Spring-Finger Motion Law Analysis and Cam Slide Optimal Design of Spring-Finger Cylinder Peanut Pickup Mechanism
Abstract
1. Introduction
2. Materials and Methods
2.1. Structure and Working Principle
2.2. Analysis Methods
2.2.1. Pickup Area Analysis
2.2.2. Force Analysis of Peanut Plants
- (1)
- Force analysis of shoveling stage
- (2)
- Force analysis of the picking stage
- (3)
- Force analysis of push station
2.3. Design Method
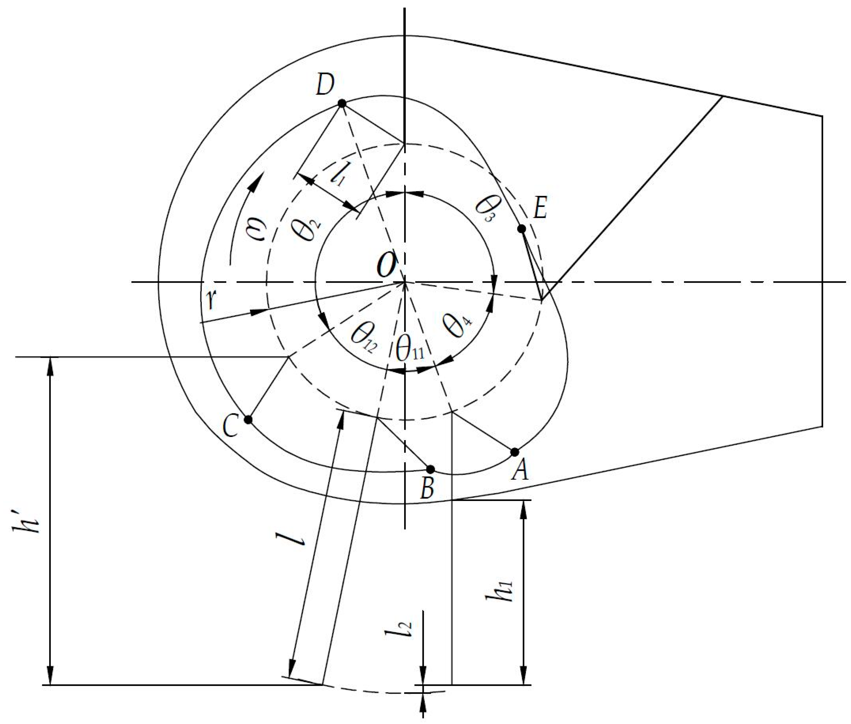
2.3.1. Cam Slide Center Line Design
- (1)
- The Central Line segment of the cam slide is composed of two arcs (shoveling stage) and (pick stage), where the two points A and C denote the start and end points of the pick station, respectively [21];
- (2)
- The shoveling stage is . When the spring-finger rotates clockwise with the cylinder, they gradually swing back after the first swing, and the trajectory of the spring-finger end is a horizontal straight line to reduce the missing picking area formed by two adjacent rows of spring-fingers.
- (3)
- The pick stage is . According to the analysis in Section 2.2.2, the front swing angle of the spring-finger is δ1, and the curve of the spring-finger adopts the quintic polynomial motion law for transition, such that the instantaneous swing acceleration of the spring-finger at the beginning and end of the pick stage is 0, which reduces the impact on peanut plants, avoids accumulation and pod loss, and effectively reduces the pick height on the premise that the radius of the shield remains unchanged.
- (4)
- In the lift station, the center line segment of the cam slide corresponds to the arc . The spring-finger gradually swings back when it is lifted, and the spring-finger is required to extend the longest distance from the shell at the end, which is conducive to pushing the peanut plant backward. Therefore, the motion law based on a quintic polynomial is used for the transition of , and the spring-finger gradually swing back to δ1.
- (5)
- In the push station, the center line segment of the cam slide corresponds to the arc, which requires the spring-finger to gradually shrink into the shell with the rotation of the cylinder, having a backward pushing effect on the peanut plant. In the process, if the angle between the spring-finger and the shell section is too small, the peanut plant is pinched. Therefore, also adopts the curve of the quintic polynomial motion law for transition, such that the spring-finger gradually swings back to δ2. During the pushing process, the swing angle acceleration of the spring-finger gradually increases to the maximum value and then decreases to 0, and the swing angular velocity of the spring-finger end first decreases and then increases. In the late stage of the push station, it is beneficial to push peanut plants such that they slide smoothly along the upper shell.
