Large Eddy Simulation of the Flow around a Generic Submarine under Straight-Ahead and 10° Yaw Conditions
Abstract
:1. Introduction
2. The Joubert BB2 Submarine Model
3. Numerical Methodology
3.1. Large Eddy Simulation
3.2. Computational Domain and Boundary Condition
3.3. Computation Mesh
4. Results and Discussion
4.1. Validation of the Numerical Approach
4.2. Analysis of the Evolution of the Flow
5. Conclusions
- (1)
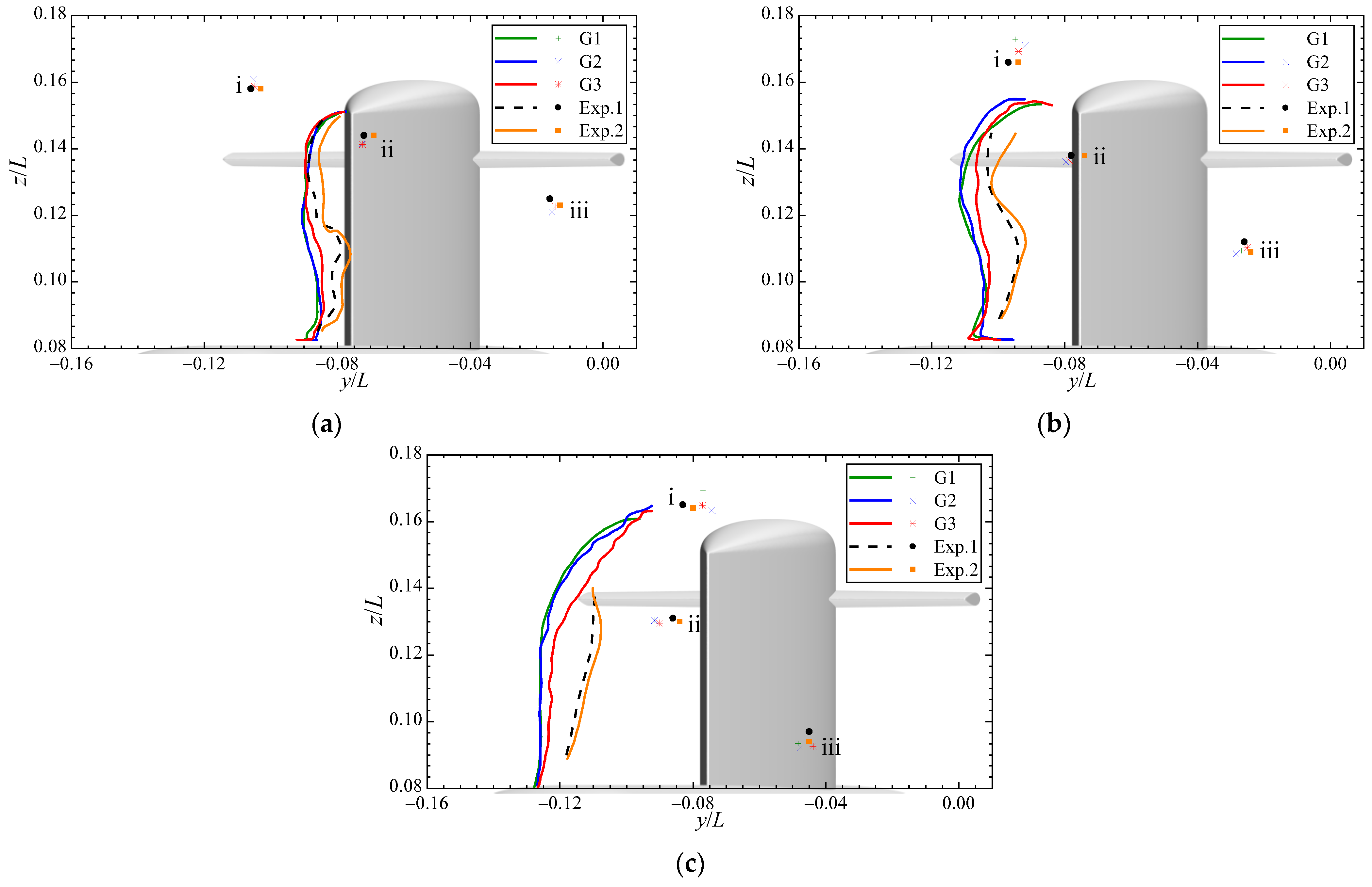
- Three sets of grids under 10° yaw conditions were designed to examine the grid convergence and computational accuracy. As the grid number increased, the numerical dissipation decreased, and the capture of the vertical component of velocity, the cross-stream Reynolds stress, seemed to be more refined, especially for the extreme values, which were more representative of the experiments, with the relative error of the peak value in the region of core flow being relatively smaller. The numerical attenuation of the mean resultant velocity of the core flow inevitably existed in the LES simulations with the dynamic Smagorinsky model, which could be eliminated through the improvement in the grid’s spatial resolution. In the near sail-wake region, the numerical simulations for all grid sets could define the centers of the vortices well, but as they evolve downstream, the advantages of refining the grids are gradually reflected. Overall, through qualitative and quantitative comparison with experiments under 10° yaw conditions, the computational accuracy was verified and results shown are more representative of the experiments with the improvement in grid spatial resolution.
