Marine Controlled-Source Electromagnetic Data Denoising Method Using Symplectic Geometry Mode Decomposition
Abstract
1. Introduction
2. Methodology
2.1. Phase Space Reconstruction
2.2. Algorithm of SGMD
2.3. Hampel Filter
3. Synthetic Studies
3.1. Synthetic Model
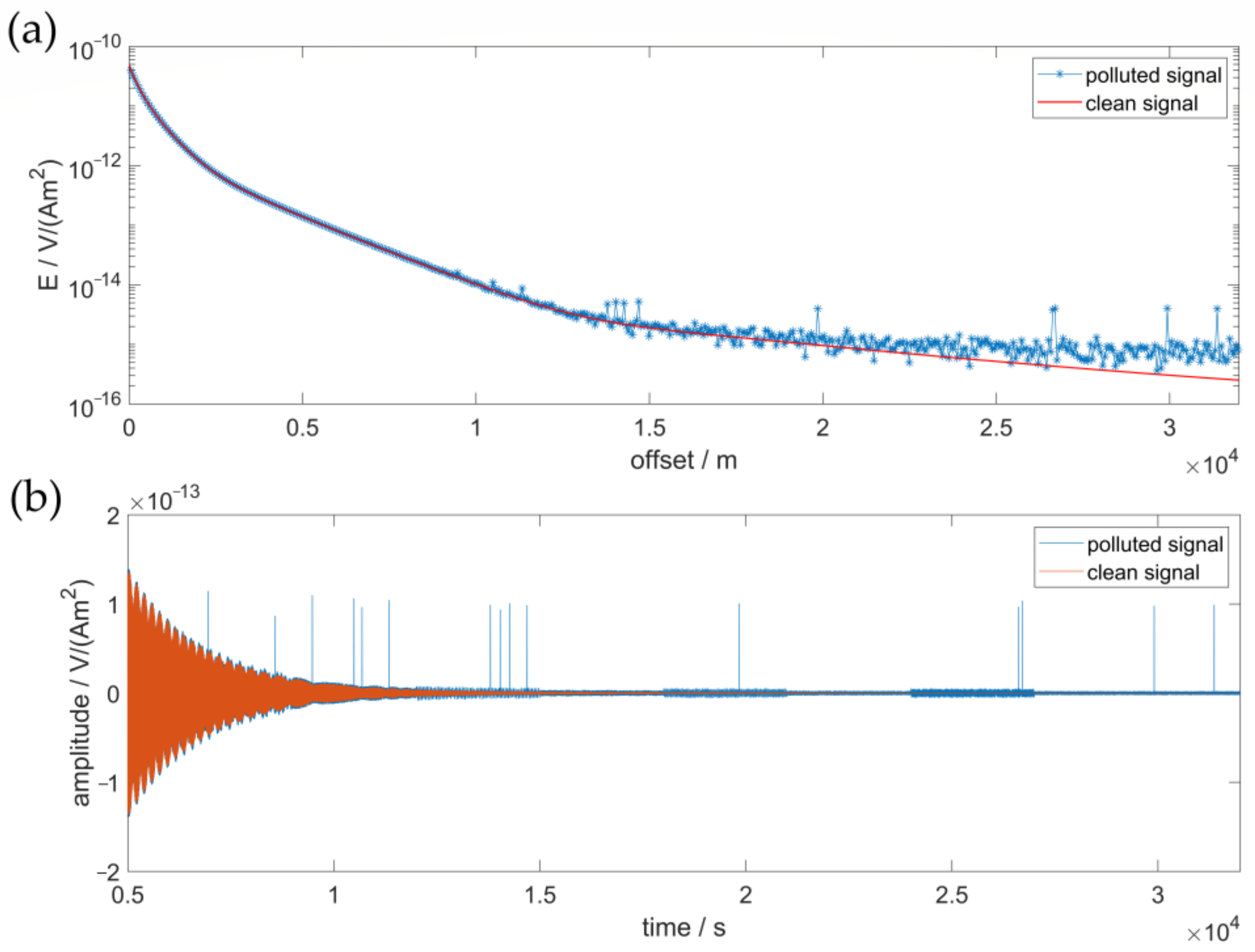
3.2. Noise Construction
- (1)
- Random noise. This kind of noise is not correlated with the signal. Generally, the average magnitude of random noise decreases as the water depth increases. Considering the depth in this study, the magnitude is from to , and does not follow a Gaussian distribution [38]. This noise is shown in Figure 3a.
