Abstract
Organic fertilization is a key issue in European Union (EU) regulations, particularly in the context of promoting a circular nutrient economy, maintaining soil quality, and sequestering carbon to face climate change. In a rainfed system in Northeastern Spain, an experiment was set up (split-plot design). It included five pre-sowing N fertilization treatments: control, mineral, pig slurry, and composted sewage sludge (two rates). The average N rates were 0, 30, 141, 176, and 351 kg N ha−1, respectively. They were combined with mineral N topdressings (0, 50, and 100 kg N ha−1). Three crops were grown: barley (nine years), wheat (three years), and rapeseed (one year). In the driest years (c. 350 mm rainfall), the yields averaged 2.5, 2.0, and 1.9 Mg ha−1, respectively. The maximum yields were for barley (6.5 Mg ha−1) and wheat (5.5 Mg ha−1). The avoidance of a significant increase in soil residual NO3−-N, plus the control of soil build up of available P, micronutrients, and Cd, defines the fertilization strategies. (i) With a previous spring drought season, no fertilization is needed in the following year, if devoted to winter cereals. (ii) In rainier seasons, pig slurry or composted sewage sludge (lowest rate) applied at sowing is sufficient; however, 50 kg of mineral-N ha−1 at the topdressing can be applied. The study found that pig slurry favors K, Mg, Cu, and Zn availability, while composted sewage sludge enhances Fe availability. Although it is possible to reduce N inputs from organic fertilizers, organic C build-up will be constrained.
1. Introduction
The semiarid rainfed Mediterranean areas in the European Union (EU) are facing a double challenge, namely to diminish the use of fertilizers by 20% and to halve nutrient loss [,]. These objectives are added to the already regulated N fertilization practices in nitrate-vulnerable areas [], which have been designated across EU land (e.g., []).
This double challenge requires different strategies according to the framework of each region. In rainfed semiarid Mediterranean areas (<400 mm yr−1), low water availability is a critical factor for winter crops, and it significantly influences their productivity []. In fact, in the rainfed systems of Northeastern Spain (Catalonia), the traditional rotation is three years for barley and one year for wheat or fallow. Crop diversification has a constraint of low soil moisture conditions, although rapeseed and leguminous crops are being introduced []. The average yields from barley (Hordeum vulgare L.) and rapeseed (Brassica napus L.) in the 2016–2020 period were 3.5 and 2.3 Mg ha−1, respectively []. This region also has an important rearing activity, mainly porcine (Sus scrofa domesticus), with slurry production equivalent to 54.8 million kilograms of N []. Therefore, slurry management is one of the most relevant environmental issues for the 1.1 million ha of arable land []. In addition, sewage sludge is also available for use. In 2017, 93% of the 108.6 million kilos (over dry matter) of sewage sludge produced, which equated to 4.6 million kilograms of N, was destined for soil application. Legislative tools exist to prevent heavy metal accumulation when using sewage sludge as fertilizer []. They include specific limits for concentrations of Cd, Cu, Ni, Pb, Zn, Hg, Cr (VI), and inorganic As in fertilizers. Also, they establish limits in the soil concentration for the first six mentioned above. In addition, the synthetic nitrogenous fertilizers consumed in the region rose to 26.9 million kilograms during the 2022–2023 season [].
Achieving the EU’s fertilizer-reduction targets requires a much better matching of crop demand and an increased nutrient-use efficiency []. One of the aspects is the application period or splitting fertilization in different development stages of the plant, i.e., at sowing and later on as topdressing []. Improving yields with organic fertilizers also depends on the type of organic fertilizer, crop rotation, soil type, method of application, and previous treatments [].
The use of organic fertilizers is also seen as a useful tool to increase organic matter content in soils [] in the context of climate change. In Spain, this is an important issue, as Spanish agricultural land holds the lowest European average of organic C soil content []. Apart from its total concentration, it is a matter of interest to grasp the fate of organic C in soil, which can be elucidated through its physical fractionation and further chemical analysis []. Furthermore, organic fertilizers can favor micronutrient availability [].
The hypothesis of this work is that, in rainfed semiarid zones where water availability is a constraint because of low rainfall with high annual variability, N applications should be reduced in relation to the general maximum N applications allowed in nitrate-vulnerable areas (170 and 120 kg N ha−1 yr−1 for fertilizers of organic and mineral origin, respectively) or in nitrate-non-vulnerable (semiarid) areas from Catalonia in NE Spain (190 kg N ha−1 yr−1 from fertilizers of organic origin). This reduction will not reduce general chemical nutrient fertility but rather avoid excessive nutrient build-up or potential nutrient losses out of the agricultural system while maintaining organic C content through the use of organic fertilizers. Furthermore, this work will also address new production scenarios that are linked to climate change, where drought periods are expected to increase.
The goal of this work is to evaluate different fertilization strategies in terms of crop yields and soil chemical characteristics to determine which fertilization strategy best matches the EU policy goals on reducing fertilizers (mainly N inputs) and potential nutrient losses in semiarid Mediterranean regions without affecting soil quality. Soil fertility aspects (mineral-N, organic matter, nutrients, and available and total heavy metals) will be assessed.
2. Materials and Methods
2.1. Location
The experimental field was located in NE Spain (41°46′ N, 01°05′ E, 346 m asl).
It was established in the 1997–1998 cropping season. The results of this paper include 13 cropping seasons, starting from the 2003–2004 one.
The soil is classified as a Typical Xerorthent []. The soil is very deep (>1 m), without stones or coarse elements. The soil texture in the superficial layer (0.3 m) is loamy (USDA classification). The clay, silt, and sand contents are 157 g kg−1, 463 g kg−1, and 380 g kg−1, respectively. The pH equals 8.1 (1:2.5, soil–water); it is not saline (electrical conductivity 1:5 soil:water equals 0.33 dS m−1 at 25 °C), having a high content of equivalent calcium carbonate (280 g kg−1). The cation exchange capacity is 6.7 cmol+ kg−1. In 1997, at sowing at 0–0.3 m depth from a composite soil sample, the organic matter, available phosphorus, and available potassium contents were 19 g kg−1, 36 mg P kg−1, and 303 mg K kg−1.
The climate is dry Mediterranean according to the Papadakis classification []. The maximum precipitation occurs in spring and autumn. The average annual rainfall of the studied period (thirteen years) was 387 mm. The recorded yearly variability oscillated between 201 and 621 mm, and the monthly values ranged from 8 to 100 mm. The annual average temperature was 13.8 °C, with an oscillation between 12.2 and 14.7 °C. The reference crop’s evapotranspiration averaged 1091 mm yr−1 (Penman–Monteith equation; []). In this research, the spring of the cropping seasons was considered dry if the accumulated rainfall between February and March was less than 50 mm. Those months coincide with the end of the tillering period and the beginning of stem elongation in winter cereals. In rapeseed, it coincides with leaf development, with nine or more leaves unfolded.
2.2. Experimental Design
The present study was conducted in the context of an initial demonstration field on the use of organic fertilizers, established in the 1997–1998 cropping season. In the 2003–2004 cropping season, the field was fully included in a research program. The different strategies, based on the combination of fertilization at sowing (first factor) and topdressing (second factor), were maintained throughout the whole experimental period. They were distributed according to a split-plot design with three replicates.
The first factor was the N fertilization applied before sowing (Fsow) with different fertilizers. It included five treatments: 0, 30, 141, 176, and 351 kg N ha−1. They were applied as mineral fertilizer (MIN), slurry from fattening pigs (PS), and the last ones as composted sewage sludge (L1 and L2), respectively. These five treatments were randomized against the block.
The second factor was N fertilization applied at the topdressing (Ftop) with mineral fertilizer. It included three N fertilization treatments: 0, 50, and 100 kg N ha−1. These treatments were randomized against the first factor within each block.
The above-mentioned averages of N applied with PS, L1, and L2 were calculated for the 2003−2016 period, and the standard deviation of applied rates were ±31, ±67, and ±136 kg N ha−1, respectively. The rate variability was linked to the changing concentrations of organic materials (Table 1), although they always satisfied the legislation requirements [].

