Laboratory Study on the Entrainment Process in Overflow
Abstract
1. Introduction
2. Experimental Setup
3. Data and Method
4. Results
4.1. Velocity Fields
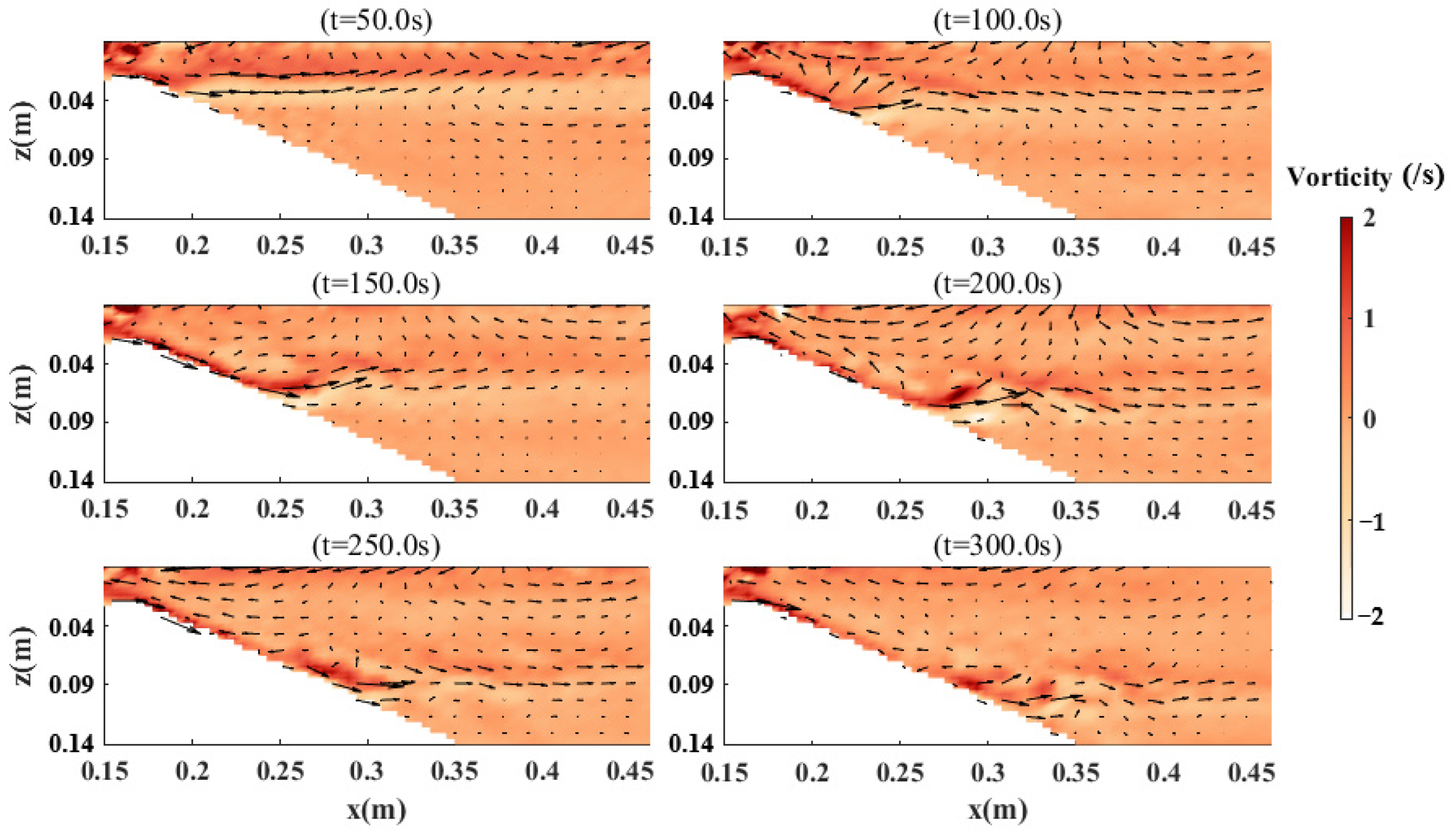
4.2. Vorticity Fields and Turbulent Dissipation
4.3. Entrainment Phenomena and Water Intrusion
5. Conclusions
- (1)
- The overflow will mix with their surroundings as they descend and spread out in this density gradient before they reach the bottom. When the overflow moves along the slope, it will generate vortices and entrainments. Due to the stability of the stratified environment, the vorticity does not dissipate rapidly, and there is an alternating phenomenon of positive and negative vorticity after the overflow leaves the slope. When reaching the bottom at a high velocity after a certain time, vortices continuously generate at the bottom due to the momentum obtained in the opposite direction.