- (2)
- Sea water motion noise. This low-frequency noise originates from the seafloor currents, where voltage is induced by the motion of a conductor [39]. The noise is composed of several low-frequency sine signals (0.01 Hz, 0.02 Hz, 0.03 Hz and 0.04 Hz) with a random distribution in the recorded signal. For each sine signal, the magnitude of the noise is fixed within a range of to . This noise is shown in Figure 3b.
- (3)
- (4)
3.3. Synthetic Data
4. Denoising Experiments
4.1. VMD and Wavelet Denoising
4.2. SGMD Denoising
4.3. Quantitative Contrast
4.4. Occam Inversion
5. Conclusions
Author Contributions
Funding
Data Availability Statement
Acknowledgments
Conflicts of Interest
References
- Eidesmo, T.; Ellingsrud, S.; MacGregor, L.M.; Constable, S.; Sinha, M.C.; Johansen, S.E.; Kong, F.N.; Westerdahl, H. Sea bed logging (SBL), a new method for remote and direct identification of hydrocarbon filled layers in deepwater areas. First Break 2002, 20, 144–152. [Google Scholar]
- Ellingsrud, S.; Eidesmo, T.; Johansen, S.; Sinha, M.C.; MacGregor, L.M.; Constable, S. Remote sensing of hydrocarbon layers by seabed logging (SBL): Results from a cruise offshore Angola. Lead. Edge 2002, 21, 972–982. [Google Scholar] [CrossRef]
- Mittet, R.; Morten, J.P. Detection and imaging sensitivity of the marine CSEM method. Geophysics 2012, 77, E411–E425. [Google Scholar] [CrossRef]
- Christensen, N.B.; Dodds, K. 1D inversion and resolution analysis of marine CSEM data. Geophysics 2007, 72, WA27–WA38. [Google Scholar] [CrossRef][Green Version]
- Constable, S. Ten years of marine CSEM for hydrocarbon exploration. Geophysics 2010, 75, A67–A75. [Google Scholar] [CrossRef]
- Key, K. Marine electromagnetic studies of seafloor resources and tectonics. Surv. Geophys. 2012, 33, 135–167. [Google Scholar] [CrossRef]
- Zhu, J.; Wang, G.; Huang, Y.; Zhang, X.; He, R.; Chen, F. A denoising method for ultrasonic testing of rubber composites based on improved symplectic geometric mode decomposition. Appl. Acoust. 2023, 209, 109428. [Google Scholar] [CrossRef]
- Myer, D.; Constable, S.; Key, K. Broad-band waveforms and robust processing for marine CSEM surveys. Geophys. J. Int. 2011, 184, 689–698. [Google Scholar] [CrossRef]
- Attias, E.; Weitemeyer, K.; Minshull, T.A.; Best, A.I.; Sinha, M.; Jegen-Kulcsar, M.; Holz, S.; Berndt, C. Controlled-source electromagnetic and seismic delineation of subseafloor fluid flow structures in a gas hydrate province, offshore Norway. Geophys. J. Int. 2016, 206, 1093–1110. [Google Scholar] [CrossRef]
- Schmidt, O.T.; Colonius, T. Guide to spectral proper orthogonal decomposition. Aiaa J. 2020, 58, 1023–1033. [Google Scholar] [CrossRef]
- Li, S.; Jiang, S.; Wang, Y.; Yu, S. A wavelet correction method for the seawater turbulence noise in marine controlled-source electectromagnetic data. Geophys. Prospect. Pet. 2016, 55, 657–663. [Google Scholar]
- Zhang, J. Research on Noise Suppression Technology of Marine Controlled-Source Electromagnetic Data Based on VMD; Jilin University: Changchun, China, 2021. [Google Scholar]
- Dragomiretskiy, K.; Zosso, D. Variational mode decomposition. IEEE Trans. Signal Process. 2013, 62, 531–544. [Google Scholar] [CrossRef]
- Baldazzi, G.; Solinas, G.; Del Valle, J.; Barbaro, M.; Micera, S.; Raffo, L.; Pani, D. Systematic analysis of wavelet denoising methods for neural signal processing. J. Neural Eng. 2020, 17, 066016. [Google Scholar] [CrossRef] [PubMed]
