Determining the Proper Times and Sufficient Actions for the Collision Avoidance of Navigator-Centered Ships in the Open Sea Using Artificial Neural Networks
Abstract
1. Introduction
2. Methodology
2.1. Review of Vessel Collisions
2.2. Proper Time for Collision Avoidance
2.3. Sufficient Action for Collision Avodiance
2.4. Use of Artificial Neural Networks (ANNs)
3. Determining the Proper Time and Action of Evasive Maneuver Using ANNs
3.1. Design of an ANN
- and were obtained at 30° intervals from 000° to 330°, respectively;
- and were obtained in five-knot intervals from 10 to 25 knots, respectively;
- was obtained in 50 m intervals from 100 to 200 m, respectively;
- The configuration is limited to cases where the ship is performing evasive maneuvers; therefore, only the following cases are considered: the ships encounter each other head-on, the ships overtake each other, and when the TS is on the starboard side of the OS in the case of crossing;
- When overtaking another ship in front, the difference in their speeds is not large enough to meet the TCPA of 15 min and the passage distance of 1 mile; therefore, this case was not included in this study.
3.2. Analysis Results of the ANN
- was validated at 3° intervals from 180° to 330°, respectively, to determine changes in the encounter angle between the OS and the TS;
- was validated in 0.2 knot increments from 15 to 25 knots, respectively;
- was validated in 2 m intervals from 150 to 250 m, respectively.
3.2.1. Result of the Encounter Angle of the OS with the TS
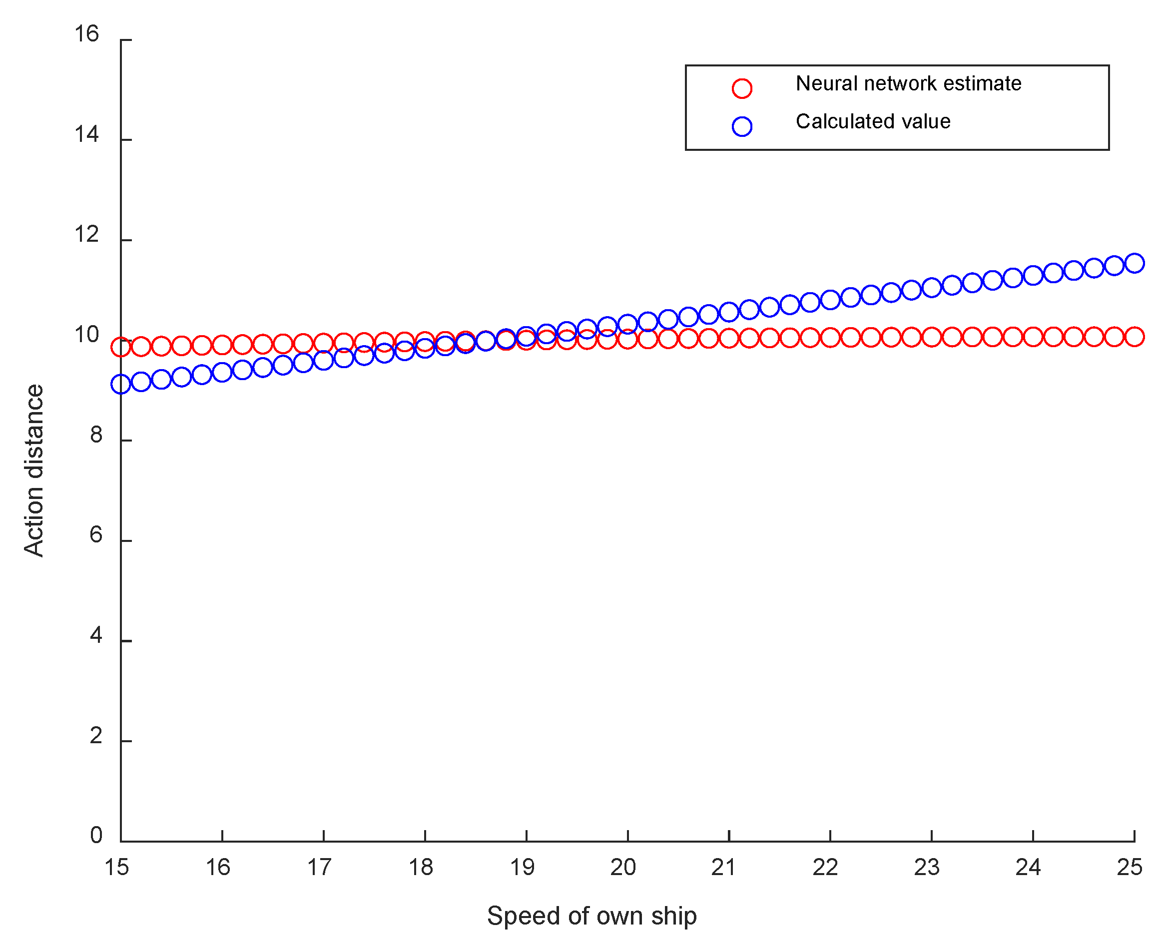
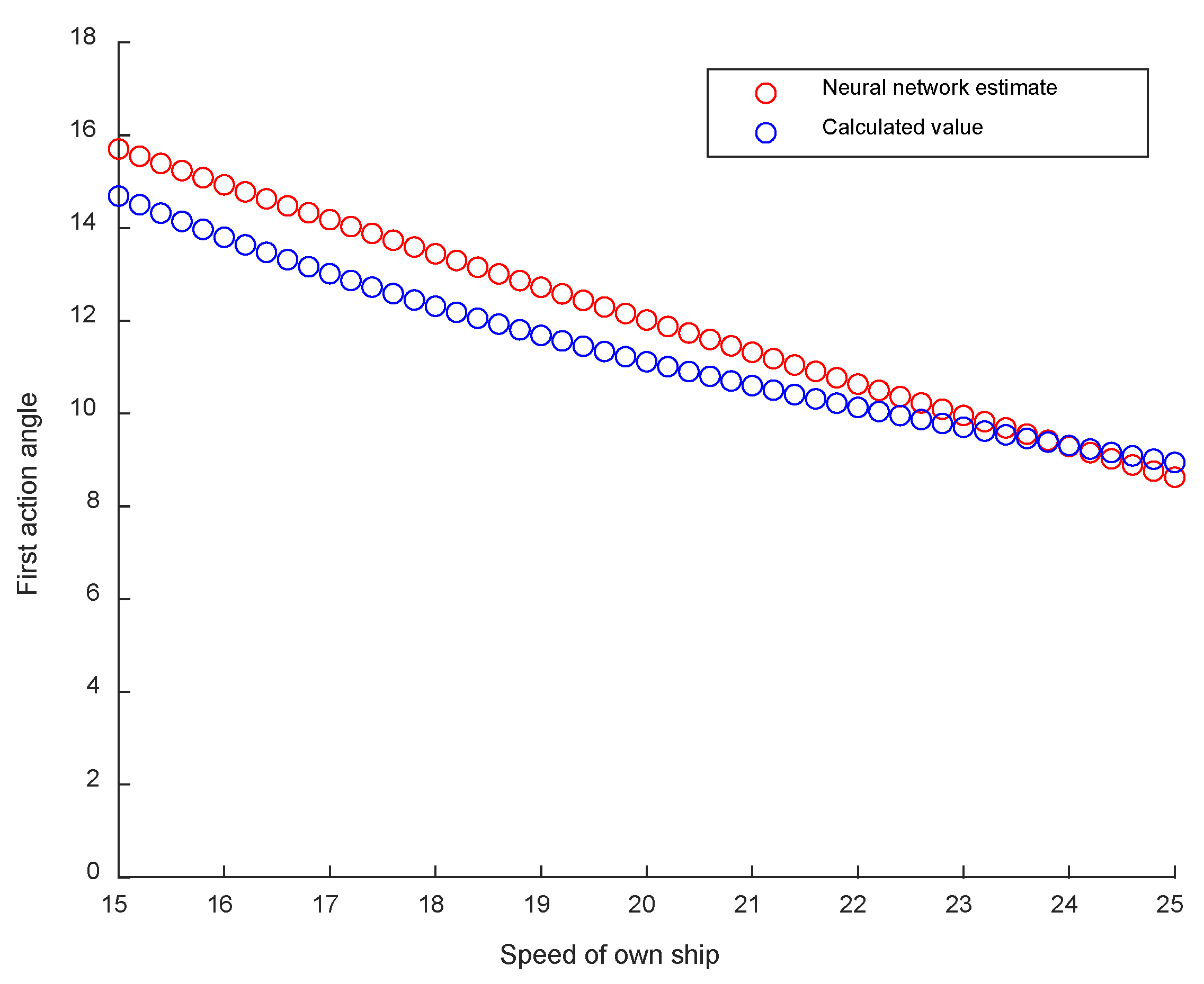
3.2.2. Result of Changing the OS Speed
3.2.3. Result of Changing the OS Length
4. Discussion
4.1. Research Validation
4.2. Research Contributions
5. Conclusions
Author Contributions
Funding
Institutional Review Board Statement
Conflicts of Interest
References
- European Maritime Safety Agency. Annual Overview of Marine Casualties and Incidents in 2022; EMSA: Lisbon, Portugal, 2022; pp. 1–62.