- (2)
- A comparison of the evolution of the flow under straight-ahead and 10° yaw conditions shows that in the core-flow region, the resultant velocity, vorticity magnitude, and TKE under straight-ahead conditions were somewhat smaller than those under 10° yaw conditions. The side-vortices on the leeward side of the sail occurred further forward, and the sail-tip and hydroplane-tip vortices were strong enough, relatively, to develop far downstream under 10° yaw conditions. Another obvious feature that distinguishes the straight-ahead conditions is the flow separation on the leeward side of the middle hull; the wake of the submarine becomes quite complicated, and the flow behind the stern is dominated by the mixing of various component vortex systems, including the tilted horseshoe-vortex system, the upper and lower hull vortices, the tip vortices, and the wake of the sail, hydroplanes, X-rudders, and the hull under 10° yaw conditions. But downstream, far away from the hull under straight-ahead conditions, all the tip vortices dissipated, and only the wake vortices, after complicated interaction, dynamically evolved, with the energy gradually weakening.
- (3)
- The tip vortex tracking under 10° yaw conditions exhibited significant three-dimensional characteristics compared to those under straight-ahead conditions. Under10° yaw conditions, sail-tip vortex tracking maintained an axial angle of approximately 8 degrees with the hull, and was almost stable vertically after experiencing a downwash immediately behind the sail. The port hydroplane-tip vortices developed and spiraled around the sail-tip vortices, while the core of the starboard hydroplane-tip vortices kept moving towards the leeward side, with the vertical position gradually rising away from the hull after passing through a valley at approximately x/L = 1.1, due to the repulsive interaction of the hull wake.
- (4)
- The resultant velocity, vorticity magnitude, and TKE showed a gradually decreasing trend as the wake of the cruciform appendage developed downstream. Under 10° yaw conditions, the core-flow exhibited a high-velocity characteristic, in which the peaks of mean vorticity magnitude were located on the windward side in the near wake region, while in the far wake region, the velocity was smaller than the freestream velocity and the valleys of mean vorticity magnitude were located on the windward side. The strongest TKE did not occur immediately behind the sail, but approximately in the range of x/L equal to 0.6 to 1.0, where the downwash of the sail-tip vortex was quite intense.
