Organo-Mineral Fertilization Enhances the Acceptability of Smooth Cayenne Pineapple Fruit (Ananas comosus (L.) Merrill) for European Export and Domestic Consumption in Benin
Abstract
1. Introduction
2. Materials and Methods
2.1. Experimental Site
2.2. Experimental Design and Treatments
2.3. Fruit Morphological and Physico-Chemical Characteristics
2.4. Sensorial Tests
2.5. Statistical Analysis
3. Results
3.1. Influence of Organo-Mineral Fertilization on Pineapple Yield Parameters
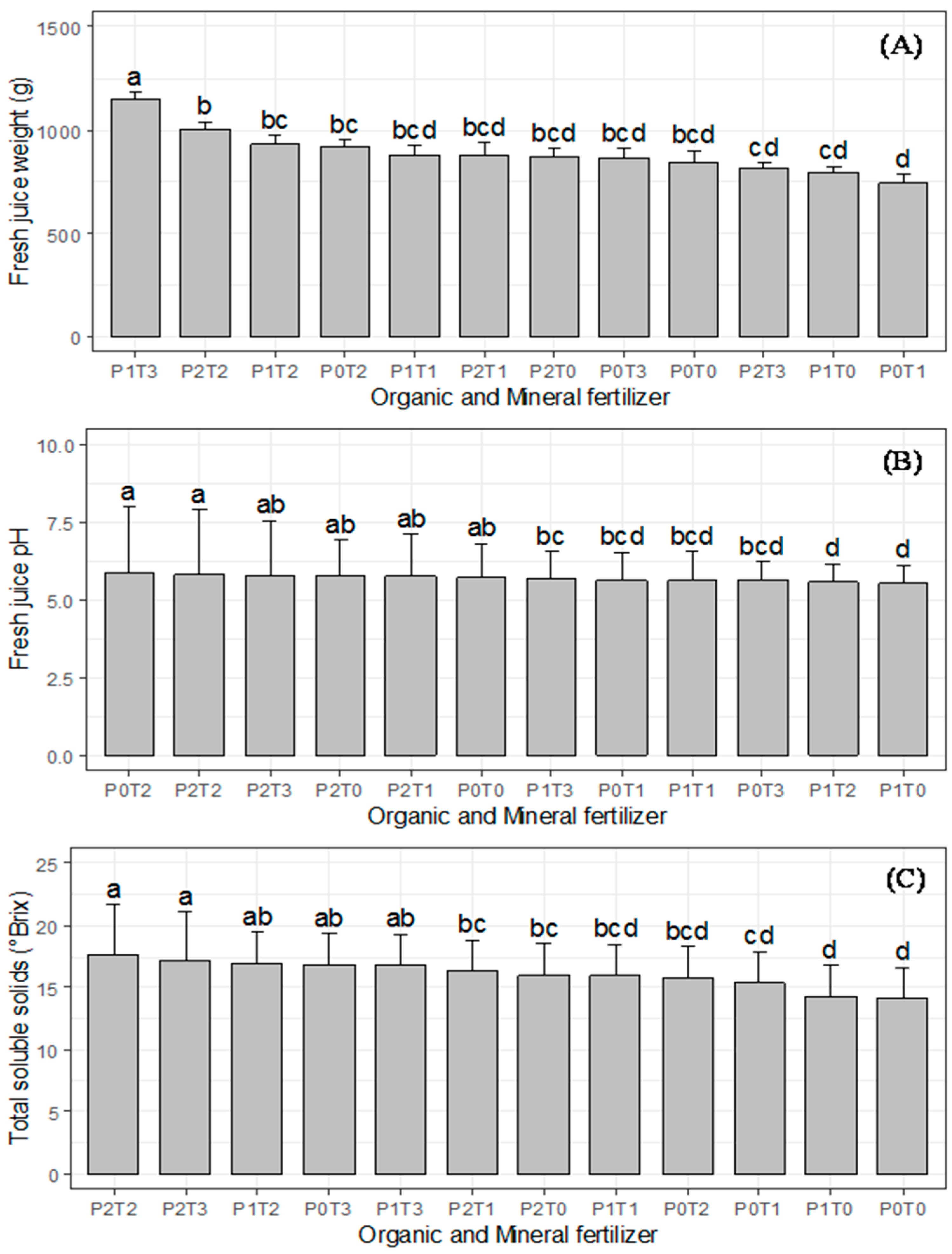
3.2. Effects of Organo-Mineral Fertilization on Fruit Quality and Proportion Meeting European Standards
3.3. Relation between Fruit Quality Attributes for Predicting Fruit Acceptability for European Exportation
3.4. Influence of Organo-Mineral Fertilization on Pineapple Fresh Fruit Quality Meeting Local Acceptability
3.4.1. Influence of Organo-Mineral Fertilization on Some Sensory Properties of Fresh Pineapple Fruit
3.4.2. Sensory Characteristics Determining Overall Acceptability
4. Discussion
4.1. Influence of Organo-Mineral Fertilization on Fruit Yield and Quality Attributes
4.2. Acceptability for Exportation and Domestic Consumption of Pineapple as Affected by Organo-Mineral Fertilization
5. Conclusions
Author Contributions
Funding
Acknowledgments
Conflicts of Interest
References
- FAOSTAT. Database. 2015. Available online: http://faostat3.fao.org/faostat-gateway/go/to/browse/Q/∗/E (accessed on 20 January 2016).
- Chogou, S.K.; Gandonou, E.; Fiogbe, N. Mesure de l’efficacité technique des petits producteurs d’ananas au Bénin. Cah. Agric. 2017, 26, 25004. [Google Scholar] [CrossRef]
- FRuiTROP. Dossier du Mois D’ananas. 2013. Available online: http://passionfruit.cirad.fr (accessed on 21 January 2019).
- Djalalou-Dine, A.A.A. Governance, Marketing and Innovations in Beninese Pineapple Supply Chains. A Survey of Smallholder Farmers in South Benin. Ph.D. Thesis, Wageningen University, Wageningen, The Netherland, 2013. [Google Scholar]
- Moser, R.; Raffaelli, R.; Thilmany-McFadden, D. Consumer preferences for fruit and vegetables with credence-based attributes: A review. Int. Food Agribus. Manag. Rev. 2011, 14, 121–141. [Google Scholar]
- Loeillet, D. Le marché mondial de l’ananas. Fruitrop 2013, 215, 32–39. [Google Scholar]
