Effects of Harvest Date and Ensiling Additives on the Optimized Ensiling of Silphium Perfoliatum to Prevent Faulty Fermentation
Abstract
1. Introduction
2. Materials and Methods
2.1. Silage Additives
2.2. Sampling
2.3. Preparation of Treatments
2.4. Determination of the Biogas Potential
2.5. Analytic Parameters
2.6. Characterization of Silage According to DLG-Key 2006
3. Results and Discussion
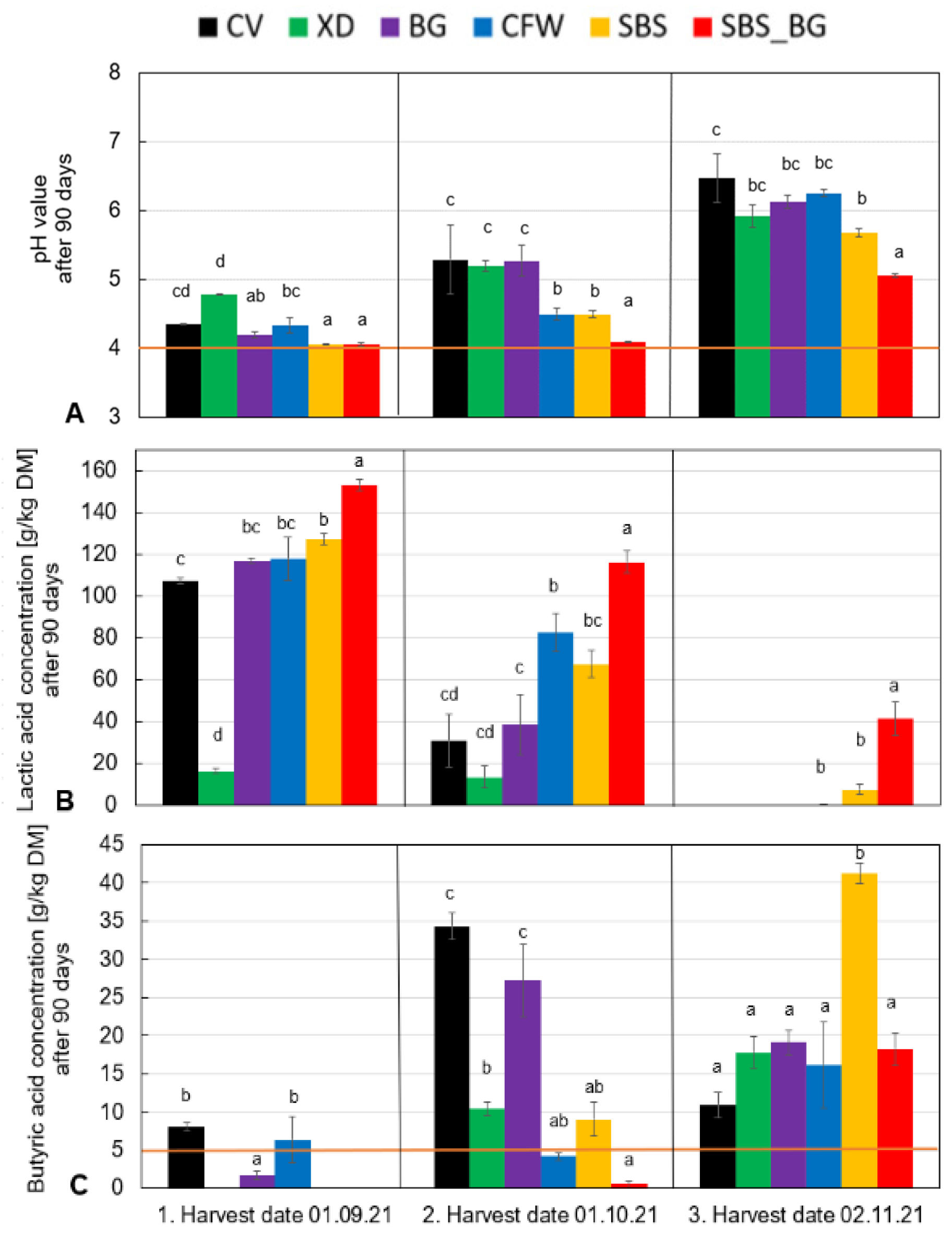
3.1. Acidity and Content Analysis of Silage Samples from the First Harvest Date (01.09.21)
3.2. Acidity and Content Analysis of Silage Samples of the Second Harvest Date (01.10.21)
3.3. Acidity and Content Analysis of Silage Samples of the Third Harvest Date (02.11.21)
3.4. Acidity and Content Analysis of Silage Samples from Different Harvest Dates
3.5. Methane Yield from Cup Plants at the Different Harvest Dates
4. Conclusions
- Sugar content and lactic acid bacteria content are crucial for optimal ensiling
- Harvesting of the cup plant at maximum sugar content
- The addition of ensiling aids and syrup has a positive effect on ensiling
Author Contributions
Funding
Institutional Review Board Statement
Data Availability Statement
Acknowledgments
Conflicts of Interest
References
- FNR. Basisdaten Bioenergie Deutschland 2020. 2021. Available online: https://www.fnr.de/fileadmin/Projekte/2020/Mediathek/broschuere_basisdaten_bioenergie_2020_web.pdf (accessed on 9 September 2021).
