Influence of Load Conditions on the Propeller Wake Evolution
Abstract
1. Introduction
2. Research Model
3. Numerical Simulation
3.1. Numerical Method
3.2. Computational Details
3.3. Numerical Validation
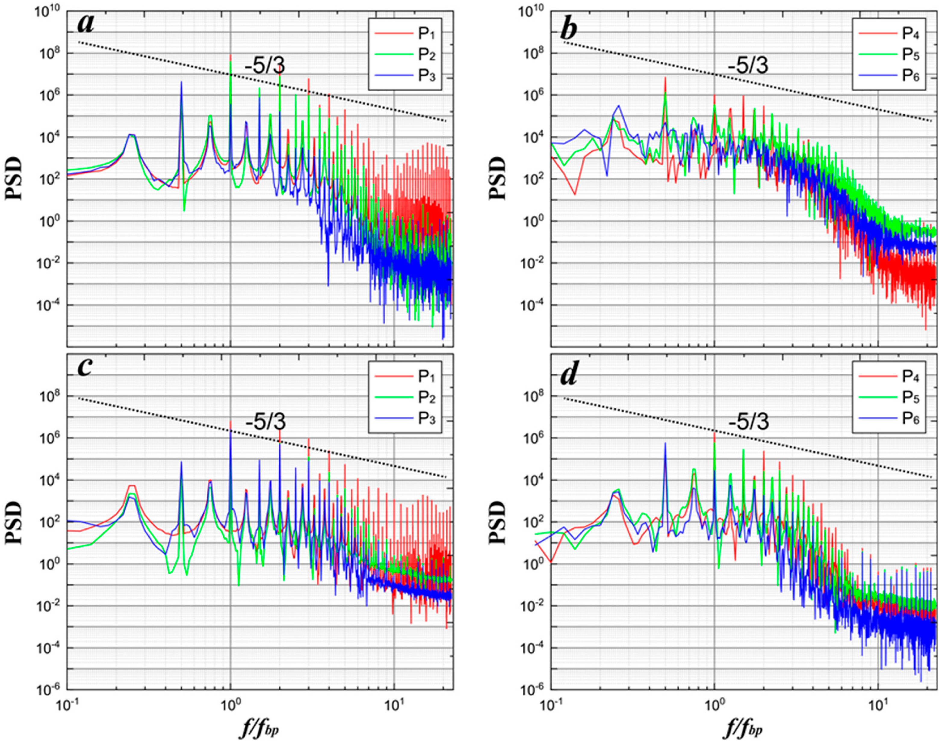
4. Results and Analysis
5. Discussions
- (1)
- The first step in improving the flow behavior is understanding the existing flow patterns and challenges.
- (2)
- Improvements in propeller design can have a profound impact on flow behavior. Key considerations include the following.
- (a)
- Blade Shape: Modifying the shape of the blades can alter the flow patterns to reduce turbulence and cavitation. Airfoil profiling and chord distribution can be adjusted to enhance the flow.
- (b)
- Blade Number: Increasing or decreasing the number of blades can affect the flow pattern and efficiency, but this needs to be optimized for specific applications. Increasing the number of propeller blades can augment the pitch of the tip vortex system, thereby attenuating the mutual inductive effects between adjacent tip vortices and consequently delaying the breakdown of the wake vortex system behind the propeller.
- (c)
- Pitch Control: Adjusting the pitch of the blades (either fixed or variable pitch) can give better control over the flow behavior across different operating conditions.
- (d)
- Tip Design: Modifying the tips of the propellers, such as adding winglets, can reduce the tip vortices and energy loss, thus reducing drag and improving efficiency.
- (e)
- Material Selection: Choosing materials that resist cavitation damage and provide the desired flexibility and strength.
- (f)
- Surface Roughness: Polishing or applying coatings to reduce the surface roughness can minimize friction and turbulent flow.
6. Conclusions
- (1)
- Tip vortices emerge as the dominant structures within the propeller wake, surpassing all others. The pairing of adjacent tip vortices coincides with the circumferential diffusion of vortices, leading to enhanced mutual induction effects.
