Nitrogen and Potassium Fertilization Modulate Dalbulus maidis (HEMIPTERA: CICADELLIDAE) Abundance and Corn Stunt Disease Severity
Abstract
1. Introduction
2. Materials and Methods
2.1. Trial Conditions and Experimental Design
2.2. Trial Conduction and Maintenance
2.3. Dalbulus maidis Abundance
2.4. Corn Stunt Symptoms
2.5. Agronomic Evaluations
2.6. Statistical Analysis
3. Results
3.1. Dalbulus maidis Abundance
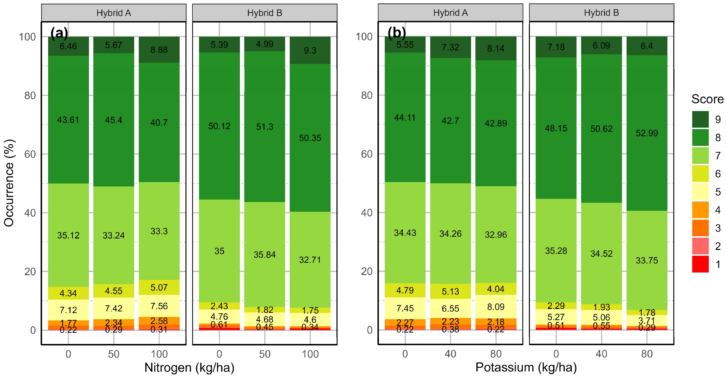
3.2. Corn Stunt Symptoms
3.3. Agronomic Evaluations
4. Discussion
4.1. Dalbulus Maidis Abundance
4.2. Corn Stunt Symptoms
4.3. Agronomic Evaluations
4.4. Limitations and Future Research
5. Conclusions
Supplementary Materials
Author Contributions
Funding
Data Availability Statement
Acknowledgments
Conflicts of Interest
Abbreviations
| AIC | Akaike Information Criterion |
| BIC | Bayesian Information Criterion |
| CRM | Comparative Relative Maturity |
| CSS | Corn stunt spiroplasma |
| K | Potassium |
| N | Nitrogen |
| MBSP | Maize bushy stunt phytoplasma |
| PCR | Polymerase chain reaction |
| R1 | Corn full flowering stage |
| R3 | Corn milk stage |
| VT | Corn tasseling stage |
| V“x” | Corn growth stage, “x” leaf |
References
- Dowswell, C.R.; Paliwal, R.L.; Cantrell, R.P. Maize in the Third World, 1st ed.; CRC Press: Boca Raton, FL, USA, 2020. [Google Scholar]
- Nault, L.R. Maize Bushy Stunt and Corn Stunt: A Comparison of Disease Symptoms, Pathogen Host Ranges, and Vectors. Phytopathology 1980, 70, 659–662. [Google Scholar] [CrossRef]
- Whitcomb, R.F.; Chen, T.A.; Williamson, D.L.; Liao, C.; Tully, J.G.; Bove, J.M.; Mouches, C.; Rose, D.L.; Coan, M.E.; Clark, T.B. Spiroplasma kunkelii Sp. Nov.: Characterization of the Etiological Agent of Corn Stunt Disease. Int. J. Syst. Bacteriol. 1986, 36, 170–178. [Google Scholar] [CrossRef]
- de Oliveira, C.M.; Frizzas, M.R. Eight Decades of Dalbulus maidis (DeLong & Wolcott) (Hemiptera: Cicadellidae) in Brazil: What We Know and What We Need to Know. Neotrop. Entomol. 2022, 51, 1–17. [Google Scholar] [CrossRef]
- Faris, A.M.; Rodrigues Duffeck, M.; Olson, J.D.; Espindola, A.S.; Muller, L.; Velasco, S.E.; Zambiasi, J.M. First Report of Dalbulus maidis (DeLong and Wolcott) (Hemiptera: Cicadellidae) in Oklahoma. Insects 2024, 15, 778. [Google Scholar] [CrossRef]
- de Oliveira, E.; de Oliveira Resende, R.; de la Paz Giménez Pecci, M.; Laguna, I.G.; Herrera, P.; Cruz, I. Incidência de Viroses e Enfezamentos e Estimativa de Perdas Causadas Por Molicutes Em Milho No Paraná. Pesqui. Agropecu. Bras. 2003, 38, 19–25. [Google Scholar] [CrossRef]
- USDA United States Department of Agriculture, Production—Corn. Available online: https://fas.usda.gov/data/production/commodity/0440000 (accessed on 10 April 2024).
