Performance of Post-Emergence Herbicides for Weed Control and Soybean Yield in Thailand
Abstract
1. Introduction
2. Materials and Methods
2.1. Plant Material, Growing Conditions, and Experimental Design
2.2. Data Collection and Measurement
2.2.1. Weed Data
2.2.2. Herbicide Phytotoxicity and Soybean Growth
2.2.3. Yield Components and Soybean Yield
2.3. Statistical Analysis
3. Results
3.1. Effect of Weed Control Treatment and Soybean Variety on Weeds Data
3.1.1. Weeds Species Associated with Soybean in the Experimental Site
3.1.2. Effect of Herbicide Treatments on Weed Control Efficiency (WCE)
3.1.3. Effect of Herbicide Treatments on Dominant Weeds
3.2. Effect of Weed Control Treatment and Soybean Variety on Soybean Data
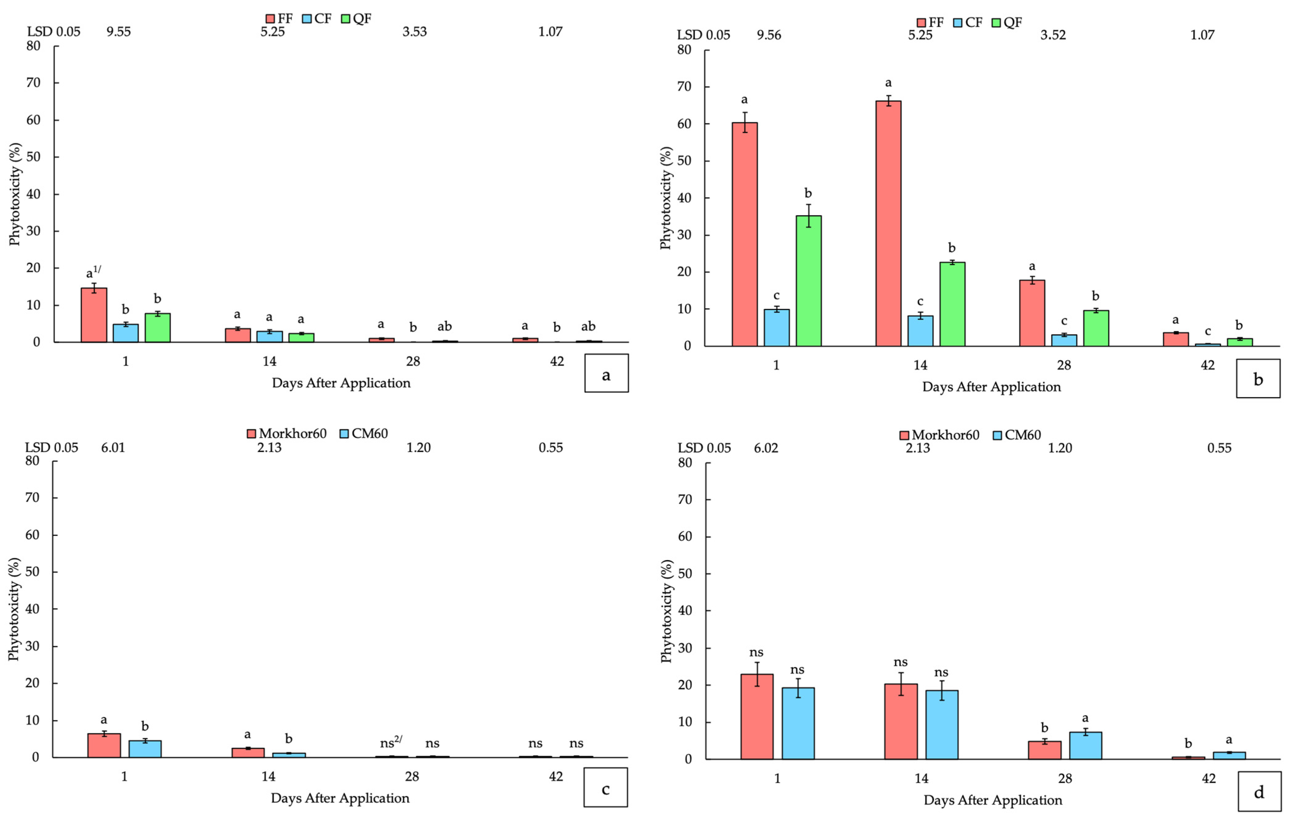
3.2.1. Phytotoxicity Effect of Post-Emergence Herbicides on Soybean
3.2.2. Effect of Post-Emergence Herbicides on Soybean Growth
3.3. Effect of Weed Control Treatment and Soybean Variety on Yield and Yield Components
4. Discussion
5. Conclusions
Supplementary Materials
Author Contributions
Funding
Data Availability Statement
Acknowledgments
Conflicts of Interest
References
- Michelfelder, A.J. Soy: A Complete Source of Protein. Am. Fam. Physician 2009, 79, 43–47. [Google Scholar]
- Chatterjee, C.; Gleddie, S.; Xiao, C.-W. Soybean Bioactive Peptides and Their Functional Properties. Nutrients 2018, 10, 1211. [Google Scholar] [CrossRef]
- Nair, R.M.; Boddepalli, V.N.; Yan, M.-R.; Kumar, V.; Gill, B.; Pan, R.S.; Wang, C.; Hartman, G.L.; Silva E Souza, R.; Somta, P. Global Status of Vegetable Soybean. Plants 2023, 12, 609. [Google Scholar] [CrossRef] [PubMed]
- Prasertsri, P. Oilseeds and Products Annual: Thailand; United States Department of Agriculture, Foreign Agricultural Service (USDA FAS): Bangkok, Thailand, 2025.
- Office of Agricultural Economics. The Study of Soybean Supply Chain in Chiang Mai Thailand; Ministry of Agriculture and Cooperatives: Bangkok, Thailand, 2018.
