Abstract
The advancement of agricultural mechanization necessitates precise and standardized classification based on technical characteristics to enhance green, efficient, and high-quality development. The current lack of scientific and standardized definitions and classifications for various types of agricultural machinery has become a bottleneck, complicating the machine selection and affecting the compatibility of the machinery with optimized field operations. To address this complexity, we propose a comprehensive classification method that integrates principal component analysis (PCA), cluster analysis, and the qualitative analysis of the functional components for defining and scientifically classifying harvesters. The key functional and technical properties of harvesters were analyzed, and eight primary parameters (machine weight, cutting width, feed rate, rated power, overall machine length, width, height, and working efficiency) were selected, supplemented by nine key functional components (walking mechanism, cutting device, threshing device, separating device, cleaning device, grain collecting device, grain unloading device, cabin, and track size). In the first step, principal component analysis was performed to reduce the dimensionality of the parameters, yielding three principal components with contribution rates of 41.610%, 28.579%, and 15.134%, respectively. One primary parameter from each component was selected for further analysis. In the second stage, Q-type cluster analysis classified the harvesters based on the squared Euclidean distance between the operational parameters, resulting in three classes of harvesters. Finally, functional component analysis provided detailed insights, further refining the classification into four major categories: mini, small, medium, and large harvesters. The results of this work provide a scientific basis for the definition and classification of the harvester products available on the market. This method offers a robust framework for the rational selection and planning of agricultural machinery, promoting sustainable mechanization with a focus on technical parameters and functional attributes.
1. Introduction
The research on the stages of agricultural mechanization development based on a multi-level index evaluation system has established a theoretical foundation for agricultural mechanization with Chinese characteristics [1]. The related conclusions have been widely referenced and applied to many new topics of agricultural mechanization development, such as the impact of terrain conditions, plot characteristics, and fragmentation on mechanization efficiency [2,3,4], in addition to the regional patterns of agricultural mechanization levels, the scale economy of agricultural machinery plots [5,6,7], the relationship between mechanization levels and multiple cropping levels, industrial upgrading, carbon emissions [8,9], as well as the green and sustainable high-quality development of agricultural mechanization [10,11,12,13].
However, with the rapid development of complete mechanization in crop production, the mechanization rates of ploughing, planting, and harvesting in various regions tend to reach 100%, making it difficult for the existing assessment indicators and evaluation methods based on the mechanization rate of production links to further differentiate the quality benefits and green ecological differences of different mechanized production systems. Especially in the current era with the focus being on agricultural mechanization research in terms of green sustainability, efficient ecology, environmental energy, and resource efficiency, there is an urgent need for more scientific quantitative means to define the attributes of agricultural mechanization accurately.
Based on this understanding, relevant scholars have begun to explore methods for distinguishing the mechanized attributes of various production links based on the technical characteristics of agricultural machinery. For instance, Qiao et al. addressed the diverse conditions of land operation scales and, combining field measurements with model analysis, explored the operational adaptability of eight different power levels of harvesters within plots [14]. They discovered that the suitable plot length and area for low-, medium-, and high-power harvesters are 400, 600, 800 m and 3, 5, and 7 hectares. The optimal match of agricultural machinery products with economic, geographic, crop, and plot conditions is a crucial factor in advancing green and efficient mechanization and ecological energy saving.
The quality and level of agricultural mechanization also play a crucial role in enhancing agricultural energy efficiency [15,16]. However, traditional evaluation indicators such as the total power of agricultural machinery have a negative guiding effect in the context of the new era. Therefore, it is appropriate to accelerate the transformation of the agricultural mechanization development methods, transitioning from ownership evaluation indicators to quality improvement evaluation indicators to lead the way to the sustainable development of mechanization [17]. Nevertheless, the current need for more scientific and standardized definitions and classifications for various types of agricultural machinery has become a theoretical bottleneck restricting mechanization’s green and efficient development.
China’s harvester product market is enormous, with a variety of types supplying more than 122 standardized models, covering 840 districts and counties across 28 provinces and cities [18,19,20]. However, the harvester product models are disorganized, and farmers’ machinery selection is influenced by many factors, such as plot conditions and family economic status [14]. At the same time, selecting agricultural machinery products based on the heterogeneity of the regional natural elements is a critical way to improve efficiency, save resources, reduce costs, and achieve green and efficient mechanization [21,22]. The reasonable selection of agricultural machinery products is vital to accommodate the needs of different regions, large farms, and smallholders while avoiding resource waste [23]. However, the complexity of this issue lies in the fact that the elements to consider for agricultural mechanization involve various aspects, and the barriers of technical, economic, and social evaluation standards are difficult to overcome, making rational choice and decision-making nearly impossible.
Focusing solely on the mechanized harvesting link and considering the coordination between various factors to provide the best decision is a highly challenging issue [22,24,25]. The optimal selection of harvesters first requires a scientific classification of the harvester products, yet the classification and definition of harvesters have always required uniform technical standards. Previous studies on the categorization of harvester products exist, but the classification principles and technical standards set by scholars tend to be arbitrary. For example, harvesters can be classified into heeled, tracked, and backpack types based on their mode of travel, or small, medium, and large based on the power indicator, or full-feed, half-feed, and pre-cutting and threshing types according to the feeding methods. Further, Li et al. defined small harvesters as those with power not exceeding 12 kW, a weight under 650 kg, a cutting width not more than 1.2 m, and capable of cutting, conveying, threshing, sorting, and bagging in one operation [26]. Xia et al. described small harvesters as self-propelled full-feed harvesters with a matching power of 5–10 kW, feeding volume of 0.3–1.0 kg/s, and capable of completing grain harvesting, threshing, and simple cleaning in one operation [27]. It is clear that each classification method has its basis, but the results are difficult to unify.