Author Contributions
Funding
Institutional Review Board Statement
Informed Consent Statement
Data Availability Statement
Conflicts of Interest
Nomenclature
| CFD | Computational fluid dynamics | SUBOFF | Submarine Technology Program Office |
| CSSRC | China Ship Scientific Research Centre | Filtered stress tensor | |
| DARPA | Defense Advanced Research Projects Agency | Sub-grid-scale stress | |
| DES | Detached eddy simulation | TKE, k | Turbulence kinetic energy, m2/s2 |
| DNS | Direct numerical simulation | Mean streamwise velocity, m/s | |
| DSTO | Defense Science and Technology Organization | <uxux> | Normal stress in the streamwise component, m2/s2 |
| Exp. 1 | Experimental results with ReL = 4 × 106 | Mean resultant velocity, m/s | |
| Exp. 2 | Experimental results with ReL = 8 × 106 | Mean horizontal velocity, m/s | |
| Resultant of the body forces | <uyuy> | Normal stress in the horizontal component, m2/s2 | |
| G1 | Most coarse grid set | <uyuz> | Cross-stream Reynolds stress, m2/s2 |
| G2 | Median grid set | Mean vertical velocity, m/s | |
| G3 | Most refined grid set | <uzuz> | Normal stress in the vertical component, m2/s2 |
| Identity tensor | Freestream velocity, m/s | ||
| L | Model length, m | Filtered velocity | |
| LES | Large eddy simulation | x | Streamwise coordinate, m |
| o | Coordinate origin | y | Horizontal coordinate, m |
| ONR | Office of Naval Research | y+ | Dimensionless wall distance |
| Filtered pressure | z | Vertical coordinate, m | |
| PISO | Pressure implicit with splitting of operators | ||
| PIV | Particle image velocimetry | Greek symbols | |
| RANS | Reynolds averaged Navier–Stokes | Sub-grid scale turbulent viscosity | |
| ReL | Reynolds number | Density | |
| rm | Model radius, m | Mean streamwise vorticity,/s | |
| ry | Radial distance, m | Mean vorticity magnitude,/s | |
| Strain rate tensor | Mean horizontal vorticity,/s | ||
| SPIV | Stereo particle image velocimetry | Mean vertical vorticity,/s | |
References
- Liu, Y.W.; Li, Y.L.; Shang, D.J. The generation mechanism of the flow-induced noise from a sail hull on the scaled submarine model. Appl. Sci. 2019, 9, 106. [Google Scholar] [CrossRef]
- Deng, R.; Zhang, Z.Z.; Pang, F.Z.; Tiecheng, W.; Wanzhen, L. Investigating the sound power level of a simplified underwater vehicle induced by flow separation. Ocean Eng. 2020, 204, 107286. [Google Scholar]
- Rocca, A.; Cianferra, M.; Broglia, R.; Armenio, V. Computational hydroacoustic analysis of the BB2 submarine using the advective Ffowcs Williams and Hawkings equation with Wall-Modeled LES. Appl. Ocean Res. 2022, 129, 103360. [Google Scholar] [CrossRef]
- Fu, T.C.; Atsavapranee, P.; Hess, D.E. PIV measurements of the cross-flow wake of a turning submarine model (ONR Body-1). In Proceedings of the 24th Symposium on Naval Hydrodynamics, Fukuoka, Japan, 8–13 July 2002. [Google Scholar]
- Jimenez, J.M.; Hultmark, M.; Smits, M. The intermediate wake of a body of revolution at high Reynolds numbers. J. Fluid Mech. 2010, 659, 516–539. [Google Scholar] [CrossRef]
- Ashok, A.; Smits, A.J. The turbulent wake of a submarine model at varying pitch and yaw angle. In Proceedings of the 65th Annual Meeting of the APS Division of Fluid Dynamics, San Diego, CA, USA, 18–20 November 2012. [Google Scholar]
- Ashok, A.; Smits, A.J. The turbulent wake of a submarine model in pitch and yaw. In Proceedings of the 51st AIAA Aerospace Sciences Meeting including the New Horizons Forum and Aerospace Exposition, Grapevine, TX, USA, 7–10 January 2013. [Google Scholar]
- Ashok, A.; Buren, T.V.; Smits, A.J. Asymmetries in the high Reynolds number wake of a submarine model in pitch. In Proceedings of the 67th Annual Meeting of the APS Division of Fluid Dynamics, San Francisco, CA, USA, 23–25 November 2014. [Google Scholar]
- Ashok, A.; Buren, T.V.; Smits, A.J. The structure of the wake generated by a submarine model in yaw. Exp. Fluids 2015, 56, 123. [Google Scholar] [CrossRef]
- Ashok, A.; Buren, T.V.; Smits, A.J. Asymmetries in the wake of a submarine model in pitch. J. Fluid Mech. 2015, 774, 416–442. [Google Scholar] [CrossRef]
- Khan, M.K.; Korulla, M.; Nagarajan, V.; Sha, O.P. Surface pressure measurements on a generic submarine hull form at high angles of incidence. J. Mar. Sci. Technol. 2022, 27, 677–694. [Google Scholar] [CrossRef]
- Shokrallah, M.B.; Alireza, S.; Mojtaba, D.M. Experimental study of the submarine’s wake improvement by displacement of stern planes. Ships Offshore Struct. 2022, 17, 2103–2115. [Google Scholar]
- Joubert, P.N. Some Aspects of Submarine Design Part 1: Hydrodynamics; Technical Report DSTO-TR-1622; Australia Defence Science and Technology Organization: Canberra, Australia, 2004.