- Standford, G. Silphium Perfoliatum (cup-plant) as a new forage. In Recapturing a Vanishing Heritage, Proceedings of the 12th North American Prairie Conference, Cedar Falls, IA, USA, 5–9 August 1990; Smith, D.D., Jacobs, C.A., Eds.; University of Northern Iowa: Cedar Falls, IA, USA, 1992; pp. 33–38. [Google Scholar]
- Penskar, M.R.; Crispin, S.R. Special plant abstract for Silphium perfoliatum (cup plant). In Michigan Natural Features Inventory; Penskar: Lansing, MI, USA, 2010; p. 3. [Google Scholar]
- Ende, L.M.; Lauerer, M. Spreading of the cup plant (Silphium perfoliatum) in northern Bavaria (Germany) from bioenergy crops. NeoBiota 2022, 79, 87–105. [Google Scholar] [CrossRef]
- Biertümpel, A. Broschüre: Anbautelegramm Durchwachsende Silphie (Silphium perfoliatum L.); Thüringer Landesanstalt für Landwirtschaft: Jena, Germany, 2011. [Google Scholar]
- Dandikas, V.; Herrmann, C.; Hülsemann, B.; Jacobi, H.F.; Krakat, N.; Meißauer, G.; Merrettig-Bruns, U.; Oechsner, H.; Ohl, S.; Paterson, M.; et al. Gasausbeute in landwirtschaftlichen Biogasanlagen: Potenziale, Erträge, Einflussfaktoren; KTBL: Darmstadt, Germany, 2021. [Google Scholar]
- Outnature: Entwickeln und Vertreiben Innovative Faser- und Papierprodukte auf Basis der Donau-Silphie. 2020. Available online: https://out-nature.de/?gclid=EAIaIQobChMIk8aQycHp-gIV_ICDBx18_g4iEAAYASAAEgJ09fD_BwE (accessed on 9 September 2021).