- (2)
- The instability, compounded by the growth of elliptic instability and secondary vortex structures, leads to the breakdown of the tip vortex system into smaller-scale vortices in the mid-field. This breakdown results in a rapid loss of coherence.
- (3)
- In the far field, the tip vortex system becomes entirely discretized, with a tendency towards a homogeneous distribution. Meanwhile, the coherence of the hub vortex remains more consistent compared to the tip vortex.
Author Contributions
Funding
Institutional Review Board Statement
Informed Consent Statement
Data Availability Statement
Conflicts of Interest
References
- Deng, R.; Zhang, Z.; Luo, F.; Sun, P.; Wu, T. Investigation on the Lift Force Induced by the Interceptor and Its Affecting Factors: Experimental Study with Captive Model. J. Mar. Sci. Eng. 2022, 10, 211. [Google Scholar] [CrossRef]
- Deng, R.; Song, Z.; Ren, H.; Li, H.; Wu, T. Investigation on the effect of container configurations and forecastle fairings on wind resistance and aerodynamic performance of large container ships. Eng. Appl. Comp. Fluid Mech. 2022, 16, 1279–1304. [Google Scholar] [CrossRef]
- Gong, J.; Luo, W.Z.; Wu, T.C.; Zhang, Z.Y. Numerical analysis of vortex and cavitation dynamics of an axial-flow pump. Eng. Appl. Comp. Fluid Mech. 2022, 16, 1921–1938. [Google Scholar] [CrossRef]
- Ha, J.; Park, J.; Park, G.; Kim, J.; Kim, J.; Seo, J.; Rhee, S.H. Experimental study on the propulsion performance of a partially submerged propeller. Int. J. Nav. Archit. Ocean Eng. 2023, 15, 100516. [Google Scholar] [CrossRef]
- Song, K.; Guo, C.; Sun, C.; Wang, C.; Gong, J.; Li, P.; Wang, L. Simulation strategy of the full-scale ship resistance and propulsion performance. Eng. Appl. Comp. Fluid Mech. 2021, 15, 1321–1342. [Google Scholar] [CrossRef]
- Wang, L.Z.; Guo, C.Y.; Su, Y.M.; Wu, T.C. A numerical study on the correlation between the evolution of propeller trailing vortex wake and skew of propellers. Int. J. Nav. Archit. Ocean Eng. 2018, 10, 212–224. [Google Scholar] [CrossRef]
- Deng, T.; Chen, Z.; Fu, J.Y.; Li, Y. An improved inflow turbulence generator for large eddy simulation evaluation of wind effects on tall buildings. Eng. Appl. Comp. Fluid Mech. 2023, 17, e2155704. [Google Scholar] [CrossRef]
- Kan, K.; Xu, Y.; Li, Z.; Xu, H.; Chen, H.; Zi, D.; Shen, L. Numerical study of instability mechanism in the air-core vortex formation process. Eng. Appl. Comp. Fluid Mech. 2023, 17, 2156926. [Google Scholar] [CrossRef]
- Li, T.; Liang, H.; Zhang, J.; Zhang, J. Numerical study on aerodynamic resistance reduction of high-speed train using vortex generator. Eng. Appl. Comp. Fluid Mech. 2023, 17, e2153925. [Google Scholar] [CrossRef]
- Pan, Y.C.; Zhang, H.X.; Zhou, Q.D. Numerical simulation of unsteady propeller force for a submarine in straight ahead sailing and steady diving maneuver. Int. J. Nav. Archit. Ocean Eng. 2019, 11, 899–913. [Google Scholar] [CrossRef]
- Yin, G.; Ong, M.C.; Zhang, P. Numerical investigations of pipe flow downstream a flow conditioner with bundle of tubes. Eng. Appl. Comp. Fluid Mech. 2023, 17, e2154850. [Google Scholar] [CrossRef]