- Peng, Z.; Jackson, M.R.; Rongong, J.; Chu, F.; Parkin, R.M. On the energy leakage of discrete wavelet transform. Mech. Syst. Signal Process. 2009, 23, 330–343. [Google Scholar] [CrossRef]
- Xie, H.-B.; Guo, T.; Sivakumar, B.; Liew, A.W.-C.; Dokos, S. Symplectic geometry spectrum analysis of nonlinear time series. Proc. R. Soc. A Math. Phys. Eng. Sci. 2014, 470, 20140409. [Google Scholar] [CrossRef]
- Amundsen, L.; Løseth, L.; Mittet, R.; Ellingsrud, S.; Ursin, B. Decomposition of electromagnetic fields into upgoing and downgoing components. Geophysics 2006, 71, G211–G223. [Google Scholar] [CrossRef][Green Version]
- Mittet, R.; Gabrielsen, P.T. Decomposition in upgoing and downgoing fields and inversion of marine CSEM data. Geophysics 2013, 78, E1–E17. [Google Scholar] [CrossRef][Green Version]
- Wright, D. Quantifying the effect of the air/water interface in marine active source EM. J. Appl. Geophys. 2015, 118, 92–105. [Google Scholar] [CrossRef]
- Li, G.; Tang, F.; Li, C.; Lei, W.; Liu, Y. Improved detectivity for detecting gas hydrates using the weighted differential fields of the marine controlled-source electromagnetic data. J. Mar. Sci. Eng. 2022, 10, 161. [Google Scholar] [CrossRef]
- Zhang, P.; Deng, M.; Jing, J.; Chen, K. Marine controlled-source electromagnetic method data de-noising based on compressive sensing. J. Appl. Geophys. 2020, 177, 104011. [Google Scholar] [CrossRef]
- Zhang, P.; Pan, X.; Liu, J. Denoising Marine Controlled Source Electromagnetic Data Based on Dictionary Learning. Minerals 2022, 12, 682. [Google Scholar] [CrossRef]
- Pan, H.; Yang, Y.; Li, X.; Zheng, J.; Cheng, J. Symplectic geometry mode decomposition and its application to rotating machinery compound fault diagnosis. Mech. Syst. Signal Process. 2019, 114, 189–211. [Google Scholar] [CrossRef]
- Pan, H.; Yang, Y.; Zheng, J.; Cheng, J. A noise reduction method of symplectic singular mode decomposition based on Lagrange multiplier. Mech. Syst. Signal Process. 2019, 133, 106283. [Google Scholar] [CrossRef]
- Yu, B.; Cao, N.; Zhang, T. A novel signature extracting approach for inductive oil debris sensors based on symplectic geometry mode decomposition. Measurement 2021, 185, 110056. [Google Scholar] [CrossRef]
- Cheng, J.; Yang, Y.; Li, X.; Pan, H.; Cheng, J. An early fault diagnosis method of gear based on improved symplectic geometry mode decomposition. Measurement 2020, 151, 107140. [Google Scholar] [CrossRef]
- Zhang, G.; Wang, Y.; Li, X.; Tang, B.; Qin, Y. Enhanced symplectic geometry mode decomposition and its application to rotating machinery fault diagnosis under variable speed conditions. Mech. Syst. Signal Process. 2022, 170, 108841. [Google Scholar] [CrossRef]
- Guo, J.; Si, Z.; Xiang, J. Cycle kurtosis entropy guided symplectic geometry mode decomposition for detecting faults in rotating machinery. ISA Trans. 2023, 138, 546–561. [Google Scholar] [CrossRef]
- Zhan, P.; Qin, X.; Zhang, Q.; Sun, Y. Output-Only Modal Identification Based on Auto-regressive Spectrum-Guided Symplectic Geometry Mode Decomposition. J. Vib. Eng. Technol. 2023. [Google Scholar] [CrossRef]
- Zhang, X.; Li, C.; Wang, X.; Wu, H. A novel fault diagnosis procedure based on improved symplectic geometry mode decomposition and optimized SVM. Measurement 2021, 173, 108644. [Google Scholar] [CrossRef]
- Guo, J.; Si, Z.; Liu, Y.; Li, J.; Li, Y.; Xiang, J. Dynamic time warping using graph similarity guided symplectic geometry mode decomposition to detect bearing faults. Reliab. Eng. Syst. Saf. 2022, 224, 108533. [Google Scholar] [CrossRef]