- (2)
- Turbulent dissipation mainly occurs in the area along the slope and during the process of invading flow to the surrounding. There is a large turbulent dissipation after crossing the sill, where the instability caused by the shear between the gravity flow and the ambient water is the strongest. Another location of the extreme value of turbulent dissipation is the water layer with a density equivalent to that of overflow, where the direction of overflow velocity changes, resulting in significant velocity shear. Corresponding to the velocity field and vorticity field, the momentum keeps decreasing due to mixing and dissipation.
- (3)
- The entrainment parameter can reflect the entrainment process during the overflow sinking, which is calculated by the empirical formula. Therefore, there is a close relationship between the vertical gradient of the density and velocity of the overflow and the entrainment. The greater the density difference between overflow and background, the larger the entrainment parameter. When the injection flow velocity is high, strong entrainment occurs at the point where the overflow crosses the sill and at the front end of the overflow. From the experimental results, it can be seen that the larger the terrain slope, the smaller the entrainment parameter, which is due to gravity playing a dominant role.
Author Contributions
Funding
Acknowledgments
Conflicts of Interest
References
- Hansen, B.; Østerhus, S. North Atlantic–Nordic Seas exchanges. Prog. Oceanogr. 2000, 45, 109–208. [Google Scholar] [CrossRef]
- Meincke, J.; Rudels, B.; Friedrich, H.J. The Arctic Ocean–Nordic Seas thermohaline system. Ices J. Mar. Sci. 1997, 54, 283–299. [Google Scholar] [CrossRef]
- Eldevik, T.; Straneo, F.; Sandø, A.B.; Furevik, T. Pathways and export of Greenland Sea Water. In The Nordic Seas: An Integrated Perspective; American Geophysical Union Geophysical Monograph: Washington, DC, USA, 2005; Volume 158, pp. 89–104. [Google Scholar]
- Dickson, B.; Meincke, J.; Rhines, P. Arctic–Subarctic Ocean Fluxes: Defining the Role of the Northern Seas in Climate. In Arctic-Subarctic Ocean Fluxes; Springer Netherlands: Dordrecht, The Netherlands, 2008; pp. 427–550. [Google Scholar]
- Qiuli, S. Study of Characteristics of Water in the Overflow Source Area in the Nordic Seas and Its Transport Mechanism; Ocean University of China: Qingdao, China, 2015. [Google Scholar]
- Wenqi, S.; Jinping, Z. An overview of hydrological characteristics and changing mechanism of modern Nordic Seas overflows. Adv. Earth Sci. 2017, 32, 245–261. [Google Scholar]
- Broecker, W.S. Thermohaline Circulation, the Achilles Heel of Our Climate System: Will Man-Made CO2 Upset the Current Balance? Science 1997, 278, 1582–1588. [Google Scholar] [CrossRef] [PubMed]
- Wunsch, C. Vertical mixing, energy, and the general circulation of the oceans. Annu. Rev. Fluid Mech. 2004, 36, 281–314. [Google Scholar] [CrossRef]
- Morton, B.R.; Taylor, G.; Turner, J.S. Turbulent Gravitational Convection from Maintained and Instantaneous Sources. Proc. R. Soc. Lond. Ser. A 1956, 234, 1–23. [Google Scholar]
- Itsweire, E.C.; Koseff, J.R.; Briggs, D.A.; Ferziger, J.H. Turbulence in Stratified Shear Flows: Implications for Interpreting Shear-induced Mixing in the Ocean. J. Phys. Oceanogr. 1993, 23, 1508–1522. [Google Scholar] [CrossRef]
- Odier, P.; Chen, J.; Ecke, R. Entrainment and mixing in a laboratory model of oceanic overflow. J. Fluid Mech. 2014, 746, 498–535. [Google Scholar] [CrossRef]
- Sheldon, B. Decadal variability in the outflow from the Nordic seas to the deep Atlantic Ocean. Nature 1998, 394, 871–874. [Google Scholar]