Table 1.
Average composition 1 of the pig slurry (slurry) and the composted sewage sludge (compost) applied.
Mineral N was applied as ammonium nitrate or calcium ammonium nitrate, while organic amendments were locally available. Composted sewage sludge was obtained by mixing one part of municipal wastewater sludge with three parts of agro-industrial and forest waste, always complying with agricultural use regulations [].
Each experimental plot measured 7 m wide and 23 m long.
In slurries and composted sewage sludges, dry matter was determined by a gravimetric method at 105 °C, organic carbon by ignition at 550 °C, organic nitrogen by the Kjeldahl method, and ammonium nitrogen by distillation and titration following APHA methods 4500-NH3B-C and 4500-NH3C []. The total phosphorus and total potassium were analyzed by acid digestion (wet) and further determined using inductively coupled plasma atomic emission spectrometry [].
Organic fertilizers were applied with machinery, while mineral fertilizers were applied by hand. At sowing, the N mineral fertilizer was urea. After application before sowing, fertilizers in all plots were mechanically buried (0–0.15 m) within 24 h after application. In winter (from late January to early March), plots received an N topdressing enhancement in the form of a mineral fertilizer (calcium ammonium nitrate, ammonium nitrosulfate, or ammonium nitrate based on availability), applied at a V6–V8 Zadoks cereal physiological stage for barley and wheat [] and the leaf-development stage for rapeseed. The topdressing fertilizers were not buried. The mineral treatment was annually supplied with phosphorus (26.4 kg P ha−1) and potassium (74.7 kg K ha−1) as was CO in 6 out of the 13 cropping seasons. The annual average rates of P and K applied with PS were 38 kg P ha−1 and 76 kg K ha−1. For L1, the rates were 73 kg P ha−1 and 62 kg K ha−1, a rate which was doubled for L2.
The present work includes the yields from thirteen cropping seasons, starting at the 2003–2004 cropping season when the field was fully included in a research program. It also includes the comparison in NO3−-N between September 2003 and 2016. The rest of the analyzed parameters were evaluated at the end of the experimental period (July 2016).
Barley was sown in the autumns of 2003, 2006, 2007, 2008, 2010, 2011, 2012, 2014, and 2015. Bread wheat (Triticum aestivum L.) was sown in the autumns of 2004, 2005, and 2009. Finally, rapeseed was sown in September 2013. Management field practices followed the technical agricultural recommendations for the area. Harvesting was carried out between late June and mid-July. Straw was removed from the fields, except for the 2014 harvest, due to the low amount of straw production.
The total surface of each plot (161 m2) was harvested. A grain sample was taken to determine the humidity by drying at 60 °C. The yield data were adjusted to 1.2 g kg−1 of humidity for barley and wheat and to 0.8 g kg−1 for rapeseed.
At the start of this experimental period (September 2003) and at the end of it (September 2016), the plots were sampled from the surface to a 0.9 m depth using an Edelman auger (7 cm in diameter). The soil was fresh-sieved to pass through a 2 mm sieve, and 20 g were extracted with 60 mL of a solution of potassium chloride (1N) for the colorimetric determination of NO3−-N concentrations with a continuous flow analyzer (AA3, Bran + Luebbe, Norderstedt, Germany).
In the last cropping season (2015–2016), an additional sampling was previously performed in July, after harvest, at the depth (0–0.15 m) where Fsow fertilizers were annually buried. Plots from the Fsow treatments, without mineral-N topdressing fertilization (Fsow0), were sampled. The pH, electrical conductivity (EC), available P (Olsen-P), cation exchange capacity and exchangeable cations, heavy metals, and organic carbon fractionation were analyzed. In each plot, a composite sample was obtained from three sampling points. The samples were prepared for analysis according to UNE-EN 16179 []. The soil pH was determined in an aqueous solution using a 1:2.5 (soil–water) ratio, salinity (EC) by conductimetry (1:5), and oxidizable organic carbon, as by []. The organic carbon fractionation followed the procedure NF X 31-516 []. Cation exchange capacity and exchangeable cations were evaluated by extraction with ammonium acetate 1N (pH = 7). The exchangeable cations K+, Na+, Mg2+, and Ca2+ were determined by following [], followed by further determination by atomic absorption spectrophotometry. The available P content was quantified by the Olsen method (sodium bicarbonate-extractable P at pH 8.5 []. The available Mn, Fe, Zn, Cu, Ni, and Cd were extracted with a DTPA (diethylenetriaminepentaacetic acid) solution (1:2, w:v) following Baker and Amacher []. From microwave soil digested samples (UNE-EN 54321; []) with aqua regia (3:1, v:v, HCl:HNO3) the elements P, K, Ca, Mg, Na, Fe, Cd, Co, Cr, Cu, Mn, Ni, Pb, and Zn were quantified using inductively coupled plasma mass spectrometry (UNE-EN 16171; []).
2.3. Statistical Analysis
The statistical package SAS, version 9.4 [], was used for the statistical analysis.
The yield analysis considered the split-plot design in three randomized blocks. A mixed model procedure was performed for analyses of the wheat and rape yields. The block was considered a random factor. For wheat production, we accounted for repeated measurements over 3 years by using a compound symmetry covariance structure. In barley, a Glimmix model procedure was performed with a gamma distribution and inverse link function to satisfy the assumptions. The covariance structures for repeated measurements were modeled by using a compound symmetry covariance structure. The models’ performances were evaluated using the Akaike Information Criterion []. Multiple comparisons of least square means of the main effects and interactions were conducted using the LSMEANS option. The value of 5% (i.e., p < 0.05) was selected as the minimum criterion for significance.
Furthermore, in barley, the correlation coefficient was used to assess the strength of the relation between barley yields and precipitation in March and April. The 2007 harvest was excluded because of previous problems in plant establishment. The 2016 harvest was also excluded because of the severe hailstorm close to the harvest period, which damaged all the barley plants.
The analysis of NO3−-N content (kg N ha−1) was performed twice, (i) once for the upper layer (0–0.3 m) and (ii) once for the soil profile (0–0.9 m). The analysis was performed using the mixed model procedure from SAS. The Satterthwaite approximation was chosen. The adopted fertilization treatment for analysis was the combination (Fcomb) of fertilization at sowing with fertilization at the topdressing. The Fcomb treatment and time (sampling year) interaction was included in the model. The Fcomb treatments referenced for each block were called subjects. In the statistical analysis, random intercepts for experimental blocks nested within subjects were included, thereby accounting for the hierarchical structure of the experimental design and the potential correlation between repeated measures within subjects. Multiple comparisons were made with the LSMEANS option. The value of 5% (i.e., p < 0.05) was selected as the minimum criterion for significance.
The rest of the parameters were analyzed for the fertilization treatments at sowing, without fertilization at the topdressing (Fsow0), and according to a randomized block design. The GLM model procedure for general linear models was used. The means were compared according to Duncan’s multiple range test (DMRT) (p = 0.05).
3. Results
The studied experimental period included 7 cropping seasons from a total of 13 (2004–2005, 2005–2006, 2006–2007, 2007–2008, 2011–2012, 2013–2014, and 2014–2015) which can be considered spring–dry (February plus March rainfall < 50 mm). The other six (2003–2004, 2008–2009, 2009–2010, 2010–2011, 2012–2013, and 2015–2016) were considered spring–humid (Figure 1).

Figure 1.
Total rainfall for the thirteen cropping seasons (from 2003–2004 to 2015–2016 and from September to August) and for the included period from March to April (dark colors). The cultivated crop (barley, wheat, or rapeseed) is specified for each cropping season.
3.1. Crop Yields
The analysis of barley grain yields showed two significant interactions (Table A1): between cropping seasons and Fsow and between Fsow and Ftop (Figure 2 and Figure 3). The average grain yields ranged from 1.75 Mg ha−1 (CO treatment, 2011–2012 cropping season) up to 4.76 Mg ha−1 (PS treatment, 2012–2013 cropping season). The highest yields were observed in 2008–2009 and in 2012–2013, with a similar rainfall pattern for both cropping seasons, namely 77–73 mm between March and April and 483–445 mm throughout the whole cropping season. The lowest recorded yield (excluding the 2015–2016 figures due to the hailstorm) occurred in the 2011–2012 cropping season, with only 16 mm of rainfall during the March–April period, with the lowest recorded figure among the nine cropping seasons devoted to barley (Figure 1).

