A COLREGs-Compliant Collision Avoidance Decision Approach Based on Deep Reinforcement Learning
Abstract
:1. Introduction
2. Literature Review
2.1. Intelligent Collision Avoidance Methods
2.2. Deep Reinforcement Learning
3. Method for Ship-Collision Avoidance Based on DRL
3.1. Motion Model of the Ship
3.1.1. Coordinate System
3.1.2. Motion Model
3.2. DRL Method for Ship-Collision Avoidance
3.2.1. State Space
- (1)
- Multi-ship encounter
- (2)
- Two-ship encounter
- (3)
- Avoiding Static obstacles
- (4)
- State space
3.2.2. Action Space
3.2.3. Reward Functions
- (1)
- The base layer
- (2)
- The COLREGs layer
- Stand-on
- Give-way
“Every vessel which is directed to keep out of the way of another vessel shall, so far as possible, take early and substantial action to keep well clear.”
- Head-on
“When two power-driven vessels are meeting on reciprocal or nearly reciprocal courses so as to involve risk of collision each shall alter her course to starboard so that each shall pass on the port side of the other.”
- Crossing
“When two power-driven vessels are crossing so as to involve risk of collision, the vessel which has the other on her own starboard side shall keep out of the way and shall, if the circumstances of the case admit, avoid crossing ahead of the other vessel.”
- Overtaking
- (3)
- The combination of reward functions
3.3. DRL Algorithm Design and Implementation
| Algorithm 1: The pseudocode of the DQN algorithm: Collision avoidance based on the DQN. | 
| 1: Initialize the replay memory with capacity | 
| 2: Initialize evaluate network and target network with random parameters | 
| ; , | 
| 3: Set the maximum training episodes | 
| 4: for episode = 1 to do | 
| 5: Initialize the state | 
| 6: while do | 
| 7: Use -greedy policy to choose action | 
| 8: Execute , use the MMG model to calculate the next state , observe the reward | 
| 9: Store experience into replay memory | 
| 10: Sample a batch of experience from replay memory | 
| 11: Use the target network to calculate the real action value | 
| 12: Update evaluate network parameters via stochastic gradient descent strategy | 
| 13: Update state | 
| 14: Update evaluate network parameters | 
| 15: end for | 
3.4. The Superiority of the Method
4. Simulation Experiments
4.1. Preparation for the Simulation