- Marine Transportation Occurrences in 2020. Available online: https://www.bst-tsb.gc.ca/eng/stats/marine/2021/ssem-ssmo-2021.html (accessed on 16 February 2023).
- JTSB Japan Transport Safety Board, Statistics of Marine Accident. Available online: http://www.mlit.go.jp/jtsb/statistics_mar.html (accessed on 16 February 2023).
- Negenborn, R.R.; Goerlandt, F.; Johansen, T.A.; Slaets, P.; Banda, O.A.V.; Vanelslander, T.; Ventikos, N.P. Autonomous ships are on the horizon: Here’s what we need to know. Nature 2023, 615, 30–33. [Google Scholar] [CrossRef] [PubMed]
- Puisa, R.; McNay, J.; Montewka, J. Maritime safety: Prevention versus mitigation? Saf. Sci. 2021, 136, 105151. [Google Scholar] [CrossRef]
- Puisa, R.; Lin, L.; Bolbot, V.; Vassalos, D. Unravelling causal factors of maritime incidents and accidents. Saf. Sci. 2018, 110, 124–141. [Google Scholar] [CrossRef]
- Chin, H.C.; Debnath, A.K. Modeling perceived collision risk in port water navigation. Saf. Sci. 2009, 47, 1410–1416. [Google Scholar] [CrossRef]
- Di Pasquale, V.D.; Miranda, S.; Iannone, R.; Riemma, S. A simulator for human error probability analysis (SHERPA). Reliab. Eng. Syst. Saf. 2015, 139, 17–32. [Google Scholar] [CrossRef]
- Wróbel, K. Searching for the origins of the myth: 80% human error impact on maritime safety. Reliab. Eng. Syst. Saf. 2021, 216, 107942. [Google Scholar] [CrossRef]
- Human Element International Maritime Organization. Available online: https://www.imo.org/en/OurWork/HumanElement/Pages/Default.aspx (accessed on 16 February 2023).
- Shaobo, W.; Yingjun, Z.; Lianbo, L. A collision avoidance decision-making system for autonomous ship based on modified velocity obstacle method. Ocean Eng. 2020, 215, 107910. [Google Scholar] [CrossRef]
- Huang, Y.; Chen, L.; Chen, P.; Negenborn, R.R.; Van Gelder, P.H.A.J.M. Ship collision avoidance methods: State-of-the-art. Saf. Sci. 2020, 121, 451–473. [Google Scholar] [CrossRef]
- Xue, J.; Van Gelder, P.H.A.J.M.; Reniers, G.; Papadimitriou, E.; Wu, C. Multi-attribute decision-making method for prioritizing maritime traffic safety influencing factors of autonomous ships’ maneuvering decisions using grey and fuzzy theories. Saf. Sci. 2019, 120, 323–340. [Google Scholar] [CrossRef]
- Wang, T.; Wu, Q.; Zhang, J.; Wu, B.; Wang, Y. Autonomous decision-making scheme for multi-ship collision avoidance with iterative observation and inference. Ocean Eng. 2020, 197, 106873. [Google Scholar] [CrossRef]
- Cho, Y.; Han, J.; Kim, J. Efficient COLREG-compliant collision avoidance in multi-ship encounter situations. IEEE Trans. Intell. Transp. Syst. 2020, 23, 1899–1911. [Google Scholar] [CrossRef]
- Zhou, X.Y.; Huang, J.J.; Wang, F.W.; Wu, Z.L.; Liu, Z.J. A study of the application barriers to the use of autonomous ships posed by the good seamanship requirement of COLREGs. J. Navig. 2020, 73, 710–725. [Google Scholar] [CrossRef]
- Convention on the International Regulations for Preventing Collisions at Sea, 1972 (COLREGs). Available online: https://www.imo.org/en/About/Conventions/Pages/COLREG.aspx (accessed on 16 February 2023).