- Oliveira, C.M.; Sabato, E.d.O. Doenças Em Milho: Insetos-Vetores, Molicutes e Vírus, 1st ed.; Embrapa: Brasília, Brazil, 2017. [Google Scholar]
- Neves, T.N.; Foresti, J.; Silva, P.R.; Alves, E.; Rocha, R.; Oliveira, C.; Picanço, M.C.; Pereira, E.J. Insecticide Seed Treatment against Corn Leafhopper: Helping Protect Grain Yield in Critical Plant Growth Stages. Pest Manag. Sci. 2022, 78, 1482–1491. [Google Scholar] [CrossRef]
- Istchuk, A.N.; Da Silva, P.R.; Borges, A.R.P.; das Neves, T.C.N.; Ramos Pereira, R.; Schwertner, M.H.; Ishizuka, T.K.; Pietrowski, V. Does the Corn Leafhopper Dalbulus maidis (DeLong & Wolcott) (Hemiptera: Cicadellidae) Reproduce in Hosts Other than Maize? EntomoBrasilis 2023, 16, e1044. [Google Scholar] [CrossRef]
- Machado, E.P.; Souza, E.V.; Dias, G.S.; Sacilotto, M.G.; Omoto, C. Is Insecticide Resistance a Factor Contributing to the Increasing Problems with Dalbulus maidis (Hemiptera: Cicadellidae) in Brazil? Pest Manag. Sci. 2024, 80, 5120–5130. [Google Scholar] [CrossRef]
- Moritz, E.O.; Plassa, W.; Bordin, I.; Bianco, R.; Telles, T.S. Dynamics of Expenditure on Insecticides in the Management and Control of Corn Leafhoppers (Dalbulus maidis). Pest Manag. Sci. 2025, 81, 7077–7089. [Google Scholar] [CrossRef]
- Istchuk, A.N.; Sá Farias, E.; Foresti, J.; Santana Júnior, P.A.; Pereira, R.R.; Ishizuka, T.K.; da Silva, P.R.; Schwertner, M.H.; Pietrowski, V. Forewarning the Seasonal Dynamics of Corn Leafhopper and Mollicutes through Neural Networks. Int. J. Biometeorol. 2025, 69, 1383–1394. [Google Scholar] [CrossRef]
- Melchert, N.A.; Manzano, C.; Virla, E.G.; Luft-Albarracin, E. On How Nitrogen Fertilization Affects the Host Election and Oviposition Behavior of the Corn Stunt Spiroplasma Vector, Dalbulus maidis (Hemiptera: Cicadellidae). Arthropod Plant Interact. 2023, 17, 621–628. [Google Scholar] [CrossRef]
- da Cunha, T.G.; Von dos Santos Veloso, R.; de Araújo, M.M.M.; Tavares, L.G.; Ribeiro, L.F.B.; Tormen, G.P.; Campos, D.S.; Picanço, M.C.; Lopes, E.A.; Pereira, R.R.; et al. Distribution of Dalbulus maidis (DeLong) (Hemiptera: Cicadellidae) and Incidence of Maize Rayado Fino Virus and Candidatus Phytoplasma Asteris in Corn Succession Planting Systems. Pest Manag. Sci. 2023, 79, 2325–2337. [Google Scholar] [CrossRef]
- Foresti, J.; Pereira, R.R.; Santana, P.A.; Neves, T.N.C.; Silva, P.R.; Rosseto, J.; Istchuk, A.N.; Ishizuka, T.K.; Harter, W.; Schwertner, M.H.; et al. Spatial–Temporal Distribution of Dalbulus maidis (Hemiptera: Cicadellidae) and Factors Affecting Its Abundance in Brazil Corn. Pest Manag. Sci. 2022, 78, 2196–2203. [Google Scholar] [CrossRef]
- Melchert, N.A.; Manzano, C.; Virla, E.G.; Luft-Albarracín, É. High Levels of Nitrogen Fertilization Enhance the Fitness of the Vector of Corn Stunt Disease, Dalbulus maidis. Entomol. Exp. Appl. 2025, 173, 737–746. [Google Scholar] [CrossRef]
- Santana, P.A.; Kumar, L.; Da Silva, R.S.; Pereira, J.L.; Picanço, M.C. Assessing the Impact of Climate Change on the Worldwide Distribution of Dalbulus maidis (DeLong) Using MaxEnt. Pest Manag. Sci. 2019, 75, 2706–2715. [Google Scholar] [CrossRef] [PubMed]
- Han, P.; Desneux, N.; Becker, C.; Larbat, R.; Le Bot, J.; Adamowicz, S.; Zhang, J.; Lavoir, A.V. Bottom-up Effects of Irrigation, Fertilization and Plant Resistance on Tuta absoluta: Implications for Integrated Pest Management. J. Pest Sci. 2019, 92, 1359–1370. [Google Scholar] [CrossRef]
