Abstract
In modern society with a highly developed Internet, online public opinions on swine epidemic diseases have become one of the important influencing factors for the fluctuation of pork prices. In this paper, the Baidu AI large model, Time-Varying Parameter-Stochastic Volatility-Vector Auto Regression (TVP-VAR) and Latent Dirichlet allocation (LDA) approaches are employed to investigate the dynamic impact of online public opinion regarding live swine epidemic diseases on fluctuations in pork price. The results show that: (1) Online public attention and negative sentiment exert significant time-varying impacts on pork price fluctuations, with these impacts being most pronounced in the short term and gradually diminishing over the medium and long term. (2) During the outbreaks of swine epidemic diseases, the impulse impact of online public attention and negative sentiment on pork price fluctuations exhibits distinct stage-specific characteristics. Initially, the impact is negative and subsequently turns positive before eventually waning. (3) The online discourse surrounding swine epidemic diseases can be categorized into four topics including disease transmission, vaccine technology, industry development, and disease prevention and control. Online public attention towards these four topics associated with negative sentiments generally contributes to variations in pork prices. Based on findings, several policy recommendations are proposed, including the timely release of swine epidemic disease information, the establishment and enhancement of the online public opinion monitoring and early warning system, as well as adherence to routine prevention and control of pig epidemic diseases.
1. Introduction
The stability of pork prices is not only directly linked to the daily food consumption and nutritional health of residents, but also serves as a crucial factor in the stable operation of the social economy [1]. However, swine epidemic diseases have consistently posed significant challenges to the development of the global pig industry. Swine influenza virus (SIV), African swine fever virus (ASFV), porcine epidemic diarrhea virus (PEDV), and other swine epidemic diseases continue to cause frequent outbreaks worldwide [2,3,4,5]. These diseases can result in substantial numbers of pig infections and fatalities, leading to considerable supply loss. Furthermore, some viruses are zoonotic, which can easily trigger consumer panic [6,7]. While several countries have managed to effectively control African Swine Fever (ASF) outbreaks (e.g., Belgium, the Czech Republic), pork prices across various countries have still experienced severe fluctuations.
In the era of advanced internet technology, swine epidemic diseases not only affect pork prices by causing pig mortality but also generate online public opinion that influences the behaviors of both producers and consumers, thereby exacerbating fluctuations in pork prices [6]. For countries worldwide, developing vaccines for swine epidemic diseases necessitates substantial investments of time and resources, making it challenging to achieve remarkable results within a short period. Notably, the global massive outbreak of African swine fever in 2019 remains without an effective vaccine to mitigate its spread. The government could more quickly manage public opinion and regulate the pork market during swine disease outbreaks if it had a thorough understanding of the factors influencing pork prices and could accurately assess their impact. This proactive approach can effectively alleviate market tensions and consequently reduce price fluctuations rapidly in the short term. Particularly in light of the severe global situation characterized by frequent outbreaks of swine epidemic diseases, which has been increasingly highlighted as a significant issue [8].
As the world’s largest pork producer and consumer, China produced 702.56 million pigs and 57.06 million tons of pork in 2024. Pork plays an essential role in the daily diet of Chinese residents, accounting for approximately 60% of the total meat consumption [9]. However, pork prices in China have experienced significant fluctuations over recent decades (as shown in Figure 1). One of the main causes is the impact of swine epidemic diseases [10]. Since the beginning of the 21st century, various swine epidemic diseases such as Porcine Reproductive, Swine Influenza, Porcine Epidemic Diarrhea, Foot-and-Mouth Disease, Swine Erysipelas, and African Swine Fever, have frequently emerged in China [2,11]. Swine epidemic diseases occur almost every year, infecting and killing tens of thousands of pigs (as shown in Figure 2). Pork prices also fluctuate. For example, the outbreak of African swine fever led to a dramatic increase in pork prices from about 25 Yuan/kg in 2019 to about 50 Yuan/kg in 2020 in China.
Figure 1.
Monthly pork price in China from January 2010 to December 2022 (unit: Yuan/kg). Data source: China Animal Husbandry and Veterinary Statistical Yearbook (https://inds.cnki.net/knavi/yearbook/Detail/YTRY/YZGXM, accessed on 1 September 2024).
Figure 2.
Annual incidence and mortality of swine epidemic diseases in China from 2004 to 2024 (unit: 10,000 heads). Note: Data for 2022 is not available. Data source: China Veterinary Bulletin (http://www.moa.gov.cn/gk/sygb/, accessed on 1 September 2024).
According to the 54th “Internet Development Statistics Report” published by the China Internet Network Information Center in June 2024, the internet penetration rate in China had reached 78.0%, with the number of internet users reaching approximately 1.1 billion. This substantial number of internet users represents a significant segment of the consumer market, highlighting the importance of online public opinion as a new form of societal sentiment expression [12].
Under this background, outbreaks of swine epidemic diseases tend to rapidly prompt hot discussions on social platforms. Because of their infectious nature and potential for widespread destruction, these diseases are also highly likely to trigger considerable public concern and panic. The negative reactions from market participants are amplified through psychological mechanisms such as emotional contagion and herd effect [13]. As a result, producers and consumers may be driven to make irrational decisions due to misinformation or panic. This behavior can disrupt the normal supply and demand dynamics, ultimately leading to excessively volatile price fluctuations. What is the relationship between online public opinion regarding swine epidemic diseases and pork price fluctuations? Does online public opinion exacerbate these price variations? Do different topics of online public opinion lead to varying impacts on pork price volatility? How can we effectively mitigate the impacts on pork prices? This paper takes the online public opinion of swine epidemic diseases in China as a case study to deeply investigate these questions. Through this research, we aim to gain a more accurate understanding of the mechanism through which online public opinion affects pork prices. This study will offer some valuable insights for governments to more precisely identify and address public opinion crises, thereby effectively mitigating pork price fluctuations.
The innovations of this study are mainly reflected in the following three aspects: (1) Different from most studies that analyze from a spatial perspective, this paper examines the impulse response of online public opinion regarding swine epidemic diseases on China’s pork price fluctuations from a temporal perspective, thereby enriching the existing literature on the subject. (2) Differing from numerous studies that employ NLP models for sentiment analysis, we utilize AI large models to analyze sentiment scores, resulting in findings that are both more accurate and reliable. (3) Unlike many investigations that treat online public opinion as a homogeneous entity, this study utilize LDA model categorizes online public opinion into different topics, providing more specific and nuanced conclusions.
The remainder of this paper is structured as follows: Section 2 reviews the relevant literatures on pork price fluctuations and online public opinion. Section 3 presents the theoretical framework and research hypotheses. Section 4 gives a detailed account of the data sources, variable selection, and empirical models. Section 5 shows the empirical analysis results. Section 6 summarizes the research findings and puts forward some policy recommendations.
2. Literature Review
2.1. Analysis of Influencing Factors of Pork Price Fluctuation
At present, academic research of the reason on pork price fluctuations is primarily categorized into four aspects. The first aspect examines supply-side factors. Theoretical frameworks such as supply–demand equilibrium and production cost theory suggest that input costs significantly influence pork prices. Most studies have consistently identified corn, soybean meal, and piglet prices as critical determinants of pork production costs [14,15]. For instance, the price of a ton of soybean meal can explain the variations of pork by 61.4% [16].