Figure 2.
Barley grain yields for ninee cropping seasons (in different colors) and according to fertilization treatments at sowing (Fsow): control (CO), mineral N fertilizer (MI), pig slurry (PS), and composted sewage sludges (L1 and L2). An interaction between Fsow and cropping season (year) was found and means of the combination of both variables with different letters (from “a” to “q”) are significantly different according to the LSD test (p < 0.05). Means for cropping seasons with different letters (from “A” to “E”) are significantly different according to the LSD test (p < 0.05).

Figure 3.
Barley grain yields for fertilization treatments at topdressing (Ftop; 0, 50 or 100 kg N ha−1) and their interaction with fertilization treatments at sowing (Fsow; control (CO), mineral N fertilizer (MI), pig slurry (PS), and composted sewage sludges (L1 and L2). Means for Ftop and interactions with different letters are different according to the LSD test (p < 0.05): (i) “A” or “B” for Ftop and (ii) from “a” to “d” for Fsow*Ftop.
The coefficient of determination (R2) showed the strength of the association between barley yields and March plus April rainfall, with a value of 0.63. As the precipitation increased, yields increased but followed a quadratic answer.
In the wheat crop, two significant interactions were also observed (Table A1) between cropping season and Fsow and between cropping season and Ftop (Figure 4).

Figure 4.
Wheat grain yields for three cropping seasons and according to fertilization treatments at sowing (Fsow; control (CO), mineral N fertilizer (MI), pig slurry (PS), composted sewage sludges (L1 and L2), and fertilization treatments at topdressing (Ftop; 0, 50, or 100 kg N ha−1). Mean values for cropping seasons (year), Fsow, and their interactions with different letters are significantly different according to the LSD test (p < 0.05): (i) from “A” to “C” for cropping seasons, (ii) from “H” to “J” for Fsow, (iii) from “a” to “g” for year *Fsow interaction, and (iv) from “w” to “z” for year*Ftop interaction.
The average grain yield ranged from 1.62 Mg ha−1 (L1, 2005–2006 cropping season) to 5.53 Mg ha−1 (L1, 2009–2010 cropping season). The March–April rainfall was 8 and 100 mm for the 2005–2006 and 2009–2010 cropping seasons. The associated total rainfall for these cropping seasons was 279 and 450 mm (Figure 1).
In the 2013–2014 rapeseed cropping season, no interactions were found between fertilization treatments (Table A1). Pig slurry and L1 treatments allowed higher yields than mineral and control. Nitrogen at the topdressing (50 or 100 kg N ha−1) also increased yields (Figure 5). A positive reaction to organic fertilization and mineral topdressings was observed despite the water availability constraints of 31 mm in March–April and a total of 292 mm for the entire cropping season (Figure 1).

Figure 5.
Rapeseed yields for the 2013–2014 season and according to the fertilization treatments at sowing (Fsow; control (CO), mineral-N fertilizer (MI), pig slurry (PS), composted sewage sludges (L1 and L2), and fertilization at topdressing (Ftop; 0, 50, 100 kg N ha−1). Means of Fsow or Ftop with different letters (from “a” to “c” for Fsow or from “w” to “x” for Ftop) are different according to the LSD test (p < 0.05).
3.2. Mineral Nitrogen
In the soil, the NO3−-N content, from 0 to 0.3 m, increased significantly from 2003 to 2016 (Table A2) irrespective of the fertilization treatment (Figure 6).

Figure 6.
Nitrogen content (in nitrate form) in the top layer (0–0.3 m) and according to the combined fertilization treatments at sowing (CO, control; MI, mineral; PS, pig slurry; and composted sewage sludges L1 and L2) and at topdressing (0, 50, and 100 kg N ha−1) in September 2003 and 2016. All 2016 averages were significantly higher than in 2003.
In the soil profile, from 0 to 0.9 m, an interaction was found between the cropping season (year) and the combined fertilization treatments (Table A2). The maximum increase of 856 kg N ha−1 was observed in the L2-100 treatment and the minimum (22 kg N ha−1) in the control (Figure 6 and Figure 7), but the amount of NO3−-N content (0–0.9 m) was 1104 and 206 kg N ha−1 for these respective treatments (Figure 7). When MI, PS, and L1 were also combined with 100 kg N ha−1 at the topdressing, a high residual amount of NO3−-N was recorded, with 619, 689, and 617 kg N ha−1, respectively. However, in all the treatments without N at the topdressing, or without fertilization at sowing but with 50 kg mineral-N ha−1 as the topdressing, the NO3−-N content in the soil profile (0–0.9 m) did not significantly differ between September 2003 and September 2016 (Figure 7).

Figure 7.
Nitrogen content (in nitrate form) in the profile (0–0.9 m) and according to the combined fertilization treatments at sowing (CO, control; MI, mineral; PS, pig slurry; and composted sewage sludges L1 and L2) and at topdressing (0, 50, and 100 kg N ha−1) in September 2003 and 2016. Mineral-N means with different letters (from “a” to “j”) are different according to the LSD test (p < 0.05).
3.3. Other Nutrients and Heavy Metals
In July 2016, the top layer (0–0.15 m depth) showed statistical differences (Table 2 and Table A3) in pH, available P, total N, organic C, and the C/N ratio for Fsow without fertilization at the topdressing. Compared with the mineral treatment (Table 2), pig slurry increased the pH (0.1 units), while composted sewage sludge increased the available P (three or four times, up to 183.8 mg P kg−1) and reduced the C/N ratio (1 unit). The highest compost rate also reduced the pH (two units).

Table 2.
Mean values 1 in the topsoil layer (0–0.15 m depth) after 19 years from experiment establishment for soil pH, electrical conductivity (EC), available P, total N, organic C, rate of organic C/total N (C/N), cation exchange capacity (CEC), and according to fertilization treatments at sowing without fertilization at topdressing (0).
The total organic C increased in all treatments compared to the control (Table 2 and Table A3) without differences between mineral and pig-slurry fertilization. Composted sewage sludge showed the highest significant values (20.5 and 23.3 for L1-0 and L2-0, respectively) when compared to the rest of the treatments. The increase was mainly due to significant changes in the heavy fraction, from 0.2 to 2 mm, and in the light fraction, from 0.05 to 0.2 mm (Table 3 and Table A4).

Table 3.
Mean values 1 in the topsoil layer (0–0.15 m depth) after 19 years from experiment establishment of different organic C fractions separated by size (0.2–2 mm, 0.05–0.2 mm, and <0.05 mm) and densities (heavy and light) and expressed over total C (%) according to fertilization treatments at sowing without fertilization at topdressing (0).
In addition, compared to mineral fertilization (Table 2 and Table A3), only the L2-0 treatment increased the cation exchange capacity (c. 1.3 cmol+ kg−1). The percentage of exchangeable cations significantly changed according to the Fsow treatments (Table A5). Exchangeable K increased with PS-0, and exchangeable Mg with PS-0 and L2-0, although L1-0 showed a higher exchangeable Mg than MI-0. Therefore, exchangeable Ca was mainly reduced in PS-0 and L2-0 when compared with the rest of the treatments (Figure 8).