- (6)
- In the null return station, the center line segment of the cam slide is , requiring the spring-finger to quickly swing forward to vertical downward, and the spring-finger swings to δ0. Therefore, the quintic polynomial motion law was adopted to carry out the transition, such that there was no sudden change in the beginning and end of the swing acceleration at the null return station, which reduced the impact on peanut plants at the initial pick station.
2.3.2. Cam Slide Center Line Phase Angle Design
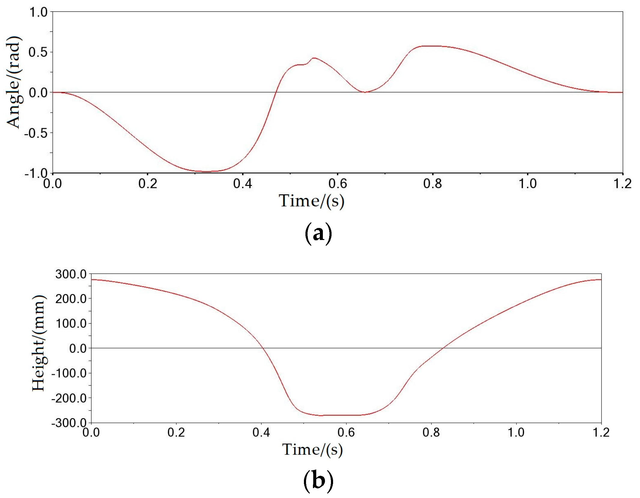
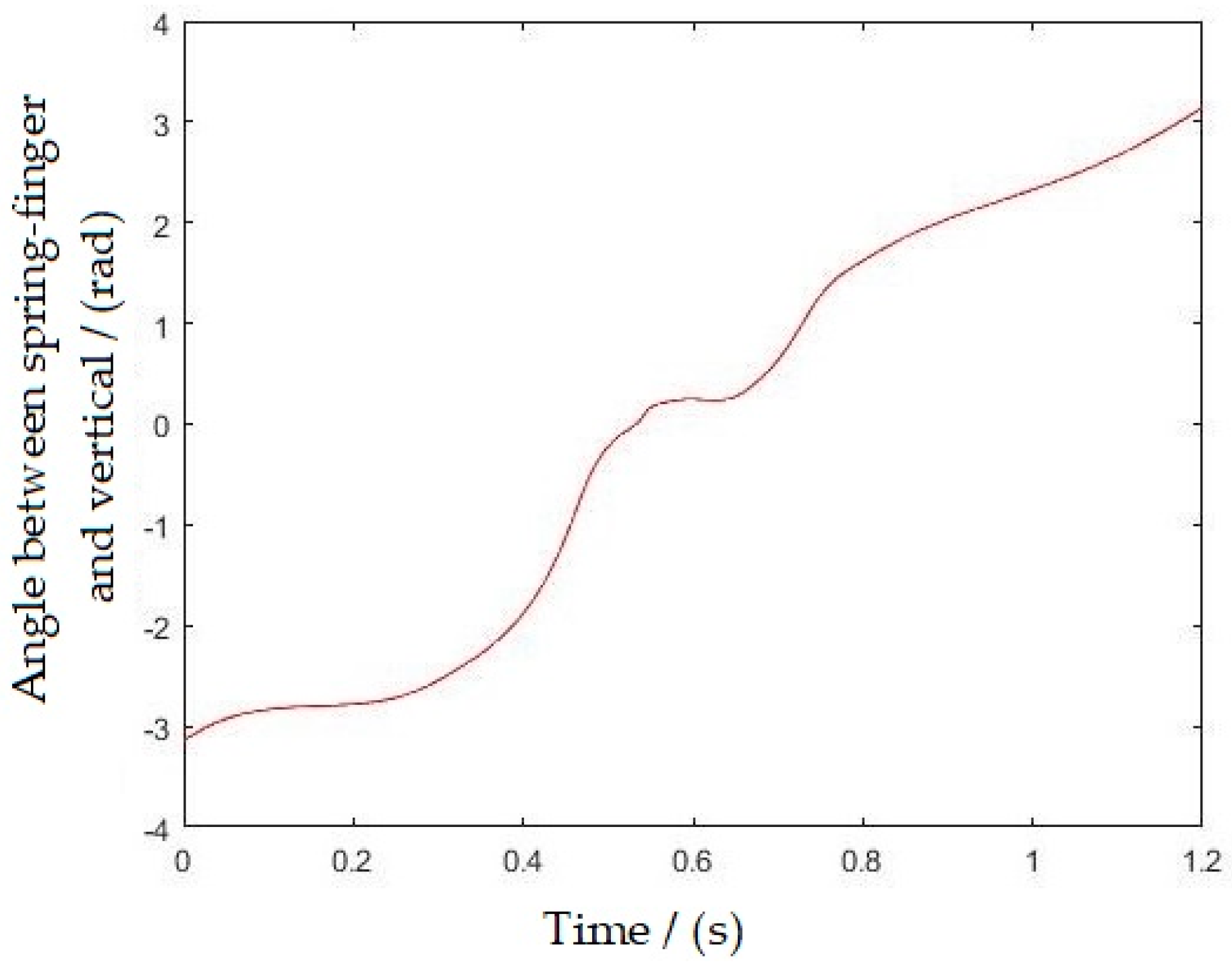
2.4. Simulation Analysis of Pickup Mechanism
2.5. Pickup Area Comparative Analysis
2.6. Analysis of Pickup Parameters
3. Results and Discussion
3.1. Pickup Device Performance Test
3.1.1. Test Materials and Instruments
3.1.2. Box–Behnken Experimental Results and Analysis
- (1)
- Establishment of regression model and significance test
3.1.3. The Impact of Interaction Factors on Performance
- (1)
- Influence of interaction factors on picking rate
- (2)
- Influence of interaction factors on loss rate
3.1.4. Working Parameters Optimization
3.2. Discussion
4. Conclusions
- (1)
- Through an analysis of the picking area, as well as the force and motion states of peanut plants, the main mechanism parameters affecting the motion state were determined, and picking attitude and swing laws for the spring-finger were designed.
- (2)
- The optimal design of the cam slide was determined, and motion simulation analysis of the pickup mechanism was carried out using the ADAMS software. Consequently, the range of the cycloid characteristic parameter was determined to be 1.7–1.8.
- (3)
- A prototype was manufactured and a soil tank test was carried out. Through comprehensive multi-index response surface test analysis, the optimal working parameters of the pickup device were obtained: The forward speed Vm of the pickup is 48.0 m/min, the rotating speed N of the cylinder is 50 r/min, and the depth of the end of the spring-finger is −16.8 mm. Under this parameter combination, the recovery rate is 99.21% and the loss rate is 1.79%, and the real value was found to be close to the theoretical value.
Author Contributions
Funding
Institutional Review Board Statement
Informed Consent Statement
Data Availability Statement
Conflicts of Interest
References
- Lu, R.; Gao, L.X.; Chen, C.; Butts, C.L. Characteristics of peanut hulling and processing technology in the United States and inspiration. Trans. Chin. Soc. Agric. Eng. 2019, 35, 287–298. [Google Scholar]