- Pohl, M.; Barchmann, T.; Liebetrau, J.; Hülsemann, B.; Oechsner, H.; Zhou, L.; Nägele, H.-J.; Mächtig, T.; Moschner, C.; Kliche, R.; et al. Biogas-Messprogramm III; Fachagentur Nachwachsende Rohstoffe: Gülzow, Germany, 2021. [Google Scholar]
- Nussbaum, H. Fahrsilo Praxishandbuch Futter- und Substratkonservierung, 8th ed.; DLG-Verlag: Frankfurt, Germany, 2011. [Google Scholar]
- Futterkonservierung, B. Praxishandbuch Futter- und Substratkonservierung; Gerighausen, H.-G., Ed.; DLG-Verlag: Frankfurt, Germany, 2011. [Google Scholar]
- Galler, J. Silagebereitung von A bis Z Grundlagen—Siliersysteme—Kenngrößen; von Josef Galler, P., Ed.; Landwirtschaftskammer Salzburg: Salzburg, Austria, 2011. [Google Scholar]
- Kaiser, E. Beurteilung der Gärqualtität. In Praxishandbuch Futterkonservierung, 7th ed.; Futterkonservierung, B., Ed.; DLG-Verlag: Frankfurt am Main, Germany, 2006; pp. 42–49. [Google Scholar]
- Auerbach, H.; Eise, M.; Hng, K.; Ler, C.; Nußbaum, H.; Ostertag, J.; Pahlow, G.; Pauly, T.; Rahn, S.; Richter, W.; et al. DLF Testing Guidelines for the Award and Use of the DLG Quality Mark for Ensiling Agents. DLG TestService GmbH: Groß-Umstadt, Germany. Available online: https://www.dlg.org/de/landwirtschaft/themen/tierhaltung/futtermittelnet/fachinfos-futterkonservierung (accessed on 3 December 2022).
- Pahlow, G.; Muck, R.E.; Driehuis, F.; Oude-Elferink, S.J.; Spoelstra, S.F. Microbiology of Ensiling. In Silage Science and Technology; American Society of Agronomy: Madison, WI, USA, 2003; Volume 42, pp. 31–94. [Google Scholar]
- McDonald, P.; Henderson, A.R.; Heron, S.J.E. Herson Biochemistry of silage, 2nd ed.; Chalcombe Publications: Marlow, UK, 1991. [Google Scholar]
- Gross, F.; Riebe, K. Gärfutter—Betriebswirtschaft, Erzeugung, Verfütterung, 1st ed.; Verlag Eugen Ulmer: Stuttgart, Germany, 1974. [Google Scholar]
- Schaumann BioEnergy GmbH. Siliermittel Energy XD. Available online: https://www.schaumann-bioenergy.eu/de/konservierung-silierung-2176.htm?productID=5ecfa45bd3bf2127a45216b8 (accessed on 9 September 2021).
- Schaumann BioEnergy GmbH. Siliermittel Energy BG. Available online: https://www.schaumann-bioenergy.eu/de/konservierung-silierung-2176.htm?productID=5ecfa5c8d3bf2127a45216bc (accessed on 9 September 2022).
- B&K B&K AgrarGas GmbH Weinbergfeld 7 D-91463 Siliermittel Cow-Fresh-Wet Dietersheim-Oberrossbach. Available online: https://bk-agrargas.shop/collections/siliermittel-milchvieh/products/cow-fresh-wet (accessed on 9 September 2022).
- Goldsaft—Zuckerrübensirup Grafschafter Krautfabrik Josef Schmitz KG Wormersdorfer Str. 22–26, D-53340 Meckenheim. Available online: https://www.grafschafter.de/produkte/goldsaft/grafschafter-goldsaft (accessed on 9 September 2022).
- Agrarmeteorologie Baden-Wemberg: Wetterstation Unterer Lindenhof. Available online: https://www.wetter-bw.de/Internet/AM/NotesBwAM.nsf/bwweb/7b6dc2ff140f6662c1257db2002d5120?OpenDocument&TableRow=3.1.3,3.6#3.1 (accessed on 12 September 2021).
- VDI-Fachbereich Energietechnik. Fermentation of Organic Materials—Characterisation of the Substrate, Sampling, Collection of Material Data, Fermentation Tests, VDI 4630; VDI-Gesellschaft Energie und Umwelt: Düsseldorf, Germany, 2016. [Google Scholar]
- Helffrich, D.; Oechsner, H. Hohenheimer Biogasertragstest. Landtechnik 2003, 58, 148–149. [Google Scholar] [CrossRef]
- Hülsemann, B.; Zhou, L.; Merkle, W.; Hassa, J.; Müller, J.; Oechsner, H. Biomethane Potential Test: Influence of Inoculum and the Digestion System. Appl. Sci. 2020, 10, 2589. [Google Scholar] [CrossRef]
- DIN EN 12879:2001-02; Characterization of Sludges—Determination of the Loss on Ignition of Dry Mass. German Institute for Standardization: Berlin, Germany, 2001.