4.2. Application Examples
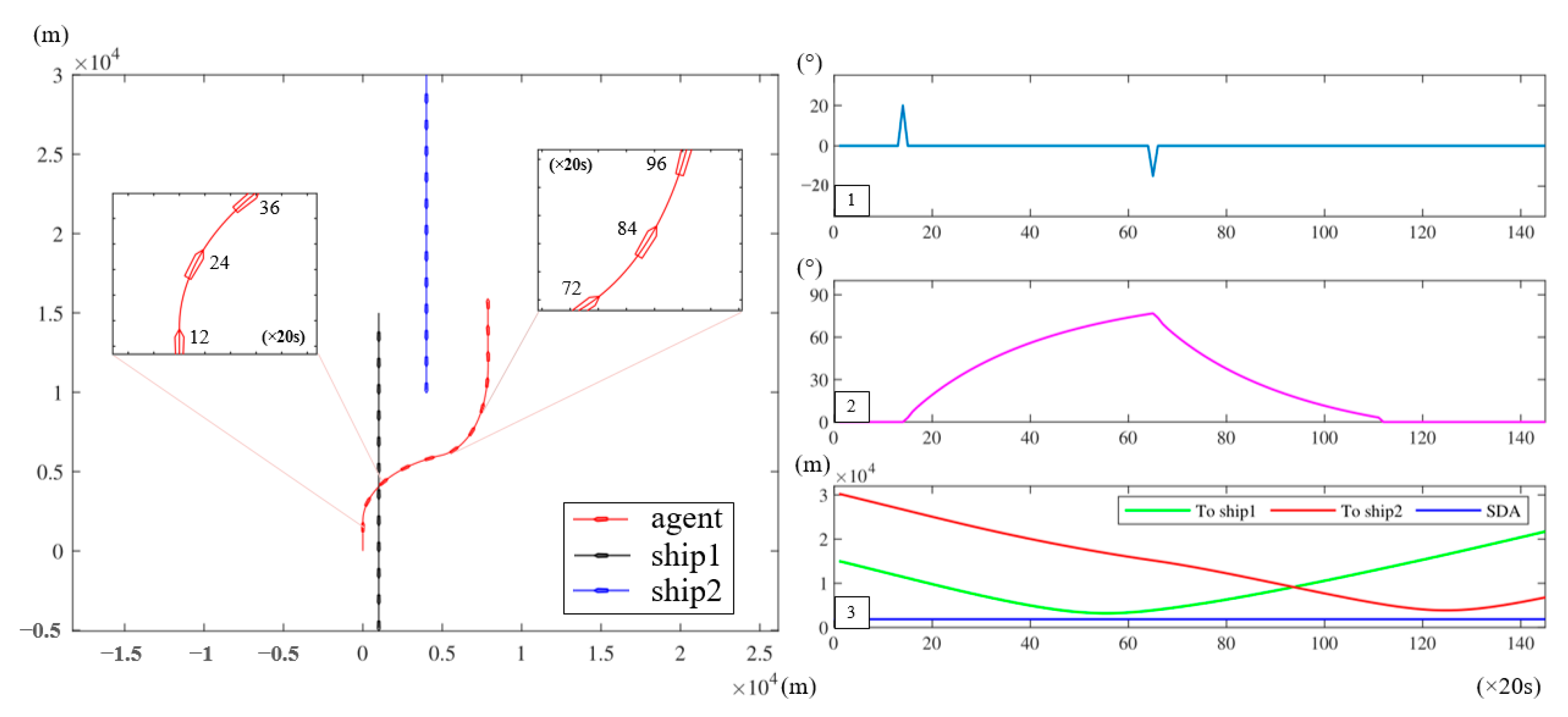
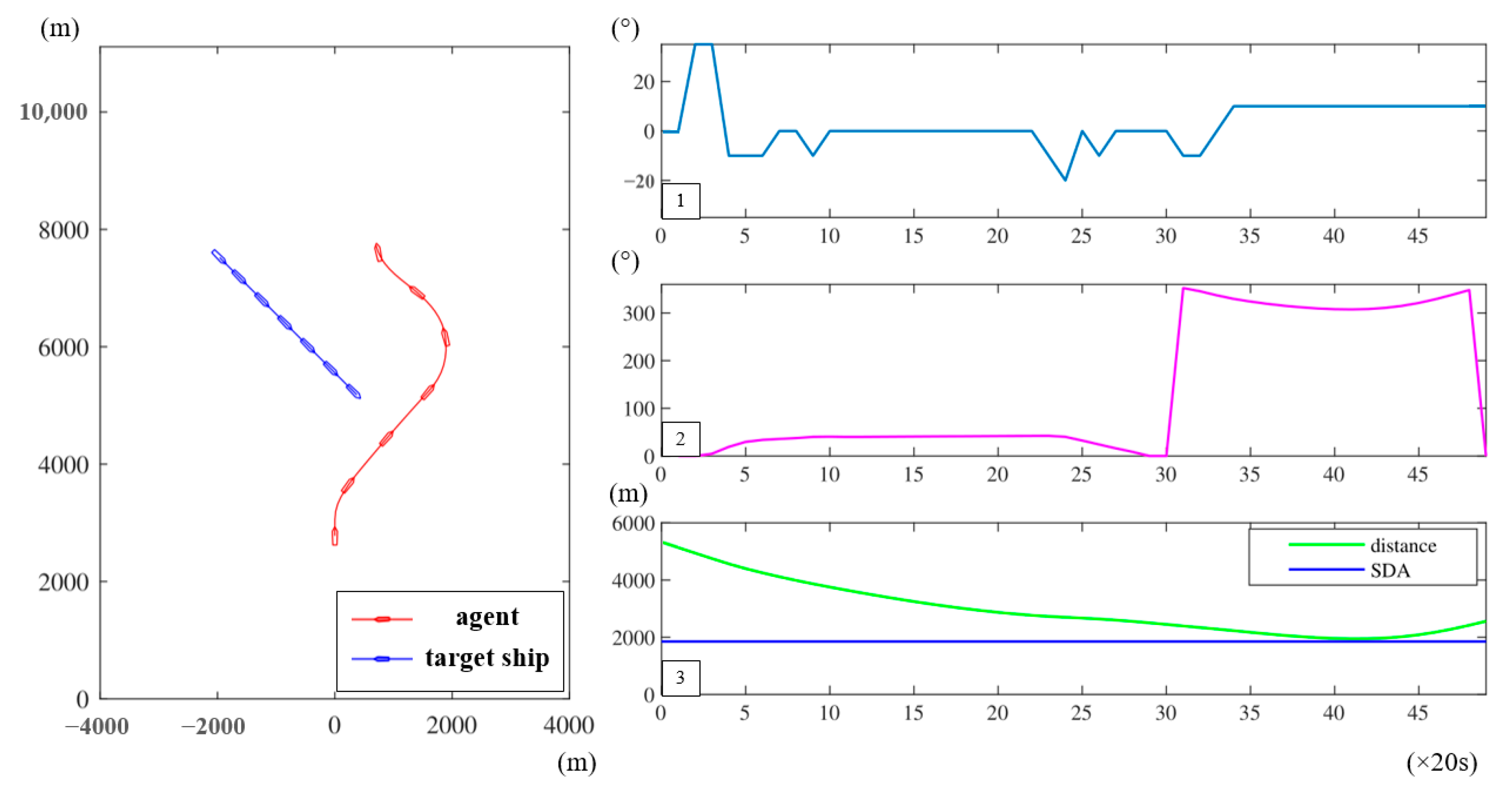
4.2.1. Case 1
4.2.2. Case 2
4.2.3. Case 3
4.2.4. Case 4
5. Discussion
6. Conclusions and Future Work
Author Contributions
Funding
Institutional Review Board Statement
Informed Consent Statement
Data Availability Statement
Acknowledgments
Conflicts of Interest
Appendix A. Method for Calculating

| X-axis | Y-axis | ||||
|---|---|---|---|---|---|
References
- Campbell, S.; Naeem, W.; Irwin, G.W. A Review on Improving the Autonomy of Unmanned Surface Vehicles through Intelligent Collision Avoidance Manoeuvres. Annu. Rev. Control 2012, 36, 267–283. [Google Scholar] [CrossRef] [Green Version]
- Liu, Z.; Zhang, Y.; Yu, X.; Yuan, C. Unmanned Surface Vehicles: An Overview of Developments and Challenges. Annu. Rev. Control 2016, 41, 71–93. [Google Scholar] [CrossRef]
- Naeem, W.; Irwin, G.W.; Yang, A. COLREGs-Based Collision Avoidance Strategies for Unmanned Surface Vehicles. Mechatronics 2012, 22, 669–678. [Google Scholar] [CrossRef]
- Tang, P.; Zhang, R.; Liu, D.; Huang, L.; Liu, G.; Deng, T. Local Reactive Obstacle Avoidance Approach for High-Speed Unmanned Surface Vehicle. Ocean Eng. 2015, 106, 128–140. [Google Scholar] [CrossRef]
- Wang, W.; Mateos, L.A.; Park, S.; Leoni, P.; Gheneti, B.; Duarte, F.; Ratti, C.; Rus, D. Design, Modeling, and Nonlinear Model Predictive Tracking Control of a Novel Autonomous Surface Vehicle. In Proceedings of the 2018 IEEE International Conference on Robotics and Automation (ICRA), Brisbane, QLD, Australia, 21–25 May 2018; pp. 6189–6196. [Google Scholar] [CrossRef]
- Cho, Y.; Han, J.; Kim, J. Efficient COLREG-Compliant Collision Avoidance in Multi-Ship Encounter Situations. IEEE Trans. Intell. Transp. Syst. 2020, 23, 1899–1911. [Google Scholar] [CrossRef]
- Zhao, L.; Roh, M.-I. COLREGs-Compliant Multiship Collision Avoidance Based on Deep Reinforcement Learning. Ocean Eng. 2019, 191, 106436. [Google Scholar] [CrossRef]
- Park, B.S.; Yoo, S.J. Adaptive-Observer-Based Formation Tracking of Networked Uncertain Underactuated Surface Vessels with Connectivity Preservation and Collision Avoidance. J. Frankl. Inst. 2019, 356, 7947–7966. [Google Scholar] [CrossRef]