The existing classification methods for harvester products utilize two technical approaches: one is based on the characteristics of functional components to categorize harvesters [9] and the other is based on the technical parameters of the harvester, often selecting indicators such as power, weight, and cutting width. However, regardless of the classification method, there is a certain level of subjectivity, and the definitions of technical standards need to be clarified, leading to difficulties in scientific selection, low efficiency of the agricultural machinery resources, and severe waste [28]. Given that harvesters’ products require the expression of multidimensional indicators, a single indicator can involve numerous product models with overlapping parameters, coupled with the hierarchical nature and significant differences among various functional features. Using a single classification standard or method to address the classification of harvesters scientifically is challenging, resulting in existing product classification results that are unconvincing.
Therefore, considering that principal component analysis can achieve the purpose of dimensionality reduction for high-dimensional indicator sets by identifying harvesters’ technical parameters with strong representativeness based on the correlation between indicators, this meets the needs of the multidimensional indicator dimensionality reduction analysis for harvester products, thus simplifying the technical parameter set of the harvester products. Secondly, cluster analysis is advantageous in complex systems for making reasonable indicator combinations based on the degree of convergence or similarity between indicators, performing cluster analysis on the dimensionality-reduced indicators obtained from principal component analysis to achieve product classification. Lastly, functional components can further supplement the definition and classification of harvester products. Hence, this paper plans to explore the classification method of harvester products through three progressive stages: the simplification of the technical indicators, the quantification of the relationships between indicators, and, finally, the qualitative analysis of the functional component technical characteristics.
2. Materials and Methods
2.1. Date Source
Collected information on harvester products supplied domestically, involving more than 50 common brands, such as Kubota, John Deere, Lovol Arbos, Reve Ceres, and Yanmar, as presented in Table 1. Information on technical parameters for the harvester products used is shown in Table 2.
Table 1.
Some harvester brands and their respective manufacturers.
Table 2.
Technical parameters of harvester products.
2.2. Principal Component Analysis
Principal component analysis (PCA) is a statistical technique that explores correlations among multiple variables and reduces dimensionality. This is achieved by transforming interrelated indicators—such as rated power, cutting width, and operational efficiency—into a few unrelated composite indicators. This study applied PCA to a selected set of technical parameters, including rated power, overall machine weight, and external dimensions (length, width, height), among others, totaling eight key metrics. These parameters were optimized to retain only those most common across all harvester categories, thus ensuring a representative set for analysis. The transformation through PCA resulted in several principal components that collectively accounted for over 85% of the variance, providing a solid basis for subsequent cluster analysis.
2.3. Q-Type Cluster Analysis
Q-type cluster analysis groups similar objects to maximize intra-group similarities based on multiple variables. This method classifies harvester samples using indicators derived from PCA. The process involves treating each sample as a point in a multidimensional space defined by the technical parameters, with the distance between any two points measured by squared Euclidean distance. This distance is calculated using Equation (1) as described by Trcolea et al. [29].
where is the number of index parameters for each model of harvester, is the observed value of the k-th index for the i-th type of harvester, and represents the observed value of the k-th index for the j-th type of harvester. is the squared Euclidean distance between the harvester i-th and j-th types.
Samples with identical properties can be classified into one category at a certain level of measurement. The cluster analysis process generally involves the following steps:
The sample indices or parameter values are standardized before performing cluster analysis. This article employs Z-score standardization as outlined by Trcolea et al. [29], which is calculated using the following formula:
In this formula, represents the standardized value, is the original data for various parameters of the harvester, denotes the mean value of the parameter, and is the standard deviation of the parameter. After this transformation, each parameter’s mean becomes zero, and its variance equals one, making the harvester parameters comparable. The standardized data are presented in Table 3. Before conducting cluster analysis, each sample is initially treated as its own category. The distance between each sample is then calculated using the formula mentioned earlier, and the two samples with the closest distances are merged into one category. Depending on the specific requirements of the cluster analysis, an appropriate algorithm is selected to calculate the distance between clusters. Subsequently, the two closest clusters are merged repeatedly until all samples are classified into a single category. Finally, a dendrogram is drawn to provide an intuitive and quantitative description of the clusters obtained from the cluster analysis.
Table 3.
Some standardization results of harvester parameters.
2.4. Analysis of Functional Component Technical Characteristics
The analysis of technical characteristics based on functional components offers a qualitative supplement to the quantitative methods described above. The concept of functional components, integral to modern industrial design and widely applied in software engineering, involves modular elements that define a product’s functionality. This approach has recently been extended to agricultural engineering, including the dynamic evaluation of ecological environments, as Chai et al. demonstrated [30]. In this study, the diversity of functional components across different harvester types provides a framework for further classification and definition.
2.5. Data Processing
Data analysis was conducted using SPSS 23.0. The dataset was first standardized to address variability in scale among the technical parameters. Principal component analysis identified key indicators with significant contribution rates, which were then used in Q-type cluster analysis. The study utilized the inter-group linkage method, employing squared Euclidean distance to establish a dendrogram that illustrates the classification of harvester products.
3. Results
3.1. Principal Component Analysis of Technical Parameters of Harvester Products
The principal component analysis (PCA) of the technical parameters of harvester products began with validating the data suitability for factor analysis. Bartlett’s test of sphericity and the Kaiser–Meyer–Olkin (KMO) test were conducted, yielding a KMO value of 0.908 (p < 0.05). These results confirm the appropriateness of the data for PCA as the high KMO value suggests substantial correlations among the variables, and the significance in Bartlett’s test rejects the hypothesis of independence among the variables. The analysis identified three main components that encapsulate the variance of the technical parameters, explaining a total of 85.323% of the variance among the original variables. This significant level of explained variance indicates that these components effectively capture the essential information of the dataset, enabling a reduced yet comprehensive representation of the data.