- Yothasiri, A.; Somwang, T. Stability of Soybean Genotypes in Central Plain Thailand. Agric. Nat. Resour. 2000, 34, 315–322. [Google Scholar]
- Sritongtae, C.; Monkham, T.; Sanitchon, J.; Lodthong, S.; Srisawangwong, S.; Chankaew, S. Identification of Superior Soybean Cultivars through the Indication of Specific Adaptabilities within Duo-Environments for Year-Round Soybean Production in Northeast Thailand. Agronomy 2021, 11, 585. [Google Scholar] [CrossRef]
- Taiyawong, A.; Monkham, T.; Sanitchon, J.; Choenkwan, S.; Srisawangwong, S.; Khod-phuwiang, J.; Reewarabundit, S.; Chankaew, S. Yield Stability of Soybean Variety Morkhor 60 in Integrated Rotation Systems of Northeastern Thailand. Plants 2025, 14, 2503. [Google Scholar] [CrossRef]
- Sritongtae, C.; Monkham, T.; Sanitchon, J.; Lodthong, S.; Srisawangwong, S.; Chankaew, S. The Feasibility Study for Off-Season Soybean Production in Research Station for Seed Production. Khon Kaen Agric. J. 2021, 49, 87–104. [Google Scholar] [CrossRef]
- Kona, P.; Ajay, B.C.; Gangadhara, K.; Kumar, N.; Choudhary, R.R.; Mahatma, M.K.; Singh, S.; Reddy, K.K.; Bera, S.K.; Sangh, C.; et al. AMMI and GGE Biplot Analysis of Genotype by Environment Interaction for Yield and Yield Contributing Traits in Confectionery Groundnut. Sci. Rep. 2024, 14, 2943. [Google Scholar] [CrossRef]
- Hongyu, K.; García-Peña, M.; de Araújo, L.B.; dos Santos Dias, C.T. Statistical Analysis of Yield Trials by AMMI Analysis of Genotype × Environment Interaction. Biom. Lett. 2014, 51, 89–102. [Google Scholar] [CrossRef]
- Gazola, T.; Gomes, D.M.; Belapart, D.; Dias, M.F.; Carbonari, C.A.; Velini, E.D. Selectivity and Residual Weed Control of Pre-Emergent Herbicides in Soybean Crop. Rev. Ceres 2021, 68, 219–229. [Google Scholar] [CrossRef]
- Costa, E.M.; Jakelaitis, A.; Zuchi, J.; Pereira, L.S.; Ventura, M.V.A.; Oliveira, G.S.D.; Sousa, G.D.D.; Silva, J.N. Simulated Drift of Dicamba and 2,4-D on Soybeans: Effects of Application Dose and Time. Biosci. J. 2020, 36, 857–864. [Google Scholar] [CrossRef]
- Aekrathok, P.; Songsri, P.; Jongrungklang, N.; Gonkhamdee, S. Efficacy of Post-Emergence Herbicides against Important Weeds of Sugarcane in North-East Thailand. Agronomy 2021, 11, 429. [Google Scholar] [CrossRef]
- Leon, R.G.; Unruh, J.B. Turfgrass Herbicides: Mechanisms of Action and Resistance Management: SS-AGR-394/AG398, 8/2015. EDIS 2015, 4, 7. [Google Scholar] [CrossRef]
- Sherwani, S.I.; Arif, I.A.; Khan, H.A. Modes of Action of Different Classes of Herbicides. In Herbicides, Physiology of Action, and Safety; IntechOpen: London, UK, 2015; ISBN 978-953-51-2217-3. [Google Scholar]
- Billore, S.D. Weed Control Efficiency of Quizalofop Ethyl 10 EC against Grassy Weeds in Soybean. Soybean Res. 2014, 12, 182–188. [Google Scholar]
- Ghosh, P.; Pramanik, K. Efficacy of Fomesafen against Broadleaved Weeds and Productivity Improvement in Soybean. Plant Cell Biotechnol. Mol. Biol. 2020, 21, 53–60. [Google Scholar]
- Han, J.; Liu, H.; Guo, P.; Hao, C. Weed Control in Summer-Sown Soybeans with Flumioxazin plus Acetochlor and Flumiclorac-Pentyl plus Clethodim. Weed Biol. Manag. 2002, 2, 120–122. [Google Scholar] [CrossRef]
- Patidar, J.; Kewat, M.L.; Sondhia, S.; Jha, A.K.; Gupta, V. Bio-Efficacy of Fomesafen + Fluazifop-p-Butyl Mixture against Weeds and Its Effect on Productivity and Profitability of Soybean (Glycine max) in Central India. Indian J. Agric. Sci. 2023, 93, 750–755. [Google Scholar] [CrossRef]
- Jaipala, S.; Virojwattanakul, K.; Vassanacharaen, P. Weed Management in Soybean after Paddy Rice Irrigated. Department of Agriculture, Thailand 2025. Available online: https://www.doa.go.th/plan/wp-content/uploads/2021/04/352.1.15%E0%B8%81%E0%B8%B2%E0%B8%A3%E0%B8%88%E0%B8%B1%E0%B8%94%E0%B8%81%E0%B8%B2%E0%B8%A3%E0%B8%A7%E0%B8%B1%E0%B8%8A%E0%B8%9E%E0%B8%B7%E0%B8%8A%E0%B9%83%E0%B8%99%E0%B8%96%E0%B8%B1%E0%B9%88%E0%B8%A7%E0%B9%80%E0%B8%A5%E0%B8%B7%E0%B8%AD%E0%B8%87%E0%B8%AB%E0%B8%A5%E0%B8%B1%E0%B8%87%E0%B8%99%E0%B8%B2%E0%B9%83%E0%B8%99%E0%B9%80%E0%B8%82%E0%B8%95%E0%B8%8A%E0%B8%A5%E0%B8%9B%E0%B8%A3%E0%B8%B0%E0%B8%97%E0%B8%B2%E0%B8%99.pdf (accessed on 5 October 2025).
