725 | |
| MAD | 1.794 | 4.264 | 1.426 | 3.915 | 2.267 | 3.581 | 1.730 | 4.092 | |
| RL | R2 | 0.866 | 0.736 | 0.992 | 0.980 | 0.944 | 0.949 | 0.987 | 0.981 |
| MSE | 1.454 | 2.072 | 0.355 | 0.571 | 0.936 | 0.915 | 0.449 | 0.552 | |
| MAD | 0.802 | 1.217 | 0.245 | 0.409 | 0.706 | 0.705 | 0.329 | 0.407 | |
| SL | R2 | 0.779 | 0.673 | 0.995 | 0.962 | 0.887 | 0.852 | 0.990 | 0.942 |
| MSE | 1.723 | 2.244 | 0.263 | 0.761 | 1.234 | 1.512 | 0.368 | 0.944 | |
| MAD | 0.758 | 1.147 | 0.157 | 0.457 | 0.794 | 0.912 | 0.230 | 0.501 | |
| FW | R2 | 0.903 | 0.759 | 0.980 | 0.962 | 0.915 | 0.892 | 0.974 | 0.945 |
| MSE | 0.128 | 0.193 | 0.058 | 0.077 | 0.120 | 0.129 | 0.066 | 0.092 | |
| MAD | 0.080 | 0.125 | 0.039 | 0.056 | 0.093 | 0.106 | 0.047 | 0.070 | |
| DW | R2 | 0.901 | 0.807 | 0.974 | 0.944 | 0.733 | 0.793 | 0.935 | 0.886 |
| MSE | 0.023 | 0.033 | 0.012 | 0.018 | 0.038 | 0.034 | 0.019 | 0.025 | |
| MAD | 0.015 | 0.022 | 0.008 | 0.014 | 0.029 | 0.028 | 0.014 | 0.020 | |
| WAC | R2 | 0.924 | 0.830 | 0.993 | 0.891 | 0.949 | 0.902 | 0.989 | 0.880 |
| MSE | 4.309 | 6.750 | 1.259 | 5.419 | 3.505 | 5.140 | 1.657 | 5.684 | |
| MAD | 2.903 | 4.738 | 0.795 | 3.914 | 2.844 | 2.492 | 1.238 | 3.235 | |
Disclaimer/Publisher’s Note: The statements, opinions and data contained in all publications are solely those of the individual author(s) and contributor(s) and not of MDPI and/or the editor(s). MDPI and/or the editor(s) disclaim responsibility for any injury to people or property resulting from any ideas, methods, instructions or products referred to in the content. |
© 2024 by the authors. Licensee MDPI, Basel, Switzerland. This article is an open access article distributed under the terms and conditions of the Creative Commons Attribution (CC BY) license (https://creativecommons.org/licenses/by/4.0/).
Share and Cite
Benlioğlu, B.; Demirel, F.; Türkoğlu, A.; Haliloğlu, K.; Özaktan, H.; Kujawa, S.; Piekutowska, M.; Wojciechowski, T.; Niedbała, G. Insights into Drought Tolerance of Tetraploid Wheat Genotypes in the Germination Stage Using Machine Learning Algorithms. Agriculture 2024, 14, 206. https://doi.org/10.3390/agriculture14020206
Benlioğlu B, Demirel F, Türkoğlu A, Haliloğlu K, Özaktan H, Kujawa S, Piekutowska M, Wojciechowski T, Niedbała G. Insights into Drought Tolerance of Tetraploid Wheat Genotypes in the Germination Stage Using Machine Learning Algorithms. Agriculture. 2024; 14(2):206. https://doi.org/10.3390/agriculture14020206
Chicago/Turabian StyleBenlioğlu, Berk, Fatih Demirel, Aras Türkoğlu, Kamil Haliloğlu, Hamdi Özaktan, Sebastian Kujawa, Magdalena Piekutowska, Tomasz Wojciechowski, and Gniewko Niedbała. 2024. "Insights into Drought Tolerance of Tetraploid Wheat Genotypes in the Germination Stage Using Machine Learning Algorithms" Agriculture 14, no. 2: 206. https://doi.org/10.3390/agriculture14020206
APA StyleBenlioğlu, B., Demirel, F., Türkoğlu, A., Haliloğlu, K., Özaktan, H., Kujawa, S., Piekutowska, M., Wojciechowski, T., & Niedbała, G. (2024). Insights into Drought Tolerance of Tetraploid Wheat Genotypes in the Germination Stage Using Machine Learning Algorithms. Agriculture, 14(2), 206. https://doi.org/10.3390/agriculture14020206