The first principal component shows the contribution rate achieved (41.610%). It was further observed that the most influential parameters were rated power (0.134), overall machine weight (0.133), length (0.133), and cutting width (0.133). This component primarily reflects the harvesters’ physical dimensions and power-related attributes, suggesting that size and power are predominant factors that differentiate harvester models. However, the rated power (1.771) and operational efficiency (−0.827) led to a contribution rate (28.579%) in the second principal component. This highlights the efficiency characteristics, pointing to how power impacts the operational efficiency of harvesters. The negative coefficient for operational efficiency suggests an inverse relationship with another variable within this component, possibly indicating trade-offs between power and efficiency.
The third principal component observed a contribution rate (15.134%) with the influential parameters achieved including the length (−0.777), height (−1.269), operational efficiency (1.037), and feeding capacity (0.996). This indicates the harvester’s field operational performance, including how well it can maneuver and operate in different conditions. The mix of positive and negative signs in the coefficients illustrates the complex interplay between the harvester’s size and its operational capabilities. The use of varimax orthogonal rotation in the analysis facilitated a more precise interpretation of these components as it maximizes the variance of the loadings within each component across the variables, leading to more distinct and interpretable results.
Table 3, Table 4 and Table 5 display the loading factors, the variance explained by each component, and the rotated component matrix, respectively. These tables are crucial for understanding each technical parameter’s impact and relationship within the identified components. The PCA results provide a streamlined set of variables that can be used for further analysis, such as cluster analysis, and highlight the key factors that should be considered in the design and development of new harvester models. This analysis thus informs both the manufacturing strategy and the potential marketing approaches for differentiating harvester products in a competitive market.
Table 4.
Principal component eigenvalues and contribution rates of technical parameters of harvester products.
Table 5.
The normalized feature vector of principal component analysis for technical parameters of harvester products.
Based on their size and functional capabilities, mini harvesters are considered compact and maneuverable, ideal for economically underdeveloped hilly areas. This type of harvester typically features low weight and narrow cutting widths, as outlined in the agricultural machine studies that emphasize the importance of adaptability in rugged terrains [31]. These characteristics make micro harvesters optimal for small-scale farming operations where cost and accessibility are significant constraints. For small harvesters, the progression in operational efficiency and adaptability to diverse agricultural settings are evident. The intermediate weight and power facilitate better performance in varied landscapes, from mountainous regions to flat plateaus. This versatility is akin to the findings by Liao et al. [23] and Dhillon and Moncur [32], where the adaptability of agricultural machinery is emphasized through spatial analysis techniques.
Medium and large harvesters, with their substantial weight and power, cater to expansive and flat agricultural plains, offering high productivity and efficiency. This categorization is supported by the work on large-scale agricultural machines, which discusses integrating high-capacity systems tailored for intensive farming operations. The robust builds and advanced features of these harvesters meet the demands of large-scale agricultural production, providing efficiencies that drive modern agribusiness.
3.2. Q-Type Cluster Analysis of Harvester Technical Parameters
Based on the principal component analysis (PCA) of eight technical parameters of the harvester, rated power, operational efficiency, and height have been identified as significant reference indicators. These three parameters were chosen as the critical indices for cluster analysis, employing the Q-type clustering method to classify different models of harvesters. This methodological choice is supported by Trcolea et al. [29], who demonstrated the efficacy of PCA in reducing the dimensionality of attributes in agricultural equipment, simplifying the complexity inherent in multi-parameter systems. This approach enables a more focused analysis that enhances data interpretability (Figure 1).
Figure 1.
Cluster analysis spectrum diagram.
From the obtained clustering dendrogram (Figure 1), at the binding line L1 (D = 15), the models are divided into two major categories: the first category includes harvesters with a rated power greater than 90 kW, such as Super Sharp Dragon 4LZ-8.0L, Wuzheng GA70, and Starlight 4LZ-6.5ZJ. The second category consists of those with rated power less than 90 kW, such as Qin Machine 4LZ-0.6, Danxia 4L-0.8B, Donghua 4LZ-4.2Z, Bilang 4LZ-2.5, Longzhou 4LZ-2.3, etc. The classification reflects a precise segmentation based on power capacity, aligning with the findings from Trcolea [33], who utilized PCA alongside support vector machines to effectively classify agricultural equipment, demonstrating that such a combination can robustly differentiate the equipment levels based on multiple parameters [29].
Further divisions at the binding lines L2 (D = 10) and L3 (D = 5) illustrate PCA’s nuanced classification, categorizing the harvesters into more refined groups based on their operational efficiency and other functional specifications. This detailed grouping aids in the practical application and decision-making processes for end-users and manufacturers by clearly delineating which models are suited for specific agricultural tasks and conditions. The cluster analysis still reveals that some harvester models, such as Donghua 4LZ-4.2Z and Longzhou 4LZ-2.3, have relatively close squared Euclidean distances between the operational parameters. However, the actual products reflect significant differences in the harvester components. This indicates that the quantitative classification results derived from principal component and cluster analysis still require further refinement.
3.3. Analysis of Functional Components of Harvester Product Classification
Based on the classification approach of the aforementioned functional components, the first step is to establish a system for describing the attributes of the functional components (Table 6).
Table 6.
Technical characteristics of harvester functional components of classification system.