- Department of Agriculture, Thailand. ทะเบียนวัตถุอันตรายแบ่งชนิด-ปี-2554-25681 [List of Hazardous Substances Classification for the Years 2011–2025]. Hazardous Substances Control Group. 2024. Available online: https://www.doa.go.th/ard/?page_id=386 (accessed on 5 October 2025).
- Stewart, C.L.; Nurse, R.E.; Hamill, A.S.; Sikkema, P.H. Environment and Soil Conditions Influence Pre- and Postemergence Herbicide Efficacy in Soybean. Weed Technol. 2010, 24, 234–243. [Google Scholar] [CrossRef]
- Kaushik, S.; Inderjit; Streibig, J.C.; Cedergreen, N. Activities of Mixtures of Soil-Applied Herbicides with Different Molecular Targets. Pest Manag. Sci. 2006, 62, 1092–1097. [Google Scholar] [CrossRef]
- Ashu; Menon, S. Review on Herbicides Resistance and Their Mode of Action. Plant Arch. 2021, 21, 22–28. [Google Scholar] [CrossRef]
- Hasan, M.; Mokhtar, A.S.; Rosli, A.M.; Hamdan, H.; Motmainna, M.; Ahmad-Hamdani, M.S. Weed Control Efficacy and Crop-Weed Selectivity of a New Bioherbicide WeedLock. Agronomy 2021, 11, 1488. [Google Scholar] [CrossRef]
- Mani, V.S.; Malla, M.L.; Gautam, K.C.; Bhagwandas, B. Weed-Killing Chemicals in Potato Cultivation. Indian Farming 1973, 23, 17–18. [Google Scholar]
- Janiya, J.D.; Moody, K. Weed Populations in Transplanted and Wet-Seeded Rice as Affected by Weed Control Method. Trop. Pest Manag. 1989, 35, 8–11. [Google Scholar] [CrossRef]
- Meseldžija, M.; Rajković, M.; Dudić, M.; Vranešević, M.; Bezdan, A.; Jurišić, A.; Ljevnaić-Mašić, B. Economic Feasibility of Chemical Weed Control in Soybean Production in Serbia. Agronomy 2020, 10, 291. [Google Scholar] [CrossRef]
- Zain, S.; Dafaallah, A.; Zaroug, M. Efficacy and Selectivity of Pendimethalin for Weed Control in Soybean (Glycine max (L.) Merr.), Gezira State, Sudan. Agric. Sci. Pract. 2020, 7, 59–68. [Google Scholar] [CrossRef]
- Safdar, M.E.; Nadeem, M.A.; Rehman, A.; Ali, A.; Iqbal, N.; Mumtaz, Q.; Javed, A. The Screening of Herbicides for Effective Control of Weeds in Soybean (Glycine max L.). J. Weed Sci. Res. 2020, 27, 251–266. [Google Scholar] [CrossRef]
- Shukla, A.; Shukla, A.; Badhai, P.; Kumar, H. A Review on Weed Management in Soybean (Glycine max). Int. J. Curr. Microbiol. Appl. Sci. 2022, 11, 164–170. [Google Scholar] [CrossRef]
- Tehulie, N.S.; Misgan, T.; Awoke, T. Review on Weeds and Weed Controlling Methods in Soybean (Glycine max L.). J. Curr. Res. Food Sci. 2021, 2, 1–6. [Google Scholar]
- Green, J.M.; Owen, M.D.K. Herbicide-Resistant Crops: Utilities and Limitations for Herbicide-Resistant Weed Management. J. Agric. Food Chem. 2011, 59, 5819–5829. [Google Scholar] [CrossRef]
- Barroso, A.; Dan, H.; Procópio, S.; Toledo, R.; Sandaniel, C.; Braz, G.; Cruvinel, K. Eficácia de Herbicidas Inibidores da ACCase no Controle de Gramíneas em Lavouras de Soja. Planta Daninha 2010, 28, 149–157. [Google Scholar] [CrossRef]
- Gitsopoulos, T.; Georgoulas, I.; Botsoglou, D.; Vazanelli, E. Response of Wheat to Pre-Emergence and Early Post-Emergence Herbicides. Agronomy 2024, 14, 1875. [Google Scholar] [CrossRef]
- Khalil, Y.; Flower, K.; Siddique, K.H.M.; Ward, P. Rainfall Affects Leaching of Pre-Emergent Herbicide from Wheat Residue into the Soil. PLoS ONE 2019, 14, e0210219. [Google Scholar] [CrossRef] [PubMed]
- Alencar, E.D.S.D.; Geist, M.L.; Pereira, J.P.M.; Schedenffeldt, B.F.; Nunes, F.A.; Silva, P.V.D.; Dupas, E.; Mauad, M.; Monquero, P.A.; Medeiros, E.S.D. Seletividade de Herbicidas Pós-Emergentes Isolados Ou Associados a Fertilizante Foliar Na Cultura Da Soja. Rev. Ciênc. Agroveterinárias 2022, 21, 384–394. [Google Scholar] [CrossRef]
- Franzen, D.W.; O’Barr, J.H.; Zollinger, R.K. Influence of Certain Post-emergence Broadleaf Herbicides on Soybean Stressed from Iron Deficiency Chlorosis. Agron. J. 2004, 96, 1357–1363. [Google Scholar] [CrossRef]