- DIN EN 12880:2001-02; Characterization of Sludges—Determination of Dry Residue and Water Content. German Institute for Standardization: Berlin, Germany, 2001.
- Weißbach, F. On Assessing the Gas Production Potential of Renewable Primary Products. Landtechnik 2008, 63, 356–358. [Google Scholar]
- Weißbach, F. Degree of utilization of primary renewable products in biogas production. Landtechnik 2009, 64, 18–21. [Google Scholar]
- Kaiser, E.; Weiss, K. Nitratgehalte im Grünfutter—Bedeutung für Gärqualität und siliertechnische Maßnahmen. Ubers. Zur Tierernährung 2007, 35, 13–30. [Google Scholar]
- Kaiser, E.; Weiß, K.; Nussbaum, H.; Kalzendorf, C.; Pahlow, G.; Schenkel, H.; Schwarz, F.J.; Spiekers, H.; Staudacher, W.; Thaysen, J. Grobfutterbewertung. In Teil B—DLG-Schlüssel Zur Beurteilung Der Gärqualität von Grünfuttersilagen Auf Basis Der Chemischen Untersuchung; DLG-Information—Ausschuss für Futtermittelkonservierung: Frankfurt, Germany, 2006. [Google Scholar]
- Köhler, B.; Diepolder, M.; Ostertag, J. Dry matter losses of grass, lucerne and maize silage in bunker silos. Agric. Food Sci. 2013, 22, 145–150. [Google Scholar] [CrossRef]
- Hansen, M. Grassilage/Wichtigstes Grundfutter in der Rindviehhaltung. In Grünlandtag Erpeldingen; Lycée Technique Agricole: Ettelbruck, Luxembourg, 2002. [Google Scholar]
- Namann, K.; Bassler, R. Methodenbuch Band III. Die chemische Analyse von Futtermitteln; Verl. J. Neumann-Neudamm: Melsungen, Berlin, Germany, 1976. [Google Scholar]






| Description | Date | Harvest Criterion Inflorescence |
|---|---|---|
| 1. Harvest date | 01.09.21 | 2/3 withered |
| 2. Harvest date | 01.10.21 | Completely withered |
| 3. Harvest date | 02.11.21 | Latest possible harvest |
| DM g kg−1 FM | oDM g kg−1 FM | Yield tDM/ha | XA g kg−1 DM | XP g kg−1 DM | XL g kg−1 DM | XF g kg−1 DM | NDF g kg−1 DM | ADF g kg−1 DM | |
|---|---|---|---|---|---|---|---|---|---|
| 1. Harvest date | 193 | 883 | 15 | 77.6 | 57.5 | 22.4 | 318.5 | 519.5 | 395.8 |
| 2. Harvest date | 246 | 870 | 14.4 | 75.8 | 52.5 | 24.2 | 342.4 | 521.9 | 414.3 |
| 3. Harvest date | 316 | 880 | 7.8 | 83.1 | 37.1 | 16.0 | 420.8 | 462.3 | 511.2 |
| Code 1. Harvest Date | Code 2. Harvest Date | Code 3. Harvest Date | Treatments Dosage According to the Manufacturer’s Instructions | |
|---|---|---|---|---|
| 1: Control Variant | 1CV | 2CV | 3CV | ensiling without additives |
| 2: Silasil.Energy. XD | 1XD | 2XD | 3XD | 0.2 g per 100 kg of substrate |
| 3: Silasil.Energy. BG | 1BG | 2BG | 3BG | 0.1 g per 100 kg of substrate |