In the cluster analysis, the first cluster comprises harvesters categorized under the first type. These harvesters have essential components, such as cutting, walking, threshing, separation and cleaning, and grain unloading devices. They feature horizontal and vertical cutting tables and a conveyance system directing material into the threshing unit. They support full and partial feeding methods, facilitating straightforward seed separation and cleaning post-threshing. Typically, these machines utilize a tracked or semi-tracked chassis, making them ideal for wet paddy fields. Commonly, they are outfitted with a primary grain unloading mechanism and a simple driver’s seat, defining them as mini-combine harvesters.
The second cluster differentiates into two types based on the functional components. The first type, a small harvester, includes a comprehensive set of components: cutting, threshing, separation and cleaning, walking, grain collecting, and unloading devices, along with a cabin. These harvesters operate with horizontal or vertical cutting tables and can perform full and partial feeding for threshing. They generally feature extensive separation and cleaning devices to boost the efficiency and minimize the grain loss. The mobility is facilitated by wheeled, semi-tracked, or tracked walking devices. These machines come with a grain bin and unloading platform, where the grains, once cleaned, are stored temporarily in the bin and bagged upon reaching capacity. Typically, they feature an open cabin with protection against sun and rain, like a sunshade or umbrella.
The second type within this cluster, a medium-sized harvester, mirrors the small type in terms of the functional components but offers enhanced adaptability to different crops, a larger feed intake for threshing, and superior separation and cleaning capabilities. These harvesters are equipped with a large-capacity grain bin and an adjustable unloading cylinder, often featuring a closed cabin to mitigate noise. They may include amenities such as air conditioning and adjustable suspension seats. Additionally, they are fitted with a straw processing device that either chops the straw for field redistribution or uses a straw spreader to distribute it evenly. These medium-sized harvesters also heavily integrate microelectronics and automation technology, showcasing features like color display screens for operational parameters, drum speed, and automatic fault monitoring alarms. The third cluster includes large harvesters, which possess comprehensive functional components like the previous categories but predominantly utilize wheeled walking devices. After reflecting on the operational parameters and functional components analyzed, we further classified these harvesters into four sizes: mini, small, medium, and large, as detailed in Table 7.
Table 7.
Classification results of harvesters.
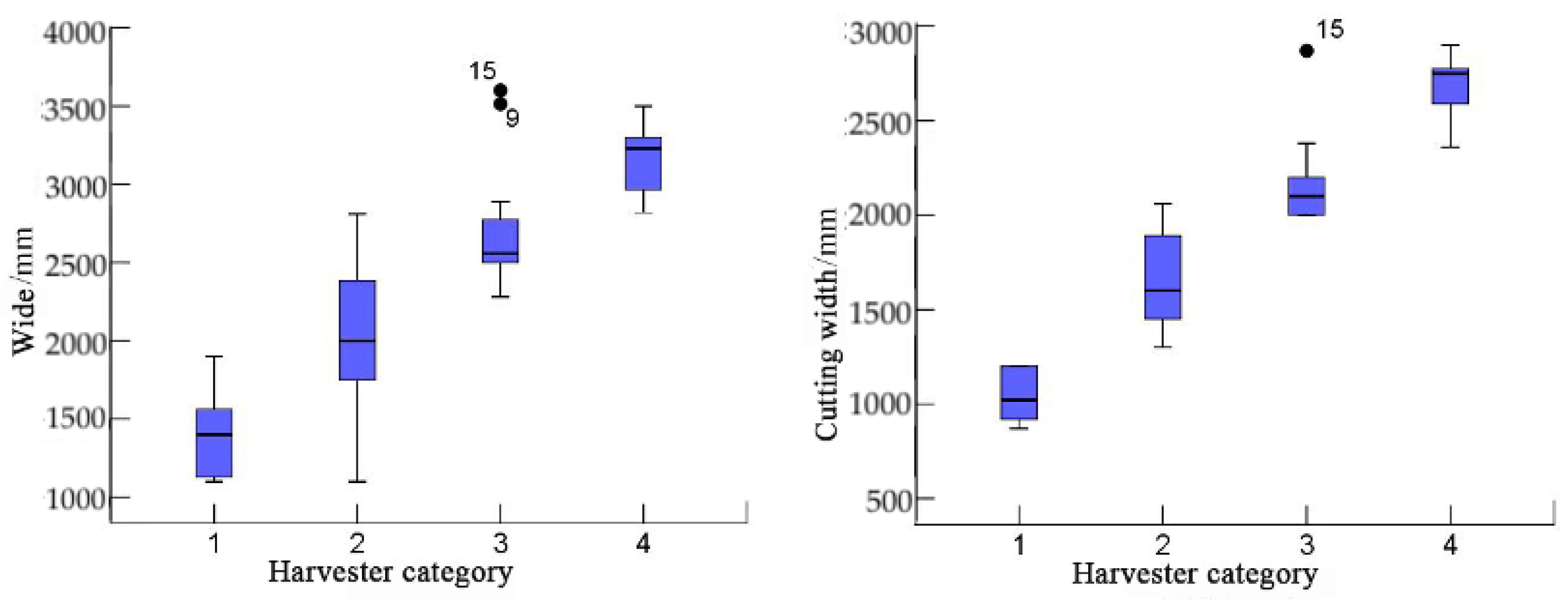
In the boxplot analyses of the technical parameters for the divided harvester types (Figure 2, we observe that the data for the operational parameters sequentially increase from micro to small harvesters, with distinct boundaries evident between the types. Minor overlaps in height between the small and medium harvesters suggest that our classification results are reasonably accurate. This form of visualization helps to underline the inherent differences in the technical specifications across the harvester types, similar to the methodologies in the broader agricultural machinery field.