- Cieslik, L.; Vidal, R.; Trezzi, M. Fatores Ambientais que Afetam a Eficácia de Herbicidas Inibidores da ACCase: Revisão. Planta Daninha 2013, 31, 483–489. [Google Scholar] [CrossRef]
- Lopes, A.F.; Junior, J.H.; Gimenez, G.S.; de Oliveira, G.M.; Dalazen, G. Controle de capim-amargoso com herbicidas graminicidas após diferentes períodos de restrição hídrica. Weed Control J. 2021, 20, e202100756. [Google Scholar] [CrossRef]
- Rockenbach, A.P.; Rizzardi, M.A.; Nunes, A.L.; Bianchi, M.A.; Caverzan, A.; Schneider, T. Interferência entre plantas daninhas e a cultura: Alterações no metabolismo secundário. Rev. Bras. Herbic. 2018, 17, 59. [Google Scholar] [CrossRef]
- Norsworthy, J.K.; Oliveira, M.J. Tillage and Soybean Canopy Effects on Common Cocklebur (Xanthium strumarium) Emergence. Weed Sci. 2007, 55, 474–480. [Google Scholar] [CrossRef]
- Sanyal, D.; Bhowmik, P.C.; Anderson, R.L.; Shrestha, A. Revisiting the Perspective and Progress of Integrated Weed Management. Weed Sci. 2008, 56, 161–167. [Google Scholar] [CrossRef]
- Rezvani, M.; Zaefarian, F.; Jovieni, M. Weed Suppression Ability of Six Soybean [Glycine max (L.) Merr.] Varieties under Natural Weed Development Conditions. Acta Agron. Hung. 2013, 61, 43–53. [Google Scholar] [CrossRef]
- Rose, S.J.; Burnside, O.C.; Specht, J.E.; Swisher, B.A. Competition and Allelopathy Between Soybeans and Weeds. Agron. J. 1984, 76, 523–528. [Google Scholar] [CrossRef]
- Norsworthy, J.K.; Shipe, E. Evaluation of Glyphosate-Resistant Glycine max Genotypes for Competitiveness at Recommended Seeding Rates in Wide and Narrow Rows. Crop Prot. 2006, 25, 362–368. [Google Scholar] [CrossRef]
- Vollmann, J.; Wagentristl, H.; Hartl, W. The Effects of Simulated Weed Pressure on Early Maturity Soybeans. Eur. J. Agron. 2010, 32, 243–248. [Google Scholar] [CrossRef]





| Treatment | Class | Active Ingredient + Formulation | Trade Name/ | Doses |
|---|---|---|---|---|
| Company Name | (g a.i. ha−1) */ | |||
| Hand weeding | - | - | - | - |
| Weedy | - | - | - | - |
| Fluazifop-P-butyl | A | 15% w/v EC | Fluzilate/Syngenta | 150 |
| + | + | + | + | + |
| fomesafen | E | 25% w/v SL | Ople/Sotus | 250 |
| Clethodim | A | 24% w/v EC | Pantera/Sotus | 150 |
| + | + | + | + | + |
| fomesafen | E | 25% w/v SL | Ople/Sotus | 250 |
| Quizalofop-P-tefuryl | A | 4% w/v EC | Select/Arysta | 75 |
| + | + | + | + | + |
| fomesafen | E | 25% w/v SL | Ople/Sotus | 250 |
| Weed Species | Family | Summed Dominance Ratio of Weed Species (%) | |||||||
|---|---|---|---|---|---|---|---|---|---|
| Rainy Season of 2023 | Dry Season of 2024/2025 | ||||||||
| 0 DAA 1/ | 14 DAA | 28 DAA | 42 DAA | 0 DAA | 14 DAA | 28 DAA | 42 DAA | ||
| Broad-Leaved | |||||||||
| Oldenlandia corymbosa L. | Rubiaceae | 0.71 | 3.63 | 19.94 | 14.34 | 0.90 | 4.98 | 8.81 | 9.28 |
| Trianthema portulacastrum L. | Aizoaceae | 54.95 | 29.53 | 5.11 | 1.20 | 5.53 | 3.59 | 2.90 | 0.66 |
| Cleome rutidosperma | Cleomaceae | 0.05 | - | 0.06 | 0.06 | 0.99 | 0.88 | 1.21 | 0.99 |
| Praxelis clematidea R.M.King & H.Rob. | Asteraceae | 0.08 | 0.24 | - | 0.35 | 0.79 | 1.34 | 1.16 | 2.38 |
| Alternanthera sessilis | Amaranthaceae | 0.43 | 0.18 | 0.00 | 0.93 | 0.59 | 0.80 | 1.15 | 0.70 |
| Indigofera hirsuta L. | Fabaceae | - 2/ | - | - | - | 0.98 | 0.55 | 0.94 | 1.53 |
| Lindernia ciliata (Colsm.) Pennell | Linderniaceae | - | - | 3.08 | 5.59 | 0.00 | - | 0.76 | 0.40 |
| Ludwigia hyssopifolia (G.Don) Exell | Onagraceae | - | - | - | - | - | - | 0.08 | - |
| Portulaca oleracea Linn. | Portulacaceae | - | - | - | - | - | - | 0.08 | - |
| Wrighia arborea (Dennst.) Mabb. | Apocynaceae | - | - | - | - | 0.00 | 0.31 | 0.05 | 0.00 |