| 4: Cow-Fresh-Wet | 1CFW | 2CFW | 3CFW | 0.2 g per 100 kg of substrate |
| 5: Sugar beet syrup | 1SBS | 2SBS | 3SBS | 3.0 kg per 100 kg of substrate |
| 6: Sugar beet syrup + Silasil.Energy. BG | 1SBS_BG | 2SBS_BG | 3SBS_BG | 3.0 kg per 100 kg of substrate + 0.2 g per 100 kg of substrate |
| Application range for silage ≤ 30 % DM | ||
| Score (S) for butyric acid (x) | S = −29,985 Ln (x) + 53,982 | (Point limited to S = 0 to 90) |
| Score (S) for acetic acid (x) | S = −59,158 Ln (x) + 63,256 | (Point limited to S = 0 to 70) |
| Score (S) for pH value (x) | up to pH 4.0 | 10 points |
| >pH 4.0–4.6 | S = 10 − 25 (x − 4.0) | |
| >pH 4.6 | −5 points | |
| 1CV | 1XD | 1BG | 1CFW | 1SBS | 1SBS_BG | ||
|---|---|---|---|---|---|---|---|
| Ensiling time | days | 90 | 90 | 90 | 90 | 90 | 90 |
| Dry matter substance | g/kgFM | 191.1 ± 0.17 | 195.9 ± 0.34 | 196.1 ± 0.15 | 208.4 ± 0.46 | 205.8 ± 0.17 | 208.5 ± 0.31 |
| org. Dry matter substance | g/kgDM | 897.0 ± 0.20 | 898.4 ± 0.32 | 898.1 ± 0.16 | 891.9 ± 0.54 | 905.1 ± 0.1 | 897.8 ± 0.18 |
| Ash content | g/kgFM | 106.9 ± 0.20 | 108.5 ± 0.32 | 105.5 ± 0.16 | 112.4 ± 0.54 | 98.3 ± 0.1 | 105.9 ± 0.18 |
| Spez. Methane yield | LCH4kgoDM−1 | 276 ± 11.07 b | 270 ± 1.86 b | 257 ± 8.35 b | 271 ± 7.32 b | 275 ± 18.18 b | 312 ± 8.07 a |
| Spez. Methane yield | LCH4kgFM−1 | 47 | 48 | 45 | 50 | 51 | 58 |
| Methane content | % | 56 | 59 | 58 | 57 | 55 | 55 |
| pH value | g/kgDM | 4.35 ± 0.01 cd | 4.78 ± 0.01 d | 4.19 ± 0.04 ab | 4.33 ± 0.12 bc | 4.06 ± 0.01 a | 4.05 ± 0.02 a |
| Acetic acid | g/kgDM | 17.11 ± 1.69 b | 63.07 ± 325 a | 19.46 ± 0.79 b | 18.53 ± 0.71 b | 22.02 ± 0.62 b | 21.85 ± 0.46 b |
| Propionic acid | g/kgDM | 0.44 ± 0.09 a | 1.24 ± 0.35 b | 0.17 ± 0.03 a | 0.64 ± 0.36 ab | - a | - a |
| n-butyric acid | g/kgDM | 8.03 ± 0.57 b | - a | 1.66 ± 0.57 a | 6.35 ± 3.05 b | - a | - a |
| Ethanol | g/kgDM | 8.72 ± 0.80 a | 16.32 ± 0.56 c | 8.98 ± 0.32 a | 11.40 ± 0.21 b | 9.50 ± 0.24 a | 8.38 ± 0.24 a |
| Lactic acid | g/kgDM | 107.20 ± 1.39 c | 16.46 ± 1.37 d | 116.80 ± 1.10 bc | 118.05 ± 9.35 bc | 127.37 ± 2.76 bc | 153.20 ± 2.52 a |
| Totoal sugar at the beginning of ensiling | g/kgDM | 86.53 ± 9.81 b | 84.89 ± 8.26 b | 73.06 ± 11.36 b | 91.11 ± 1.64 b | 146.80 ± 9.67 a | 161.23 ± 7.13 a |
| DLG rating key | score | 90 | 45 | 95 | 72 | 95 | 95 |
| Fermentation quality | very good | poor | very good | good | very good | very good |
| 2CV | 2XD | 2BG | 2CFW | 2SBS | 2SBS_BG | ||
|---|---|---|---|---|---|---|---|
| Ensiling time | days | 90 | 90 | 90 | 90 | 90 | 90 |