- Power, A.G. Influence of Plant Spacing and Nitrogen Fertilization in Maize on Dalbulus maidis (Homoptera: Cicadellidae), Vector of Corn Stunt. Environ. Entomol. 1989, 18, 494–498. [Google Scholar] [CrossRef]
- Bastos, C.S.; Galvão, J.C.C.; Picanço, M.C.; Pereira, P.R.G.; Cecon, P.R. Nutrient Content Affecting Spodoptera frugiperda and Dalbulus maidis Occurrence in Corn. Insect Sci. 2007, 14, 117–123. [Google Scholar] [CrossRef]
- Virla, E.G.; Albarracín, E.B.L.; Díaz, C.; Van Nieuwenhove, G.A.; Fernández, F.D.; Aráoz, M.V.C.; Melchert, N.A.; Conci, L.R.; Pecci, M.P.G. Bottom-up Effect of Nitrogen Fertilization on the Density of the Corn Leafhopper and Its Impact on Both Disease Incidence and Natural Parasitism. J. Pest Sci. 2023, 96, 93–104. [Google Scholar] [CrossRef]
- De Oliveira, C.M.; De Oliveira, E.; De Souza, I.R.P.; Alves, E.; Dolezal, W.; Paradell, S.; Lenicov, A.M.M.D.R.; Frizzas, M.R. Abundance and Species Richness of Leafhoppers and Planthoppers (Hemiptera: Cicadellidae and Delphacidae) in Brazilian Maize Crops. Fla. Entomol. 2013, 96, 1470–1481. [Google Scholar] [CrossRef]
- Meneses, A.R.; Querino, R.B.; Oliveira, C.M.; Maia, A.H.N.; Silva, P.R.R. Seasonal and Vertical Distribution of Dalbulus maidis (Hemiptera: Cicadellidae) in Brazilian Corn Fields. Fla. Entomol. 2016, 99, 750–754. [Google Scholar] [CrossRef]
- Lee, I.M.; Hammond, R.W.; Davis, R.E.; Gundersen, D.E. Universal Amplification and Analysis of Pathogen 16S RDNA for Classification and Identification of Mycoplasmalike Organism. Phytopathology 1993, 83, 834–842. [Google Scholar] [CrossRef]
- Barros, T.S.L.; Davis, R.E.; Resende, R.O.; Dally, E.L. Design of a Polymerase Chain Reaction for Specific Detection of Corn Stunt Spiroplasma. Plant Dis. 2001, 85, 475–480. [Google Scholar] [CrossRef] [PubMed]
- Gundersen, D.E.; Lee, I.M. Ultrasensitive Detection of Phytoplasmas by Nested-PCR Assays Using Two Universal Primer Pairs. Phytopathol. Mediterr. 1996, 35, 144–151. [Google Scholar]
- R Core Team. R: A Language and Environment for Statistical Computing; R Foundation for Statistical Computing: Vienna, Austria, 2023. [Google Scholar]
- Canale, M.C.; Nesi, C.N.; Castilhos, R.V. Abundance of Dalbulus maidis and Impact of Maize Rayado Fino Disease on Different Genotypes in Field Conditions in Santa Catarina, Brazil. Trop. Plant Pathol. 2023, 48, 675–684. [Google Scholar] [CrossRef]
- Canale, M.C.; Lopes, J.R.S.; Nesi, C.N.; Prado, S.d.S. Role of Dalbulus maidis (Hemiptera: Cicadellidae) Gender on Maizebushy Stunt Phytoplasma Transmission. Phytopathog. Mollicutes 2018, 8, 32. [Google Scholar] [CrossRef]
- Galvão, S.R.; Sabato, E.O.; Bedendo, I.P. Occurrence and Distribution of Single or Mixed Infection of Phytoplasma and Spiroplasma Causing Corn Stunting in Brazil. Trop. Plant Pathol. 2021, 46, 152–155. [Google Scholar] [CrossRef]
- Oliveira, C.M.; Frizzas, M.R.; de Oliveira, E. Overwintering Plants for Dalbulus maidis (DeLong and Wolcott) (Hemiptera: Cicadellidae) Adults during the Maize off-Season in Central Brazil. Int. J. Trop. Insect Sci. 2020, 40, 1105–1111. [Google Scholar] [CrossRef]
- Oliveira, C.M.; Lopes, J.R.S.; Nault, L.R. Survival Strategies of Dalbulus maidis during Maize off-Season in Brazil. Entomol. Exp. Appl. 2013, 147, 141–153. [Google Scholar] [CrossRef]