- Liu, F.; Wang, H.; Li, W.; Zhang, F.; Zhang, L.; Jiang, M.; Sui, Q. Fault diagnosis of rolling bearing combining improved AWSGMD-CP and ACO-ELM model. Measurement 2023, 209, 112531. [Google Scholar] [CrossRef]
- Packard, N.H.; Crutchfield, J.P.; Farmer, J.D.; Shaw, R.S. Geometry from a time series. Phys. Rev. Lett. 1980, 45, 712. [Google Scholar] [CrossRef]
- Bonizzi, P.; Karel, J.M.; Meste, O.; Peeters, R.L. Singular spectrum decomposition: A new method for time series decomposition. Adv. Adapt. Data Anal. 2014, 6, 1450011. [Google Scholar] [CrossRef]
- Liu, H.; Shah, S.; Jiang, W. On-line outlier detection and data cleaning. Comput. Chem. Eng. 2004, 28, 1635–1647. [Google Scholar] [CrossRef]
- Key, K. Marine EM inversion using unstructured grids: A 2D parallel adaptive finite element algorithm. In Proceedings of the SEG Las Vegas 2012 Annual Meeting, Las Vegas, NV, USA, 4–9 November 2012; pp. 1–5. [Google Scholar]
- Key, K. MARE2DEM: A 2-D inversion code for controlled-source electromagnetic and magnetotelluric data. Geophys. J. Int. 2016, 207, 571–588. [Google Scholar] [CrossRef]
- Mittet, R.; Morten, J.P. The marine controlled-source electromagnetic method in shallow water. Geophysics 2013, 78, E67–E77. [Google Scholar] [CrossRef]
- Pethick, A.M. Multidimensional Computation and Visualisation for Marine Controlled Source Electromagnetic Methods; Curtin University: Perth, WA, Australia, 2013. [Google Scholar]
- Behrens, J.P. The Detection of Electrical Anisotropy in 35 Ma Pacific Lithosphere: Results from a Marine Controlled-Source Electromagnetic Survey and Implications for Hydration of the Upper Mantle; University of California: San Diego, CA, USA, 2005. [Google Scholar]
- Key, K. 1D inversion of multicomponent, multifrequency marine CSEM data: Methodology and synthetic studies for resolving thin resistive layers. Geophysics 2009, 74, F9–F20. [Google Scholar] [CrossRef]









Disclaimer/Publisher’s Note: The statements, opinions and data contained in all publications are solely those of the individual author(s) and contributor(s) and not of MDPI and/or the editor(s). MDPI and/or the editor(s) disclaim responsibility for any injury to people or property resulting from any ideas, methods, instructions or products referred to in the content. |
© 2023 by the authors. Licensee MDPI, Basel, Switzerland. This article is an open access article distributed under the terms and conditions of the Creative Commons Attribution (CC BY) license (https://creativecommons.org/licenses/by/4.0/).
Share and Cite
Chen, Y.; Guo, Z.; Gao, D. Marine Controlled-Source Electromagnetic Data Denoising Method Using Symplectic Geometry Mode Decomposition. J. Mar. Sci. Eng. 2023, 11, 1578. https://doi.org/10.3390/jmse11081578
Chen Y, Guo Z, Gao D. Marine Controlled-Source Electromagnetic Data Denoising Method Using Symplectic Geometry Mode Decomposition. Journal of Marine Science and Engineering. 2023; 11(8):1578. https://doi.org/10.3390/jmse11081578
Chicago/Turabian StyleChen, Yijie, Zhenwei Guo, and Dawei Gao. 2023. "Marine Controlled-Source Electromagnetic Data Denoising Method Using Symplectic Geometry Mode Decomposition" Journal of Marine Science and Engineering 11, no. 8: 1578. https://doi.org/10.3390/jmse11081578
APA StyleChen, Y., Guo, Z., & Gao, D. (2023). Marine Controlled-Source Electromagnetic Data Denoising Method Using Symplectic Geometry Mode Decomposition. Journal of Marine Science and Engineering, 11(8), 1578. https://doi.org/10.3390/jmse11081578