- Wróbel, K.; Gil, M.; Huang, Y.; Wawruch, R. The vagueness of COLREG versus collision avoidance techniques—A discussion on the current state and future challenges concerning the operation of autonomous ships. Sustainability 2022, 14, 16516. [Google Scholar] [CrossRef]
- Zupan, J. Introduction to artificial neural network (ANN) methods: What they are and how to use them. Acta Chim. Slov. 1994, 41, 327–352. [Google Scholar]
- Macrae, C. Human factors at sea: Common patterns of error in groundings and collisions. Marit. Policy. Manag. 2009, 36, 21–38. [Google Scholar] [CrossRef]
- Kim, D. A study on factors that trigger human errors related to causes of ship collisions. J. Korean Soc. Mar. Environ. Saf. 2017, 23, 801–809. [Google Scholar] [CrossRef]
- Zhang, J.; Zhang, D.; Yan, X.; Haugen, S.; Guedes Soares, C.G. A distributed anti-collision decision support formulation in multi-ship encounter situations under COLREGs. Ocean Eng. 2015, 105, 336–348. [Google Scholar] [CrossRef]
- Chauvin, C.; Clostermann, J.P.; Hoc, J.M. Impact of training programs on decision-making and situation awareness of trainee watch officers. Saf. Sci. 2009, 47, 1222–1231. [Google Scholar] [CrossRef]
- Kuchar, J.K.; Yang, L.C. A review of conflict detection and resolution modeling methods. IEEE Trans. Intell. Transp. Syst. 2000, 1, 179–189. [Google Scholar] [CrossRef]
- Fujii, Y.; Tanaka, K. Traffic capacity. J. Navig. 1971, 24, 543–552. [Google Scholar] [CrossRef]
- Goodwin, E.M. A statistical study of ship domains. J. Navig. 1975, 28, 328–344. [Google Scholar] [CrossRef]
- Davis, P.V.; Dove, M.J.; Stockel, C.T. A computer simulation of marine traffic using domains and areas. J. Navig. 1980, 33, 215–222. [Google Scholar] [CrossRef]
- Coldwell, T.G. Marine traffic behavior in restricted waters. J. Navig. 1983, 36, 430–444. [Google Scholar] [CrossRef]
- Hara, K.; Hammer, A. A Safe Way of Collision Avoidance Maneuver Based on Maneuvering Standard Using Fuzzy Reasoning Model. In Proceedings of the International Conference on Marine Simulation and Ship Manoeuvrability, St. John’s, NF, Canada, 26 September–20 October 1993. [Google Scholar]
- Li, B.; Pang, F.W. An approach of vessel collision risk assessment based on the D–S evidence theory. Ocean Eng. 2013, 74, 16–21. [Google Scholar] [CrossRef]
- Gang, L.; Wang, Y.; Sun, Y.; Zhou, L.; Zhang, M. Estimation of vessel collision risk index based on support vector machine. Adv. Mech. Eng. 2016, 8, 1687814016671250. [Google Scholar] [CrossRef]
- Wang, X.; Liu, Z.; Cai, Y. The ship maneuverability based collision avoidance dynamic support system in close-quarters situation. Ocean Eng. 2017, 146, 486–497. [Google Scholar] [CrossRef]
- Vestre, A.; Bakdi, A.; Vanem, E.; Engelhardtsen, Ø. AIS-based near-collision database generation and analysis of real collision avoidance manoeuvres. J. Navig. 2021, 74, 985–1008. [Google Scholar] [CrossRef]
- Przywarty, M.; Boć, R.; Brcko, T.; Perkovič, M. Factors influencing the action point of the collision avoidance manoeuvre. Appl. Sci. 2021, 11, 7299. [Google Scholar] [CrossRef]
- Piskur, P.; Szymak, P.; Jaskólski, K.; Flis, L.; Gąsiorowski, M. Hydroacoustic System in a Biomimetic Underwater Vehicle to Avoid Collision with Vessels with Low-Speed Propellers in a Controlled Environment. Sensors 2020, 20, 968. [Google Scholar] [CrossRef]