- Song, A.L.; Su, B.Y.; Dong, C.Z.; Shen, D.W.; Xiang, E.Z.; Mao, F.P. A Two-Level Dynamic Obstacle Avoidance Algorithm for Unmanned Surface Vehicles. Ocean Eng. 2018, 170, 351–360. [Google Scholar] [CrossRef]
- Li, L.; Wu, D.; Huang, Y.; Yuan, Z.M. A Path Planning Strategy Unified with a COLREGS Collision Avoidance Function Based on Deep Reinforcement Learning and Artificial Potential Field. Appl. Ocean Res. 2021, 113, 102759. [Google Scholar] [CrossRef]
- Huang, Y.; Van Gelder, P.; Wen, Y. Velocity Obstacle Algorithms for Collision Prevention at Sea. Ocean Eng. 2018, 151, 308–321. [Google Scholar] [CrossRef]
- Shaobo, W.; Yingjun, Z.; Lianbo, L. A Collision Avoidance Decision-Making System for Autonomous Ship Based on Modified Velocity Obstacle Method. Ocean Eng. 2020, 215, 107910. [Google Scholar] [CrossRef]
- Molinos, E.J.; Llamazares, Á.; Ocaña, M. Dynamic Window Based Approaches for Avoiding Obstacles in Moving. Robot. Auton. Syst. 2019, 118, 112–130. [Google Scholar] [CrossRef]
- Tsou, M.C.; Hsueh, C.K. The Study of Ship Collision Avoidance Route Planning by Ant Colony Algorithm. J. Mar. Sci. Technol. 2010, 18, 746–756. [Google Scholar] [CrossRef]
- Hu, L.; Naeem, W.; Rajabally, E.; Watson, G.; Mills, T.; Bhuiyan, Z.; Raeburn, C.; Salter, I.; Pekcan, C. A Multiobjective Optimization Approach for COLREGs-Compliant Path Planning of Autonomous Surface Vehicles Verified on Networked Bridge Simulators. IEEE Trans. Intell. Transp. Syst. 2020, 21, 1167–1179. [Google Scholar] [CrossRef] [Green Version]
- Meyer, E.; Heiberg, A.; Rasheed, A.; San, O. COLREG-Compliant Collision Avoidance for Unmanned Surface Vehicle Using Deep Reinforcement Learning. IEEE Access 2020, 8, 165344–165364. [Google Scholar] [CrossRef]
- Xie, S.; Chu, X.; Zheng, M.; Liu, C. A Composite Learning Method for Multi-Ship Collision Avoidance Based on Reinforcement Learning and Inverse Control. Neurocomputing 2020, 411, 375–392. [Google Scholar] [CrossRef]
- Chun, D.H.; Roh, M.-I.; Lee, H.W.; Ha, J.; Yu, D. Deep Reinforcement Learning-Based Collision Avoidance for an Autonomous Ship. Ocean Eng. 2021, 234, 109216. [Google Scholar] [CrossRef]
- Shen, H.; Hashimoto, H.; Matsuda, A.; Taniguchi, Y.; Terada, D.; Guo, C. Automatic Collision Avoidance of Multiple Ships Based on Deep Q-Learning. Appl. Ocean Res. 2019, 86, 268–288. [Google Scholar] [CrossRef]