Figure 2.
Characteristics of parameters of different harvester types.
Width of Harvesters: The first boxplot displays the width of the harvesters in millimeters (mm), showing a similar trend of increasing width with harvester size, although there is some overlap between the small and medium types.
Cutting Width: The second boxplot illustrates that the cutting width, in millimeters (mm), increases with the size of the harvester, reflecting the greater capacity in larger machines.
Length of Harvesters: In the third boxplot, the length of the harvesters, measured in millimeters (mm), increases from the mini to large types, emphasizing the more compact nature of the smaller harvesters.
Height of Harvesters: The fourth boxplot indicates that the height, again in millimeters (mm), generally increases with the size of the harvester, although there are minor overlaps between the small and medium types, suggesting some exceptions.
Overall Machine Weight: The fifth boxplot highlights that the overall machine weight, in kilograms (kg), also grows as the harvester size increases, with mini harvesters being the lightest and large harvesters the heaviest.
Rated Power: The sixth boxplot shows that the rated power, measured in kilowatts (kW), increases with the size of the harvesters, with distinct separations between each category.
Working Efficiency: Finally, the seventh boxplot presents the working efficiency, measured in hectares per hour (hm2/h), showing that larger harvesters cover more area per hour, highlighting their superior operational capabilities.
Overall, these boxplots effectively demonstrate the differences in technical specifications and performance characteristics among the various harvester types, from mini to large.
Boxplots are particularly effective for visualizing distributions and comparing groups, as demonstrated by Hao et al. [33], who utilized a processing workbench to analyze the equipment performance in agricultural settings. This aligns with our approach to visually represent and analyze variations in harvester specifications, supporting the distinct classification based on size and functional capabilities. The classification of harvesters into distinct types based on technical parameters, as observed through boxplot analysis, is thus well-supported by the existing literature, confirming the validity of our methodological approach and enhancing the credibility of our findings.
4. Discussion
Harvester products are assembled from various functional components; thus, different categories of harvesters contain different functional components. A typical harvester product includes a cutting device, walking device, separation and cleaning device, threshing device, grain collecting device, grain unloading device, and a cabin. The technical parameters used in the aforementioned analytical methods differ significantly from the qualitative attributes describing the harvester’s functional components, making these scientific classification methods somewhat unreasonable. Therefore, it is necessary to refine the classification results of the cluster analysis further by supplementing the principal component analysis and cluster analysis with the characteristics of the harvester’s functional components as an auxiliary method to eliminate errors in the cluster analysis results.
As illustrated in Table 1, Table 2 and Table 3, Table 6 and Table 7 and Figure 1 and Figure 2, the results suggest that agricultural mechanization evaluation is influenced by a complex interplay of societal, economic, technological, resource, and environmental factors. This complexity makes it challenging to thoroughly and precisely assess all the dimensions of mechanization. Moreover, studies such as Ağızan et al. [34], Kaya and Örs [35], Lu et al. [36], and Rasooli and Ranjbar [37] point out that traditional evaluation typically focuses on the levels of mechanized operations and developmental stages, reflecting a systemic and macro-oriented perspective. Nevertheless, the aforementioned findings assert that future research should pivot towards the micro-technological quantification of mechanization, particularly from the user perspective of agricultural machinery. This shift is essential for incorporating scientific rigor and practical guidance into the mechanization indicator system, which now increasingly includes ecological and integration indicators aimed at enhancing production, efficiency, quality, and safety, thus embodying the principles of green mechanization in the new era [13,38,39,40]. According to Daum, mechanization in the Global South must balance technological advancements with sustainable practices to transform agri-food systems effectively [41].
In China, where the total agricultural machinery power has reached an astounding 100,372,000 kW, there is a pressing need to address the declining energy efficiency. The advancement of green mechanization requires robust policy support and the scientific and rational selection and use of agricultural machinery [11,38,42]. This is where the proposed scientific classification, as demonstrated in this study, becomes indispensable. The harvesters’ products are classified into micro, small, medium, and large categories using a three-level progressive technical approach. This classification provides a precise quantitative foundation for assessing the interplay among machinery, resources, and economic factors (Table 5, Table 6 and Table 7 and Figure 1 and Figure 2). It serves as a vital reference for aligning the tool parameters, sales prices, application contexts, and geographical–social conditions.
For instance, Zhao et al. [43] delineated four historical phases of mechanization from 1949 to the present, highlighting the dominance of large-scale machinery in the modern era. Nonetheless, our findings recommend a diverse market demand from micro to large harvesters, indicative of a coexistence of small-scale farming and large-scale production within China’s mechanization landscape. This observation aligns with the mixed and diversified development model of mechanization observed in regions such as in northwest China regarding potato production [44,45], supporting the theory that the indivisibility of capital elements often makes large-scale land operations coupled with heavy machinery the most efficient mechanization strategy. However, the persistent reality of small-scale agriculture and its mechanization also demands a rigorous scientific rationale.
The rise of endogenous mechanization service markets and the affordability of small and mini harvesters enable small-scale farmers to acquire and own essential agricultural machinery readily [23,46,47]. This accessibility is crucial, particularly as it complements industry-driven models like agricultural machinery cooperatives. It is imperative to enhance the development and promotion of agricultural machinery that aligns with the green mechanization goals [48,49], especially addressing challenges such as the emphasis on scale over quality. This paper contributes to the technical innovation in classifying agricultural machinery by addressing the complexity of scientifically categorizing harvester products. It involves describing the intricate set of harvester product indicators, the diversity and complexity of harvester samples, and the qualitative attributes of harvester functional components. Our constructed classification method integrates quantitative and qualitative analyses in a scientifically structured step-by-step approach. The derived classification data from the harvester product market are scientific and precise, providing an essential foundation for further research into green and efficient mechanization strategies.