Figure 8.
Exchangeable cations vs. cation exchange capacity after 19 years from the experiment establishment, for the fertilization treatments at sowing without topdressing: CO-0, control; MI-0, mineral; PS-0, pig slurry and composted sewage sludges (L1-0 and L2-0). For each cation, bars with different letters are different according to the DMRT (p = 0.05).
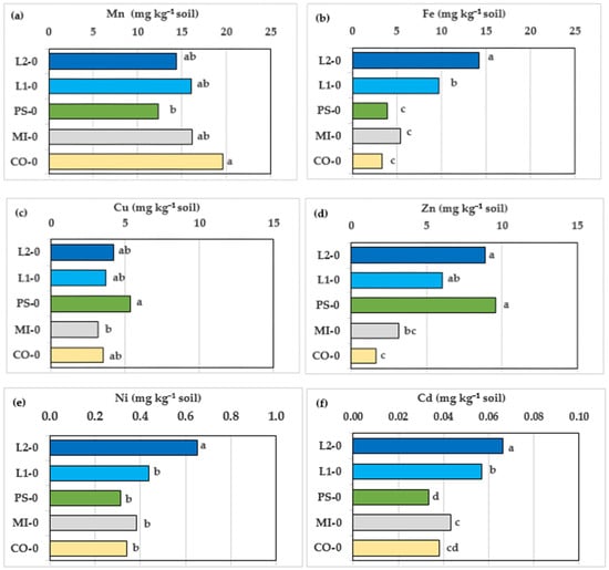
Fertilization with organic materials modified the availabilities of some micronutrients (Mn, Fe, Cu, Zn, and Ni) and Cd extracted with DTPA (Figure 9, Table A6). Pig slurry and L2-0 increased Zn availability; PS-0 also increased Cu availability when compared to the mineral (Figure 9c,d). However, only composts increased Fe and Cd availability (Figure 9b,f). The highest dose of composted sewage sludge also increased Ni availability (Figure 9e). Differences in Mn availability were only found between the control and PS-0, as pig slurry diminished it. The cadmium availability also diminished in PS-0 when compared to MI-0 (Figure 9f).

Figure 9.
Availability of Mn (a), Fe (b), Cu (c), Zn (d), Ni (e), and Cd (f) extracted with DTPA after 19 years from the experiment establishment and for the different fertilization treatments at sowing without topdressing: CO-0, control; MI-0, mineral; PS-0, pig slurry, and composted sewage sludges (L1-0 and L2-0). Bars with different letters are different according to the DMRT (p = 0.05).
No significant differences were found between the Fsow treatments in the total concentrations of the different elements analyzed, with the exception of total P (Table 4, Table A7, Table A8 and Table A9). For total P, the L2 treatment attained the highest figures, without significant differences between the mineral, slurry, and L1 treatments.

Table 4.
Total soil concentrations of different elements 1 in the topsoil layer (0–0.15 m depth) after 19 years from experiment establishment (July 2016) and according to fertilization treatments at sowing without topdressing (Fsow0).
4. Discussion
The longest research period was devoted to barley (nine cropping seasons). Assuming this crop as a reference in this agricultural system, barley’s average yields were lower than the recorded average in rainfed Spanish areas []. The exceptions were the 2009 and 2013 harvests (Figure 2) with humid springs (>70 mm rainfall, Figure 1) when the yields matched the results from other authors [,] for similar cropping seasonal rainfall.
Low water availability at critical stages for the development of winter cereals [,], like the stem-elongation period (February–March in this experiment), affected barley (2.49 Mg ha−1, 5-year average) and wheat (1.97 Mg ha−1, 2-year average) yields (Figure 1, Figure 2 and Figure 4). When carbon assimilation during stem elongation is reduced by stress, the storage in stems is reduced. It implies a limitation on the quantity of reserves that might be remobilized during the grain-filling period []. This lack of water also constrained the rapeseed yield in the 2014 harvest (maximum of 2.44 Mg ha−1, Figure 5), exacerbated by rapeseed’s lower water use efficiency in comparison to barley []. However, rapeseed was able to take advantage of annual organic fertilization (PS, L1) and N topdressing, probably because rapeseed requires more N fertilizer input and has a lower utilization efficiency during its growth period when compared to other crops [].
In dry years, the lack of water availability constraints yields, but the absence of N leaching and further organic matter mineralization in these systems [] allows the control treatment to achieve the highest yields in the following rainier cropping season, as evidenced in the 2007 and 2013 harvests (Figure 1 and Figure 2). In fact, the absence of winter leaching in dryland systems [], the reduction of N losses through ammonia volatilization due to the rapid slurry soil incorporation after application [], and the prevention of large concentrations of N2 and N2O within the soil (in contrast to other agricultural systems []) is the framework that explains full N availability in the following cropping season from organic matter mineralization or former N fertilizer applications. The amount of N atmospheric deposition is very low [,,]. Nonetheless, it must be considered that, given the projected increase of dry periods due to the climate-change scenario [,], residual N will be of greater importance in the N balance of these systems.
The no-N application strategy might be, a priori, an advantageous short-term strategy for barley and wheat, since it did not present significant yield differences versus other studied strategies in dry years while also being the most economical option and the one with the lowest potential environmental impact related to soil NO3−-N content. However, it would be inadequate to consider the CO treatment as a long-term fertilization strategy, since “nutrient mining” is unsustainable [,] if the mineralized organic matter is not replaced. In fact, in 2016, the amount of organic C found in the CO treatment (14.4 g kg−1) was lower than its initial value of 19 g kg−1 in 2003, and it was significantly below (from 3 up to 12 g kg−1) the organic C content in other treatments (Table 2). This result challenges the international “4 per 1000” initiative that aims to increase carbon storage in agricultural soils in hopes of mitigating the effects of climate change []. Therefore, other annual treatments appear as sounder options in order to achieve maximum yields while sustaining organic C, as is the case with the PS treatment or the L1 treatment, which even increases the content of organic C (Table 2). However, it must be noted that, in pig slurry, the organic C is mainly sustained by the light fraction from 0.05 to 0.2 mm (Table 3), which will then be mineralized and requires continuous maintenance. In contrast, L1 also affects organic C content in the heavy fraction (0.2–2 mm), potentially offering longer term organic C protection. In fact, the spectroscopic characteristics of soil humic-type substances after pig slurry applications enhance aliphatic structures and not aromatic ones, which implies a weak effect of PS in long-term C sequestration [].
Levels of NO3−-N in the soil profile (Figure 7) support annual application maintenance in PS and L1, as the soil’s NO3−-N did not significantly increase over the 13-year period, provided that mineral topdressing fertilization will be avoided. However, the significant NO3−-N increase in the top layer (Figure 6) alerts about the potential N-leaching risk linked to exceptional rainfall or snow events that are, in fact, a definite risk in these Mediterranean environments [].
Considering both productivity and nitrate-leaching control, and taking into account the yields obtained in the CO treatment after a former drought season, it would be justified to avoid PS and L1 fertilization after such periods of water scarcity, on the understanding that C sequestration will be limited.
In wheat, no yield response to fertilization was recorded in the dry years (2005 and 2006 harvests; Figure 1 and Figure 4). In contrast, L1 achieved the highest yield at the end of a rainy cropping season (2010 harvest). In a humid year, a topdressing of 50 kg N ha−1 of mineral-N fertilizer can also be feasible. Thus, wheat mirrored barley’s behavior in terms of the profitability of residual N. In fact, barley and bread wheat respond similarly with regard to grain nitrogen content and water availability changes in the typical Mediterranean environmental conditions [].
In rapeseed, the seed yield fluctuated from 1257 kg ha−1 (in the CO, without N at topdressing) to 2649 kg ha−1 (in PS plus 50 kg N ha−1 at the topdressing), demonstrating the link between yield and N availability, in agreement with []. However, in their study, they were able to reach 4000 kg ha−1 when the water availability increased. In this crop, the application of PS and L1 organic amendments proved to be effective as fertilization strategies (Figure 5). However, mineral N at the topdressing, from 50 kg N ha−1 to 100 kg N ha−1, also increased the yields (Figure 5), which is in concordance with []. In addition, the N supply from soil organic matter mineralization, which in these conditions can reach 100 kg N ha−1 within the first 0.6 m depth [,], is also an important N source. However, after the highly productive barley season of 2012–2013, rapeseed probably took advantage of its deep root development [], with acceptable nutrient absorption during its initial phenological stages [].
If PS and L1 are adopted as fertilization strategies (necessarily adjusted to the previous season’s climate conditions), their impact on other fertility and soil quality parameters must be considered. Compared to mineral fertilization, pig slurry will increase K, Mg, Cu, and Zn availability (Figure 8 and Figure 9), and composted sewage sludge (L1) will increase the soil cation exchange capacity and Fe and Cd availability (in this case below the risk thresholds). However, an important constraint for PS and L1 annual use arises from the increase of available P (Olsen). In fact, 86 mg P kg−1 (Table 2) is a threshold P soil concentration because of the risk of its displacement through the profile of calcareous soils [], despite the tendency in total P increase (Table 4). No other limitations of PS and L1 use are detected to be related to the total soil concentrations of nutrients or heavy metals (Table 4), which is a fact that mainly disagrees with [], probably because of the different origins and treatments of the compost used in both cases.
5. Conclusions
In semiarid areas, water scarcity during the final tillering cereal stage of development—the early stem elongation period (February and March in the NE of Spain)—constrains winter barley yield response to N fertilization. In the performed experiment, there is a relevant strength of association between barley yields and March plus April rainfall (R2 = 0.63). In addition, significant yield increases, including that of winter wheat and rapeseed, did not occur until the accumulated precipitation for the mentioned period of time exceeded 70 mm.
The use of pig slurry before sowing (c. 141 kg N ha−1 as an average) is one of the best fertilization options for the studied crops and according to the studied soil parameters. However, its annual application leads to a residual NO3−-N accumulation in the topsoil layer that must be carefully managed. No N application after drought periods can be included in the fertilization schedule. In zones with a lower availability of livestock waste, composted sewage sludge applied at sowing, at similar rates, is also an interesting alternative. The application of mineral N at the topdressing (50 kg N ha−1) is a tactically sound option when no fertilization has been applied at sowing.
The additional advantage of slurry and composted sewage sludge use will be the maintenance or even the increase of organic C and different nutrient availability. Despite the increase in Cd availability when composted sewage sludge is used, no negative impacts on heavy metal soil concentrations were found. The absence of fertilization after drought cropping seasons will help reduce fertilizer inputs in these systems while controlling excessive available P build-up.
Author Contributions
C.O. and À.D.B.-S. conceived the study. C.O. and M.R.Y. conducted data gathering, A.S.V. worked on soil analysis, M.G.M. and À.D.B.-S. performed statistical analyses. C.O., M.R.Y. and À.D.B.-S. wrote the original draft. À.D.B.-S. wrote the final article. All authors have read and agreed to the published version of the manuscript.
Funding
This study was supported by the National Institute for Agricultural and Food Scientific Research and Technology of Spain-INIA (project RTA2017-88-C3-3) funds. The field maintenance by the Department of Climate Action, Food and Rural Agenda, Generalitat de Catalunya, Spain is fully acknowledged.
Institutional Review Board Statement
Not applicable.
Data Availability Statement
The data are available from AD upon reasonable request.
Acknowledgments
Field assistance from J.M. Llop, J.M. Pijuan, and J.C. Melo and laboratory assistance from M. Antunez and S. Nacci are fully acknowledged. We also thank M.M. Boixadera-Bosch for edition support. Alcira S. Valdez thanks Fundación Carolina for her PhD grant.
Conflicts of Interest
The authors declare no conflicts of interest.
Appendix A