- Hu, B.C. Design and Testing of the Long Seeding Transport and Collection Device for Peanut Picking and Harvesting Machines. Master’s Thesis, Henan Agriculture University, Zhengzhou, China, 2023. [Google Scholar]
- Xu, T.; Liu, Z.X.; Gao, L.X.; Shen, Y.Z. Technology research status and development of peanut pickup device of China and the United States. J. Shenyang Agric. Univ. 2023, 54, 372–384. [Google Scholar]
- Chen, Z.Y.; Gao, L.X.; Chen, C.; Butts, C.L. Analysis on technology status and development of peanut harvest mechanization of China and the United States. Trans. Chin. Soc. Agric. Mach. 2017, 48, 1–21. [Google Scholar]
- Guan, M.; Shen, Y.Z.; Gao, L.X.; Zhao, B.Q.; Liu, W.W. Mechanical properties of peanut peg after digging and drying. Trans. Chin. Soc. Agric. Eng. 2014, 30, 87–93. [Google Scholar]
- Liu, Z.X.; Yu, Y.Q.; Wang, J.; Kang, Z.W.; He, F.Y.; Gao, L.X. Numerical Simulation and Optimization of Peanut Sheller Air–Screen Cleaning Device. Agriculture 2023, 13, 1997. [Google Scholar] [CrossRef]
- Lu, R.; Gao, L.X.; Liu, Z.X.; Yang, D.X. Development and Prospect of Technology on Peanut Sheller of China. J. Shenyang Agric. Univ. 2019, 50, 631–640. [Google Scholar]
- Gao, L.X.; Chen, Z.; Charles, C.; Butts, C.L. Development course of peanut harvest mechanization technology of the United States and enlightenment to China. Chin. Soc. Agric. Eng. 2017, 33, 1–9. [Google Scholar]
- Wang, G.Q.; Yu, Q.; Bu, Y.L.; Yu, D.N.; Wang, C.M. Design of Pickup Baler and Dynamic Simulation of Pickup Roller. Trans. Chin. Soc. Agric. Mach. 2001, 32, 59–61. [Google Scholar]
- Yuan, C.Y.; Diao, P.S.; Zhang, D.L. Design and Motion Simulation of Spring-finger Cylinder Pickups. J. Agric. Mech. Res. 2011, 33, 73–76. [Google Scholar]
- Wang, W.M.; Wang, C.G. Parameter Analysis and Simulation of Spring-finger Cylinder Pickup Collection. Trans. Chin. Soc. Agric. Mach. 2012, 43, 82–89. [Google Scholar]
- Yu, Z.H.; Wang, W.M.; Liu, M.; LI, L.; Cui, H.M. Experiment on Performance of Spring-finger Cylinder Pickup Collector. Trans. Chin. Soc. Agric. Mach. 2017, 48, 106–112. [Google Scholar]
- Xu, T.; Shen, Y.Z.; Gao, L.X.; Zhang, X.D.; Lv, C.Y.; Liu, Z.X. Spring-finger Peanut Pickup Mechanism Based on Two-stage Harvest. Trans. Chin. Soc. Agric. Mach. 2016, 47, 90–97+111. [Google Scholar]
- Xu, N.; Wang, D.W.; Shang, S.Q.; He, X.N.; Zhang, J.M.; Ma, N.; Gao, Z.H. The Optimum Design and Kinematics Analysis of the Picking device of Peanut Combine Harvester. J. Agric. Mech. Res. 2021, 43, 128–132. [Google Scholar]
- Yao, L.J.; Hu, Z.C.; Wang, S.Y.; Cao, M.Z.; Yu, Z.Y.; Wang, B. Experiment and Parameters Optimization for Pickup Mechanism of Peanut Harvester. J. Agric. Mech. Res. 2017, 12, 112–118+129. [Google Scholar]