| Dry matter substance | g/kgFM | 223.9 ± 0.39 | 223.6 ± 0.25 | 237.9 ± 0.37 | 227.9 ± 0.11 | 249.2 ± 0.23 | 244.2 ± 0.21 |
| org. Dry matter substance | g/kgDM | 898.2 ± 0.40 | 894.5 ± 0.36 | 887.0 ± 0.34 | 896.7 ± 0.24 | 905.8 ± 0.31 | 899.3 ± 0.08 |
| Ash content | g/kgFM | 106.3 ± 0.40 | 110.5 ± 0.36 | 117.2 ± 0.34 | 106.4 ± 0.24 | 97.1 ± 0.31 | 103.4 ± 0.08 |
| Spez. Methane yield | LCH4kgoDM−1 | 257 ± 4.67 a | 224 ± 4.58 b | 244 ± 1.43 ab | 248 ± 2.46 a | 251 ± 10.82 a | 257 ± 9.23 a |
| Spez. Methane yield | LCH4kgFM−1 | 49 | 45 | 51 | 51 | 56 | 56 |
| Methane content | % | 56 | 58 | 57 | 59 | 56 | 53 |
| pH value | g/kgDM | 5.29 ± 0.50 c | 5.19 ± 0.08 bc | 5.27 ± 0.22 c | 4.49 ± 0.09 bc | 4.49 ± 0.09 ab | 4.09 ± 0.02 a |
| Acetic acid | g/kgDM | 6.83 ± 6.41 a | 31.82 ± 2.02 b | 11.66 ± 2.83 a | 13.84 ± 0.85 a | 14.84 ± 1.48 a | 14.20 ± 0.31 a |
| Propionic acid | g/kgDM | 0.57 ± 0.37 b | 0.77 ± 0.45 ab | 0.49 ± 0.31 ab | 0.13 ± 0.07 ab | 0.11 ± 0.02 a | - a |
| n-butyric acid | g/kgDM | 34.32 ± 1.79 c | 10.36 ± 3.53 b | 27.24 ± 4.79 c | 4.17 ± 2.15 ab | 9.08 ± 1.98 ab | 0.55 ± 0.48 a |
| Ethanol | g/kgDM | 6.30 ± 3.59 a | 10.23 ± 0.25 a | 4.81 ± 0.71 a | 6.98 ± 0.51 a | 6.78 ± 0.25 a | 4.95 ± 0.10 a |
| Lactic acid | g/kgDM | 30.96 ± 12.56 cd | 13.55 ± 5.48 cd | 38.48 ± 14.46 c | 82.59 ± 8.96 b | 67.48 ± 6.48 bc | 116.26 ± 5.32 a |
| Totoal sugar at the beginning of ensiling | g/kgDM | 75.20 ± 5.48 b | 71.14 ± 3.87 b | 68.29 ± 2.92 b | 68.02 ± 2.55 b | 137.70 ± 10.21 a | 156.30 ± 5.48 a |
| DLG rating key | score | 13 | 39 | 13 | 67 | 58 | 95 |
| Fermentation quality | very poor | poor | very poor | satisfactory | satisfactory | very good |
| 3CV | 3XD | 3BG | 3CFW | 3SBS | 3SBS_BG | ||
|---|---|---|---|---|---|---|---|
| Ensiling time | days | 90 | 90 | 90 | 90 | 90 | 90 |
| Dry matter substance | g/kgFM | 280.0 ± 0.48 | 283.3 ± 0.04 | 280.2 ± 0.32 | 308.9 ± 0.25 | 282.2 ± 0.23 | 296.8 ± 0.29 |
| org. Dry matter substance | g/kgDM | 905.7 ± 0.61 | 906.1 ± 0.46 | 903.3 ± 0.16 | 902.1 ± 0.62 | 899.9 ± 0.14 | 898.4 ± 0.30 |
| Ash content | g/kgFM | 97.0 ± 0.61 | 97.2 ± 0.46 | 100.0 ± 0.16 | 100.8 ± 0.62 | 104.6 ± 0.14 | 104.4 ± 0.30 |
| Spez. Methane yield | LCH4kgoDM−1 | 167 ± 1.34 b | 225 ± 20.65 ab | 216 ± 3.82 ab | 213 ± 3.86 ab | 243 ± 6.13 a | 210 ± 31.57 ab |
| Spez. Methane yield | LCH4kgFM−1 | 42 | 58 | 55 | 59 | 62 | 56 |
| Methane content | % | 55 | 55 | 56 | 55 | 56 | 55 |
| pH value | g/kgDM | 6.47 ± 0.50 c | 5.92 ± 0.16 bc | 6.12 ± 0.09 bc | 6.26 ± 0.04 bc | 5.68 ± 0.06 b | 5.05 ± 0.02 a |
| Acetic acid | g/kgDM | 21.88 ± 0.45 a | 20.28 ± 3.91 a | 19.80 ± 1.82 a | 18.85 ± 3.56 a | 1.76 ± 0.15 b | 7.50 ± 0.87 b |