- Joubert, P.N. Some Aspects of Submarine Design Part 2: Shape of a Submarine 2026; Technical Report DSTO-TR-1920; Australia Defence Science and Technology Organization: Canberra, Australia, 2006.
- Kumar, C.; Manovski, P.; Giacobello, M. Particle image velocimetry measurements on a generic submarine hull form. In Proceedings of the 18th Australasian Fluid Mechanics Conference, Launceston, Australia, 3–7 December 2012. [Google Scholar]
- Anderson, B.; Chapuis, M.; Erm, L.; Fureby, C.; Giacobello, M.; Henbest, S.; Jones, D.; Jones, M.; Kumar, C.; Liefvendahl, M.; et al. Experimental and computational investigation of a generic conventional submarine hull form. In Proceedings of the 29th Symposium on Naval Hydrodynamics, Gothenburg, Sweden, 26–31 August 2012. [Google Scholar]
- Jones, M.B.; Erm, L.P.; Valiyf, A.; Henbest, S.M. Skin-Friction Measurements on a Model Submarine; Technical Report DSTO-TR-2898; Australia Defence Science and Technology Organization: Canberra, Australia, 2013.
- Lee, S.K. Topology of the flow around a conventional submarine hull. In Proceedings of the 19th Australasian Fluid Mechanics Conference, Melbourne, Australia, 8–11 December 2014. [Google Scholar]
- Manovski, P.; Giacobello, M.; Jacquemin, P. Smoke Flow Visualization and Particle Image Velocimetry Measurements over a Generic Submarine Model; Technical Report DSTO-TR-2944; Australia Defence Science and Technology Organization: Canberra, Australia, 2014.
- Fureby, C.; Anderson, B.; Clarke, D.; Erm, L.; Henbest, S.; Giacobello, M.; Jones, D.; Nguyen, M.; Johansson, M.; Jones, M.; et al. Experimental and numerical study of a generic conventional submarine at 10° yaw. Ocean Eng. 2016, 116, 1–20. [Google Scholar] [CrossRef]
- Bettle, M.C. Validating design methods for sizing submarine tailfns. In Proceedings of the Warship 2014: Naval Submarines and UUV’s, Bath, UK, 18–19 June 2014. [Google Scholar]
- Overpelt, B.; Nienhuis, B.; Anderson, B. Free running maneuvering model tests on a modern generic SSK Class submarine (BB2). In Proceedings of the Pacific International Maritime Conference, Sidney, Australia, 8–6 October 2015. [Google Scholar]
- Lee, S.K. Longitudinal development of flow-separation lines on slender bodies in translation. J. Fluid Mech. 2018, 837, 627–639. [Google Scholar] [CrossRef]
- Lee, S.K.; Manovski, P.; Kumar, C. Wake of a cruciform appendage on a generic submarine at 10° yaw. J. Mar. Sci. Technol. 2019, 25, 787–799. [Google Scholar] [CrossRef]
- Lee, S.K.; Jones, M.B. Surface-pressure pattern of separating flows over inclined slender bodies. Phys. Fluids 2020, 32, 095123. [Google Scholar] [CrossRef]
- Alin, N.; Bensow, R.; Fureby, C.; Huuva, T.; Svennberg, U. Current capabilities of RANS, DES and LES for submarine flow simulations. J. Ship. Res. 2010, 54, 184–196. [Google Scholar] [CrossRef]
- Bensow, R.E.; Larson, M.G. Towards a novel residual based subgrid modelling based on multiscale techniques. In Proceedings of the 9th Numerical Towing Tank Symposium, Le Croisic, France, 1–3 October 2006. [Google Scholar]
- Zhang, N.; Wang, X.; Xie, H.; Li, Y. Research on numerical simulation approach for flow induced noise and the influence of the acoustic integral surface. J. Ship Mech. 2016, 20, 892–908. (In Chinese) [Google Scholar]