- Wang, B.; Gu, W.F.; Yu, Z.Y.; Cao, M.Z.; Wang, M.T.; Hu, Z.C. Design and Experiment of Full-feed Picking-up Mechanism of Axial-now Peanut Harvester. Trans. Chin. Soc. Agric. Mach. 2020, 51, 132–141+169. [Google Scholar]
- Wang, S.Y.; Hu, Z.C.; Xu, H.B.; Cao, M.Z.; Yu, Z.Y.; Peng, B.L. Design and test of pickup and conveyor device for full-feeding peanut pickup harvester. Chin. Soc. Agric. Eng. 2019, 35, 20–28. [Google Scholar]
- Chen, Y.Q.; Hu, Z.C.; Wang, S.Y.; Cao, M.Z.; Xu, H.B.; Wang, G.P.; Yan, J.C. Design and experiments of pickup device of peanut harvester after cutting peanut straws. Chin. Soc. Agric. Eng. 2020, 36, 1–8. [Google Scholar]
- Xu, T.; Liu, Z.X.; Gao, L.X. Design and Experiments for Shovel-finger and Cylinder Peanut-Picking Device. Eng. Agrícola 2023, 43, e20220174. [Google Scholar] [CrossRef]
- Xu, T.; Shen, Y.Z.; Gao, L.X.; Liu, Z.X.; Zhang, X.D.; Lv, C.Y. Dynamic Simulation Analysis of Spring-finger Cylinder Peanut Pickup Mechanism. J. Shenyang Agric. Univ. 2016, 47, 192–198. [Google Scholar]
- Xu, T.; Liu, Z.X.; Gao, L.X.; Liang, G.P. Design and optimization of crank-slide type spring-finger cylinder peanut pickup mechanism. Chin. Soc. Agric. Eng. 2024, 40, 64–73. [Google Scholar]
- Liang, G.P. Design and Experimental Study on the Peanut Pickup Device with Shovel Tooth and Two Cylinders. Master’s Thesis, Jilin Agriculture University, Changchun, China, 2023. [Google Scholar]
- Hao, J.J.; Zhu, Z.M.; Li, L.; Li, J.C.; Zhao, X.S.; Zhao, J.G. Design and Experiment of Traction Peanut Secondary Harvester. J. Hebei Agric. Univ. 2023, 46, 110–120. [Google Scholar]
- Guo, P.; Shang, S.Q.; Wang, D.W.; He, X.N.; Xu, N.; Liu, J.Q.; Yang, L.; Dong, M.M. Design and Test of a Trailed Peanut Picking and Harvesting Maclliner. Trans. Chin. Soc. Agric. Mach. 2021, 12, 92–97. [Google Scholar]
- Xu, T.; Liu, Z.X.; Gao, L.X.; Liang, G.P.; He, F.Y.; Yang, D.; Li, H. Picking Dynamic Analysis and Experiment of Shovel-finger and Finger Roller Peanut Pickup Device. J. Shenyang Agric. Univ. 2024, 55, e20220174. [Google Scholar]
- Gao, L.X.; Liang, G.P.; Cai, Y.L.; Feng, W.Z.; Yang, Y.Z.; Liu, J.G.; Yang, J. Pickup Device with Shovel Teeth and Double Cylinders for The Bunch of Peanuts. Chin. Soc. Agric. Eng. 2024, 40, 13–22. [Google Scholar]
- Wang, S.Y.; Hu, Z.C.; Wu, F.; Yu, Z.Y.; Cao, M.Z.; Gao, X.M. Modeling and experiment of feeding rate for full-feed peanut pickup harvester. Chin. Soc. Agric. Eng. 2019, 35, 29–36. [Google Scholar]
- NY/T502~2016; Operating Quality for Peanut Harvesters. The Ministry of Agriculture of the People’s Republic of China: Beijing, China, 2016.






