| Amaranthus viridis L. | Amaranthaceae | - | 0.00 | 0.00 | 0.00 | 0.00 | 0.06 | 0.00 | 0.00 |
| Ipomoea pes-tigridis L. | Convolvulaceae | - | - | - | - | - | - | 0.00 | 0.23 |
| Sida cordifolia L. | Malvaceae | - | - | - | - | 0.00 | 0.00 | 0.00 | 0.00 |
| Borreria alata (Aubl.) DC. | Rubiaceae | - | - | - | - | - | 0.16 | 0.00 | 0.00 |
| Xanthium strumarium L. | Asteraceae | - | - | - | - | 0.04 | 0.16 | - | 0.00 |
| Ipomoea gracilis R.Br. | Convolvulaceae | - | - | - | - | 0.00 | - | - | 0.06 |
| Phyllanthus amarus Schum. & Thonn. | Phyllanthaceae | - | - | - | 0.00 | - | - | - | - |
| Grasses | |||||||||
| Digitaria ciliaris (Retz.) Koeler | Poaceae | 20.58 | 42.16 | 55.74 | 52.96 | 51.55 | 63.03 | 65.15 | 56.03 |
| Dactyloctenium aegyptium (L.) P. B. | Poaceae | 3.16 | 4.76 | 5.41 | 10.64 | 3.93 | 2.56 | 4.24 | 8.95 |
| Cynodon dactylon (L.) Pers. | Poaceae | - | - | - | - | 4.76 | 3.43 | 1.29 | 1.48 |
| Eragrostis pectinacea (Michx.) Nees | Poaceae | - | - | - | - | - | 0.16 | 0.34 | - |
| Eleusine indica (L.) Gaertn. | Poaceae | - | - | 0.49 | - | 0.73 | 0.00 | 0.18 | 0.93 |
| Sedges | |||||||||
| Cyperus rotundus L. | Cyperaceae | 15.61 | 18.56 | 7.78 | 11.40 | 29.28 | 17.89 | 11.24 | 15.85 |
| Cyperus esculentus | Cyperaceae | 0.00 | - | - | 0.26 | - | 0.03 | 0.24 | 0.38 |
| Cyperus difformis L. | Cyperaceae | - | - | - | - | - | 0.09 | 0.15 | 0.19 |
| Cyperus compressus L. | Cyperaceae | 4.44 | 0.95 | 2.38 | 2.26 | 0.00 | - | 0.09 | 0.00 |
| Cyperus iria L. | Cyperaceae | - | - | - | - | - | 0.03 | - | - |
| Total | 100.00 | 100.00 | 100.00 | 100.00 | 100.00 | 100.00 | 100.00 | 100.00 | |
| Variable | Weed Control Efficiency (%) | |||||||
|---|---|---|---|---|---|---|---|---|
| Rainy Season of 2023 | Dry Season of 2024/2025 | |||||||
| 3 DAA 1/ | 7 DAA | 14 DAA | 28 DAA | 3 DAA | 7 DAA | 14 DAA | 28 DAA | |
| Weed Control (WC) | ||||||||
| Hand weeding | 100.00 a 2/ | 100.00 a | 100.00 a | 100.00 a | 100.00 a | 100.00 a | 100.00 a | 100.00 a |
| Weedy | 0.00 c | 0.00 c | 0.00 c | 0.00 d | 0.00 c | 0.00 c | 0.00 d | 0.00 e |
| Fluazifop-P-butyl + Fomesafen | 37.04 b | 56.64 b | 69.31 b | 63.84 c | 44.94 b | 57.23 b | 71.79 b | 78.62 c |
| Clethodim + Fomesafen | 37.74 b | 52.14 b | 67.64 b | 73.21 b | 42.03 b | 47.71 b | 54.68 c | 70.21 d |
| Quizalofop-P-tefuryl + Fomesafen | 35.40 b | 56.99 b | 64.92 b | 72.43 bc | 44.75 b | 54.85 b | 77.39 b | 87.31 b |
| LSD 0.05 | 7.63 | 5.54 | 9.18 | 8.97 | 8.06 | 10.39 | 7.59 | 7.80 |
| Variety (Var) | ||||||||
| Morkhor60 | 43.59 | 58.42 a | 64.54 a | 65.26 a | 42.31 b | 56.17 a | 59.48 b | 67.51 |
| CM60 | 40.49 | 47.88 b | 56.20 b | 58.54 b | 50.37 a | 47.74 b | 62.07 a | 66.96 |
| LSD 0.05 | 3.76 | 5.55 | 6.14 | 3.19 | 5.63 | 4.16 | 2.04 | 3.30 |
| F-tests | ||||||||
| Weed Control (WC) | ** 3/ | ** | ** | ** | ** | ** | ** | ** |
| Variety (Var) | ns | ** | ** | ** | ** | ** | * | ns |
| WC × Var | ** | * 4/ | ns 5/ | ** | ** | * | ** | ns |
| CV WC | 16.65 | 9.57 | 13.95 | 13.31 | 15.97 | 18.35 | 11.46 | 10.65 |
| CV WC × Var | 13.25 | 15.5 | 15.08 | 7.65 | 18.04 | 11.89 | 4.98 | 7.28 |
| Variable | Weed Density (Plants m−2) | |||||||||||||||||||
|---|---|---|---|---|---|---|---|---|---|---|---|---|---|---|---|---|---|---|---|---|
| Broad-Leaved Weeds | Grassy Weeds | Sedge Weeds | ||||||||||||||||||
| Trianthema portulacastrum Linn. | Oldenlandia corymbosa L. | Digitaria ciliaris (Retz.) Koel. | Dactyloctenium aegyptium (L.) P.B. | Cyperus rotundus Linn. | ||||||||||||||||
| 0 DAA 1/ | 14 DAA | 28 DAA | 42 DAA | 0 DAA | 14 DAA | 28 DAA | 42 DAA | 0 DAA | 14 DAA | 28 DAA | 42 DAA | 0 DAA | 14 DAA | 28 DAA | 42 DAA | 0 DAA | 14 DAA | 28 DAA | 42 DAA | |
| Weed Control | Rainy Season of 2023 | |||||||||||||||||||