The second aspect examines demand-side factors. The consumer behavior theory and income elasticity of demand suggest that consumer purchase willingness, and substitute product prices influence pork prices [17,18]. Consumers are highly sensitive to pork safety issues and the prices of substitute products. Once safety concerns emerge or the prices of substitutes decrease, consumers’ purchase intention and purchase behavior may undergo significant changes [19,20].
The third aspect examines the development factors of the industry. The industrial organization theory underscores the importance of market structure and firm behavior in price determination [21,22,23,24,25]. For instance, the scaling of the market can effectively mitigate the random fluctuations in pork prices and may also lead to a decline in pork prices [26].
The fourth aspect examines external impact events, which mainly involve African swine fever and other pig diseases, COVID-19, and trade wars. Pig diseases such as African swine fever (ASF) are among the most studied events. Researchers focused more on the price fluctuations caused by the disease through the death of pigs [27,28]. They highlight how ASF-induced pig mortality rates led to significant supply shortages and price spikes [11,29].
2.2. Online Public Opinion of Public Emergencies
Online public opinion is a key channel for the public to express emotions and disseminate ideas. It can help the public clarify the development of external matters, take action, and make decisions accordingly [30,31]. In the era of the booming internet, the channels for the spread of public opinion have gradually shifted from offline to online, breaking through the traditional constraints of time and space. Various types of online public opinion spread through social media have become increasingly influential in society [32]. Some research indicates that events in the fields of society, politics, economy, and culture can have significant and specific impacts on many aspects of public opinion. At the same time, online public sentiment can also have a feedback effect on real society [33,34].
As public evmergencies occur more frequently, the online public opinion they may generate has drawn extensive attention from researchers. Most studies generally believe that online public opinion has the characteristics of rapid dissemination, wide coverage, and strong destructiveness [35,36]. These may induce public panic and pose threats to social stability. Therefore, researchers have primarily focused on the characteristics of emotional changes in online public opinions. Drawing on theoretical frameworks such as the life cycle theory, echo chamber effect, and circle propagation principle, researchers utilize topic modeling and contagion models to simulate and analyze the evolution of emotion across space-time [31,37]. Swine epidemic diseases are also major public emergencies. In the study of online public opinion caused by them, scholars also mainly focused on public emotion [6,7].
2.3. The Relationship Between Online Public Opinion of Public Emergencies and Agricultural Market Prices
Public emergencies can easily trigger excessive fluctuations in online public opinion, such as emotion and concern. Behavioral economics suggests these fluctuations may further prompt herd behavior and irrational decision-making [38]. When individual behaviors of market participants undergo collective shifts, market prices may also be affected accordingly. In the field of agricultural markets, online public opinion of public emergencies such as food safety incidents, COVID-19, and animal diseases has always been the research emphasis. Scholars usually based on data from social media platforms like Twitter and Weibo, employing NLP sentiment analysis models and emotion dictionaries to measure the public’s positive and negative emotions. They find that negative sentiment tends to exacerbate the fluctuations in agricultural commodity prices [13,39,40]. For instance, the COVID-19 pandemic has had a significantly negative impact on public sentiment, which has resulted in panic and some irrational buying behavior, which in turn has had an impact on agricultural product prices [38]. Within the field of animal disease research, avian influenza has been a primary focus. Studies have shown that the negative emotions triggered by avian influenza outbreaks intensify poultry price volatility [41,42]. These findings align with broader theories of risk perception and market behavior, suggesting that public fear and uncertainty can amplify price fluctuations. However, research on pig diseases, particularly in the context of China, remains limited. A few studies have explored the spatial spillover effects of media sentiment on pork prices, revealing that negative sentiment not only exacerbates price volatility but also generates significant positive spatial spillover effects [17].
To sum up, the existing research provides a robust theoretical and empirical foundation for this study. However, there is still room for further advancement. (1) The impact of online public opinion of swine epidemic diseases in China on pork price fluctuations is predominantly examined through a spatial analytical approach in most current studies, with a temporal dimension being relatively scarce with a relative scarcity of studies incorporating a temporal dimension. (2) Natural language processing (NLP) technology is used in most current studies to analyze sentiment scores. However, swine epidemic diseases involve many professional terms, and the existing sentiment analysis database lacks relevant corpus. It may lead to the deviation of sentiment analysis results. (3) Online discussions of swine epidemic disease outbreaks are analyzed as a whole in most current studies. However, the content of public discussions around the disease is rich and diverse in reality. Some people focus on whether the disease is transmissible to humans, while others focus on the impact of the disease on the industry. The subdivision research on the content of Internet discussion is still insufficient.
3. Theoretical Analysis and Research Hypothesis
3.1. Theoretical Analysis
Since 2011, social media platforms such as Weibo platform had experienced explosive growth, becoming the primary information source and the starting point for online public opinion formation in society [43,44]. During outbreaks of swine epidemic diseases, media rapidly disseminates information on social platforms, leading to heightened public attention and negative emotions among consumers and producers. These emotions influence their decision-making behavior, causing shifts in supply and demand, and ultimately triggering price fluctuations. The mechanisms underlying public opinion are information dissemination, emotional contagion, and public opinion guidance (as shown in Figure 3).
Figure 3.
Theoretical analysis framework.
3.1.1. Online Information Dissemination
The outbreak of swine epidemic diseases directly affects consumers’ food safety and producers’ farming income. Therefore, the occurrence of such incidents will quickly become the focus of media attention, triggering a series of chain reactions of information dissemination [17]. Official media, as the primary platform for authoritative information, serves as the starting point for information dissemination and sparks widespread public attention and emotional resonance. Subsequently, numerous online media outlets rapidly follow, engaging in extensive reprocessing and distribution of the topic to attract attention and increase click-through rates, leading to secondary information dissemination [17]. Throughout this process, the public is continuously exposed to reports and promotions from various media channels regarding swine epidemic diseases. Such frequent and homogeneous information flow may result in individuals becoming entrenched in “information cocoons” online [45]. This can heighten perceptions of risk related to the disease, reinforce its severity, and increase public concern, ultimately influencing behavior changes and amplifying market price fluctuations.
3.1.2. Online Emotional Contagion
Due to the unpredictability and destructive nature of swine epidemic diseases, media reports often carry negatively charged terms such as “infection” and “fatality”. This emotional framing transforms the objective event of swine epidemic disease outbreaks into a source of emotional contagion, heightening the public’s perception of negative emotions like concern and fear [24]. Additionally, driven by worries about potential health risks or economic losses in farming income, consumers and producers often actively search for and gather information about the disease online. They tend to express emotional reactions through behaviors such as sharing and commenting on social media. These emotional responses are amplified through the “spiral of silence” and the “emotional contagion”, gaining broader dissemination and resonance [38]. According to the prospect theory, when faced with potential risks, consumers and producers are likely to take precautionary measures, such as stockpiling or reducing farming activities, to mitigate perceived threats. These behaviors may ultimately contribute to fluctuations in market prices.