| Station | Cylinder Rotation Angle θ/rad | Cam Rotation Angle β/rad | Spring-Finger Swing Angle δ/rad |
|---|---|---|---|
| Shovel picking stage of pick station | Gradual swing back to 0 | ||
| Picking stage of pick station | Gradual swing forward to | ||
| Lifting station | Gradual swing back to 0 | ||
| Pulling station | Gradual swing back to | ||
| Null swing station | Gradual swing forward to |
| Parameters of the Pickup Mechanism | Values | |
|---|---|---|
| Before Optimization | After Optimization | |
| Crank length L1/mm | 50.000 | 50.000 |
| Crank angle φ/rad | 1.000 | 1.000 |
| Top guard dip angle γ/rad | 0.298 | 0.298 |
| Cylinder radius r/mm | 99.220 | 92.720 |
| Spring-finger length L/mm | 203.050 | 183.200 |
| Spring-finger picking length L/mm | 130.000 | 126.000 |
| picking height h2/mm | 305 | 220 |
| shell radius/mm | 180.000 | 165.000 |
| Spring-Finger Rows | Before Optimization | After Optimization | ||
|---|---|---|---|---|
| Loss Height/mm | Lose Areas/mm2 | Loss Height/mm | Loss Areas/mm2 | |
| 3 | 26.7 | 2410 | 10.81 | 686.24 |
| 4 | 15.2 | 1015 | 4.67 | 256.71 |
| 5 | 11.3 | 513 | 1.88 | 102.35 |
| Forward Velocity (m/min) | Cylinder Rotation Speed (r/min) | Cycloid Characteristic Parameters λ |
|---|---|---|
| 45 | 30 | 1.16 |
| 40 | 1.54 | |
| 50 | 1.92 |
| Level | Forward Velocity X1 (m/min) | Cylinder Rotation Speed X2 (r/min) | Depth of Spring-Finger in Field X3 (mm) |
|---|---|---|---|
| −1 | 35 | 40 | −20 |
| 0 | 45 | 50 | −10 |
| 1 | 55 | 60 | 0 |
| Items | X1 | X2 | X3 | Picking Rate Y1/% | Loss Rate Y2/% |
|---|---|---|---|---|---|
| 1 | −1 | −1 | 0 | 99.6 | 1.5 |
| 2 | 1 | −1 | 0 | 97.8 | 2.2 |
| 3 | −1 | 1 | 0 | 98.6 | 1.9 |
| 4 | 1 | 1 | 0 | 97.8 | 2.5 |
| 5 | −1 | 0 | −1 | 99.3 | 1.5 |
| 6 | 1 | 0 | −1 | 98.8 | 1.6 |
| 7 | −1 | 0 | 1 | 97.8 | 2.2 |
| 8 | 1 | 0 | 1 | 96.5 | 3.1 |
| 9 | 0 | −1 | −1 | 99.5 | 1.8 |
| 10 | 0 | 1 | −1 | 98.4 | 2.7 |
| 11 | 0 | −1 | 1 | 96.8 | 3.1 |
| 12 | 0 | 1 | 1 | 96.7 | 3.5 |
| 13 | 0 | 0 | 0 | 99.3 | 2 |
| 14 | 0 | 0 | 0 | 98.8 | 1.9 |
| 15 | 0 | 0 | 0 | 99.2 | 1.8 |
| 16 | 0 | 0 | 0 | 98.8 | 2 |
| 17 | 0 | 0 | 0 | 98.9 | 1.9 |
| Source | Picking Rate Y1/% | Loss Rate Y2/% | ||||||
|---|---|---|---|---|---|---|---|---|
| Sum of Squares | df | F | p | Sum of Squares | df | F | p | |
| Model | 15.47 | 9 | 34.37 | <0.0001 | 5.57 | 9 | 50.69 | <0.0001 |
| X1 | 2.42 | 1 | 48.4 | 0.0002 | 0.66 | 1 | 54.14 | 0.0002 |
| X2 | 0.6 | 1 | 12.1 | 0.0103 | 0.5 | 1 | 40.94 | 0.0004 |