- Jaskólski, K.; Felski, A.; Piskur, P. The Compass Error Comparison of an Onboard Standard Gyrocompass, Fiber-Optic Gyrocompass (FOG) and Satellite Compass. Sensors 2019, 19, 1942. [Google Scholar] [CrossRef]
- Park, S.H. A study on the application of navigation rules: Focused on maritime safety tribunal decision case. Korea Inst. Marit. Law 2018, 30, 131–154. [Google Scholar] [CrossRef]
- Szlapczynski, R.; Krata, P.; Szlapczynska, J. Ship domain applied to determining distances for collision avoidance manoeuvres in give-way situations. Ocean Eng. 2018, 165, 43–54. [Google Scholar] [CrossRef]
- Krata, P.; Montewka, J. Assessment of a critical area for a give-way ship in a collision encounter. Arch. Transp. 2015, 34, 51–60. [Google Scholar] [CrossRef]
- Koszelew, J.; Wołejsza, P. Determination of the last moment manoeuvre for collision avoidance using standards for ships manoeuvrability. Annu. Navig. 2017, 24, 301–313. [Google Scholar] [CrossRef]
- Shah, B.C.; Švec, P.; Bertaska, I.R.; Sinisterra, A.J.; Klinger, W.; von Ellenrieder, K.; Dhanak, M.; Gupta, S.K. Resolution-adaptive risk-aware trajectory planning for surface vehicles operating in congested civilian traffic. Auton. Robot. 2016, 40, 1139–1163. [Google Scholar] [CrossRef]
- Li, W.; Zhong, L.; Xu, Y.; Shi, G. Collision risk index calculation based on an improved ship domain model. J. Mar. Sci. Eng. 2022, 10, 2016. [Google Scholar] [CrossRef]
- Banaś, P.; Pietrzykowski, Z.; Wójcik, A.; Wołejsza, P. Automation of processes of identifying navigation situations requiring communication to be established by a sea-going vessel. Zesz. Nauk. Akad. Morskiej W Szczecinie 2013, 36, 15–21. [Google Scholar]
- Kang, L.; Lu, Z.; Meng, Q.; Gao, S.; Wang, F. Maritime simulator based determination of minimum DCPA and TCPA in head-on ship-to-ship collision avoidance in confined waters. Transp. A 2019, 15, 1124–1144. [Google Scholar] [CrossRef]
- Yim, J.B.; Park, D.J. Modeling evasive action to be implemented at the minimum distance for collision avoidance in a give-way situation. Ocean Eng. 2022, 263, 112210. [Google Scholar] [CrossRef]
- Ahn, J.H.; Rhee, K.P.; You, Y.J. A study on the collision avoidance of a ship using neural networks and fuzzy logic. App. Ocean Res. 2012, 37, 162–173. [Google Scholar] [CrossRef]
- Sawada, R.; Sato, K.; Majima, T. Automatic ship collision avoidance using deep reinforcement learning with LSTM in continuous action spaces. J. Mar. Sci. Technol. 2021, 26, 509–524. [Google Scholar] [CrossRef]
- Xie, S.; Garofano, V.; Chu, X.; Negenborn, R.R. Model predictive ship collision avoidance based on Q-learning beetle swarm antenna search and neural networks. Ocean Eng. 2019, 193, 106609. [Google Scholar] [CrossRef]
- Lee, Y.S.; Park, J.M.; Lee, Y.J. A study on the initial action of navigators to avoid risk of collision at sea. J. Navig. Port. Res. 2014, 38, 327–333. [Google Scholar] [CrossRef]
- Yang, H.S. A study on the ship collision avoidance model considered speed. J. Korean Inst. Navig. Port Res. 2006, 30, 779–785. [Google Scholar] [CrossRef]
- Hasegawa, K. Automatic collision avoidance system for ships using fuzzy control. Nav. Arch. J. 1987, 205, 1–10. [Google Scholar]