3.1.3. Online Public Opinion Guidance
According to the life cycle theory, the development of online public opinion regarding sudden events can be divided into four stages: the latent period, outbreak period, continuation period, and recovery period [32]. Effective and systematic intervention can significantly shorten the life cycle of public opinion. The online public opinion surrounding swine epidemic diseases follows a similar pattern. The outbreak of swine epidemic diseases leads to a sharp increase in public attention and negative emotions. However, as the government implements timely and effective control measures, official media releases authoritative information, and new events emerge in online discussions, public opinion on swine epidemic diseases transitions to the decline and recovery phases. During this transition, public attention and negative emotions fluctuate from normal levels to abnormal peaks and eventually return to normal. Correspondingly, the magnitude of market price fluctuations also changes throughout this process.
3.2. Research Hypotheses
The price equilibrium theory posits that pork price fluctuations are jointly shaped by the market’s supply and demand relationship. The behaviors of producers and consumers are the key factors influencing the changes in supply and demand [11]. Producers and consumers can generally be categorized into two groups. The first group consists of rational individuals who generally trust information from the government. These individuals objectively process epidemic-related information, make sound market judgments, and remain unaffected by information concerning swine epidemic diseases. Their production and consumption activities swiftly return to normal once the disease is brought under control [20]. The second group comprises irrational individuals. These individuals are highly susceptible to information about swine epidemic diseases and may experience excessive fear and anxiety, which can lead to irrational decision-making. Specifically, the abnormal public attention and negative emotions triggered by swine epidemic disease outbreaks may lead producers to overestimate the severity of the disease. Consequently, they might prematurely sell their pigs or blindly reduce farming activities, causing irregular fluctuations in pork supply. Similarly, consumers, driven by safety concerns, may misunderstand or overreact to disease information, reducing or even halting pork purchases, thus causing demand fluctuations [38,40].
These changes in production and consumption behaviors, driven by abnormal attention and negative emotions, interact through market mechanisms and are ultimately reflected in pork price fluctuations, leading to significant price volatility. Therefore, this study proposes the following research hypotheses:
H1.
Online public attention and negative emotions triggered by swine epidemic diseases can increase pork price fluctuations.
According to the stimulus-response theory, novel and unfamiliar information can quickly capture audience attention and elicit immediate reactions [41]. When information about the swine epidemic disease outbreak appears on the Internet, it immediately becomes the focus of the market and stimulates the immediate reaction of market participants. At this stage, market uncertainty increases as key information such as the severity, extent, and duration of the disease may not be clear. This may increase the market’s high attention and negative fear, resulting in more pork price fluctuations.
However, as time progresses, market participants’ attention to such information gradually diminishes, and they develop an adaptive response to these recurring negative messages, resulting in what is referred to as “habitual desensitization”. This weakens the effect of emotional contagion. Simultaneously, the government actively guides online public opinion by releasing authoritative information. As more details about the outbreak are disclosed and public understanding improves, market uncertainty begins to decline. The online public opinion regarding swine epidemic diseases enters its recovery phase [29]. At this stage, market participants start adjusting their production and consumption strategies based on the actual situation of the outbreak. For instance, consumers may reassess the real impact of the disease on food safety. Ultimately, pork price fluctuations are expected to return to normal levels. Thus, this study proposes the following research hypotheses:
H2.
Online public attention and negative emotions triggered by swine epidemic disease outbreaks exert varying impacts on pork prices at different time points, with the most significant effects observed in the short term, gradually diminishing over time.
Under normal circumstances, minor swine epidemic diseases occur continuously, whereas large-scale swine epidemic diseases emerge sporadically and exert significant impacts. Specifically, outbreaks of large-scale swine epidemic diseases elicit stronger public attention and more pronounced negative emotions compared to minor outbreaks. This heightened public reaction drives consumers to reduce pork purchases and incentivizes producers to accelerate the slaughtering process. Consequently, in the early stages of an outbreak, the temporary surge in supply, coupled with reduced demand, suppresses pork price fluctuations. However, as the supply shortage becomes more pronounced in the medium term, price volatility intensifies. Over time, the situation gradually stabilizes, returning to normal in the long term.
H3.
The impact of online public attention and negative sentiment triggered by large-scale swine epidemic diseases suppresses pork price volatility in the short term, exacerbates volatility in the medium term, and diminishes in the long term.
The reason why the online public opinion of swine epidemic diseases can significantly affect the psychology and behavior of market participants is that this information is directly related to their vital interests [12]. Producers may pay close attention to local outbreaks and their potential disruption, while consumers may be more concerned about potential threats to food safety. As a result, market responses to different types of public opinion information show variability. Specifically, when discussions focus on the destructive impact of swine epidemic diseases on the pig farming industry, producers may respond by adjusting their production strategies due to concerns about future income and production costs. For instance, they might reduce livestock inventory or change farming practices. In this scenario, consumer behavior may remain relatively unchanged. Conversely, if public opinion highlights the possibility of disease transmission through chilled pork products, consumers may proactively reduce pork consumption and seek alternative meat products as a precaution. In this case, producer behavior is likely to remain stable. Thus, this study proposes the following hypothesis:
H4.
Online public attention and negative emotions about different topics have varying impacts on pork price fluctuations.
4. Materials and Methods
4.1. Data
Since its official launch in August 2009, Weibo rapidly expanded and became the most frequently accessed social networking platform by 2012, boasting over 500 million registered users. This transformation significantly influenced information dissemination patterns and public opinion dynamics [44]. Therefore, this study selects data from 2012 to 2022 as the research period. The monthly pork price data are sourced from the China Animal Husbandry and Veterinary yearbook, covering the period from January 2012 to December 2022. To eliminate the impact of inflation on prices, this study uses the Consumer Price Index (CPI) for January 2012 as a deflator. Additionally, to account for seasonal fluctuations, the Census X-12 method is employed for seasonal adjustment [33]. The monthly pork price data are obtained from the China Animal Husbandry and Veterinary Yearbook, spanning from January 2012 to December 2022, recorded at daily intervals.
The online public opinion data on swine epidemic diseases come from the Weibo platform. In 2024, with about 260 million daily active users, the Weibo platform has become an important distribution center of online public opinion in China. It also is the preferred platform for many scholars to obtain online public opinion data. This study utilizes statistical entries of swine epidemic diseases from the Official Veterinary Bulletin and focuses on major swine epidemic diseases, including “classical swine fever, African swine fever, PRRS (porcine reproductive and respiratory syndrome), foot-and-mouth disease, swine erysipelas, swine pneumonia, and brucellosis”, as keywords. Using Python 3.6, a web crawler was employed to retrieve relevant discussions from Weibo based on these keywords, collecting 92,092 entries. After removing special characters, manually excluding low-relevance entries, and performing deduplication, the dataset was refined to 88,211 valid records spanning 1 January 2012, to 31 December 2022, recorded at daily intervals. Given the monthly frequency of the pork price data, the daily discussion data from the Weibo platform will also be aggregated to a monthly level to ensure consistency in data granularity for subsequent analysis.