- Willebrand, J.; Barnier, B.; Böning, C.; Dieterich, C.; Killworth, P.D.; Le Provost, C.; Jia, Y.; Molines, J.-M.; New, A.L. Circulation characteristics in three eddy-permitting models of the North Atlantic. Prog. Oceanogr. 2007, 48, 123–161. [Google Scholar] [CrossRef]
- Miles, J.W. On the stability of heterogeneous shear flows. J. Fluid Mech. 1961, 10, 496–508. [Google Scholar] [CrossRef]
- Özgökmen, T.M.; Fischer, P.F. On the role of bottom roughness in overflows. Ocean Model. 2008, 20, 336–361. [Google Scholar] [CrossRef]
- Nash, J.; Peters, H.; Kelly, S.; Pelegrí, J.; Emelianov, M.; Gasser, M. Turbulence and high-frequency variability in a deep gravity current outflow. Geophys. Res. Lett. 2012, 39, L18611. [Google Scholar] [CrossRef]
- Morozov, E.G.; Frey, D.; IGladyshev, S.; VGladyshev, V.S. Hydrodynamics of the Bottom-Water Flow from the Arctic to the Atlantic through the Strait of Denmark. Izv. Atmos. Ocean. Phys. 2020, 56, 551–560. [Google Scholar] [CrossRef]
- Baines, P.G. A unified description of two-layer flow over topography. J. Fluid Mech. 1984, 146, 127–167. [Google Scholar] [CrossRef]
- Armi, L. The hydraulics of two layers with different densities. J. Fluid Mech. 1986, 163, 27–58. [Google Scholar] [CrossRef]
- Lawrence, G.A. The hydraulics of steady two-layer flow over a fixed obstacle. J. Fluid Mech. 1993, 254, 605–633. [Google Scholar] [CrossRef]
- Morozov, E.G.; Tarakanov, R.Y.; Frey, D.I. Bottom Gravity Currents and Overflows in Deep Channels of the Atlantic. In Observations, Analysis, and Modeling; Springer Nature: Berlin/Heidelberg, Germany, 2021; 45p. [Google Scholar]
- Qiuli, S.; Zhao, J.; Drinkwater, K.F.; Wang, X.; Cao, Y. Internal overflow in the Nordic Seas and cold reservoir in the northern Norwegian Basin. Deep Sea Res. 2019, 148, 67–79. [Google Scholar]
- Girton, J.B.; Pratt, L.J.; Sutherland, D.A.; Price, J.F. Is the Faroe Bank Channel overflow hydraulically controlled? J. Phys. Oceanogr. 2006, 36, 2340–2349. [Google Scholar] [CrossRef]
- Pratt, L.J.; Whitehead, J.A. Rotating Hydraulics: Nonlinear Topographic Effects in the Ocean and Atmosphere; Springer: New York, NY, USA, 2008. [Google Scholar]
- Cummins, P.F.; Armi, L.; Vagle, S. Upstream internal hydraulic jumps. J. Phys. Oceanogr. 2006, 36, 753–769. [Google Scholar] [CrossRef]
- Morozov, E.G.; Frey, D.I.; Zuev, O.A.; Velarde, M.G.; Krechik, V.A.; Mukhametianov, R.Z. Hydraulically Controlled Bottom Flow in the Orkney Passage. Water 2022, 14, 3088. [Google Scholar] [CrossRef]
- Thielicke, W.; Stamhuis, E.J. PIV lab–towards user-friendly, affordable and accurate digital particle image velocimetry in MATLAB. J. Open Res. Softw. 2014, 2, e30. [Google Scholar] [CrossRef]
- Ellison, T.; Turner, J. Turbulent entrainment in stratified flows. J. Fluid Mech. 1959, 6, 423–448. [Google Scholar] [CrossRef]
- Turner, J.S. Turbulent entrainment: The development of the entrainment assumption, and its application to geophysical flows. J. Fluid Mech. 1986, 173, 431–471. [Google Scholar] [CrossRef]
- Stillinger, D.C.; Helland, K.N.; Van Atta, C.W. Experiments on the transition of homogeneous turbulence to internal waves in a stratified fluid. J. Fluid Mech. 1983, 131, 91. [Google Scholar] [CrossRef]
- Strang, E.J.; Fernando, H.J.S. Entrainment and mixing in stratified shear flows. J. Fluid Mech. 2001, 428, 349–386. [Google Scholar] [CrossRef]
- Peltier, W.; Caulfield, C. Mixing efficiency in stratified shear flows. Ann. Rev. Fluid Mech. 2003, 35, 135–167. [Google Scholar] [CrossRef]
- Strang, E.J.; Fernando, H.J.S. Shear-induced mixing and transport from a rectangular cavity. J. Fluid Mech. 2004, 520, 23–49. [Google Scholar] [CrossRef]
- Princevac, M.; Fernando, H.J.S.; Whiteman, C.D. Turbulent entrainment into natural gravity-driven flows. J. Fluid Mech. 2005, 533, 259–268. [Google Scholar] [CrossRef]