- Tang, H.; Yin, Y.; Shen, H. A model for vessel trajectory prediction based on long short-term memory neural network. J. Mar. Eng. Technol. 2022, 21, 136–145. [Google Scholar] [CrossRef]
- Simsir, U.; Ertugrul, S. Prediction of manually controlled vessels’ position and course navigating in narrow waterways using artificial neural networks. Appl. Soft. Comput. 2009, 9, 1217–1224. [Google Scholar] [CrossRef]
- Ertugrul, S.; Hizal, N.A. Neuor-fuzzy controller design via modeling human operator actions. J. Intell. Fuzzy Syst. 2005, 16, 133–140. [Google Scholar]
- Kwak, M.K.; Suh, S.H. Design of neural-network based autopilot control system(I). J. Soc. Nav. Archit. Korea 1997, 34, 56–63. [Google Scholar]
- Skansi, S. Introduction to Deep Learning: From Logical Calculus to Artificial Intelligence; Springer: Cham, Switzerland, 2018. [Google Scholar]
- Goodfellow, I.; Bengio, Y.; Courville, A. Deep Learning; MIT Press: Cambridge, MA, USA, 2016. [Google Scholar]
- Jun, S. Regression machine learning using Bayesian inference and regularization. J. Korean Inst. Intell. Syst. 2019, 29, 390–394. [Google Scholar] [CrossRef]
- Burden, F.; Winkler, D. Bayesian regularization of neural networks. Methods Mol. Biol. 2008, 458, 25–44. [Google Scholar] [CrossRef] [PubMed]
- MacKay, D.J.C. A practical Bayesian framework for backpropagation networks. Neural Comput. 1992, 4, 448–472. [Google Scholar] [CrossRef]
- Forsee, F.D.; Hagan, M.T. Gauss-Newton approximation to Bayesian learning. In Proceedings of the 1997 IEEE International Conference on Neural Networks 1–4, Houston, TX, USA, 12 June 1997. [Google Scholar]
- Hupponen, K. A Simulator for Evaluating Machine-Learning Algorithms for Autonomous Ships. Master’s Thesis, Abo Akademi, Turku, Finland, 2020. [Google Scholar]
- Japan Captains’ Association. A Guide to Ship Handling/The Best Seamanship; International Mariners Management Association of Japan: Tokyo, Japan, 2009. [Google Scholar]













| Related Work | Ship’s Code | Course (°) | Speed (Knots) | Ship Length (m) | Time of the First Recognition (before Collision) | Time of the First Collision Avoidance Action (before Collision) | Type of the Avoidance Action | 
|---|---|---|---|---|---|---|---|
| Investigation report of a collision accident (KMST, 150915) | A | 050 | 17.0 | 159.5 | 10 min | 2 min | Port steer from 050° to 040° | 
| B | 270 | 10.7 | 66.7 | 1 min | 1 min | Hard a starboard | |
| Investigation report of a collision accident (KMST, 150204) | A | 213 | 6.0 | 87.8 | 24 min | 4 min | Hard a port | 
| B | 021 | 11.5 | 225.0 | 34 min | 8 min | Starboard steer from 021° to 050° | |
| Investigation report of a collision accident (JTSB, MA2019-6) | A | 012 | 12.2 | 397.7 | 13 min | 2 min | Stop engine and hard a port | 
| B | 285 | 5.7 | 147.8 | 8 min | 7 min | Increasing speed | |
| Investigation report of a collision accident (JTSB, MA2021-3) | A | 040.6 | 18.0 | 338.2 | 27 min | 7 min | Port steer from 040.6° to 019.7° | 
| B | 290 | 13.8 | 141.0 | 12 min | 2 min | Starboard 10° | 
| Rank | Third Officer | Second Officer | Chief Officer | Captain | |
|---|---|---|---|---|---|
| Distance | |||||
| 0.5 mile | 2 (6.9%) | 13 (21.6%) | 32 (35.6%) | 5 (38.5%) | |