Considering that swine epidemic diseases involve a variety of industry-specific keywords, existing sentiment analysis databases lack sufficient relevant corpora. The Baidu AI Open Platform (https://ai.baidu.com, accessed on 20 September 2024), utilizing the extensive corpus of the Baidu search engine, provides a comprehensive dataset. This platform employs advanced deep learning models capable of effectively extracting sequential information within sentences, taking into account long-range contextual dependencies between words. Therefore, this study employs the Baidu AI platform’s sentiment analysis API to conduct a thorough sentiment analysis of discussions on Sina Weibo. Each comment is assigned a sentiment score. To account for variations in sentiment intensity across different swine epidemic diseases-related public opinion texts, the Weibo discussions are categorized into two distinct categories: positive and negative sentiments. Negative sentiment scores fall within the [0, 0.5) range, while positive sentiment scores are within the [0.5, 1] range.
4.2. Variable Selection
4.2.1. Pork Price Fluctuation
The pork price fluctuation refers to the fluctuation rate of the boneless pork price in the traders’ market. Based on existing research [11,24], its calculation formula is as follows:
In Equation (1), refers to the national pork price fluctuation of the t-th period, is the national pork price of the t-th period. is the national pork price of the lag period.
4.2.2. Public Attention
This paper calculates public attention based on the number of discussions on swine epidemic diseases. Firstly, the number of discussions on each disease is calculated, then the principal component analysis is performed on the above, and the variance contribution rate is used as the weight to synthesize the principal component, to obtain the attention index of public online attention. Based on existing research [36,41], its calculation formula is as follows:
In Equation (2), refers to the national public concern of the t-th period, represents the variance contribution rate of the i-th values of the t-th period. represents the cumulative contribution rate, and refers to the i-th principal component load of the t-th period.
4.2.3. Negative Sentiment
Based on existing research [17,44], this paper adopts the following method to calculate the public negative emotions about swine epidemic diseases, and the calculation formula is as follows:
In Equation (3), refers to the negative emotion index of the public in the t period of the country. is the number of negative public opinion discussions on swine epidemic diseases in the t period, and is the number of positive public opinion discussions in the t-th period. When > 0, it indicates that the overall public sentiment related to swine epidemic diseases tends to be negative, on the contrary, when the < 0, it indicates that the overall public sentiment tends to be positive.
A descriptive analysis of the above variables is shown in the Figure 4, Figure 5 and Figure 6. It can be seen that pork prices have been in a state of cyclical fluctuation over the years, with the amplitude of fluctuation becoming significantly more intense in 2019. Public attention and negative sentiment also show obvious cyclical fluctuations, which are likely closely related to the outbreak of periodic diseases. There are several peak points in these two fluctuation curves, which may be due to the sudden outbreak of major diseases, triggering widespread public concern and strong anxiety.
Figure 4.
Changes in pork price fluctuations from January 2012 to December 2022.
Figure 5.
Changes in public attention from January 2012 to December 2022.
Figure 6.
Changes in negative sentiment from January 2012 to December 2022.
4.3. Model
4.3.1. Time-Varying Parameter Vector Autoregression (TVP-VAR) Model
This study aims to explore the impact of network public sentiment on pork prices. Given that the relationships between variables may change dynamically over time and under varying conditions, traditional fixed-parameter VAR models may be insufficient to capture this complexity. Therefore, this study employs a time-varying parameter vector autoregression (TVP-VAR) model to more accurately capture the response of pork prices to disease-related public sentiment [39,44,45]. The basic form of the model is defined as:
In Equation (4), where is the variable vector of order K × 1, , s represents the number of lag periods, A and F1, …, FS is a parameter matrix of order K × K, and is used to capture elements that cannot be explained by other variables in the model, such as exogenous shocks, random errors, or the influence of factors not accounted for in the model, where ∼N(0,∑∑).
In Equation (5), is the standard deviation. It is assumed that the structural shock follows A recursive recognition pattern, and matrix A is the matrix form of the lower triangle. Its basic model structure is as follows:
where , the following VAR model can be obtained by transforming Equation (4) as follows:
In Equation (7), , Stacking the elements in the rows of to form β (s ×1 vector) and setting the , where ⊗ represents the Kronecker product, the VAR model can be transformed as follows:
In Equation (8), represents a multivariate time series vector including pork prices, public attention, and negative sentiment indicators. The coefficients , joint parameter matrix , and random fluctuation covariance matrix are all time-varying, while denotes the error term vector.
The lower triangular elements in can be converted and expressed as and . At the same time, suppose Equation (9) obeys the random walk process as follows: .
In Equation (9), . Because the TVP-VAR model forms a nonlinear model, maximum likelihood estimation requires a heavy computational burden and many repeated filters to evaluate the likelihood function for each set of parameters until the maximum is reached. Therefore, this study employs the Markov Chain Monte Carlo (MCMC) method for estimating the posterior values of the parameters.
4.3.2. Latent Dirichlet Allocation (LDA) Model
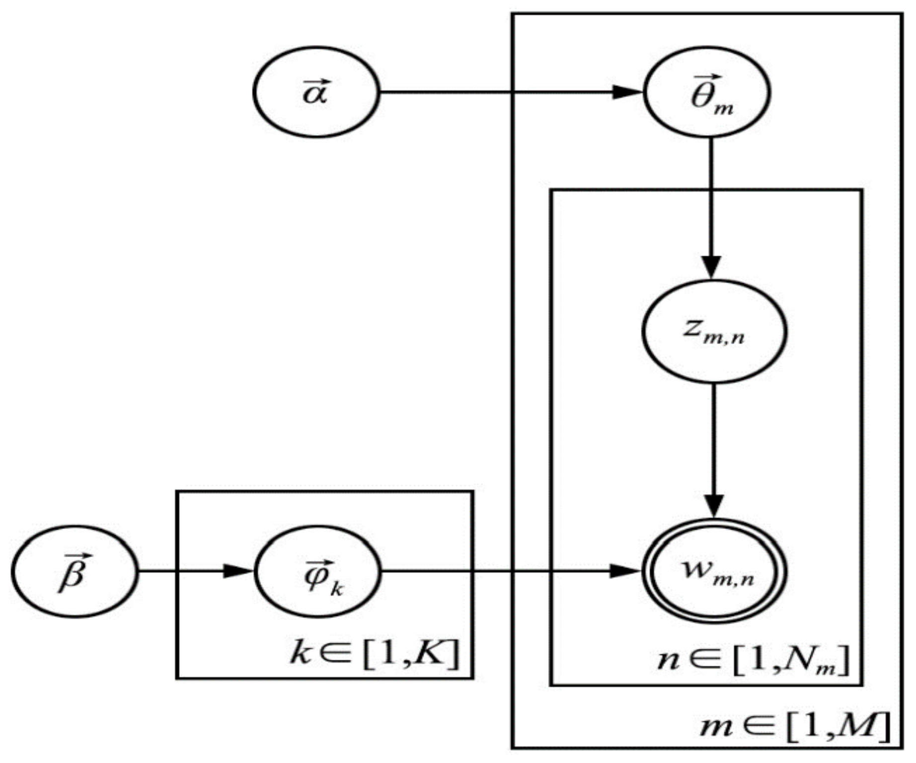
This study also employs the Latent Dirichlet Allocation (LDA) model to divide document topics. The LDA model is a Bayesian probabilistic model that consists of three layers: words, topics, and documents [46]. Using the bag-of-words approach, each document is treated as a word frequency vector, transforming textual information into quantifiable data suitable for modeling. The model utilizes unsupervised learning to uncover hidden topic structures within the text. The process is visualized in Figure 7.