| Hand weeding | 0.00 b 2/ | 0.00 c | 0.00 c | 0.00 c | 0.00 | 0.00 b | 0.00 | 0.00 | 0.00 | 0.00 b | 0.00 b | 0.00 b | 0.00 | 0.00 b | 0.00 | 0.00 c | 0.00 | 0.00 c | 0.00 | 0.00 |
| Weedy | 226.63 a | 102.75 ab | 9.13 bc | 2.25 bc | 7.38 | 18.88 a | 47.38 | 32.00 | 86.13 | 104.88 a | 54.50 a | 44.75 a | 7.25 | 8.88 a | 5.88 | 5.50 abc | 35.88 | 61.38 a | 14.75 | 18.13 |
| Fluazifop-P-butyl + Fomesafen | 277.12 a | 97.125 ab | 37.63 a | 11.13 ab | 2.88 | 2.00 b | 48.38 | 34.38 | 100.63 | 19.25 b | 3.13 b | 0.88 b | 9.00 | 8.25 a | 4.13 | 6.63 ab | 22.25 | 13.00 bc | 11.63 | 14.63 |
| Clethodim + Fomesafen | 238.75 a | 88.88 b | 28.00 ab | 10.63 ab | 3.50 | 5.25 b | 27.88 | 19.13 | 58.63 | 19.38 b | 6.75 b | 7.38 b | 4.63 | 3.88 ab | 1.88 | 9.50 a | 56.88 | 57.13 ab | 50.00 | 40.88 |
| Quizalofop-P-tefuryl + Fomesafen | 200.25 a | 135.38 a | 43.88 a | 18.38 a | 6.13 | 6.38 b | 39.25 | 77.00 | 104.13 | 23.25 b | 5.25 b | 2.88 b | 9.25 | 2.50 ab | 0.00 | 1.38 bc | 59.75 | 22.38 abc | 16.75 | 13.63 |
| LSD 0.05 | 126.96 | 43.21 | 19.35 | 8.97 | 7.82 | 11.00 | 48.12 | 39.48 | 82.52 | 30.37 | 25.84 | 14.21 | 7.57 | 7.58 | 5.37 | 6.26 | 81.37 | 47.45 | 40.15 | 32.72 |
| Variety | ||||||||||||||||||||
| Morkhor60 | 204.00 | 78.85 | 23.50 | 9.25 | 4.10 | 7.65 | 34.90 | 27.05 | 79.45 | 29.20 b | 13.60 | 10.55 | 7.45 | 4.35 | 3.10 | 6.20 | 30.40 | 30.85 | 17.30 | 21.35 |
| CM60 | 173.10 | 90.80 | 23.95 | 7.70 | 3.85 | 5.35 | 30.25 | 37.95 | 60.35 | 37.50 a | 14.25 | 11.80 | 4.60 | 5.05 | 1.65 | 3.00 | 39.50 | 30.70 | 19.95 | 13.55 |
| LSD 0.05 | 46.11 | 29.14 | 13.08 | 3.62 | 5.50 | 7.27 | 21.73 | 26.45 | 41.30 | 6.86 | 8.19 | 4.28 | 6.12 | 3.81 | 3.38 | 3.59 | 39.69 | 9.21 | 18.51 | 9.38 |
| Weed Control | Dry Season of 2024/2025 | |||||||||||||||||||
| Hand weeding | 0.00 b | 0.00 | 0.00 | 0.00 | 0.00 | 0.00 | 0.00 | 0.00 | 0.00 b | 0.00 c | 0.00 b | 0.00 c | 0.00 | 0.00 | 0.00 c | 0.00 b | 0.00 b | 0.00 b | 0.00 b | 0.00 b |
| Weedy | 20.25 a | 12.00 | 7.38 | 1.13 | 5.88 | 22.00 | 30.13 | 26.88 | 194.88 a | 182.38 a | 100.75 a | 53.38 a | 8.13 | 4.38 | 3.13 bc | 5.75 ab | 64.13 a | 49.50 a | 25.00 a | 31.75 a |
| Fluazifop-P-butyl + Fomesafen | 17.50 a | 6.13 | 2.75 | 2.38 | 9.63 | 7.63 | 16.50 | 13.63 | 85.63 b | 13.50 bc | 2.63 b | 0.38 c | 2.00 | 8.38 | 8.38 a | 8.88 a | 62.88 a | 57.25 a | 36.25 a | 32.63 a |
| Clethodim + Fomesafen | 21.75 a | 9.38 | 6.63 | 2.00 | 3.38 | 13.00 | 13.63 | 8.63 | 65.13 b | 56.50 b | 16.75 b | 12.63 b | 6.25 | 7.38 | 5.25 ab | 3.38 ab | 85.13 a | 61.88 a | 43.00 a | 23.13 a |
| Quizalofop-P-tefuryl + Fomesafen | 17.38 a | 12.00 | 6.63 | 3.50 | 6.88 | 9.50 | 14.88 | 27.25 | 86.38 b | 9.63 bc | 0.50 b | 0.00 c | 6.13 | 0.88 | 0.25 c | 0.63 b | 63.63 a | 42.63 a | 32.88 a | 25.00 a |
| LSD 0.05 | 12.60 | 9.38 | 7.06 | 3.15 | 9.00 | 19.58 | 19.86 | 25.29 | 90.56 | 50.61 | 24.57 | 8.17 | 9.60 | 7.52 | 4.52 | 6.00 | 41.47 | 27.62 | 20.02 | 18.78 |
| Variety | ||||||||||||||||||||
| Morkhor60 | 14.65 | 10.20 a | 3.60 | 2.55 a | 6.05 | 14.25 a | 21.10 | 18.90 | 97.90 | 74.65 a | 31.75 | 13.15 | 5.75 | 0.15 b | 2.10 | 2.40 b | 60.70 | 39.95 | 26.50 | 19.50 |
| CM60 | 16.10 | 5.60 b | 5.75 | 1.05 b | 4.25 | 6.60 b | 8.95 | 11.65 | 74.90 | 30.15 b | 16.50 | 13.40 | 3.25 | 8.25 a | 4.70 | 5.05 a | 49.60 | 44.55 | 28.35 | 25.50 |
| LSD 0.05 | 8.38 | 3.76 | 3.95 | 1.32 | 6.49 | 6.53 | 14.92 | 16.97 | 65.76 | 29.76 | 24.00 | 7.95 | 7.95 | 4.06 | 4.36 | 6.00 | 21.91 | 16.69 | 9.35 | 9.68 |
| Variable | Weed Biomass (g m−2) | |||||||||||||||||||
|---|---|---|---|---|---|---|---|---|---|---|---|---|---|---|---|---|---|---|---|---|
| Broad-Leaved Weeds | Grassy Weeds | Sedge Weeds | ||||||||||||||||||