Key Findings:
- Classification Methodology: The study successfully developed a comprehensive classification method for harvesters by integrating principal component analysis (PCA), Q-type cluster analysis, and the qualitative analysis of the functional components. This method effectively reduces data dimensionality while retaining critical information, providing a structured framework for harvester classification.
- Identification of Key Parameters: Eight primary parameters (machine weight, cutting width, feed rate, rated power, overall machine length, width, height, and working efficiency) and nine key functional components (walking mechanism, cutting device, threshing device, separating device, cleaning device, grain collecting device, grain unloading device, cabin, and track size) were identified as essential for classifying harvesters. These parameters were critical in distinguishing different categories of harvesters and understanding their performance characteristics.
- Three-Level Classification: PCA and cluster analysis resulted in a three-level classification of harvesters into micro, small, medium, and large categories. This classification reflects the diversity of harvester designs and their suitability for various operational contexts and scales of farming.
- Implications for Green Mechanization: The classification method provides a quantitative foundation for selecting and using agricultural machinery in a manner that promotes green mechanization. By aligning machinery selection with ecological and efficiency indicators, the findings support sustainable agricultural practices.
- Practical Applications: The study’s results offer practical guidance for policymakers, manufacturers, and farmers. The classification system aids in aligning the tool parameters, sales prices, application contexts, and geographical–social conditions, facilitating informed decision-making in agricultural mechanization.
5. Conclusions
The following are specific conclusions drawn from the findings. The first principal component shows that the most influential parameters were rated power (0.134), overall machine weight (0.133), length (0.133), and cutting width (0.133). In contrast, the second principal component was significantly influenced by the rated power (1.771) and operational efficiency (−0.827), resulting in a contribution rate of 28.579%. The third principal component, with a contribution rate of 15.134%, was dominated by the length (−0.777), height (−1.269), operational efficiency (1.037), and feeding capacity (0.996). These PCA results provide a streamlined set of variables for further analysis. The technical parameters used in these analytical methods differ significantly from the qualitative attributes describing the harvester’s functional components, making these scientific classification methods somewhat unreasonable. Therefore, it is necessary to refine the classification results of the cluster analysis by supplementing it with the characteristics of the harvester’s functional components to eliminate errors. In cluster analysis, the first cluster includes harvesters with essential components, such as cutting, walking, threshing, separation and cleaning, and grain unloading devices. The second cluster differentiates into two types based on the functional components. In addition, the second type within this cluster, a medium-sized harvester, mirrors the small type in terms of the functional components but offers enhanced adaptability to different crops, a larger feed intake for threshing, and superior separation and cleaning capabilities. The third cluster includes large harvesters, which possess comprehensive functional components like the previous categories but predominantly utilize wheeled walking devices. Based on the operational parameters and functional components analyzed, the harvesters were further classified into four sizes: mini, small, medium, and large. These findings provide a solid foundation for future research and development in agricultural machinery, guiding manufacturers and users in selecting and applying the harvesters best suited to their specific agricultural contexts.
Author Contributions
Conceptualization, K.A.Y. and Q.D.; methodology, K.A.Y. and G.X.; investigation, K.A.Y.; writing—original draft preparation, K.A.Y.; writing—review and editing, K.A.Y., E.O.A., X.C., A.N.J., M.G.G., Z.M.A. and Q.D.; visualization, K.A.Y.; supervision, Q.D.; funding acquisition, Q.D. and X.C. All authors have read and agreed to the published version of the manuscript.
Funding
This research was funded by the National Key Research and Development Program of China (No. 2022YFD2300304) and the Priority Academic Program Development of Jiangsu Higher Education Institutions ((No. PAPD-2023-87).
Institutional Review Board Statement
Not applicable.
Informed Consent Statement
Not applicable.
Data Availability Statement
Data is contained within the article.
Conflicts of Interest
The authors declare no conflicts of interest.