Figure 7.
The calculation flow of the LDA model.
① The polynomial topic distribution of a document, m is randomly generated according to the Dirichlet distribution of parameter
② Generate N words in the document as follows:
A. According to the topic distribution , the topic corresponding to the NTH word in the m document is obtained;
B. According to the Dirichlet distribution of parameter , the corresponding topic is selected from k topics to generate the vocabulary ;
Therefore, the joint probability function corresponding to the LDA model is shown in Equation (10):
5. Results
5.1. Estimation of Selected Parameters
5.1.1. Stationarity Test
To prevent the occurrence of “pseudo-regression”, it is crucial to first assess the stationarity of the data. The Augmented Dickey-Fuller (ADF) test was employed to evaluate the stationarity of correlation sequences, such as pork prices. The findings reveal the null hypothesis of a unit root presence is rejected for all sequences (As shown in Table 1).
Table 1.
Unit root test of variables.
In addition to ADF test, the Zivot-Andrews test was also employed for variables’ stationarity check, as well as to overcome the series’ structure break problem which isn’t addressed by ADF test. The outcomes revealed that all variables were stationary at level (As shown in Table 2).
Table 2.
Estimated results of Zivot Andrews analysis.
5.1.2. Optimal Lag Order
The optimal lag order was determined through comprehensive evaluation using AIC, QIC, and BIC criteria [38]. Statistical analysis revealed that both QIC and BIC reached significant levels at lag order 1, establishing it as the optimal lag period for the model variables (As shown in Table 3).
Table 3.
Selection of model lag order.
5.1.3. Parameter Estimation
To verify the applicability of the TVP-VAR model, Markov chain Monte Carlo (MCMC) simulation technique is used in this paper. A total of 10,000 simulated samples were generated, with the initial 1000 samples discarded to calculate the posterior distribution of the parameters. In the parametric test results shown in Table 4, sbi, saj, and shk represent the i, j, and k diagonal elements of the ∑β, ∑α, and ∑h matrices, respectively. Their posterior means all fall within 95% confidence intervals. The Geweke test fails to reject the hypothesis that the parameter estimates converge to a posterior distribution at a significance level of 5%. The invalid factors of this model are relatively small, and the maximum value is 23.55, which is at a reasonable level. Therefore, the results indicate that the parameter estimation of the model in this paper is effective and suitable for subsequent impulse response analysis.
Table 4.
Parameter estimation results.
5.2. Impulse Response Analysis
5.2.1. Equal-Interval Impulse Response Results Analysis
Figure 8 displays the equal-interval pulse response of public concern and negative sentiment to pork price fluctuations. Specifically, the dotted line depicts the effect of a one standard deviation positive shock to one variable on another variable after periods of 1, 4, and 8, which are classified as short-term, medium-term, and long-term, respectively.
Figure 8.
Equal-interval impulse response results between public attention and negative emotions.
From the direction of the impulse response, public concern and negative sentiment have a significant positive impulse response to pork price fluctuations. The primary reason is that pork price fluctuations are typically directly influenced by supply and demand [6]. Outbreaks of swine epidemic diseases often trigger widespread public concern and panic. Consumers may reduce their purchases due to food safety concerns, while producers may decrease their farm scale due to concerns about the risk of disease, or increase it in anticipation of future pork supply shortages. These changes in both supply and demand caused by public behavior have contributed to the pork price fluctuation. This finding confirms Hypothesis 1. This finding aligns with previous studies, indicating that online public sentiment triggered by swine epidemics can amplify price volatility [11,17].
From the degree of the impulse response, public concern and negative sentiment have the strongest impulse response to pork price fluctuation in the short term (1 month), and this impact gradually diminishes as the lag period increases. The main reason is that the public is most sensitive to information they encounter for the first time. Therefore, when a swine epidemic disease outbreak occurs and the information first spreads, it is most likely to prompt changes in consumer and producer behavior. This rapid change in supply and demand directly leads to significant short-term fluctuations in pork prices. Over time, the government and industry organizations may intervene to help stabilize market sentiment and reduce unnecessary panic by releasing accurate swine epidemic disease information and implementing market regulation measures. As consumers and producers gain a more comprehensive understanding of the disease, market behavior gradually becomes more rational, and pork price fluctuations diminish. In the long run, both consumers and producers adapt to the new situation. Consumers gradually resume normal purchasing behavior, and producers strengthen disease prevention measures and return to normal production practices. Consequently, pork price fluctuations decrease and eventually stabilize at a level determined by the fundamental supply and demand relationship of the market [17]. This finding confirms Hypothesis 2.
5.2.2. Impulse Response Analysis at Different Times
Swine epidemic disease outbreaks are generally in a normal state, but there are also periods when massive outbreak diseases occur irregularly. The timing of these large-scale outbreaks may produce different pulse responses. Therefore, this paper selects August 2012, June 2014, and November 2019 to represent the outbreak peaking period of swine diarrhea (July–September 2012), foot-and-mouth disease (May–August 2014), and African swine fever (August 2018–December 2022), respectively.
Figure 9 indicates that at three distinct time points, the impulse response of public attention and negative emotions to pork price fluctuations consistently follows the same trend. Specifically, in the first lag period, the impulse response of public concern and negative sentiment toward pork prices initially exhibits a temporary restraining effect. This effect then rapidly shifts to a positive amplification effect on price volatility, peaking in the second lag period. Eventually, the impulse response gradually diminishes until it disappears. This pattern can be attributed to the fact that, in the stages of a swine epidemic disease outbreak, as media coverage intensifies and negative emotions rise, consumers may reduce their pork purchases, leading to a decrease in demand. Meanwhile, producers facing potential risks may adopt preventive measures such as early slaughtering. The temporary increase in supply and decrease in demand may initially curb pork price fluctuation [14].
Figure 9.
Time-point impulse response results between public attention and negative sentiment.
Figure 9 also shows that the impulse response of negative emotions varies among different types of swine epidemic diseases. Specifically, the impulse response of negative emotions triggered by swine diarrhea has a weaker effect compared to that of foot-and-mouth disease and African swine fever. This phenomenon is primarily due to swine diarrhea having relatively less severe consequences and a shorter duration. Additionally, during the widespread outbreak of swine diarrhea, the level of internet penetration and the speed of information dissemination are relatively weak. This finding confirms Hypothesis 3.