- Teixeira, L.A.J.; Quaggio, J.A.; Cantarella, H.; Mellis, E.V. Potassium fertilization for pineapple: Effects on plant growth and fruit yield. Rev. Bras. Frutic. 2011, 33, 618–626. [Google Scholar] [CrossRef]
- Dorey, E.P.; Fournier, M.L.; Tixier, P. Validity of the pineapple crop model SIMPIÑA across the climatic in Réunion Island. Eur. J. Agron. 2015, 62, 1–12. [Google Scholar] [CrossRef]
- Khamsouk, B.; Roose, E. Runoff and erosion of a tropical volcanic soil (nitisol) cultivated in intensive crop systems in Martinique. Cah. Agric. 2003, 12, 145–151. [Google Scholar]
- Echeverria-Saenz, S.F.; Mena, M.; Pinnock, C.; Ruepert, K.; Solano, E.; De la Cruz, B.; Campos, J.; Sanchez-Avila, S.L.; Barata, C. Environmental hazards of pesticides from pineapple crop production in the Rio Jimenez watershed (Caribbean Coast, Costa Rica). Sci. Total Environ. 2012, 440, 106–114. [Google Scholar] [CrossRef]
- Animesh, D.; Chaudhuri, P.S. Earthworm community structure of pineapple (Ananas comosus) plantations under monoculture and mixed culture in West Tripura, India. Trop. Ecol. 2014, 55, 1–17. [Google Scholar]
- Tossou, C. Impact de la Culture de L’ananas sur L’environnement dans le Département de l’Atlantique (République du Bénin), Mémoire de fin de Cycle Pour L’obtention du Diplôme d’Etudes Supérieures Spécialisées en Aménagement et Gestion des Ressources Naturelles; Faculté des Sciences Agronomiques, Université d’Abomey-Calavi: Abomey-Calavi, Bénin, 2001. [Google Scholar]
- Amusan, A.O.; Adetunji, M.T.; Azeez, J.O.; Bodunde, J.G. Effect of the Integrated Use of Legume Residue, Poultry Manure and Inorganic Fertilizers on Maize Yield, Nutrient Uptake and Soil Properties. Nutr. Cycl. Agroecosyst. 2011, 90, 321–330. [Google Scholar] [CrossRef]
- Liu, C.H.; Liu, Y. Influences of organic manure addition on the maturity and quality of pineapple fruits ripened in winter. J. Soil Sci. Plant Nutr. 2012, 12, 211–220. [Google Scholar] [CrossRef]
- Amoah, A.A.; Masateru, S.; Shuichi, M. Effects of Soil Fertility Management on Growth, Yield and Water-Use Efficiency of Maize (Zea Mays L.) and Selected Soil Properties’. Soil Sci. Plant Anal. 2012, 43, 924–935. [Google Scholar] [CrossRef]
- Kihara, J.; Bationo, A.; Mugendi, D.N.; Martius, C.; Vlek, P.L.G. Conservation Tillage, Local Organic Resources and Nitrogen Fertilizer Combinations Affect Maize Productivity, Soil Structure and Nutrient Balances in Semi-Arid Kenya. Nutr. Cycl. Agroecosyst. 2011, 90, 213–225. [Google Scholar] [CrossRef]