| X3 | 8.41 | 1 | 168.1 | <0.0001 | 2.31 | 1 | 189.23 | <0.0001 |
| X1 X2 | 0.25 | 1 | 5 | 0.0604 | 0.0025 | 1 | 0.2 | 0.6647 |
| X1 X3 | 0.16 | 1 | 3.2 | 0.1168 | 0.16 | 1 | 13.1 | 0.0085 |
| X2 X3 | 0.25 | 1 | 5 | 0.0604 | 0.062 | 1 | 5.12 | 0.0582 |
| 0.095 | 1 | 1.89 | 0.2111 | 0.34 | 1 | 28 | 0.0011 | |
| 0.67 | 1 | 13.47 | 0.008 | 0.64 | 1 | 52.43 | 0.0002 | |
| 2.37 | 1 | 47.37 | 0.0002 | 0.91 | 1 | 74.54 | <0.0001 | |
| Residual | 0.35 | 7 | 0.086 | 7 | ||||
| Lack of Fit | 0.13 | 3 | 0.79 | 0.5602 | 0.058 | 3 | 2.74 | 0.1776 |
| Pure Error | 0.22 | 4 | 0.028 | 4 | ||||
| Cor Total | 15.82 | 16 | 5.66 | 16 | ||||
| Test Number | Picking Rate/% | Loss Rate/% |
|---|---|---|
| 1 | 99.23 | 1.79 |
| 2 | 99.16 | 1.88 |
| 3 | 99.18 | 1.85 |
| 4 | 99.22 | 1.79 |
| 5 | 99.19 | 1.83 |
| 6 | 99.25 | 1.81 |
| 7 | 99.11 | 1.87 |
| 8 | 99.09 | 1.91 |
| 9 | 99.29 | 1.78 |
| 10 | 99.17 | 1.86 |
| Avg. | 99.19 | 1.84 |
Disclaimer/Publisher’s Note: The statements, opinions and data contained in all publications are solely those of the individual author(s) and contributor(s) and not of MDPI and/or the editor(s). MDPI and/or the editor(s) disclaim responsibility for any injury to people or property resulting from any ideas, methods, instructions or products referred to in the content. |
© 2024 by the authors. Licensee MDPI, Basel, Switzerland. This article is an open access article distributed under the terms and conditions of the Creative Commons Attribution (CC BY) license (https://creativecommons.org/licenses/by/4.0/).
Share and Cite
Xu, T.; Gao, L.; Liu, Z. Spring-Finger Motion Law Analysis and Cam Slide Optimal Design of Spring-Finger Cylinder Peanut Pickup Mechanism. Agriculture 2024, 14, 1459. https://doi.org/10.3390/agriculture14091459
Xu T, Gao L, Liu Z. Spring-Finger Motion Law Analysis and Cam Slide Optimal Design of Spring-Finger Cylinder Peanut Pickup Mechanism. Agriculture. 2024; 14(9):1459. https://doi.org/10.3390/agriculture14091459
Chicago/Turabian StyleXu, Tao, Lianxing Gao, and Zhixia Liu. 2024. "Spring-Finger Motion Law Analysis and Cam Slide Optimal Design of Spring-Finger Cylinder Peanut Pickup Mechanism" Agriculture 14, no. 9: 1459. https://doi.org/10.3390/agriculture14091459
APA StyleXu, T., Gao, L., & Liu, Z. (2024). Spring-Finger Motion Law Analysis and Cam Slide Optimal Design of Spring-Finger Cylinder Peanut Pickup Mechanism. Agriculture, 14(9), 1459. https://doi.org/10.3390/agriculture14091459