5.3. Robustness Test
To enhance the robustness of the study’s conclusions, several verification measures were implemented. Firstly, the number of Monte Carlo simulation iterations was increased to 50,000. The simulation results show that the direction and degree of the impulse response results are consistent with the benchmark results, indicating that the results are not affected by random fluctuations (as shown in Figure 10). Secondly, considering the potential impact of COVID-19 on the pig industry, this study excluded the data from January 2020 and later for re-analysis, and found that the results remained consistent (as shown in Figure 11). Finally, the calculation method of public concern was changed from principal component analysis to summing and logarithmic processing based on different discussion quantities. Additionally, recognizing that a certain proportion of neutral posts on Weibo are mostly objective statements or analyses with limited impact on consumer and producer behavior, this study refined the sentiment analysis method. It categorized and adjusted the emotions related to swine epidemic diseases into positive, neutral, and negative categories, and re-classified microblog posts according to sentiment scores. The specific classification criteria are as follows: negative sentiment scores are defined in the interval [0, 0.4), neutral sentiment scores are in the interval [0.4, 0.6), and positive sentiment scores are in the interval [0.6, 1]. The results remained consistent, further verifying the robustness of the study (as shown in Figure 12).
Figure 10.
Increased sampling times.
Figure 11.
Excluding the COVID-19 epidemic period.
Figure 12.
Replace indicators.
5.4. Further Discussion
The network discussion of the swine epidemic diseases includes a variety of topics, such as outbreaks, control measures, and impacts. Therefore, this study utilized the LDA model to systematically categorize the discussion content related to swine epidemic diseases. To systematically analyze and categorize this diverse content, this study employs the Latent Dirichlet Allocation (LDA) model, a probabilistic topic modeling approach widely recognized for its effectiveness in text analysis. The LDA model was chosen for its capacity to reveal underlying thematic structures within extensive and intricate textual datasets, making it exceptionally suitable for examining unstructured and fluid online conversations. Unlike supervised learning methods that necessitate pre-labeled datasets, the LDA model independently discerns interpretable topics. This adaptability enables the model to accommodate the diverse and multifaceted nature of public discourse on swine epidemic diseases. By considering perplexity and coherence metrics, the optimal number of topics was determined to be four. Subsequently, the top five high-probability feature words for each topic were calculated, and based on this, the topics were categorized and named accordingly. Detailed results are presented in Table 5.
Table 5.
Distribution of topics and features with a high probability of swine epidemic diseases network discussion.
The topics of public discussion fall into four main categories. The first topic is disease transmission. This topic focuses on the mechanisms and impacts of disease spread, covering the characteristics and infection routes of the disease, methods for controlling its spread, and treatment strategies. The second topic is vaccine technology. It emphasizes the development, production, and technological advancements of vaccines, highlighting the role of enterprises and technological progress in vaccine development. The third topic is disease prevention and control. This topic focuses on strategies for disease prevention and control, with discussions centering on the implementation of control measures, the promotion of immunization plans, the establishment of quarantine and monitoring systems, and various public health strategies adopted in response to epidemic outbreaks. The fourth topic is industry development. It focuses on the macroeconomic dynamics of the pig industry, including market cyclical changes, capacity adjustments, industry development trends, and price fluctuations.
Based on the different topics, this paper re-analyzes the impulse response results of public attention and negative sentiment on pork price fluctuations, as shown in Figure 13, Figure 14, Figure 15 and Figure 16.
Figure 13.
Topic of disease transmission.
Figure 14.
Topic of vaccine technology themes.
Figure 15.
Topic of disease prevention and control.
Figure 16.
Topic of industry development themes.
As can be seen from the above figure, the impulse response of public attention and negative sentiment displayed a consistent pattern, characterized by positive impacts that went from strong to weak over time. The impulse response of negative sentiment related to disease prevention and control of price fluctuations was positive in the medium and long term before 2015, and then turned negative, though the values were small and fluctuated around zero. This difference may be attributed to the disease prevention and control information released by central official media in the online public sphere. With the continuous spread of the Internet, the influence of official media has gradually increased. The information they disseminate effectively alleviates public attention and negative emotions. The impulse response results related to industry development topics are different from other topics. Its impulse response results in the medium and long term are greater than those in the short term. This may be because industry development is directly related to producers, who adjust their production scale based on predictions of industry trends. Given the cyclical nature of pig farming, such adjustments have a more significant impact on price fluctuations in the medium to long term. This finding confirms Hypothesis 4.
6. Conclusions
This study uses the TVP-VAR model and LDA model to analyze the impulse response of public attention and negative sentiment on pork price fluctuations. The main conclusions are as follows:
(1) Online public concern and negative sentiment exhibit a significant positive impulse response to pork price fluctuations. These impacts are most pronounced during the one-month lag period, gradually weaken over the four-month lag period, and eventually dissipate by the eight-month lag period. (2) At critical time points of major disease outbreaks—such as swine diarrhea, foot-and-mouth disease, and African swine fever—the impulse effects of public attention and negative sentiment on pork price fluctuations demonstrate distinct stage-specific characteristics. In the first stage (0.5-month lag period), the impact manifests as a brief negative shock. In the second stage (1–2 month lag period), it transitions into a positive upward effect. By the third stage (2 months and beyond), this positive effect gradually diminishes to zero. Additionally, online public opinion triggered by highly destructive swine epidemic diseases tends to exert a more pronounced impact on price fluctuations. (3) Online public discussions on swine epidemic diseases can be categorized into several key topics, including disease transmission, vaccine technology, disease prevention and control, and industry recovery. The attention and negative emotions associated with these four major topics all show a positive impulse response to pork price fluctuations.
Based on the above research conclusions, this paper puts forward the following suggestions: (1) In the early stage of the swine epidemic disease outbreak, the government should promptly release detailed disease information through the official media. This should include details about the type of disease, whether it is zoonotic, its destructive potential, and the prevention and control measures being implemented by the government. Ensuring the timeliness, accuracy, and transparency of information will help minimize misinterpretation and secondary dissemination by online media, thereby effectively curbing public panic caused by information asymmetry. At the same time, timely educational and publicity efforts should be conducted to enhance the public’s accurate understanding of the disease and prevent the spread of unnecessary panic [38,40]. (2) Establish and refine an online public opinion monitoring and early warning mechanism for swine epidemic diseases. Closely track the dynamics of online public opinion, paying particular attention to influential civilian opinion leaders. In response to the spread of false information and rumors, it is crucial to issue official rebuttals promptly, provide correct public opinion guidance, and prevent the unchecked amplification of negative emotions and the formation of information echo chambers. This will help maintain market stability and social order [6]. (3) Given the close correlation between public opinion and actual swine epidemic diseases, the government must continue to adhere to routine prevention and control of swine epidemic diseases. This involves strengthening regular monitoring of the health status of pig herds nationwide and strictly implementing key prevention and control measures such as harmless treatment, quarantine, and transportation supervision. Once an outbreak is detected, the government must swiftly implement emergency measures such as disinfection, isolation, and culling to prevent further spread of the disease [9].
The limitations of this study and potential directions for future research are reflected. First, the study focuses on the pork price fluctuations, without delving into the upward or downward trends of the prices themselves and their underlying mechanisms. Additionally, the research is mainly based on a domestic perspective, failing to fully consider the impact of international situation changes on pork prices. This, to some extent, limits the generalizability of the study’s conclusions. Future research could further refine the specific magnitudes of price fluctuations and their driving factors, while incorporating international market dynamics into the analytical framework. This would help to construct a more comprehensive and systematic research perspective, providing a more scientific basis for the formulation of relevant policies.