- Chivenge, P.; Bernard, V.; Johan, S. Does the Combined Application of Organic and Mineral Nutrient Sources Influence Maize Productivity? A Meta-Analysis. Plant Soil 2011, 342, 1–30. [Google Scholar] [CrossRef]
- Darnaudery, M.; Fournier, P.; Lechaudel, M. Low input pineapple crops with high quality fruit: Promising impacts of locally integrated and organic fertilization compared to chemical fertilizer. Exp. Agric. 2016, 1–17. [Google Scholar] [CrossRef]
- Nalubwama, S.; Vaarst, M.; Kabi, F.; Kiggundu, M.; Bagamba, F.; Odhong, C.; Mugisha, A.; Halberg, N. Challenges and Prospects of Integrating Livestock into Smallholder Organic Pineapple Production in Uganda. Livestock Research for Rural Development 2014. Available online: http://www.lrrd.org/lrrd26/6/cont2606.htm (accessed on 1 October 2018).
- Caetano, L.; Ventura, J.; Costa, A.; Guarçoni, R. Efeito da adubação com nitrogênio, fósforo e potássio no desenvolvimento, na produção e na qualidade de frutos do abacaxi ‘Vitória’. Rev. Bras. Frutic. 2013, 35, 883–890. [Google Scholar] [CrossRef]
- Codex Alimentarius. Codex Standard for Pineapples 2005. Available online: http://www.codexalimentarius.net/web/standard_list.do# (accessed on 20 October 2018).
- Fassinou, H.V.N.; Lommen, W.J.M.; Agbossou, K.E.; Struik, P.C. Influence of weight and type of planting material on fruit quality and its heterogeneity in pineapple [Ananas comosus (L.) Merrill]. Front. Plant Sci. 2015, 5, 798. [Google Scholar] [CrossRef]
- Watts, B.M.; Ylimaki, G.L.; Jeffery, L.E.; Elias, L.G. Méthodes de Base pour l’Evaluation Sensorielle des Aliments; CRDI: Ottawa, ON, Canada, 1991; p. 159. [Google Scholar]
- Agbangba, C.E.; Dagbenonbakin, G.D.; Djogbénou, C.P.; Houssou, P.; Assea, D.E.; Sossa, E.L.; Kotomalè, U.A.; Ahotonou, P.; Ndiaga, C.; Akpo, L.E. Influence de la fertilisation minérale sur la qualité physico-chimique et organoleptique du jus d’ananas Cayenne lisse au Bénin. Int. J. Biol. Chem. Sci. 2015, 9, 1277–1288. [Google Scholar] [CrossRef]
- R Core Team. A Language and Environment for Statistical Computing; R Foundation for Statistical Computing: Vienna, Austria, 2018; Available online: https://www.R-project.org/ (accessed on 15 August 2018).