Table A1.
Test of fixed effects 1 for barley, wheat, and rapeseed yields (kg ha−1) according to fertilization treatments at sowing (Fsow) and at topdressing (Ftop). The cropping season (year) effect is included for barley and wheat.
Table A1.
Test of fixed effects 1 for barley, wheat, and rapeseed yields (kg ha−1) according to fertilization treatments at sowing (Fsow) and at topdressing (Ftop). The cropping season (year) effect is included for barley and wheat.
Barley Yield | Wheat Yield | Rapessed Yield | |||||||
---|---|---|---|---|---|---|---|---|---|
Source | df | Den df | p | df | Den df | p | df | Den df | p |
Year | 8 | 17.78 | <0.0001 | 2 | 100 | <0.0001 | - | - | - |
Fsow | 4 | 9.10 | 0.0595 | 4 | 100 | 0.0003 | 4 | 0.0025 | 0.0025 |
Ftop | 2 | 307.7 | <0.0001 | 2 | 4 | 0.5413 | 5 | 0.0009 | 0.0009 |
Year*Fsow | 32 | 307.7 | <0.0001 | 8 | 100 | <0.0001 | - | - | - |
Year*Ftop | 16 | 307.7 | 0.3378 | 4 | 100 | 0.0103 | - | - | - |
Fsow*Ftop | 8 | 307.7 | 0.0006 | 8 | 100 | 0.1140 | 8 | 0.1569 | 0.1569 |
1 df, degrees of freedom for the factor; Den df, the denominator degrees of freedom. The mixed procedure of SAS was used for wheat and rapeseed yields. The Glimmix procedure of SAS, assuming a gamma distribution, was used for barley yields.

Table A2.
Test of fixed effects 1 for NO3−-N (kg N ha−1) at 0–0.3 m and 0–0.9 m depths and according to the combined fertilization treatments (Fcomb) at sowing (five) and at topdressing (three). The cropping season (year) effect is included, as data belong to the 2003–2004 and 2015–2016 cropping seasons.
Table A2.
Test of fixed effects 1 for NO3−-N (kg N ha−1) at 0–0.3 m and 0–0.9 m depths and according to the combined fertilization treatments (Fcomb) at sowing (five) and at topdressing (three). The cropping season (year) effect is included, as data belong to the 2003–2004 and 2015–2016 cropping seasons.
Mineral-N (0–0.3 m) | Mineral-N (0–0.9 m) | ||||
---|---|---|---|---|---|
Source | df | Den df | p | Den df | p |
Year | 1 | 57 | <0.0001 | 58 | <0.0001 |
Fcomb | 14 | 57 | 0.1656 | 58 | <0.0001 |
Year*Fcomb | 14 | 57 | 0.3344 | 58 | <0.0001 |
1 df, degrees of freedom for the factor; Den df, the denominator degrees of freedom. The mixed procedure of SAS was used.

Table A3.
Analysis of variance 1 for pH, electrical conductivity (EC, dS m−1), available P (P, mg kg−1), total N (%), organic C (%), rate of organic C vs. total N (C/N), and cation exchange capacity (CEC, cmol+ kg−1) in July 2016 and according to fertilization treatments at sowing without topdressing (Fsow0).
Table A3.
Analysis of variance 1 for pH, electrical conductivity (EC, dS m−1), available P (P, mg kg−1), total N (%), organic C (%), rate of organic C vs. total N (C/N), and cation exchange capacity (CEC, cmol+ kg−1) in July 2016 and according to fertilization treatments at sowing without topdressing (Fsow0).
pH | EC | Available-P | Total-N | Organic-C | C/N | CEC | |||||||||
---|---|---|---|---|---|---|---|---|---|---|---|---|---|---|---|
Source | df | SS | p | SS | p | SS | p | SS | p | SS | p | SS | p | SS | p |
Fsow0 | 4 | 0.151 | 0.0002 | 0.006 | 0.27 | 47,698 | 0.0002 | 0.028 | <0.0001 | 5.24 | 0.003 | 5.236 | 0.0028 | 10.6 | 0.0005 |
Blocks | 2 | 0.000 | 1.0000 | 0.005 | 0.12 | 554 | 0.587 | 9 × 10−5 | 0.80 | 0.94 | 0.07 | 0.937 | 0.0704 | 1.48 | 0.0409 |
Error | 8 | 0.013 | - | 0.007 | - | 3884 | - | 0.001 | - | 0.996 | - | 0.996 | - | 1.21 | - |
Total | 14 | 0.164 | - | 0.018 | - | 52,136 | - | 0.030 | - | 7.17 | - | 7.169 | - | 13.29 | - |
1 df = degrees of freedom; SS = sum of squares.