Author Contributions
F.L.: conceptualization, writing—original draft, writing—review and editing, data curation, formal analysis, investigation, methodology, software, supervision, validation, visualization. H.L. (Huishang Li): project administration, writing—original draft, writing—review and editing, data curation, formal analysis, investigation, methodology. X.D.: methodology, formal analysis, data curation. H.R.: conceptualization, supervision. H.L. (Huaiyang Li): conceptualization, supervision. All authors have read and agreed to the published version of the manuscript.
Funding
This study was supported by the National Nature Science Foundation of China (Grant No. 72073131), China Postdoctoral Science Foundation (2024M753577), and the Innovation project of the Chinese Academy of Agricultural Sciences (CAAS-ASTIP-2016-AII).
Institutional Review Board Statement
This research is not human or animal research, and no sensitive data were obtained or used. Therefore, it is not necessary to specify Institutional Review Board Statement.
Data Availability Statement
The data used in this paper are from the China Animal Husbandry and Veterinary yearbook. The yearbook is public data.
Conflicts of Interest
The authors declare no conflicts of interest. Furthermore, the funders had no role in the design of the study; in the collection, analysis, or interpretation of data; in the writing of the manuscript; or in the decision to publish the results.
References
- Fu, L.; Zhang, H. Analysis of Factors Influencing Small-Scale Agricultural Product Prices from the Perspective of the Online Public—A Case Study of China. Front. Sustain. Food Syst. 2024, 8, 1355853. [Google Scholar] [CrossRef]
- Zhao, Y.; Han, L.; Sang, H.; Yang, P.; Hou, Y.; Xiao, Y. Two Genotypes of H3N2 Swine Influenza Viruses Identified in Pigs from Shandong Province, China. Front. Cell. Infect. Microbiol. 2024, 14, 1517023. [Google Scholar] [CrossRef]
- Perez-Acle, T.; Ravello, C.; Rosemblatt, M. Are We Cultivating the Perfect Storm for a Human Avian Influenza Pandemic? Biol. Res. 2024, 57, 96. [Google Scholar] [CrossRef]
- Nguyen, T.T.; Mai, T.N.; Dang-Xuan, S.; Nguyen-Viet, H.; Unger, F.; Lee, H.S. Emerging Zoonotic Diseases in Southeast Asia in the Period 2011-2022: A Systematic Literature Review. Vet. Q. 2024, 44, 1–15. [Google Scholar] [CrossRef]
- Kim, G.; Kim, S.-J.; Kim, J.-H.; Kim, Y.-K.; Jheong, W.-H. Resurgence of Type III IGR Between I73R and I329L in Wild Boars with African Swine Fever in South Korea in 2023. Transbound. Emerg. Dis. 2025, 2025, 2524367. [Google Scholar] [CrossRef]
- Soon, B.M.; Kim, W. The Impact of African Swine Fever News Sentiment on the Korean Meat Market. PLoS ONE 2023, 18, e0286520. [Google Scholar] [CrossRef]
- Griffin, T.M.; Hagerman, A.D.; Lambert, D.M.; Inman, R. Media Content, African Swine Fever, a Trade War, and U.S. Lean Hog Futures. J. Agric. Appl. Econ. 2024, 56, 530–543. [Google Scholar] [CrossRef]
- Kashyap, P.; Suter, J.F.; McKee, S.C. Measuring Changes in Pork Demand, Welfare Effects, and the Role of Information Sources in the Event of an African Swine Fever Outbreak in the United States. Food Policy 2024, 126, 102672. [Google Scholar] [CrossRef]
- Wei, X.; Lin, W.; Hennessy, D.A. Biosecurity and Disease Management in China’s Animal Agriculture Sector. Food Policy 2015, 54, 52–64. [Google Scholar] [CrossRef]
- Li, Y.; Robertson, I. The Epidemiology of Swine Influenza. Anim. Dis. 2021, 1, 21. [Google Scholar] [CrossRef]
- Li, H.; Hu, C.; Lu, Z.; Li, M.; Guo, X. African Swine Fever and Meat Prices Fluctuation: An Empirical Study in China Based on TVP-VAR Model. J. Integr. Agric. 2021, 20, 2289–2301. [Google Scholar] [CrossRef]
- Lv, X.; Meng, J.; Wu, Q. Dynamic Influence of Network Public Opinions on Price Fluctuation of Small Agricultural Products Based on NLP-TVP-VAR Model—Taking Garlic as an Example. Sustainability 2022, 14, 8637. [Google Scholar] [CrossRef]
- Pan, D.; Yang, J.; Zhou, G.; Kong, F. The Influence of COVID-19 on Agricultural Economy and Emergency Mitigation Measures in China: A Text Mining Analysis. PLoS ONE 2020, 15, e0241167. [Google Scholar] [CrossRef]
- Pang, J.; Yin, J.; Lu, G.; Li, S. Supply and Demand Changes, Pig Epidemic Shocks, and Pork Price Fluctuations: An Empirical Study Based on an SVAR Model. Sustainability 2023, 15, 13130. [Google Scholar] [CrossRef]
- Orozco-Cirilo, S.; Manuel Vargas-Canales, J.; Ernesto Medina-Cuellar, S.; Antonio Bautista, J. Mexican pork price forecast, based on WTI crude oil and Corn and Soybean grains. Rev. Cient.-Fac. Cienc. Vet. 2023, 33, 1–8. [Google Scholar] [CrossRef]
- Wan, W.; Tao, J. The Impact of Food Safety Scandals on Pork Prices from Consumer Concern Perspective: Evidence from China. Front. Sustain. Food Syst. 2023, 7, 1270705. [Google Scholar] [CrossRef]
- Noda, H.; Kyo, K. Dynamic Relationships among Changes in Prices of Beef, Pork, and Chicken in Japan: A Bayesian Approach. J. Agric. Food Res. 2023, 11, 100464. [Google Scholar] [CrossRef]
- Guo, J.; Tanaka, T. Potential Factors in Determining Cross-Border Price Spillovers in the Pork Sector: Evidence from Net Pork-Importing Countries. Humanit. Soc. Sci. Commun. 2022, 9, 4. [Google Scholar] [CrossRef]
- Jin, T.; Li, L. An Empirical Analysis of Pork Price Fluctuations in China with the Autoregressive Conditional Heteroscedasticity Model. Cienc. Rural 2024, 54, e20220197. [Google Scholar] [CrossRef]
- Jurkenaite, N. Pork Market Price Transmission During the COVID-19 Pandemic: The Lithuanian Case. Montenegrin J. Econ. 2024, 20, 53–62. [Google Scholar] [CrossRef]
- Yang, Q.; Qiao, S.; Ying, R. Agricultural Industrial Scale, Price Random Fluctuation, and Profitability Levels: Evidence from China’s Pig Industry. Front. Sustain. Food Syst. 2024, 8, 1291743. [Google Scholar] [CrossRef]