- Toloy, R.S.; Nose, N.P.; Giongo, M.V.; Cangussu, A.S.R.; Campos, F.S.; Ootani, M.A.; Ribeiro, J.M.; Aguiar, R.W.S.; Viteri Jumbo, L.O.; Oliveira, E.E.; et al. Exploring Natural Infection in Alternative Hosts of Corn Stunt Spiroplasma and Tracking the Temporal Dynamics of Corn Stunt Disease in the Brazilian Cerrado Biome. Agronomy 2024, 14, 2341. [Google Scholar] [CrossRef]
- García Gonzalez, J.; Giraldo Jaramillo, M.; Roberto Spotti Lopes, J. Undetected Infection by Maize Bushy Stunt Phytoplasma Enhances Host-Plant Preference to Dalbulus maidis (Hemiptera: Cicadellidae). Environ. Entomol. 2018, 47, 396–402. [Google Scholar] [CrossRef]
- Galindo, F.S.; Pagliari, P.H.; da Silva, E.C.; de Lima, B.H.; Fernandes, G.C.; Thiengo, C.C.; Bernardes, J.V.S.; Jalal, A.; Oliveira, C.E.S.; de Sousa Vilela, L.; et al. Impact of Nitrogen Fertilizer Sustainability on Corn Crop Yield: The Role of Beneficial Microbial Inoculation Interactions. BMC Plant Biol. 2024, 24, 268. [Google Scholar] [CrossRef]
- Marchezan, C.; Ferreira, P.A.A.; Silva, L.S.; Bacca, A.; Krug, A.V.; Nicoloso, F.T.; Tarouco, C.P.; Tiecher, T.L.; Brunetto, G.; Ceretta, C.A. Nitrogen Availability and Physiological Response of Corn After 12 Years with Organic and Mineral Fertilization. J. Soil. Sci. Plant Nutr. 2020, 20, 979–989. [Google Scholar] [CrossRef]
- Ramos, A.; Esteves, M.B.; Cortés, M.T.B.; Lopes, J.R.S. Maize Bushy Stunt Phytoplasma Favors Its Spread by Changing Host Preference of the Insect Vector. Insects 2020, 11, 600. [Google Scholar] [CrossRef] [PubMed]
- Goodwin, P.H.; Mahuku, G.S.; Liu, H.; Xue, B.G. Monitoring Phytoplasma in Populations of Aster Leafhoppers from Lettuce Fields Using the Polymerase Chain Reaction. Crop Prot. 1999, 18, 91–99. [Google Scholar] [CrossRef]
- Toffanelli, C.M.; Bedendo, I.P. Efeito Da População Infetiva de Dalbulus maidis Na Produção de Grãos e No Desenvolvimento de Sintomas Do Enfezamento Vermelho Do Milho. Fitopatol. Bras. 2002, 27, 82–86. [Google Scholar] [CrossRef]
- da Costa, R.V.; da Silva, D.D.; Cota, L.V.; Campos, L.J.M.; de Almeida, R.E.M.; Bernardes, F.P. Incidence of Corn Stunt Disease in Off-Season Corn Hybrids in Different Sowing Seasons. Pesqui. Agropecu. Bras. 2019, 54, e00872. [Google Scholar] [CrossRef]
- Castilhos, R.V.; Parizotto, C.; Bermudez, F.; Ribeiro, L.D.P.; Canale, M.C. Severity of Corn Stunt Disease in the Midwest of the Brazilian of Santa Catarina. Rev. Bras. Milho Sorgo 2022, 21, e1278. [Google Scholar] [CrossRef]
- Maia, P.T.N.; Santos, N.M.; Mendes, S.M.; Marques, V.M.; Fadini, M.A.M.; Silva, B.L.S.; Araujo, D.D.S.; Cota, L.V.; Oliveira, I.R. Sustainable Control of Dalbulus maidis: A Field Study with Entomopathogenic Fungi. Entomol. Exp. Appl. 2025. [Google Scholar] [CrossRef]
- Wang, M.; Zheng, Q.; Shen, Q.; Guo, S. The Critical Role of Potassium in Plant Stress Response. Int. J. Mol. Sci. 2013, 14, 7370–7390. [Google Scholar] [CrossRef]
- Pauletti, V.; Motta, A.C.V. Manual de Adubação e Calagem para o Estado do Paraná, 2nd ed.; SBCS—Sociedade Brasileira de Ciência do Solo: Curitiba, Brazil, 2019; ISBN 9788569146070. [Google Scholar]
- Gomes, L.S.; Brandão, A.M.; de Brito, C.H.; de Moraes, D.F.; Lopes, M.T.G. Resistência Ao Acamamento de Plantas e Ao Quebramento Do Colmo Em Milho Tropical. Pesqui. Agropecu. Bras. 2010, 45, 140–145. [Google Scholar] [CrossRef]