Table A4.
Analysis of variance 1 of different organic carbon fractions (separated by size and density) and expressed over total C (%) and according to fertilization treatments at sowing without fertilization at topdressing in the topsoil layer (0–0.15 m depth).
Table A4.
Analysis of variance 1 of different organic carbon fractions (separated by size and density) and expressed over total C (%) and according to fertilization treatments at sowing without fertilization at topdressing in the topsoil layer (0–0.15 m depth).
0.2–2 mm | 0.05–0.2 mm | ˂0.05 mm | |||||||||
---|---|---|---|---|---|---|---|---|---|---|---|
Heavy | Light | Heavy | Light | ||||||||
Source | df | SS | p | SS | p | SS | p | SS | p | SS | p |
Fsow0 | 4 | 0.698 | 0.0004 | 0.013 | 0.2254 | 12.795 | 0.769 | 0.199 | 0.003 | 14.108 | 0.737 |
Blocks | 2 | 0.433 | 0.0039 | 0.3E4 | 0.9134 | 34.572 | 0.1485 | 1.365 | 0.071 | 29.623 | 0.185 |
Error | 8 | 0.288 | - | 0.015 | - | 56.598 | - | 0.199 | - | 56.397 | - |
Total | 14 | 3.945 | - | 0.028 | - | 103.965 | - | 1.365 | - | 100.128 | - |
1 df = degrees of freedom; SS = sum of squares.

Table A5.
Analysis of variance 1 for exchangeable cations expressed as a percentage over the cation exchange capacity and according to fertilization treatments at sowing without topdressing (Fsow0).
Table A5.
Analysis of variance 1 for exchangeable cations expressed as a percentage over the cation exchange capacity and according to fertilization treatments at sowing without topdressing (Fsow0).
K | Ca | Mg | Na | ||||||
---|---|---|---|---|---|---|---|---|---|
Source | df | SS | p | SS | p | SS | p | SS | p |
Fsow0 | 4 | 89.80 | 0.0008 | 663.40 | 0.0003 | 272.81 | 0.0016 | 5.276 | 0.0395 |
Blocks | 2 | 24.36 | 0.0111 | 98.41 | 0.0275 | 12.89 | 0.3570 | 2.001 | 0.0949 |
Error | 8 | 11.72 | - | 67.58 | - | 43.89 | - | 2.496 | - |
Total | 14 | 125.88 | - | 829.39 | - | 329.59 | - | 9.773 | - |
1 df = degrees of freedom; SS = sum of squares.

Table A6.
Analysis of variance 1 of available soil concentrations (mg kg−1) for different elements, in July 2016, and according to fertilization treatments at sowing without topdressing (Fsow0).
Table A6.
Analysis of variance 1 of available soil concentrations (mg kg−1) for different elements, in July 2016, and according to fertilization treatments at sowing without topdressing (Fsow0).
Mn | Fe | Zn | Cu | Ni | Cd | ||||||||
---|---|---|---|---|---|---|---|---|---|---|---|---|---|
Source | df | SS | p | SS | p | SS | p | SS | p | SS | p | SS | p |
Fsow0 | 4 | 86.427 | 0.0687 | 251.111 | <0.0001 | 144.723 | 0.0004 | 8.497 | 0.0306 | 0.217 | 0.0036 | 0.002 | <0.0001 |
Blocks | 2 | 42.635 | 0.0901 | 0.479 | 0.7392 | 1.079 | 0.7660 | 1.004 | 0.3768 | 0.007 | 0.5741 | 2.560 × 10−5 | 0.2652 |
Error | 8 | 51.677 | - | 6.106 | - | 15.653 | - | 3.633 | - | 0.045 | - | 6.507 × 10−5 | - |
Total | 14 | 180.740 | - | 257.696 | - | 161.455 | - | 13.133 | - | 0.268 | - | 0.002 | - |
1 df = degrees of freedom; SS = sum of squares.

Table A7.
Analysis of variance 1 of total soil concentrations (mg kg−1) for different elements, in July 2016 and according to fertilization treatments at sowing without topdressing (Fsow0).
Table A7.
Analysis of variance 1 of total soil concentrations (mg kg−1) for different elements, in July 2016 and according to fertilization treatments at sowing without topdressing (Fsow0).
Ca | Mg | K | P | ||||||
---|---|---|---|---|---|---|---|---|---|
Source | df | SS | p | SS | p | SS | p | SS | p |
Fsow0 | 4 | 395,946,284.3 | 0.0955 | 398,617.393 | 0.5899 | 414,251.395 | 0.8295 | 925,946.550 | 0.0031 |
Blocks | 2 | 114,410,999.8 | 0.2497 | 829,723.941 | 0.1016 | 529,747.706 | 0.4353 | 32,392.692 | 0.5170 |
Error | 8 | 275,960,543.3 | - | 1,075,764.660 | - | 2,291,740.532 | - | 180,626.017 | - |
Total | 14 | 786,317,827.4 | - | 2,304,105.995 | - | 3,235,739.633 | - | 1,138,965.259 | - |
1 df = degrees of freedom; SS = sum of squares.

Table A8.
Analysis of variance 1 of total soil concentrations (mg kg−1) for different elements in July 2016 and according to fertilization treatments at sowing without topdressing (Fsow0).
Table A8.
Analysis of variance 1 of total soil concentrations (mg kg−1) for different elements in July 2016 and according to fertilization treatments at sowing without topdressing (Fsow0).
Fe | Cd | Co | Cr | Cu | |||||||
---|---|---|---|---|---|---|---|---|---|---|---|
Source | df | SS | p | SS | p | SS | p | SS | p | SS | p |
Fsow0 | 4 | 9,668,282.6 | 0.3039 | 0.009 | 0.0651 | 0.687 | 0.4826 | 13.140 | 0.3113 | 136.111 | 0.1068 |
Blocks | 2 | 6,175,735.2 | 0.2190 | 0.0002 | 0.8791 | 0.412 | 0.3661 | 4.139 | 0.4462 | 119.580 | 0.0432 |
Error | 8 | 13,371,510.1 | - | 0.005 | - | 1.443 | - | 18.513 | - | 100.205 | |
Total | 14 | 29,215,527.9 | - | 0.015 | - | 2.542 | - | 35.792 | - | 355.896 |
1 df = degrees of freedom; SS = sum of squares.