- Gomez, K.A.; Gomez, A.A. Statistical Procedures for Agricultural Research, 2nd ed.; John Wiley and Sons: New York, NY, USA, 1984; p. 300. [Google Scholar]
- Kuznetsova, A.; Brockhoff, P.B.; Christensen, R.H.B. lmerTest Package: Tests in Linear Mixed Effects Models. J. Stat. Soft. 2017, 82, 1–26. [Google Scholar] [CrossRef]
- Husson, F.; Lê, S.; Pagês, G. Exploratory Multivariate Analysis by Exemple, Using R, 1st ed.; CRC Press, Taylor and Françis Group: Abingdon, UK, 2010; p. 205. [Google Scholar]
- Teisson, C.; Lacoeuilhe, J.J.; Combres, J.C. Le brunissement interne de l’ananas. Recherches des moyens de lutte. Fruits 1979, 34, 399–415. [Google Scholar]
- Reinhardt, D.H.R.C.; Neiva, L.P.A. NPK et sources de potassium dans l’ananas ‘Perola’ dans la micro-région à Bahia de Feira de Santana. In Congrès International de Fruits; Actes Brésil: Brasília, Brazil, 1986. [Google Scholar]
- Paula, M.B.; Carvalho, V.D.; Nogueira, F.D.; Souza, L.F. Efeito da calagem, potássio e nitrogênio na produção e qualidade do fruto do abacaxizeiro. Pesqui Agropecu Bras. 1991, 26, 1337–1343. [Google Scholar]
- Spironello, A.; Quaggio, J.A.; Teixeira, L.A.J.; Furlani, P.R.; Sigrist, J.M.M. Pineapple Yield and Fruit Quality Affected by NPK Fertilization in a Tropical Soil. Rev. Bras. Frutic. 2004, 26, 155–159. [Google Scholar] [CrossRef]
- Hounhouigan, H.M. Quality of Pasteurised Pineapple Juice in the Context of the Beninese Marketing System. Ph.D. Thesis, University of Wageningen, Wageningen, The Netherland, 2014. [Google Scholar]
- Saradhuldhat, P.; Paull, R.E. Pineapple organic acid metabolism and accumulation during fruit development. Sci. Hortic Amsterdam. 2007, 112, 297–303. [Google Scholar] [CrossRef]
- Pineapple news. Newsletter of the Pineapple Working Group; ISHS: Leuven, Belgium, 2013; Volume 20, pp. 1–73. [Google Scholar]





| Factors | df | Fruit Weight | Crown Length | Crown Weight | Ratio Crown Length: Fruit Length | ||||
|---|---|---|---|---|---|---|---|---|---|
| F | Prob | F | Prob | F | Prob | F | Prob | ||
| Organic | 2 | 0.11 | 0.068 | 0.20 | 0.817 | 0.90 | 0.420 | 0.54 | 0.591 |
| Mineral | 3 | 0.42 | 0.036 | 3.23 | 0.042 | 3.02 | 0.041 | 2.81 | 0.063 |
| Organic:Mineral | 6 | 0.67 | 0.012 | 2.28 | 0.074 | 1.95 | 0.117 | 2.70 | 0.041 |
| ICCBlock | 28.68 | 41.98 | 24.79 | 38.27 | |||||
| Factors | Fresh Juice Weight | Fresh Juice pH | Total Soluble Solids | Percentage of Fruits Meeting European Standards | |||||
|---|---|---|---|---|---|---|---|---|---|
| df | F | Prob | F | Prob | F | Prob | F | Prob | |
| Organic | 2 | 0.18 | 0.831 | 7.03 | <0.001 | 12.26 | <0.001 | 20.42 | <0.001 |
| Mineral | 3 | 0.59 | 0.019 | 5.78 | <0.001 | 13.76 | <0.001 | 5.17 | 0.007 |
| Organic:Mineral | 6 | 1.34 | 0.042 | 3.72 | 0.002 | 2.39 | 0.032 | 6.07 | <0.001 |
| ICCBlock | 21.13 | 58.14 | 0.00 | ||||||
| FW | IL | CL | CW | RCF | RCD | FCD | NF | NS | TSS | pH | JY | |