- Cota, L.V.; Silva, D.D.; Aguiar, F.M.; Costa, R.V. Resistência de Genotipos de Milho Aos Enfezamentos; Embrapa: Sete Lagoas, Brazil, 2018. [Google Scholar]
- Silva, D.D.; Aguiar, F.M.; Cota, L.V.; Costa, R.V.; Mendes, S.M. Molicutes Em Milho: A Diversificação de Sistemas de Produção Pode Ser a Solução? In Novos Sistemas de Produção; Medeiros, F.H.V., Pedroso, L.A., Guimarães, M.R.F., Silva, B.A.A.S., Almeida, L.G.F., Silva, F.J., Silva, R.L.M., Ferreira, L.C., Pereira, A.K.M., Couto, T.B.R., et al., Eds.; Universidade Federal de Lavras: Lavras, Brazil, 2017; pp. 32–52. [Google Scholar]
- Souza, V.T.; Ribeiro, C.M.; Scalon, J.D.; Guedes, F.L. Relações Entre Componentes de Rendimento e Características Morfológicas de Milho. Magistra 2014, 26, 495–506. [Google Scholar]
- Virla, E.G.; Coll Araoz, M.V.; Luft Albarracin, E. Estimation of Direct Damage to Maize Seedlings by the Corn Leafhopper, Dalbulus maidis (Hemiptera: Cicadellidae), under Different Watering Regimes. Bull. Entomol. Res. 2021, 111, 438–444. [Google Scholar] [CrossRef]












| Response (y) | Term | Slope ± SE | z | P |
|---|---|---|---|---|
| Dalbulus maidis abundance | Intercept | 4.312 ± 0.191 | 22.536 | <0.001 |
| Season | −0.631 ± 0.020 | −32.071 | <0.001 | |
| Hybrid | −0.015 ± 0.019 | −0.778 | 0.437 | |
| Nitrogen | 0.001 ± 0.001 | 0.250 | 0.802 | |
| Potassium | 0.001 ± 0.001 | 0.475 | 0.635 |
Disclaimer/Publisher’s Note: The statements, opinions and data contained in all publications are solely those of the individual author(s) and contributor(s) and not of MDPI and/or the editor(s). MDPI and/or the editor(s) disclaim responsibility for any injury to people or property resulting from any ideas, methods, instructions or products referred to in the content. |
© 2025 by the authors. Licensee MDPI, Basel, Switzerland. This article is an open access article distributed under the terms and conditions of the Creative Commons Attribution (CC BY) license (https://creativecommons.org/licenses/by/4.0/).
Share and Cite
Istchuk, A.N.; Schwertner, M.H.; Ferrari, M.L.; Marques, L.H.; Pietrowski, V. Nitrogen and Potassium Fertilization Modulate Dalbulus maidis (HEMIPTERA: CICADELLIDAE) Abundance and Corn Stunt Disease Severity. Agriculture 2025, 15, 2086. https://doi.org/10.3390/agriculture15192086
Istchuk AN, Schwertner MH, Ferrari ML, Marques LH, Pietrowski V. Nitrogen and Potassium Fertilization Modulate Dalbulus maidis (HEMIPTERA: CICADELLIDAE) Abundance and Corn Stunt Disease Severity. Agriculture. 2025; 15(19):2086. https://doi.org/10.3390/agriculture15192086
Chicago/Turabian StyleIstchuk, Ademar Novais, Matheus Henrique Schwertner, Matheus Luis Ferrari, Luiz Henrique Marques, and Vanda Pietrowski. 2025. "Nitrogen and Potassium Fertilization Modulate Dalbulus maidis (HEMIPTERA: CICADELLIDAE) Abundance and Corn Stunt Disease Severity" Agriculture 15, no. 19: 2086. https://doi.org/10.3390/agriculture15192086
APA StyleIstchuk, A. N., Schwertner, M. H., Ferrari, M. L., Marques, L. H., & Pietrowski, V. (2025). Nitrogen and Potassium Fertilization Modulate Dalbulus maidis (HEMIPTERA: CICADELLIDAE) Abundance and Corn Stunt Disease Severity. Agriculture, 15(19), 2086. https://doi.org/10.3390/agriculture15192086