- Ma, Y.; Zhao, Y.; Wang, Y.; Gan, L.; Zheng, Y. Collision-Avoidance under COLREGS for Unmanned Surface Vehicles via Deep Reinforcement Learning. Marit. Policy Manag. 2020, 47, 665–686. [Google Scholar] [CrossRef]
- Wang, Y.; Yu, X.; Liang, X.; Li, B. A COLREGs-Based Obstacle Avoidance Approach for Unmanned Surface Vehicles. Ocean Eng. 2018, 169, 110–124. [Google Scholar] [CrossRef]
- Woerner, K.; Benjamin, M.R.; Novitzky, M.; Leonard, J.J. Quantifying Protocol Evaluation for Autonomous Collision Avoidance: Toward Establishing COLREGS Compliance Metrics. Auton. Robot. 2019, 43, 967–991. [Google Scholar] [CrossRef] [Green Version]
- Zhou, X.Y.; Huang, J.J.; Wang, F.W.; Wu, Z.L.; Liu, Z.J. A Study of the Application Barriers to the Use of Autonomous Ships Posed by the Good Seamanship Requirement of COLREGs. J. Navig. 2020, 73, 710–725. [Google Scholar] [CrossRef]
- Woo, J.; Kim, N. Collision Avoidance for an Unmanned Surface Vehicle Using Deep Reinforcement Learning. Ocean Eng. 2020, 199, 107001. [Google Scholar] [CrossRef]
- Wu, X.; Chen, H.; Chen, C.; Zhong, M.; Xie, S.; Guo, Y.; Fujita, H. The Autonomous Navigation and Obstacle Avoidance for USVs with ANOA Deep Reinforcement Learning Method. Knowl.-Based Syst. 2020, 196, 105201. [Google Scholar] [CrossRef]
- Pang, Z.H.; Zheng, C.B.; Sun, J.; Han, Q.L.; Liu, G.P. Distance- And Velocity-Based Collision Avoidance for Time-Varying Formation Control of Second-Order Multi-Agent Systems. IEEE Trans. Circuits Syst. II Express Briefs 2021, 68, 1253–1257. [Google Scholar] [CrossRef]
- Lyu, H.; Yin, Y. COLREGS-Constrained Real-Time Path Planning for Autonomous Ships Using Modified Artificial Potential Fields. J. Navig. 2019, 72, 588–608. [Google Scholar] [CrossRef]
- Xu, X.; Pan, W.; Huang, Y.; Zhang, W. Dynamic Collision Avoidance Algorithm for Unmanned Surface Vehicles via Layered Artificial Potential Field with Collision Cone. J. Navig. 2020, 73, 1306–1325. [Google Scholar] [CrossRef]
- Huang, Y.; Chen, L.; van Gelder, P.H.A.J.M. Generalized Velocity Obstacle Algorithm for Preventing Ship Collisions at Sea. Ocean Eng. 2019, 173, 142–156. [Google Scholar] [CrossRef]
- Huang, Y.; van Gelder, P.H.A.J.M. Time-Varying Risk Measurement for Ship Collision Prevention. Risk Anal. 2020, 40, 24–42. [Google Scholar] [CrossRef]