- Popescu, A. Pork Market Crisis in Romania: Pig Livestock, Pork Production, Consumption, Import, Export, Trade Balance and Price. Sci. Pap.-Ser. Manag. Econ. Eng. Agric. Rural Dev. 2020, 20, 461–474. [Google Scholar]
- Su, Y.; Qu, Y.; Kang, Y. Online Public Opinion and Asset Prices: A Literature Review. Data Sci. Financ. Econ. 2021, 1, 60–76. [Google Scholar] [CrossRef]
- Liu, T.; Hu, X.; Dong, Q. Generation Paths of Online Public Opinion Impact in Public Health Emergency: A Fuzzy-Set Qualitative Comparative Analysis Based on Chinese Data. Front. Public Health 2024, 12, 1404587. [Google Scholar] [CrossRef]
- Qin, M.; Lu, W. The Influence of Public Sentiment on the Price of Aquatic Products under the Influence of Nuclear Wastewater Discharge in Japan. Mar. Policy 2024, 170, 106384. [Google Scholar] [CrossRef]
- Bollen, J.; Mao, H.; Pepe, A. Modeling Public Mood and Emotion: Twitter Sentiment and Socio-Economic Phenomena. In Proceedings of the International AAAI Conference on Web and Social Media, Online, 7–10 June 2021; Volume 5, pp. 450–453. [Google Scholar] [CrossRef]
- Yadavalli, A.; Jones, K. Does Media Influence Consumer Demand? The Case of Lean Finely Textured Beef in the United States. Food Policy 2014, 49, 219–227. [Google Scholar] [CrossRef]
- Hou, K.; Hou, T.; Cai, L. Public Attention about COVID-19 on Social Media: An Investigation Based on Data Mining and Text Analysis. Personal. Individ. Differ. 2021, 175, 110701. [Google Scholar] [CrossRef]
- Zhou, Q.; Jing, M. Multidimensional Mining of Public Opinion in Emergency Events. Electron. Libr. 2020, 38, 545–560. [Google Scholar] [CrossRef]
- Yang, X.; Cao, J.; Liu, Z.; Lai, Y. Environmental Policy Uncertainty and Green Innovation: A TVP-VAR-SV Model Approach. Quant. Financ. Econ. 2022, 6, 604–621. [Google Scholar] [CrossRef]
- Yi, L.; Tao, J.; Tan, C.; Zhu, Z. Avian Influenza, Public Opinion, and Risk Spillover: Measurement, Theory, and Evidence from China’s Broiler Market. Sustainability 2019, 11, 2358. [Google Scholar] [CrossRef]
- Hassouneh, I.; Radwan, A.; Serra, T.; Gil, J.M. Food Scare Crises and Developing Countries: The Impact of Avian Influenza on Vertical Price Transmission in the Egyptian Poultry Sector. Food Policy 2012, 37, 264–274. [Google Scholar] [CrossRef]
- Kim, S.; Sung, K.H.; Ji, Y.; Xing, C.; Qu, J.G. Online Firestorms in Social Media: Comparative Research between China Weibo and USA Twitter. Public Relat. Rev. 2021, 47, 102010. [Google Scholar] [CrossRef]
- Zhang, F.; Tang, Q.; Chen, J.; Han, N. China Public Emotion Analysis under Normalization of COVID-19 Epidemic: Using Sina Weibo. Front. Psychol. 2023, 13, 1066628. [Google Scholar] [CrossRef] [PubMed]
- Gallagher, C. How “cocooning” as a Public Health Measure Was Reported during the COVID-19 Crisis. Administration 2022, 70, 33–57. [Google Scholar] [CrossRef]
- Simeone, M.; Scarpato, D. Sustainable Consumption: How Does Social Media Affect Food Choices? J. Clean. Prod. 2020, 277, 124036. [Google Scholar] [CrossRef]
- Herrando, C.; Jimenez-Martinez, J.; Martin-De Hoyos, M.J.; Constantinides, E. Emotional Contagion Triggered by Online Consumer Reviews: Evidence from a Neuroscience Study. J. Retail. Consum. Serv. 2022, 67, 102973. [Google Scholar] [CrossRef]
- Askay, D.A. Silence in the Crowd: The Spiral of Silence Contributing to the Positive Bias of Opinions in an Online Review System. New Media Soc. 2014, 17, 1811–1829. [Google Scholar] [CrossRef]
- Zhang, L.; Wei, J.; Boncella, R.J. Emotional Communication Analysis of Emergency Microblog Based on the Evolution Life Cycle of Public Opinion. Inf. Discov. Deliv. 2020, 48, 151–163. [Google Scholar] [CrossRef]
- Rieger, J.; Weible, D.; Anders, S. “Why Some Consumers Don’t Care”: Heterogeneity in Household Responses to a Food Scandal. Appetite 2017, 113, 200–214. [Google Scholar] [CrossRef]
- Rathi, M.; Majumdar, A.; Rathi, S. Unraveling Prosumption Behavior for Online Reviews during Environmental Uncertainty: A Stimulus-Response Perspective. Inf. Syst. Front. 2024. [Google Scholar] [CrossRef]
- Ren, J.; Dong, H.; Padmanabhan, B.; Nickerson, J.V. How Does Social Media Sentiment Impact Mass Media Sentiment? A Study of News in the Financial Markets. J. Assoc. Inf. Sci. Technol. 2021, 72, 1183–1197. [Google Scholar] [CrossRef]
- Hou, L.-L. Impact of COVID-19 on Latent Emissiveness of Residents in China: Based on the X-12-ARIMA Additive Seasonal Adjustment Model. J. Comput. Methods Sci. Eng. 2021, 21, 1591–1604. [Google Scholar] [CrossRef]
- Sufyanullah, K.; Ahmad, K.A.; Sufyan Ali, M.A. Does Emission of Carbon Dioxide Is Impacted by Urbanization? An Empirical Study of Urbanization, Energy Consumption, Economic Growth and Carbon Emissions—Using ARDL Bound Testing Approach. Energy Policy 2022, 164, 112908. [Google Scholar] [CrossRef]
- Wang, K.-H.; Zhao, Y.-X.; Jiang, C.-F.; Li, Z.-Z. Does Green Finance Inspire Sustainable Development? Evidence from a Global Perspective. Econ. Anal. Policy 2022, 75, 412–426. [Google Scholar] [CrossRef]
- Blei, D.M.; Ng, A.Y.; Jordan, M.I. Latent Dirichlet Allocation. J. Mach. Learn. Res. 2003, 3, 993–1022. [Google Scholar] [CrossRef]
Disclaimer/Publisher’s Note: The statements, opinions and data contained in all publications are solely those of the individual author(s) and contributor(s) and not of MDPI and/or the editor(s). MDPI and/or the editor(s) disclaim responsibility for any injury to people or property resulting from any ideas, methods, instructions or products referred to in the content. |
© 2025 by the authors. Licensee MDPI, Basel, Switzerland. This article is an open access article distributed under the terms and conditions of the Creative Commons Attribution (CC BY) license (https://creativecommons.org/licenses/by/4.0/).