References
- Yang, M.; Bai, R. Study on development stage of agricultural mechanization in China. Trans. Chin. Soc. Agric. Machi. 2005, 12, 167–170. (In Chinese) [Google Scholar]
- Cao, W.; Yang, M. Efficiency of mechanical production mode in paddy rice-wheat double cropping area of Jiangsu province. Trans. Chin. CSAE 2015, 31, 89–101. (In Chinese) [Google Scholar]
- Wang, F.; Liu, Y.; Li, Y.; Ji, K. Research and experiment on variable-diameter threshing drum with movable radial plates for combine harvester. Agriculture 2022, 13, 1487. [Google Scholar] [CrossRef]
- Cui, M.; Guo, Y.; Chen, J. Influence of transfer plot area and location on chemical input reduction in agricultural production: Evidence from China. Agriculture 2023, 13, 1794. [Google Scholar] [CrossRef]
- Huo, Y.; Ye, S.; Wu, Z.; Zhang, F.; Mi, G. Barriers to the development of agricultural mechanization in the north and northeast China plains: A Farmer Survey. Agriculture 2022, 12, 287. [Google Scholar] [CrossRef]
- Song, W.; Ye, C. Impact of the cultivated-land-management scale on fertilizer reduction—Empirical evidence from the countryside of China. Land 2022, 11, 1184. [Google Scholar] [CrossRef]
- Guo, Y.; Cui, M.; Xu, Z. Spatial characteristics of transfer plots and conservation tillage technology adoption: Evidence from a survey of four provinces in China. Agriculture 2023, 13, 1601. [Google Scholar] [CrossRef]
- Chen, J.; Shi, Q.; Shen, L.; Huang, Y.; Wu, Y. What makes the difference in construction carbon emissions between China and USA. Sustain. Cities Soc. 2019, 44, 604–613. [Google Scholar] [CrossRef]
- Tang, Z.; Li, Y.; Cheng, C. Development of multi-functional combine harvester with grain harvesting and straw baling. Span. J. Agric. Res. 2017, 15, e0202. [Google Scholar] [CrossRef]
- Li, J.; Chen, Z.; Yang, M.; Huang, Y. Mechanized corn production systems based on combination of machinery and agronomy. Trans. Chin. Soc. Agric. Mach. 2012, 43, 83–88. (In Chinese) [Google Scholar]
- Peng, J.; Zhao, Z.; Liu, D. Impact of agricultural mechanization on agricultural production, income, and mechanism: Evidence from Hubei province, China. Front. Environ. Sci. 2022, 10, 838686. [Google Scholar] [CrossRef]
- Sui, B.; Dong, S.; Meng, H.; Wang, J.; Shen, Y.; Ding, J.; Zhou, H.; Feng, J. Innovation in agricultural engineering and technology to accelerate green development of agriculture. Trans. Chin. CSAE 2020, 36, 1–6. (In Chinese) [Google Scholar]
- Zhu, Y.; Zhang, Y.; Piao, H. Does agricultural mechanization improve the green total factor productivity of China’s planting industry? Energies 2022, 15, 940. [Google Scholar] [CrossRef]
- Qiao, J.; Han, Z.; Hong, K.; Chen, H.; Hao, Y.; Zhang, X. Variation of technology productivity of harvesting outfit along with site condition. Trans. Chin. CSAE 2016, 32, 43–50. (In Chinese) [Google Scholar]
- He, P.; Zhang, J.; Li, W. The role of agricultural green production technologies in improving low-carbon efficiency in China: Necessary but not effective. J. Environ. Manag. 2021, 293, 112837. [Google Scholar] [CrossRef] [PubMed]
- Jiang, M.; Hu, X.; Chunga, J.; Lin, Z.; Fei, R. Does the popularisation of agricultural mechanization mechanization improve energy-environment performance in China’s agricultural sector? J. Clean. Prod. 2021, 293, 112837. [Google Scholar]
- Li, H.; Luo, L.; Zhang, X.; Zhang, J. Dynamic change of agricultural energy efficiency and its influencing factors in China. Chin. J. Popul. Resour. 2021, 293, 112837. [Google Scholar] [CrossRef]
- Benz, J.P.; Chen, S.; Dang, S.; Dieter, M.; Labelle, E.R.; Liu, G.; Hou, L.; Mosandl, R.M.; Pretzsch, H.; Pukall, K.; et al. Multifunctionality of forests: A white paper on challenges and opportunities in China and Germany. Forests 2020, 11, 266. [Google Scholar] [CrossRef]
- Zhuang, X.; Li, Y. Segmentation and angle calculation of rice lodging during harvesting by a combine harvester. Agriculture 2023, 13, 1425. [Google Scholar] [CrossRef]
- Hu, J.; Xu, L.; Yu, Y.; Lu, J.; Han, D.; Chai, X.; Wu, Q.; Zhu, L. Design and experiment of bionic straw-cutting blades based on Locusta migratoria manilensis. Agriculture 2023, 13, 2231. [Google Scholar] [CrossRef]
- Guo, Z.; Zhang, X. Carbon reduction effect of agricultural green production technology: A new evidence from China. Sci. Total Environ. 2023, 874, 162483. [Google Scholar] [CrossRef] [PubMed]
- Hafezalkotob, A.; Hami-Dindar, A.; Rabie, N.; Hafezalkotob, A. A decision support system for agricultural machines and equipment selection: A case study on olive harvester machines. Comput. Electron. Agric. 2018, 148, 207–216. [Google Scholar] [CrossRef]
- Liao, W.; Zeng, F.; Chanieabate, M. Mechanization of small-scale agriculture in China: Lessons for enhancing smallholder access to agricultural machinery. Sustainability 2022, 14, 7964. [Google Scholar] [CrossRef]
- Mason, N.; Flores, H.; Villalobos, J.R.; Ahumada, O. Planning the planting, harvest, and distribution of fresh horticultural products. Sustainability 2015, 14, 7964. [Google Scholar]
- Sokhansanj, S.; Anthony, T.; Mani, S.; Kumar, A.; Laser, M. Large-scale production, harvest and logistics of switchgrass (Panicum virgatum L.)—Current technology and envisioning a mature technology. Biofuels Bioprod. Biorefining 2009, 3, 124–141. [Google Scholar] [CrossRef]
- Li, S. Market prospect analysis of small rice combine harvester. Farm Mach. 2012, 16, 104–105. (In Chinese) [Google Scholar]