- Borkowski, P.; Pietrzykowski, Z.; Magaj, J. The Algorithm of Determining an Anti-collision Manoeuvre Trajectory Based on the Interpolation of Ship’s State Vector. Sensors 2021, 21, 5332. [Google Scholar] [CrossRef]
- Liu, J.; Zhang, J.; Yan, X.; Soares, C.G. Multi-Ship Collision Avoidance Decision-Making and Coordination Mechanism in Mixed Navigation Scenarios. Ocean Eng. 2022, 257, 111666. [Google Scholar] [CrossRef]
- Zhang, J.; Zhang, D.; Yan, X.; Haugen, S.; Soares, C.G. A Distributed Anti-Collision Decision Support Formulation in Multi-Ship Encounter Situations under COLREGs. Ocean Eng. 2015, 105, 336–348. [Google Scholar] [CrossRef]
- Lisowski, J. Synthesis of a Path-Planning Algorithm for Autonomous Robots Moving in a Game Environment during Collision Avoidance. Electronics 2021, 10, 675. [Google Scholar] [CrossRef]
- Zhang, M.; Montewka, J.; Manderbacka, T.; Kujala, P.; Hirdaris, S. A Big Data Analytics Method for the Evaluation of Ship-Ship Collision Risk Reflecting Hydrometeorological Conditions. Reliab. Eng. Syst. Saf. 2021, 213, 107674. [Google Scholar] [CrossRef]
- Zhang, M.; Conti, F.; Le Sourne, H.; Vassalos, D.; Kujala, P.; Lindroth, D.; Hirdaris, S. A Method for the Direct Assessment of Ship Collision Damage and Flooding Risk in Real Conditions. Ocean Eng. 2021, 237, 109605. [Google Scholar] [CrossRef]
- Zhang, M.; Zhang, D.; Fu, S.; Kujala, P.; Hirdaris, S. A Predictive Analytics Method for Maritime Traffic Flow Complexity Estimation in Inland Waterways. Reliab. Eng. Syst. Saf. 2022, 220, 108317. [Google Scholar] [CrossRef]
- Zhang, M.; Zhang, D.; Goerlandt, F.; Yan, X.; Kujala, P. Use of HFACS and Fault Tree Model for Collision Risk Factors Analysis of Icebreaker Assistance in Ice-Covered Waters. Saf. Sci. 2019, 111, 128–143. [Google Scholar] [CrossRef]
- Johansen, T.A.; Perez, T.; Cristofaro, A. Ship Collision Avoidance and COLREGS Compliance Using Simulation-Based Control Behavior Selection with Predictive Hazard Assessment. IEEE Trans. Intell. Transp. Syst. 2016, 17, 3407–3422. [Google Scholar] [CrossRef] [Green Version]
- Tsou, M.C.; Kao, S.L.; Su, C.M. Decision Support from Genetic Algorithms for Ship Collision Avoidance Route Planning and Alerts. J. Navig. 2010, 63, 167–182. [Google Scholar] [CrossRef]