| Trianthema portulacastrum Linn. | Oldenlandia corymbosa L. | Digitaria ciliaris (Retz.) Koel. | Dactyloctenium aegyptium (L.) P.B. | Cyperus rotundus Linn. | ||||||||||||||||
| 0 DAA 1/ | 14 DAA | 28 DAA | 42 DAA | 0 DAA | 14 DAA | 28 DAA | 42 DAA | 0 DAA | 14 DAA | 28 DAA | 42 DAA | 0 DAA | 14 DAA | 28 DAA | 42 DAA | 0 DAA | 14 DAA | 28 DAA | 42 DAA | |
| Weed Control | Rainy Season of 2023 | |||||||||||||||||||
| Hand weeding | 0.00 | 0.00 c 2/ | 0.00 c | 0.00 c | 0.00 | 0.00 b | 0.00 b | 0.00 c | 0.00 | 0.00 b | 0.00 b | 0.00 b | 0.00 | 0.00 b | 0.00 b | 0.00 | 0.00 | 0.00 | 0.00 | 0.00 |
| Weedy | 27.89 | 35.60 a | 8.18 bc | 1.46 c | 0.04 | 0.80 a | 14.20 a | 6.58 bc | 8.39 | 70.11 a | 176.85 a | 110.23 a | 3.02 | 10.48 a | 19.56 a | 27.00 | 6.32 | 27.25 | 8.98 | 7.35 |
| Fluazifop-P-butyl + Fomesafen | 35.39 | 25.39 ab | 36.39 a | 5.59 bc | 0.06 | 0.15 b | 13.33 a | 14.16 ab | 11.06 | 9.29 b | 7.40 b | 0.73 b | 0.99 | 4.10 b | 13.94 a | 26.13 | 2.22 | 3.63 | 10.29 | 9.38 |
| Clethodim + Fomesafen | 31.76 | 16.68 b | 20.60 ab | 10.44 ab | 0.03 | 0.18 b | 5.00 ab | 7.54 bc | 4.19 | 7.35 b | 23.49 b | 15.83 b | 0.55 | 2.41 b | 5.44 b | 37.69 | 7.10 | 23.41 | 29.24 | 41.75 |
| Quizalofop-P-tefuryl + Fomesafen | 21.14 | 33.40 a | 28.00 a | 13.06 a | 0.05 | 0.20 b | 17.60 a | 24.13 a | 8.58 | 8.05 b | 9.80 b | 1.35 b | 0.87 | 0.83 b | 0.00 b | 0.36 | 1.97 | 6.28 | 15.19 | 7.76 |
| LSD 0.05 | 30.83 | 14.05 | 17.14 | 6.72 | 0.09 | 0.45 | 12.80 | 12.65 | 7.80 | 23.50 | 42.52 | 25.63 | 3.58 | 5.84 | 7.17 | 36.56 | 13.68 | 30.65 | 23.27 | 30.21 |
| Variety | ||||||||||||||||||||
| Morkhor60 | 29.12 | 22.01 | 18.04 | 6.36 | 0.04 | 0.34 | 9.78 | 9.26 | 5.57 | 17.29 b | 47.11 | 22.38 | 0.76 | 4.12 | 8.93 | 23.45 | 4.47 | 12.90 | 11.55 | 12.10 |
| CM60 | 17.35 | 22.42 | 19.23 | 5.86 | 0.03 | 0.19 | 10.27 | 11.70 | 7.32 | 20.63 a | 39.91 | 28.88 | 1.41 | 3.01 | 6.65 | 13.02 | 2.58 | 11.33 | 13.93 | 14.40 |
| LSD 0.05 | 18.35 | 7.71 | 7.28 | 3.98 | 0.06 | 0.31 | 9.64 | 8.57 | 5.31 | 2.97 | 25.39 | 9.51 | 2.75 | 3.66 | 11.79 | 24.68 | 8.40 | 7.90 | 8.89 | 11.45 |
| Weed Control | Dry Season of 2024/2025 | |||||||||||||||||||
| Hand weeding | 0.00 b | 0.00 | 0.00 | 0.00 | 0.00 | 0.00 | 0.00 | 0.00 b | 0.00 b | 0.00 c | 0.00 b | 0.00 c | 0.00 | 0.00 | 0.00 b | 0.00 | 0.00 | 0.00 c | 0.00 | 0.00 c |
| Weedy | 4.51 a | 5.12 | 2.87 | 0.25 | 0.49 | 1.50 | 3.67 | 5.20 a | 77.30 a | 124.28 a | 207.93 a | 110.44 a | 10.43 | 6.78 | 17.44 a | 19.55 | 70.88 | 27.14 b | 20.68 | 15.84 a |
| Fluazifop-P-butyl + Fomesafen | 4.64 a | 2.15 | 1.62 | 0.51 | 1.68 | 0.26 | 1.78 | 1.41 b | 59.34 a | 10.14 bc | 7.57 b | 0.06 c | 4.86 | 3.78 | 17.93 a | 20.27 | 78.58 | 32.92 ab | 23.99 | 10.23 ab |
| Clethodim + Fomesafen | 3.34 a | 3.13 | 2.84 | 0.51 | 0.15 | 0.46 | 0.98 | 1.11 b | 41.49 ab | 38.25 b | 26.85 b | 20.19 b | 8.11 | 1.59 | 8.00 ab | 13.54 | 101.33 | 50.90 a | 31.69 | 8.46 b |
| Quizalofop-P-tefuryl + Fomesafen | 3.21 a | 2.00 | 2.71 | 1.18 | 0.42 | 0.47 | 2.47 | 3.21 ab | 38.88 ab | 6.36 bc | 0.27 b | 0.00 c | 3.73 | 0.89 | 0.12 b | 0.78 | 74.74 | 27.14 b | 22.69 | 8.13 b |
| LSD 0.05 | 3.21 | 3.92 | 3.54 | 0.91 | 1.18 | 1.39 | 2.45 | 3.38 | 46.21 | 34.42 | 48.00 | 17.02 | 10.10 | 7.82 | 10.59 | 18.57 | 70.86 | 21.44 | 21.07 | 6.51 |
| Variety | ||||||||||||||||||||
| Morkhor60 | 2.38 | 2.57 | 1.08 | 0.54 | 0.82 | 0.71 a | 2.22 | 1.91 | 50.02 | 40.12 | 52.70 | 24.55 | 5.18 | 0.26 b | 8.22 | 10.20 | 69.47 | 24.05 | 14.88 b | 5.74 b |
| CM60 | 3.90 | 2.39 | 2.93 | 0.44 | 0.28 | 0.36 b | 1.34 | 2.46 | 36.78 | 31.49 | 44.35 | 27.73 | 5.68 | 4.95 a | 9.17 | 11.45 | 60.74 | 31.19 | 24.74 a | 11.32 a |
| LSD 0.05 | 2.92 | 1.84 | 2.43 | 0.45 | 0.80 | 0.33 | 1.67 | 2.86 | 30.04 | 15.82 | 29.35 | 13.69 | 9.31 | 3.52 | 12.49 | 11.25 | 26.18 | 15.88 | 7.60 | 5.27 |