Table A9.
Analysis of variance 1 of total soil concentrations (mg kg−1) for different elements in July 2016 and according to fertilization treatments at sowing without topdressing (Fsow0).
Table A9.
Analysis of variance 1 of total soil concentrations (mg kg−1) for different elements in July 2016 and according to fertilization treatments at sowing without topdressing (Fsow0).
Mn | Ni | Pb | Na | Zn | |||||||
---|---|---|---|---|---|---|---|---|---|---|---|
Source | df | SS | p | SS | p | SS | p | SS | p | SS | p |
Fsow0 | 4 | 1615.466 | 0.9361 | 14.237 | 0.3226 | 14.006 | 0.1042 | 11,141.464 | 0.5500 | 1056.528 | 0.0715 |
Blocks | 2 | 3127.839 | 0.0062 | 62.479 | 0.0038 | 0.136 | 0.9484 | 16,014.344 | 0.1582 | 1541.0599 | 0.0075 |
Error | 8 | 6965.033 | - | 20.626 | - | 10.184 | - | 27,348.906 | - | 643.077 | |
Total | 14 | 11,708.338 | - | 97.342 | - | 24.326 | - | 54,504.714 | - | 3240.665 |
1 df = degrees of freedom; SS = sum of squares.
References
- European Commission. The European Green Deal. Available online: https://eur-lex.europa.eu/legal-content/EN/TXT/?uri=CELEX%3A52019DC0640 (accessed on 18 June 2024).
- European Commission. A Farm to Fork Strategy for a Fair, Healthy and Environmentally-Friendly Food System. Available online: https://eur-lex.europa.eu/legal-content/EN/TXT/?uri=CELEX%3A52020DC0381 (accessed on 18 June 2024).
- European Union. Council Directive of 12 December 1991 Concerning the Protection of Waters against Pollution Caused by Nitrates from Agricultural Sources (91/676/EEC). Available online: http://data.europa.eu/eli/dir/1991/676/2008-12-11 (accessed on 18 June 2024).
- Generalitat de Catalunya. ACORD GOV/128/2009, de 28 de Juliol, de Revisió i Designació de Noves Zones Vulnerables en Relació amb la Contaminació per Nitrats Procedents de Fonts Agràries. Available online: https://portaljuridic.gencat.cat/ca/document-del-pjur/?documentId=479751# (accessed on 18 June 2024).
- Lampurlanés, J.; Plaza-Bonilla, D.; Álvaro-Fuentes, J.; Cantero-Martínez, C. Long-term analysis of soil water conservation and crop yield under different tillage systems in Mediterranean rainfed conditions. Field Crop. Res 2016, 189, 59–67. [Google Scholar] [CrossRef]
- Bosch-Serra, A.D.; Ortiz, C.; Molina, M.G.; Shakoor, A.; Parra-Huertas, B. Crop diversification and fertilization strategies in a rainfed system with drought periods. Agriculture 2024, 14, 1113. [Google Scholar] [CrossRef]
- Areas, Crop Yields and Productions of Agricultural Crops. Catalonia 2015–2022. Available online: http://agricultura.gencat.cat/ca/departament/estadistiques/agricultura/estadistiques-definitives-conreus/ (accessed on 18 June 2024).
- Informe de Sostenibilitat Ambiental del Programa D’actuació a les Zones Vulnerables en Relació amb la Contaminació per Nitrats que Procedeixen de Fonts Agràries. Available online: http://agricultura.gencat.cat/ca/detalls/Article/2017_08_DecretdejeccionsRamaderes (accessed on 18 June 2024).
- Land Use in Catalonia. Available online: https://www.idescat.cat/indicadors/?id=aec&n=15403 (accessed on 18 June 2024).
- Real Decreto 1051/2022, de 27 de Diciembre, por el que se Establecen Normas Para la Nutrición Sostenible en los Suelos Agrarios. Available online: https://www.boe.es/eli/es/rd/2022/12/27/1051 (accessed on 18 June 2024).
- Asociación Nacional de Fabricantes de Fertilizantes. Consumo de fertilizantes en España por Comunidades Autónomas. Available online: http://www.anffe.com/informaci%F3n%20sectorial/evoluci%F3n%20del%20consumo/index.html (accessed on 18 June 2024).
- Shepherd, M.A.; Harrison, R. Managing organic manures—Is the closed nitrogen cycle achievable? Asp. Appl. Biol. 2000, 62, 119–124. [Google Scholar]
- Bosch-Serra, A.D.; Ortiz, C.; Yagüe, M.R.; Boixadera, J. Strategies to optimize nitrogen efficiency when fertilizing with pig slurries in dryland agricultural systems. Eur. J. Agron. 2015, 67, 27–36. [Google Scholar] [CrossRef]
- Webb, J.; Sørensen, P.; Velthof, G.L.; Amon, B.; Pinto, M.; Rodhe, L.; Salomon, E.; Hutchings, N.; Burczyk, J.; Reid, J.E. Study on Variation of Manure N Efficiency throughout Europe; AEA Technology plc: Didcot, UK, 2010; Available online: https://op.europa.eu/en/publication-detail/-/publication/0df506b1-c2df-4561-98e3-7f86a82a35e8 (accessed on 18 June 2024).
- Zhao, Z.; Yang, Y.; Xie, H.; Zhang, Y.; He, H.; Zhang, X.; Sun, S. Enhancing sustainable agriculture in China: A meta-analysis of the impact of straw and manure on crop yield and soil fertility. Agriculture 2024, 14, 480. [Google Scholar] [CrossRef]
- European Commission. Recommendations to the Member States as Regards Their Strategic Plan for the Common Agricultural Policy. Available online: https://eur-lex.europa.eu/legal-content/EN/TXT/?uri=CELEX%3A52020SC0374 (accessed on 18 June 2024).
- Poeplau, C.; Don, A.; Six, J.; Kaiser, M.; Benbi, D.; Chenu, C.; Cotrufo, M.F.; Derrien, D.; Gioacchini, P.; Grand, S.; et al. Isolating organic carbon fractions with varying turnover rates in temperate agricultural soils—A comprehensive method comparison. Soil Biol. Biochem. 2018, 125, 10–26. [Google Scholar] [CrossRef]
- Omirou, M.; Fasoula, D.; Stylianou, M.; Zorpas, A.A.; Ioannides, I.M. N-Source Determines Barley Productivity, Nutrient Accumulation, and Grain Quality in Cyprus Rainfed Agricultural Systems. Int. J. Environ. Res. Public Health 2023, 20, 3943. [Google Scholar] [CrossRef] [PubMed]
- Soil Survey Staff. Keys to Soil Taxonomy; USDA-Natural Resources Conservation Service: Washington, DC, USA, 2014. [Google Scholar]
- MAPA. Caracterización Agroclimática de la Provincia de Lérida; Ministerio de Agricultura, Pesca y Alimentación: Madrid, Spain, 1989. [Google Scholar]
- Allen, R.G.; Pereira, L.S.; Raes, D.; Smith, M. Crop evapotranspiration: Guidelines for computing crop water requirements. FAO Irrig. Drain. Pap. 1998, 56, 60–64. [Google Scholar]
- APHA. Nitrogen (ammonia): 4500-NH3B, preliminary distillation step, and 4500-NH3C, titrimetric method. In Standard Methods for the Examination of Water and Wastewater; Rice, E.W., Bridgewater, L., Eds.; American Public Health Association: Washington, DC, USA; American Water Works Association: Denver, CO, USA; Water Environment Federation: Washington, DC, USA, 2012; pp. 4-110–4-111. [Google Scholar]
- Kovar, J.L. Unit III. 6. Methods of determination of P, K, Ca, Mg and trace elements. In Recommended Methods of Manure Analysis; Peters, J., Ed.; University of Wisconsin-Madison: Madison, WI, USA, 2003; pp. 39–47. [Google Scholar]
- Zadoks, J.C.; Chang, T.T.; Konzak, C.F. A decimal code for the growth stages of cereals. Weed Res. 1974, 14, 415–421. [Google Scholar] [CrossRef]
- UNE-EN 16179; Lodos, Residuos Biológicos Tratados y Suelo. Orientaciones para el Pretratamiento de las Muestras. Asociación Española de Normalización y Certificación: Madrid, Spain, 2013.
- Walkley, A.; Black, I.A. An examination of the Degtjareff method for determining soil organic matter, and a proposed modification of the chromic acid titration method. Soil Sci. 1934, 37, 29–38. [Google Scholar] [CrossRef]
- NF X 31-516; Qualité du sol Fractionnement Granulo-Densimétrique des Matières Organiques Particulaires du sol dans L’eau. Association Française de Normalisation: La Plaine Saint-Denis, France, 2007.
- Hendershot, W.H.; Lalande, H.; Duquette, M. Ion exchange and exchangeable cations. In Soil Sampling and Methods of Analysis, 2nd ed.; Carter, M.R., Gregorich, E.G., Eds.; Canadian Society of Soil Science: Vancouver, BC, Canada; CRC Press and Taylor and Francis Group: Boca Raton, FL, USA, 2008; pp. 197–206. [Google Scholar]