- Smagorinsky, J. General circulation experiments with the primitive equations. I. the basic experiment. Month. Wea. Rev. 1963, 91, 99–164. [Google Scholar] [CrossRef]
- Shi, B.; Yang, X.; Jin, G.; He, G.; Wang, S. Wall-modeling for large-eddy simulation of flows around an axisymmetric body using the diffuse-interface immersed boundary method. Appl. Math. Mech. 2019, 40, 305–320. [Google Scholar] [CrossRef]
- Zhou, Z.; Li, Z.B.; Yang, X.L.; Wang, S.; Xu, D. Investigation of the wake characteristics of an underwater vehicle with and without a propeller. Ocean Eng. 2022, 266, 113107. [Google Scholar] [CrossRef]
- Posa, A.; Balaras, E. Large-eddy simulations of a notional submarine in towed and self-propelled configurations. Comput. Fluids 2018, 165, 116–126. [Google Scholar] [CrossRef]
- Posa, A.; Balaras, E. A numerical investigation about the effects of Reynolds number on the flow around an appended axisymmetric body of revolution. J. Fluid Mech. 2020, 884, A41. [Google Scholar] [CrossRef]
- Zhang, N.; Lv, S.J.; Xie, H.; Zhang, S.L. Numerical simulation of unsteady flow and flow induced sound of airfoil and wing/plate junction by LES and FW-H acoustic analogy. Appl. Mech. Mater. 2014, 444–445, 479–485. [Google Scholar] [CrossRef]
- Zhang, N.; Xie, H.; Wang, X.; Wu, B.S. Computation of vortical flow and flow induced noise by large eddy simulation with FW-H acoustic analogy and Powell vortex sound theory. J. Hydrodyn. 2016, 28, 255–266. [Google Scholar] [CrossRef]
- Zhang, N.; Li, Y.; Huang, M.M.; Chen, M. Numerical prediction approach for hydrodynamic force and noise of propeller in submarine propeller interaction condition. J. Ship Mech. 2021, 25, 1439–1451. (In Chinese) [Google Scholar]
- Wang, X.M.; Zhang, N. Large eddy simulation of the flow field and hydrodynamic force of submarine in crashback. J. Ship Mech. 2022, 26, 1595–1610. (In Chinese) [Google Scholar]
- Kroll, T.; Morse, N.; Horne, W.; Mahesh, K. Large eddy simulation of marine flows over complex geometries using a massively parallel unstructured overset method. In Proceedings of the 33th Symposium on Naval Hydrodynamics, Osaka, Japan, 31 May–5 June 2020. [Google Scholar]
- Loid, H.P.; Bystrom, L. Hydrodynamic aspects of the design of the forward and aft bodies of the submarine. In Proceedings of the RINA International Symposium on Naval Submarines, London, UK, 17–20 May 1983. [Google Scholar]
- Germano, M.; Piomelli, U.; Moin, P.; Cabot, W. A dynamic subgrid-scale eddy viscosity model. Phys. Fluids A 1991, 3, 1760–1765. [Google Scholar] [CrossRef]
- Lilly, D.K. A proposed modification of the Germano subgrid–scale closure model. Phys. Fluids A 1992, 4, 633. [Google Scholar] [CrossRef]
- Mahesh, K.; Kumar, P.; Gnanaskandan, A.; Nitzkorski, Z. LES applied to ship research. J. Ship Res. 2015, 59, 238–245. [Google Scholar] [CrossRef]
- Kumar, P.; Mahesh, K. Large eddy simulation of propeller wake instabilities. J. Fluid Mech. 2017, 814, 361–396. [Google Scholar] [CrossRef]
- Kumar, P.; Mahesh, K. Large-eddy simulation of flow over an axisymmetric body of revolution. J. Fluid Mech. 2018, 853, 537–563. [Google Scholar] [CrossRef]
- ITTC. Recommended procedures and guidelines: Practical guidelines for ship CFD applications. In Proceedings of the 26th International Towing Tank Conference, Rio de Janeiro, Brasil, 2–5 March 2014; Volume 7. [Google Scholar]