| Variable | Yield and Yield Component of Soybean | |||||||||||
|---|---|---|---|---|---|---|---|---|---|---|---|---|
| Rainy Season of 2023 | Dry Season of 2024/2025 | |||||||||||
| Pods on Branches | Pods on Main Stem | Seed Number/Pod | Weight of 100 Seeds (g) | Grain Yield (kg ha−1) | Grain Yield Loss (%) | Pods on Branches | Pods on Main Stem | Seed Number/Pod | Weight of 100 Seeds (g) | Grain Yield (kg ha−1) | Grain Yield Loss (%) | |
| Weed Control (WC) | ||||||||||||
| Hand weeding | 20.65 a 1/ | 16.76 bc | 2.35 | 16.91 | 1324.00 a | 0.00 | 6.85 b | 12.23 bc | 2.23 | 16.57 | 732.72 ab | 0.00 |
| Weedy | 8.14 c | 14.44 d | 2.13 | 16.06 | 354.90 d | 73.20 | 3.96 d | 11.18 c | 2.21 | 15.91 | 579.72 c | 20.88 |
| Fluazifop-P-butyl + Fomesafen | 19.68 ab | 19.43 a | 2.33 | 15.36 | 969.70 bc | 26.76 | 5.14 c | 16.87 a | 2.17 | 16.38 | 706.27 ab | 3.61 |
| Clethodim + Fomesafen | 18.21 b | 17.84 ab | 2.30 | 16.40 | 895.20 c | 32.39 | 6.86 b | 12.92 bc | 2.24 | 16.01 | 654.47 bc | 10.68 |
| Quizalofop-P-tefuryl + Fomesafen | 21.55 a | 14.90 cd | 2.33 | 16.89 | 1148.90 ab | 13.22 | 9.41 a | 13.90 b | 2.18 | 16.41 | 745.34 a | −1.72 |
| LSD 0.05 | 2.00 | 2.14 | 0.20 | 1.29 | 194.71 | ND | 1.03 | 2.09 | 0.13 | 1.06 | 87.94 | ND |
| Variety (Var) | ||||||||||||
| Morkhor60 | 22.45 a | 18.78 a | 2.38 a | 15.34 b | 1128.10 a | ND 5/ | 7.63 a | 12.20 b | 2.31 a | 15.82 b | 720.53 a | ND |
| CM60 | 12.84 b | 14.57 b | 2.20 b | 17.32 a | 749.00 b | ND | 5.25 b | 14.64 a | 2.10 b | 16.70 a | 646.87 b | ND |
| LSD 0.05 | 2.24 | 1.73 | 0.08 | 0.74 | 74.34 | ND | 0.60 | 1.22 | 0.06 | 0.76 | 60.55 | ND |
| F-tests | ||||||||||||
| Weed Control (WC) | ** 2/ | ** | ns 4/ | ns | ** | ND | ** | ** | ns | ns | ** | ND |
| Variety (Var) | ** | ** | ** | ** | ** | ND | ** | ** | ** | * 3/ | * | ND |
| WC × Var | ** | ns | ** | ns | ns | ND | ** | ** | ns | ns | ns | ND |
| CV WC | 10.45 | 11.81 | 8.21 | 7.28 | 19.04 | ND | 14.63 | 14.28 | 5.44 | 6.01 | 11.81 | ND |
| CV WC × Var | 18.85 | 15.35 | 5.05 | 6.69 | 11.75 | ND | 13.79 | 13.49 | 4.39 | 6.90 | 13.14 | ND |
Disclaimer/Publisher’s Note: The statements, opinions and data contained in all publications are solely those of the individual author(s) and contributor(s) and not of MDPI and/or the editor(s). MDPI and/or the editor(s) disclaim responsibility for any injury to people or property resulting from any ideas, methods, instructions or products referred to in the content. |
© 2025 by the authors. Licensee MDPI, Basel, Switzerland. This article is an open access article distributed under the terms and conditions of the Creative Commons Attribution (CC BY) license (https://creativecommons.org/licenses/by/4.0/).
Share and Cite
Pamungkas, U.R.R.; Chankaew, S.; Jongrungklang, N.; Monkham, T.; Gonkhamdee, S. Performance of Post-Emergence Herbicides for Weed Control and Soybean Yield in Thailand. Agriculture 2025, 15, 2148. https://doi.org/10.3390/agriculture15202148
Pamungkas URR, Chankaew S, Jongrungklang N, Monkham T, Gonkhamdee S. Performance of Post-Emergence Herbicides for Weed Control and Soybean Yield in Thailand. Agriculture. 2025; 15(20):2148. https://doi.org/10.3390/agriculture15202148
Chicago/Turabian StylePamungkas, Ultra Rizqi Restu, Sompong Chankaew, Nakorn Jongrungklang, Tidarat Monkham, and Santimaitree Gonkhamdee. 2025. "Performance of Post-Emergence Herbicides for Weed Control and Soybean Yield in Thailand" Agriculture 15, no. 20: 2148. https://doi.org/10.3390/agriculture15202148
APA StylePamungkas, U. R. R., Chankaew, S., Jongrungklang, N., Monkham, T., & Gonkhamdee, S. (2025). Performance of Post-Emergence Herbicides for Weed Control and Soybean Yield in Thailand. Agriculture, 15(20), 2148. https://doi.org/10.3390/agriculture15202148