- Wang, H.; Fu, Z.; Zhou, J.; Fu, M.; Ruan, L. Cooperative Collision Avoidance for Unmanned Surface Vehicles Based on Improved Genetic Algorithm. Ocean Eng. 2021, 222, 108612. [Google Scholar] [CrossRef]
- Fiskin, R.; Atik, O.; Kisi, H.; Nasibov, E.; Johansen, T.A. Fuzzy Domain and Meta-Heuristic Algorithm-Based Collision Avoidance Control for Ships: Experimental Validation in Virtual and Real Environment. Ocean Eng. 2021, 220, 108502. [Google Scholar] [CrossRef]
- Hu, L.; Naeem, W.; Rajabally, E.; Watson, G.; Mills, T.; Bhuiyan, Z.; Salter, I. COLREGs-Compliant Path Planning for Autonomous Surface Vehicles: A Multiobjective Optimization Approach. IFAC-PapersOnLine 2017, 50, 13662–13667. [Google Scholar] [CrossRef]
- Mnih, V.; Kavukcuoglu, K.; Silver, D.; Graves, A.; Antonoglou, I.; Wierstra, D.; Riedmiller, M. Playing Atari with Deep Reinforcement Learning. arXiv 2013, arXiv:1312.5602. [Google Scholar]
- Bhopale, P.; Kazi, F.; Singh, N. Reinforcement Learning Based Obstacle Avoidance for Autonomous Underwater Vehicle. J. Mar. Sci. Appl. 2019, 18, 228–238. [Google Scholar] [CrossRef]
- Chen, C.; Chen, X.Q.; Ma, F.; Zeng, X.J.; Wang, J. A Knowledge-Free Path Planning Approach for Smart Ships Based on Reinforcement Learning. Ocean Eng. 2019, 189, 106299. [Google Scholar] [CrossRef]
- Xu, X.; Lu, Y.; Liu, X.; Zhang, W. Intelligent Collision Avoidance Algorithms for USVs via Deep Reinforcement Learning under COLREGs. Ocean Eng. 2020, 217, 107704. [Google Scholar] [CrossRef]
- Zhou, X.; Wu, P.; Zhang, H.; Guo, W.; Liu, Y. Learn to Navigate: Cooperative Path Planning for Unmanned Surface Vehicles Using Deep Reinforcement Learning. IEEE Access 2019, 7, 165262–165278. [Google Scholar] [CrossRef]
- Zhai, P.; Zhang, Y.; Shaobo, W. Intelligent Ship Collision Avoidance Algorithm Based on DDQN with Prioritized Experience Replay under COLREGs. J. Mar. Sci. Eng. 2022, 10, 585. [Google Scholar] [CrossRef]
- He, Y.; Jin, Y.; Huang, L.; Xiong, Y.; Chen, P.; Mou, J. Quantitative Analysis of COLREG Rules and Seamanship for Autonomous Collision Avoidance at Open Sea. Ocean Eng. 2017, 140, 281–291. [Google Scholar] [CrossRef]
- Tam, C.; Bucknall, R. Cooperative Path Planning Algorithm for Marine Surface Vessels. Ocean Eng. 2013, 57, 25–33. [Google Scholar] [CrossRef]