- Pansu, M.; Gautheyrou, J. Chapter 29. Phosphorus. In Handbook of Soil Analysis. Mineralogical, Organic and Inorganic Methods; Pansu, M., Gautheyrou, J., Eds.; Springer: Dordrecht, The Netherlands, 2003; p. 809. [Google Scholar]
- Baker, D.E.; Amacher, M.C. Nickel, copper, zinc and cadmium. In Methods of Soil Analysis: Part 2, Chemical and Microbiological Properties, 2nd ed.; Page, A.L., Ed.; ASA, SSSA: Madison, WI, USA, 1982; pp. 323–336. [Google Scholar]
- UNE-EN ISO 54321; Soil, Treated Biowaste, Sludge and Waste—Digestion of aqua Regia Soluble Fractions of Elements. Asociación Española de Normalización y Certificación: Madrid, Spain, 2021.
- UNE-EN 16171; Sludge, Treated Biowaste and Soil—Determination of Elements Using Inductively Coupled Plasma Mass Spectrometry (ICP-MS). Asociación Española de Normalización y Certificación: Madrid, Spain, 2016.
- SAS Institute. Statistical Analysis System, SAS/TAT Software, V 9.4; SAS Institute Inc: Cary, NC, USA, 2014. [Google Scholar]
- Akaike, H. A new look at the statistical model identification. IEEE Trans. Autom. Control 1974, 19, 716–723. [Google Scholar] [CrossRef]
- Blum, A. Improving wheat grain filling under stress by stem reserve mobilisation. Euphytica 1998, 100, 77–83. [Google Scholar] [CrossRef]
- Ryan, J.; Ibrikci, H.; Sommer, R.; McNeill, A. Chapter 2: Nitrogen in rainfed and irrigated cropping systems in the Mediterranean region. Adv. Agron. 2009, 104, 53–136. [Google Scholar] [CrossRef]
- Sadras, V.O.; McDonald, G. Water Use Efficiency of Grain Crops in Australia: Principles, Benchmarks and Management; Australian Government, Grains Research & Development Corporation: Adelaide, Australia, 2011. [Google Scholar]
- Zhan, N.; Xu, K.; Ji, G.; Yan, G.; Chen, B.; Wu, X.; Cai, G. Research progress in high-efficiency utilization of nitrogen in rapeseed. Int. J. Mol. Sci. 2023, 24, 7752. [Google Scholar] [CrossRef] [PubMed]
- Shakoor, A.; Bosch-Serra, À.D.; Lidon, A.; Ginestar, D.; Boixadera, J. Soil nitrogen dynamics in fallow periods in a rainfed semiarid Mediterranean system. Pedosphere 2022, 32, 622–637. [Google Scholar] [CrossRef]
- Fan, J.; Hao, M.; Malhi, S.S. Accumulation of nitrate N in the soil profile and its implications for the environment under dryland agriculture in northern China: A review. Can. J. Soil Sci. 2010, 90, 429–440. [Google Scholar] [CrossRef]
- Yagüe, M.R.; Valdez, A.S.; Bosch-Serra, À.D.; Ortiz, C.; Castellví, F. A short-term study to compare field strategies for ammonia emission mitigation. J. Environ. Qual. 2019, 48, 179–184. [Google Scholar] [CrossRef] [PubMed]
- Fox, R.J.; Fisher, T.R.; Gustafson, A.B.; Jordan, T.E.; Kana, T.M.; Lang, M.W. Searching for the missing nitrogen: Biogenic nitrogen gases in groundwater and streams. J. Agric. Sci. 2014, 152, 96–106. [Google Scholar] [CrossRef]
- Holland, E.A.; Braswell, B.H.; Sulzman, J.; Lamarque, J.F. Nitrogen deposition onto the United States and Western Europe: Synthesis of observations and models. Ecol. Appl. 2005, 15, 38–57. [Google Scholar] [CrossRef]
- Liu, X.; Ju, X.; Zhang, Y.; He, C.; Kopsch, J.; Fusuo, Z. Nitrogen deposition in agroecosystems in the Beijing area. Agric. Ecosyst. Environ. 2006, 113, 370–377. [Google Scholar] [CrossRef]
- Robertson, G.P.; Vitousek, P.M. Nitrogen in agriculture: Balancing the cost of an essential resource. Annu. Rev. Environ. Resour. 2009, 34, 97–125. [Google Scholar] [CrossRef]
- Abd-Elmabod, S.K.; Muñoz-Rojas, M.; Jordán, A.; Anaya-Romero, M.; Phillips, J.D.; Jones, L.; Zhang, Z.; Pereira, P.; Fleskens, L.; van der Ploeg, M.; et al. Climate change impacts on agricultural suitability and yield reduction in a Mediterranean region. Geoderma 2020, 374, 114453. [Google Scholar] [CrossRef]
- Marcos-Garcia, P.; Lopez-Nicolas, A.; Pulido-Velazquez, M. Combined use of relative drought indices to analyze climate change impact on meteorological and hydrological droughts in a Mediterranean basin. J. Hydrol. 2017, 554, 292–305. [Google Scholar] [CrossRef]
- García-Serrano, P.; Ruano, S.; Lucena, J.J.; Nogales, M. Guía Práctica de la Fertilización Racional de los Cultivos en España; Ministerio de Medio Ambiente y Medio Rural y Marino: Madrid, Spain, 2010; Volume I, Available online: https://www.mapa.gob.es/es/agricultura/publicaciones/Publicaciones-fertilizantes.aspx (accessed on 18 June 2024).
- Blum, W.E.H. Soil and land resources for agricultural production: General trends and future scenarios—A worldwide perspective. Int. Soil Water Conserv. Res. 2013, 1, 1–14. [Google Scholar] [CrossRef]
- Rumpel, C.; Amiraslani, F.; Chenu, C.; Garcia Cardenas, M.; Kaonga, M.; Koutika, L.-S.; Ladha, J.; Madari, B.; Shirato, Y.; Smith, P.; et al. The 4p1000 initiative: Opportunities, limitations and challenges for implementing soil organic carbon sequestration as a sustainable development strategy. Ambio 2020, 49, 350–360. [Google Scholar] [CrossRef] [PubMed]
- Jiménez-de-Santiago, D.E.; Almendros, G.; Bosch-Serra, À.D. Structural changes in humic substances after long-term fertilization of a calcareous soil with pig slurries. Soil Use Manag. 2022, 39, 1351–1363. [Google Scholar] [CrossRef]
- Cossani, C.M.; Slafer, G.A.; Savin, R. Do barley and wheat (bread and durum) differ in grain weight stability through seasons and water–nitrogen treatments in a Mediterranean location? Field Crop. Res 2011, 121, 240–247. [Google Scholar] [CrossRef]
- Porter, M.J.; Pan, W.L.; Schillinger, W.F.; Madsen, I.J.; Sowers, K.E.; Tao, H. Winter canola response to soil and fertilizer nitrogen in semiarid Mediterranean conditions. Agron. J. 2020, 112, 801–814. [Google Scholar] [CrossRef]
- Plaza-Bonilla, D.; Lampurlanés, J.; Fernández, F.G.; Cantero-Martínez, C. Nitrogen fertilization strategies for improved Mediterranean rainfed wheat and barley performance and water and nitrogen use efficiency. Eur. J. Agron. 2021, 124, 126238. [Google Scholar] [CrossRef]
- Huang, B. Role of root morphological and physiological characteristics in drought resistance of plants. In Plant-Environment Interactions; Wilkinson, E., Ed.; CRC Press: Boca Raton, FL, USA, 2000; pp. 39–64. [Google Scholar] [CrossRef]
- Villar, N.; Aranguren, M.; Castellón, A.; Besga, G.; Aizpurua, A. Soil nitrogen dynamics during an oilseed rape (Brassica napus L.) growing cycle in a humid Mediterranean climate. Sci. Rep. 2019, 9, 13864. [Google Scholar] [CrossRef]
- Ortiz, C.; Pierotti, S.; Molina, M.G.; Bosch-Serra, À.D. Soil fertility and phosphorus leaching in irrigated calcareous soils of the Mediterranean region. Environ. Monit. Assess. 2023, 195, 1376. [Google Scholar] [CrossRef] [PubMed]
- Zaragüeta, A.; Enrique, A.; Virto, I.; Antón, R.; Urmeneta, H.; Orcaray, L. Effect of the long-term application of sewage sludge to a calcareous soil on its total and bioavailable content in trace elements, and their transfer to crop. Minerals 2021, 11, 356. [Google Scholar] [CrossRef]
Disclaimer/Publisher’s Note: The statements, opinions and data contained in all publications are solely those of the individual author(s) and contributor(s) and not of MDPI and/or the editor(s). MDPI and/or the editor(s) disclaim responsibility for any injury to people or property resulting from any ideas, methods, instructions or products referred to in the content. |
© 2024 by the authors. Licensee MDPI, Basel, Switzerland. This article is an open access article distributed under the terms and conditions of the Creative Commons Attribution (CC BY) license (https://creativecommons.org/licenses/by/4.0/).