- Xia, Q.; Xu, Y.; Yue, G. Development status, problems and Countermeasures of small rice harvesters in Chongqing. S. China Agric. 2017, 11, 29–31. (In Chinese) [Google Scholar]
- Doungpueng, K.; Saengprachatanarug, K.; Posom, J.; Chuan-Udom, S. Selection of proper combine harvesters to field conditions by an effective field capacity prediction model. Int. J. Agric. Biol. Eng. 2020, 13, 125–134. [Google Scholar] [CrossRef]
- Trcolea, C.; Paris, A.S.; Voicu, P. Principal Component Analysis Applied to Agricultural Equipments. J. Agric. Mach. Sci. 2011, 7, 305–308. [Google Scholar]
- Chai, L.; Zhang, Q.; Xie, J.; Liu, J.; Jiang, R. Dynamic evaluation mode for ecological environment in irrigation based on theme classify and component technology. Trans. Chin. CSAE 2017, 33, 174–181. (In Chinese) [Google Scholar]
- Mathanker, S.K.; Hansen, A.C. Harvesting system design and performance. In Engineering and Science of Biomass Feedstock Production and Provision; Springer: Berlin/Heidelberg, Germany, 2014; pp. 85–139. [Google Scholar]
- Dhillon, R.; Moncur, Q. Small-scale farming: A review of challenges and potential opportunities offered by technological advancements. Sustainability 2023, 15, 15478. [Google Scholar] [CrossRef]
- Hao, C.; Jiao, C.; Hou, J.; Li, T.; Liu, H.; Wang, Y.; Zhang, X. Resequencing of 145 landmark cultivars reveals asymmetric sub-genome selection and strong founder genotype effects on wheat breeding in China. Mol. Plant 2020, 13, 1733–1751. [Google Scholar] [CrossRef] [PubMed]
- Ağızan, S.; Oguz, C.; Ağızan, K.; Bayramoğlu, Z. Evaluation of the Utilization of Mechanization in the Agricultural Enterprises in Terms of Productivity. Yuz. Yıl Univ. J. Agric. Sci. 2021, 30, 898–907. [Google Scholar] [CrossRef]
- Kaya, E.; Örs, A. Evaluation of agricultural mechanization level of Karaman province. Turk. J. Agric. Food Sci. Technol. 2020, 8, 260–265. [Google Scholar] [CrossRef]
- Lu, B.; Han, W.; Zhu, M. Comparision of evaluation method for agricultural mechanization development level. Trans. Chin. Soc. Agric. Eng. 2015, 31, 46–49. [Google Scholar]
- Rasooli Sharabiani, V.; Ranjbar, I. Determination of the degree, level and capacity indices for agricultural mechanization in Sarab Region. J. Agric. Sci. Technol. 2008, 10, 215–223. [Google Scholar]
- Chi, Y.; Zhou, W.; Wang, Z.; Hu, Y.; Han, X. The influence paths of agricultural mechanization on green agricultural development. Sustainability 2021, 13, 12984. [Google Scholar] [CrossRef]
- Wang, Y.; Jiang, J.; Wang, D.; You, X. Can Mechanization Promote Green Agricultural Production? An Empirical Analysis of Maize Production in China. Sustainability 2022, 15, 1. [Google Scholar] [CrossRef]
- Guo, X.; Huang, S.; Wang, Y. Influence of agricultural mechanization development on agricultural green transformation in Western China, based on the ML index and spatial panel model. Math. Probl. Eng. 2020, 2020, 6351802. [Google Scholar] [CrossRef]
- Daum, T. Mechanization and sustainable agri-food system transformation in the Global South. A review. Agron. Sustain. Dev. 2023, 43, 16. [Google Scholar] [CrossRef]
- Yin, S.; Wang, Y.; Xu, J. Developing a conceptual partner matching framework for digital green innovation of agricultural high-end equipment manufacturing system toward agriculture 5.0: A Novel Niche Field Model Combined with Fuzzy VIKOR. Front. Psychol. 2022, 13, 924109. [Google Scholar] [CrossRef] [PubMed]
- Zhao, L.; Liu, G.; Lu, Z.; Xiao, Y.; Nie, J.; Yang, L.; Wang, H. A new framework for delineating farmland consolidation priority areas for promoting agricultural mechanization in hilly and mountainous areas. Comput. Electron. Agric. 2024, 148, 207–216. [Google Scholar] [CrossRef]
- Zheng, Z.; Zhao, H.; Liu, Z.; He, J.; Liu, W. Research progress and development of mechanized potato planters: A review. Agriculture 2021, 11, 521. [Google Scholar] [CrossRef]
- Huang, Y.; Gao, B.; Huang, W.; Wang, L.; Fang, X.; Xu, S.; Cui, S. Producing more potatoes with lower inputs and greenhouse gases emissions by regionalized cooperation in China. J. Clean. Prod. 2021, 299, 126883. [Google Scholar] [CrossRef]
- Zang, L.; Wang, Y.; Ke, J.; Su, Y. What drives smallholders to utilize socialized agricultural services for farmland scale management? Insights from the perspective of collective action. Land 2022, 11, 930. [Google Scholar] [CrossRef]
- Aryal, J.P.; Thapa, G.; Simtowe, F. Mechanisation of small-scale farms in South Asia: Empirical evidence derived from farm households survey. Technol. Soc. 2021, 65, 101591. [Google Scholar] [CrossRef]
- Li, X.; Guan, R. How does agricultural mechanization service affect agricultural green transformation in China. Int. J. Environ. Res. Public Health 2023, 20, 1655. [Google Scholar] [CrossRef]
- Gavioli, G. A sustainable mechanization for the future: First contribution. In Proceedings of the A Sustainable Mechanization for the Future: First Contribution, Bologna, Italy, 22–23 October 2021. [Google Scholar]
Disclaimer/Publisher’s Note: The statements, opinions and data contained in all publications are solely those of the individual author(s) and contributor(s) and not of MDPI and/or the editor(s). MDPI and/or the editor(s) disclaim responsibility for any injury to people or property resulting from any ideas, methods, instructions or products referred to in the content. |
© 2024 by the authors. Licensee MDPI, Basel, Switzerland. This article is an open access article distributed under the terms and conditions of the Creative Commons Attribution (CC BY) license (https://creativecommons.org/licenses/by/4.0/).