| Propionic acid | g/kgDM | 4.20 ± 0.35 bc | 4.81 ± 0.39 c | 4.17 ± 0.53 bc | 1.09 ± 0.04 bc | 0.77 ± 0.11 a | 0.15 ± 0.02 a |
| n-butyric acid | g/kgDM | 10.93 ± 1.70 a | 17.79 ± 2.09 a | 19.13 ± 1.63 a | 16.17 ± 5.63 a | 41.28 ± 1.37 b | 18.22 ± 2.15 a |
| Ethanol | g/kgDM | 1.85 ± 1.34 a | 2.11 ± 1.04 a | 1.27 ± 0.26 a | 1.74 ± 0.63 a | 9.34 ± 0.90 b | 3.80 ± 0.13 a |
| Lactic acid | g/kgDM | - b | - b | - b | 0.47 ± 0.16 b | 7.70 ± 2.30 b | 41.35 ± 7.87 a |
| Totoal sugar at the beginning of ensiling | g/kgDM | 14.17 ± 2.44 b | 18.99 ± 4.32 b | 13.98 ± 2.45 b | 13.61 ± 3.60 b | 69.25 ± 5.31 a | 60.81 ± 8.35 a |
| DLG rating key | score | 49 | 31 | 22 | 36 | 4 | 31 |
| Fermentation quality | poor | poor | very poor | poor | very poor | poor |
Disclaimer/Publisher’s Note: The statements, opinions and data contained in all publications are solely those of the individual author(s) and contributor(s) and not of MDPI and/or the editor(s). MDPI and/or the editor(s) disclaim responsibility for any injury to people or property resulting from any ideas, methods, instructions or products referred to in the content. |
© 2024 by the authors. Licensee MDPI, Basel, Switzerland. This article is an open access article distributed under the terms and conditions of the Creative Commons Attribution (CC BY) license (https://creativecommons.org/licenses/by/4.0/).
Share and Cite
Baumgart, M.; Hülsemann, B.; Sailer, G.; Oechsner, H.; Müller, J. Effects of Harvest Date and Ensiling Additives on the Optimized Ensiling of Silphium Perfoliatum to Prevent Faulty Fermentation. Agriculture 2024, 14, 1363. https://doi.org/10.3390/agriculture14081363
Baumgart M, Hülsemann B, Sailer G, Oechsner H, Müller J. Effects of Harvest Date and Ensiling Additives on the Optimized Ensiling of Silphium Perfoliatum to Prevent Faulty Fermentation. Agriculture. 2024; 14(8):1363. https://doi.org/10.3390/agriculture14081363
Chicago/Turabian StyleBaumgart, Marian, Benedikt Hülsemann, Gregor Sailer, Hans Oechsner, and Joachim Müller. 2024. "Effects of Harvest Date and Ensiling Additives on the Optimized Ensiling of Silphium Perfoliatum to Prevent Faulty Fermentation" Agriculture 14, no. 8: 1363. https://doi.org/10.3390/agriculture14081363
APA StyleBaumgart, M., Hülsemann, B., Sailer, G., Oechsner, H., & Müller, J. (2024). Effects of Harvest Date and Ensiling Additives on the Optimized Ensiling of Silphium Perfoliatum to Prevent Faulty Fermentation. Agriculture, 14(8), 1363. https://doi.org/10.3390/agriculture14081363