- Akkermans, R.A.D.; Cieslik, A.R.; Kamp, L.P.J.; Trieling, R.R.; Clercx, H.J.; van Heijst, G.J. The three-dimensional structure of an electromagnetically generated dipolar vortex in a shallow fluid layer. Phys. Fluids 2008, 20, 116601. [Google Scholar] [CrossRef]






















| Measurement Plane | Grid Scheme | Sail Tip | Hydroplanes | ||||
|---|---|---|---|---|---|---|---|
| Windward | Leeward | ||||||
| y/L | z/L | y/L | z/L | y/L | z/L | ||
| G1 | −0.072 | 0.141 | −0.108 | 0.161 | −0.013 | 0.123 | |
| x/L = 0.511 | G2 | −0.073 | 0.141 | −0.105 | 0.161 | −0.015 | 0.121 |
| G3 | −0.072 | 0.141 | −0.105 | 0.159 | −0.014 | 0.123 | |
| G1 | −0.079 | 0.136 | −0.095 | 0.173 | −0.027 | 0.109 | |
| x/L = 0.650 | G2 | −0.080 | 0.136 | −0.092 | 0.171 | −0.028 | 0.109 |
| G3 | −0.079 | 0.136 | −0.094 | 0.169 | −0.025 | 0.110 | |
| G1 | −0.092 | 0.130 | −0.077 | 0.169 | −0.048 | 0.094 | |
| x/L = 0.815 | G2 | −0.092 | 0.130 | −0.074 | 0.163 | −0.048 | 0.092 |
| G3 | −0.090 | 0.130 | −0.077 | 0.165 | −0.044 | 0.093 | |
| Measurement Plane | Grid Scheme | Sail Tip | Hydroplanes | ||||
|---|---|---|---|---|---|---|---|
| Windward | Leeward | ||||||
| y/L (%) | z/L (%) | y/L (%) | z/L (%) | y/L (%) | z/L (%) | ||
| G1 | 4.3 | −1.9 | 5.3 | 1.6 | 2.7 | 0.3 | |
| x/L = 0.511 | G2 | 5.3 | −1.8 | 2.2 | 1.9 | 9.2 | −1.6 |
| G3 | 5.0 | −1.9 | 1.8 | 0.5 | 6.7 | −0.3 | |
| G1 | 6.5 | −1.3 | 1.0 | 4.2 | 12.0 | 0.4 | |
| x/L = 0.650 | G2 | 7.7 | −1.4 | −2.3 | 3.0 | 9.6 | −0.4 |
| G3 | 6.1 | −1.1 | −0.1 | 2.0 | 4.8 | 1.2 | |
| G1 | 9.0 | 0.4 | −3.7 | 3.3 | 7.5 | −0.5 | |
| x/L = 0.815 | G2 | 9.2 | 0.3 | −7.0 | −0.4 | 6.2 | −1.8 |
| G3 | 7.2 | −0.3 | −3.5 | 0.6 | −2.5 | −1.5 | |
Disclaimer/Publisher’s Note: The statements, opinions and data contained in all publications are solely those of the individual author(s) and contributor(s) and not of MDPI and/or the editor(s). MDPI and/or the editor(s) disclaim responsibility for any injury to people or property resulting from any ideas, methods, instructions or products referred to in the content. |
© 2023 by the authors. Licensee MDPI, Basel, Switzerland. This article is an open access article distributed under the terms and conditions of the Creative Commons Attribution (CC BY) license (https://creativecommons.org/licenses/by/4.0/).
Share and Cite
Chen, M.; Zhang, N.; Sun, H.; Zhang, X. Large Eddy Simulation of the Flow around a Generic Submarine under Straight-Ahead and 10° Yaw Conditions. J. Mar. Sci. Eng. 2023, 11, 2286. https://doi.org/10.3390/jmse11122286
Chen M, Zhang N, Sun H, Zhang X. Large Eddy Simulation of the Flow around a Generic Submarine under Straight-Ahead and 10° Yaw Conditions. Journal of Marine Science and Engineering. 2023; 11(12):2286. https://doi.org/10.3390/jmse11122286
Chicago/Turabian StyleChen, Mo, Nan Zhang, Hailang Sun, and Xuan Zhang. 2023. "Large Eddy Simulation of the Flow around a Generic Submarine under Straight-Ahead and 10° Yaw Conditions" Journal of Marine Science and Engineering 11, no. 12: 2286. https://doi.org/10.3390/jmse11122286
APA StyleChen, M., Zhang, N., Sun, H., & Zhang, X. (2023). Large Eddy Simulation of the Flow around a Generic Submarine under Straight-Ahead and 10° Yaw Conditions. Journal of Marine Science and Engineering, 11(12), 2286. https://doi.org/10.3390/jmse11122286