| 1.0 mile | 24 (82.8%) | 46 (76.7%) | 52 (57.8%) | 7 (53.8%) | |
| 2.0 miles | 2 (6.9%) | 1 (1.7%) | 5 (5.5%) | 1 (7.7%) | |
| 3.0 miles | 1 (3.4%) | 0 (0.0%) | 1 (1.1%) | 0 (0.0%) | |
| Case No. | Input | Output | |||||
|---|---|---|---|---|---|---|---|
| 1 | 10 | 0 | 15 | 300 | 200 | 3.5 | −122.7 | 
| 2 | 20 | 120 | 15 | 0 | 200 | 7.8 | 12.4 | 
| 3 | 25 | 180 | 25 | 150 | 100 | 3.3 | −30.0 | 
| 4 | 15 | 300 | 25 | 210 | 150 | 7.5 | 25.4 | 
| 5 | 15 | 270 | 20 | 90 | 150 | 9.0 | 14.8 | 
| … | |||||||
| 3816 | 25 | 330 | 20 | 300 | 100 | 3.2 | 18.5 | 
| Ship Specifications | Simulation Condition | ||||||
|---|---|---|---|---|---|---|---|
| Ship type | Container carrier | Depth | 9.6 m | Wind force | 5 knots | Visibility | 10 miles | 
| Length overall | 203.6 m | Displacement | 32,025 tons | Wind direction | 000° | Target ship | Same as the own ship | 
| Breadth | 25.4 m | Ship’s max speed | 19.4 knots | Wave | 0.4 m | Rate of turn | 10°/min | 
| Scenario | |||||||
|---|---|---|---|---|---|---|---|
| Case 1 | 19.4 | 000 | 19.4 | 180 | 203.6 | 10.0 | 12.3 | 
| Case 2 | 225 | 10.2 | 14.4 | ||||
| Case 3 | 270 | 7.9 | 14.0 | ||||
| Case 4 | 315 | 2.4 | 26.2 | 
| Scenario | Original CPA (Mile) | Passage Distance (D) (Mile) | Revised CPA by the Controller (Mile) | Error (Mile) | 
|---|---|---|---|---|
| Case 1 | 0 | 1.0 | 1.03 | +0.03 | 
| Case 2 | 1.22 | +0.22 | ||
| Case 3 | 0.92 | −0.08 | ||
| Case 4 | 0.82 | −0.18 | 
| Disclaimer/Publisher’s Note: The statements, opinions and data contained in all publications are solely those of the individual author(s) and contributor(s) and not of MDPI and/or the editor(s). MDPI and/or the editor(s) disclaim responsibility for any injury to people or property resulting from any ideas, methods, instructions or products referred to in the content. | 
© 2023 by the authors. Licensee MDPI, Basel, Switzerland. This article is an open access article distributed under the terms and conditions of the Creative Commons Attribution (CC BY) license (https://creativecommons.org/licenses/by/4.0/).
Share and Cite
Kim, J.-K.; Park, D.-J. Determining the Proper Times and Sufficient Actions for the Collision Avoidance of Navigator-Centered Ships in the Open Sea Using Artificial Neural Networks. J. Mar. Sci. Eng. 2023, 11, 1384. https://doi.org/10.3390/jmse11071384
Kim J-K, Park D-J. Determining the Proper Times and Sufficient Actions for the Collision Avoidance of Navigator-Centered Ships in the Open Sea Using Artificial Neural Networks. Journal of Marine Science and Engineering. 2023; 11(7):1384. https://doi.org/10.3390/jmse11071384
Chicago/Turabian StyleKim, Jong-Kwan, and Deuk-Jin Park. 2023. "Determining the Proper Times and Sufficient Actions for the Collision Avoidance of Navigator-Centered Ships in the Open Sea Using Artificial Neural Networks" Journal of Marine Science and Engineering 11, no. 7: 1384. https://doi.org/10.3390/jmse11071384
APA StyleKim, J.-K., & Park, D.-J. (2023). Determining the Proper Times and Sufficient Actions for the Collision Avoidance of Navigator-Centered Ships in the Open Sea Using Artificial Neural Networks. Journal of Marine Science and Engineering, 11(7), 1384. https://doi.org/10.3390/jmse11071384
 
        

 
                                                


 
       