- Kneller, B.C.; Bennett, S.J.; Mccaffrey, W.D. Velocity structure, turbulence and fluid stresses in experimental gravity currents. J. Geophys. Res. Ocean. 1999, 104, 5381–5391. [Google Scholar] [CrossRef]
- Sutherland, B.R. Interfacial gravity currents. I. Mixing and entrainment. Phys. Fluids 2002, 14, 2244–2254. [Google Scholar] [CrossRef]
- Baines, P.G. Mixing regimes for the flow of dense fluid down slopes into stratified environments. J. Fluid Mech. 2005, 538, 245–267. [Google Scholar] [CrossRef]
- Lane-Serff, G.F.; Baines, P.G. Eddy formation by dense flows on slopes in a rotating fluid. J. Fluid Mech. 1998, 363, 229–252. [Google Scholar] [CrossRef]
- Cenedese, C.; Whitehead, J.A.; Ascarelli, T.A.; Ohiwa, M. A Dense Current Flowing down a Sloping Bottom in a Rotating Fluid. J. Phys. Oceanogr. 2004, 34, 188–203. [Google Scholar] [CrossRef]
- Cenedese, C.; Adduce, R. A New Parameterization for Entrainment in Overflows. J. Phys. Oceanogr. 2010, 40, 313–322. [Google Scholar] [CrossRef]
- Thomas, P.J.; Linden, P.F. Rotating gravity currents: Small-scale and large-scale laboratory experiments and a geostrophic model. J. Fluid Mech. 2007, 578, 35–65. [Google Scholar] [CrossRef]
- Doron, P.; Bertuccioli, L.; Katz, J.; Osborn, T.R. Turbulence Characteristics and dissipation estimates in the coastal ocean bottom boundary layer from PIV data. J. Phys. Oceanogr. 2001, 31, 2108–2134. [Google Scholar] [CrossRef]
- Batchelor, G.K. Heat convection and buoyancy effects in fluid. Q. J. R. Meteorol. Soc. 1954, 80, 339–358. [Google Scholar] [CrossRef]
- Turner, J.S. Development of geophysical fluid dynamics: The influence of laboratory experiments. Appl. Mech. Rev. 2000, 53, R11–R22. [Google Scholar] [CrossRef]








| 1 | 2 | 3 | 4 | 5 | 6 | 7 | |
|---|---|---|---|---|---|---|---|
| Slope of sill (°) | 30 | 30 | 30 | 30 | 30 | 45 | 60 | 
| Injection rate (mL/s) | 0.65 | 0.65 | 0.65 | 0.55 | 0.75 | 0.65 | 0.65 | 
| Injection density (kg/m3) | 1050 | 1040 | 1060 | 1050 | 1050 | 1050 | 1050 | 
| Group number | a2, b2, c1 | a1 | a3 | b1 | b3 | c2 | c3 | 
| Density (kg/m3) | Injection Rate (mL/s) | Froude Number | Richardson Number | 
|---|---|---|---|
| 1040 | 0.55 | 0.6636 | 0.3143 | 
| 1050 | 0.65 | 1.0393 | 0.3086 | 
| 1060 | 0.75 | 1.2614 | 0.1661 | 
| Disclaimer/Publisher’s Note: The statements, opinions and data contained in all publications are solely those of the individual author(s) and contributor(s) and not of MDPI and/or the editor(s). MDPI and/or the editor(s) disclaim responsibility for any injury to people or property resulting from any ideas, methods, instructions or products referred to in the content. | 
© 2023 by the authors. Licensee MDPI, Basel, Switzerland. This article is an open access article distributed under the terms and conditions of the Creative Commons Attribution (CC BY) license (https://creativecommons.org/licenses/by/4.0/).
Share and Cite
Hu, Q.; Yu, J.; Cao, Y.; Chen, X.; Meng, J.; Lv, X. Laboratory Study on the Entrainment Process in Overflow. J. Mar. Sci. Eng. 2023, 11, 1383. https://doi.org/10.3390/jmse11071383
Hu Q, Yu J, Cao Y, Chen X, Meng J, Lv X. Laboratory Study on the Entrainment Process in Overflow. Journal of Marine Science and Engineering. 2023; 11(7):1383. https://doi.org/10.3390/jmse11071383
Chicago/Turabian StyleHu, Qiyue, Jiahui Yu, Yong Cao, Xu Chen, Jing Meng, and Xianqing Lv. 2023. "Laboratory Study on the Entrainment Process in Overflow" Journal of Marine Science and Engineering 11, no. 7: 1383. https://doi.org/10.3390/jmse11071383
APA StyleHu, Q., Yu, J., Cao, Y., Chen, X., Meng, J., & Lv, X. (2023). Laboratory Study on the Entrainment Process in Overflow. Journal of Marine Science and Engineering, 11(7), 1383. https://doi.org/10.3390/jmse11071383
 
        



 
       