- Mnih, V.; Kavukcuoglu, K.; Silver, D.; Rusu, A.A.; Veness, J.; Bellemare, M.G.; Graves, A.; Riedmiller, M.; Fidjeland, A.K.; Ostrovski, G.; et al. Human-Level Control through Deep Reinforcement Learning. Nature 2015, 518, 529–533. [Google Scholar] [CrossRef] [PubMed]















| Learning Rate | 0.01 | Discount Rate | 0.99 | 
|---|---|---|---|
| Batch size | 128 | Capacity | 1 × 104 | 
| Hidden layer 1 | 32 | Hidden layer 2 | 32 | 
| Length | 225 (m) | Breadth | 32.5 (m) | 
|---|---|---|---|
| Draft | 14.5 (m) | Displacement | 90,000 × 103 (kg) | 
| Cb | 0.8715 | Revolutions | 90 (r/min) | 
| Acreage of rudder | 56.88 (m2) | Propeller advance | 4.738 (m) | 
| Methods | Turning Times | Drift Distance | DCPA | Course Change Value | Maximum Rudder Angle | 
|---|---|---|---|---|---|
| PID | 4 | 6575 m | 1883 m | 33° | 22° | 
| DRL | 2 | 7890 m | 3216 m | 77° | 20° | 
| Publisher’s Note: MDPI stays neutral with regard to jurisdictional claims in published maps and institutional affiliations. | 
© 2022 by the authors. Licensee MDPI, Basel, Switzerland. This article is an open access article distributed under the terms and conditions of the Creative Commons Attribution (CC BY) license (https://creativecommons.org/licenses/by/4.0/).
Share and Cite
Wang, W.; Huang, L.; Liu, K.; Wu, X.; Wang, J. A COLREGs-Compliant Collision Avoidance Decision Approach Based on Deep Reinforcement Learning. J. Mar. Sci. Eng. 2022, 10, 944. https://doi.org/10.3390/jmse10070944
Wang W, Huang L, Liu K, Wu X, Wang J. A COLREGs-Compliant Collision Avoidance Decision Approach Based on Deep Reinforcement Learning. Journal of Marine Science and Engineering. 2022; 10(7):944. https://doi.org/10.3390/jmse10070944
Chicago/Turabian StyleWang, Weiqiang, Liwen Huang, Kezhong Liu, Xiaolie Wu, and Jingyao Wang. 2022. "A COLREGs-Compliant Collision Avoidance Decision Approach Based on Deep Reinforcement Learning" Journal of Marine Science and Engineering 10, no. 7: 944. https://doi.org/10.3390/jmse10070944
APA StyleWang, W., Huang, L., Liu, K., Wu, X., & Wang, J. (2022). A COLREGs-Compliant Collision Avoidance Decision Approach Based on Deep Reinforcement Learning. Journal of Marine Science and Engineering, 10(7), 944. https://doi.org/10.3390/jmse10070944
 
         
                                                

 
       