|---|---|---|---|---|---|---|---|---|---|---|---|---|
| FW | 1 | |||||||||||
| IL | 0.187 * | 1 | ||||||||||
| CL | −0.260 ** | 0.862 *** | 1 | |||||||||
| CW | −0.027 | 0.875 *** | 0.869 *** | 1 | ||||||||
| RCF | −0.562 *** | 0.570 *** | 0.902 *** | 0.683 *** | 1 | |||||||
| RCD | −0.456 *** | 0.706 *** | 0.938 *** | 0.761 *** | 0.929 *** | 1 | ||||||
| FCD | 0.074 | −0.011 | −0.056 | −0.033 | −0.069 | -0.282 ** | 1 | |||||
| NF | 0.794 *** | 0.108 | −0.325 *** | −0.153 | −0.612 *** | −0.502 *** | 0.082 | 1 | ||||
| NS | 0.02 | 0.06 | 0.077 | 0.081 | 0.077 | 0.058 | 0.022 | 0.074 | 1 | |||
| TSS | 0.136 | 0.029 | −0.027 | 0.083 | −0.053 | −0.041 | −0.005 | 0.07 | −0.021 | 1 | ||
| pH | 0.375 *** | 0.166 * | 0.005 | 0.058 | −0.104 | −0.116 | 0.117 | 0.359 *** | 0.220 * | 0.15 | 1 | |
| JY | 0.888 *** | 0.127 | 0.312 *** | −0.1 | −0.595 *** | −0.494 *** | 0.056 | 0.799 *** | 0.04 | 0.144 | 0.372 *** | 1 |
| Aroma | Sweetness | Acidity | Fiber | Acceptability | |
|---|---|---|---|---|---|
| Aroma | 1 | ||||
| Sweetness | 0.18 ** | 1 | |||
| Acidity | −0.04 | −0.34 *** | 1 | ||
| Fiber | 0.01 | −0.01 | 0.11 | 1 | |
| Acceptability | 0.14 * | 0.53 *** | −0.34 *** | −0.14 * | 1 |
© 2019 by the authors. Licensee MDPI, Basel, Switzerland. This article is an open access article distributed under the terms and conditions of the Creative Commons Attribution (CC BY) license (http://creativecommons.org/licenses/by/4.0/).
Share and Cite
Sossa, E.L.; Agbangba, C.E.; Dagbenonbakin, G.; Tohoun, R.; Tovihoudji, P.G.; Amadji, G.L. Organo-Mineral Fertilization Enhances the Acceptability of Smooth Cayenne Pineapple Fruit (Ananas comosus (L.) Merrill) for European Export and Domestic Consumption in Benin. Agriculture 2019, 9, 65. https://doi.org/10.3390/agriculture9030065
Sossa EL, Agbangba CE, Dagbenonbakin G, Tohoun R, Tovihoudji PG, Amadji GL. Organo-Mineral Fertilization Enhances the Acceptability of Smooth Cayenne Pineapple Fruit (Ananas comosus (L.) Merrill) for European Export and Domestic Consumption in Benin. Agriculture. 2019; 9(3):65. https://doi.org/10.3390/agriculture9030065
Chicago/Turabian StyleSossa, Elvire Line, Codjo Emile Agbangba, Gustave Dagbenonbakin, Roméo Tohoun, Pierre Gbènoukpo Tovihoudji, and Guillaume Lucien Amadji. 2019. "Organo-Mineral Fertilization Enhances the Acceptability of Smooth Cayenne Pineapple Fruit (Ananas comosus (L.) Merrill) for European Export and Domestic Consumption in Benin" Agriculture 9, no. 3: 65. https://doi.org/10.3390/agriculture9030065
APA StyleSossa, E. L., Agbangba, C. E., Dagbenonbakin, G., Tohoun, R., Tovihoudji, P. G., & Amadji, G. L. (2019). Organo-Mineral Fertilization Enhances the Acceptability of Smooth Cayenne Pineapple Fruit (Ananas comosus (L.) Merrill) for European Export and Domestic Consumption in Benin. Agriculture, 9(3), 65. https://doi.org/10.3390/agriculture9030065