- Bontempo, R.; Manna, M. Actuator disc methods for open propellers: Assessments of numerical methods. Eng. Appl. Comp. Fluid Mech. 2017, 11, 42–53. [Google Scholar] [CrossRef]
- Ni, S.; Zhao, G.; Chen, Y.; Cao, H.; Jiang, C.; Zhou, W.; Tao, Y.; Shuai, Z. Modulation effect on rotor-stator interaction subjected to fluctuating rotation speed in a centrifugal pump. Eng. Appl. Comp. Fluid Mech. 2023, 17, 2163703. [Google Scholar] [CrossRef]
- Paik, K.J.; Hwang, S.; Jung, J.; Lee, T.; Lee, Y.Y.; Ahn, H.; Van, S.H. Investigation on the wake evolution of contra-rotating propeller using RANS computation and SPIV measurement. Int. J. Nav. Archit. Ocean Eng. 2015, 7, 595–609. [Google Scholar] [CrossRef]
- Shin, H.W.; Paik, K.J.; Jang, Y.H.; Eom, M.J.; Lee, S. A numerical investigation on the nominal wake of KVLCC2 model ship in regular head waves. Int. J. Nav. Archit. Ocean Eng. 2020, 12, 270–282. [Google Scholar] [CrossRef]
- Jiang, J.; Cai, H.; Ma, C.; Qian, Z.; Chen, K.; Wu, P. A ship propeller design methodology of multi-objective optimization considering fluid–structure interaction. Eng. Appl. Comp. Fluid Mech. 2018, 12, 28–40. [Google Scholar] [CrossRef]
- Wang, Q.; Jiang, Z.; Zhang, Q. Regionalized actuator disk model designed by optimization method for propeller slipstream computation. Eng. Appl. Comp. Fluid Mech. 2014, 8, 127–139. [Google Scholar] [CrossRef][Green Version]
- Zhao, S.; Li, J.; Jiang, Y.; Qian, R.; Xu, R. Investigation of propeller slipstream effects on lateral and directional static stability of transport aircraft. Eng. Appl. Comp. Fluid Mech. 2022, 16, 551–569. [Google Scholar] [CrossRef]
- Di Felice, F.; Di Florio, D.; Felli, M.; Romano, G.P. Experimental investigation of the propeller wake at different loading conditions by particle image velocimetry. J. Ship Res. 2004, 48, 168–190. [Google Scholar] [CrossRef]
- Felli, M.; Camussi, R.; Di Felice, F. Mechanisms of evolution of the propeller wake in the transition and far fields. J. Fluid Mech. 2011, 682, 5–53. [Google Scholar] [CrossRef]
- Felli, M.; Falchi, M. Propeller tip and hub vortex dynamic from the near to the very far field by time-resolved PIV measurements. In Proceedings of the 33rd Symposium on Naval Hydrodynamics, Osaka, Japan, 31 May–5 June 2020; Volume 136. [Google Scholar]
- Wang, L.; Martin, J.E.; Felli, M.; Carrica, P.M. Experiments and CFD for the propeller wake of a generic submarine operating near the surface. Ocean Eng. 2020, 206, 107304. [Google Scholar] [CrossRef]
- Friedhoff, B.; Roettig, F.; Wennemar, K.; Hoyer, K.; Beslac, R.; Hesseling, C.; Beck, T. Comparison of stereoscopic particle image velocimetry and volumetric particle tracking velocimetry in the wake of a ducted propeller. Ocean Eng. 2021, 234, 109291. [Google Scholar] [CrossRef]
- Kumar, P.; Mahesh, K. Large eddy simulation of propeller wake instabilities. J. Fluid Mech. 2017, 814, 361–396. [Google Scholar] [CrossRef]
- Sun, P.; Pan, L.; Liu, W.; Zhou, J.; Zhao, T. Wake Characteristic Analysis of a Marine Propeller under Different Loading Conditions in Coastal Environments. J. Coast. Res. 2022, 38, 613–623. [Google Scholar] [CrossRef]
- Posa, A.; Broglia, R. Spanwise distribution of the loads on a hydrofoil working in the wake of an upstream propeller. Ocean Eng. 2022, 264, 112542. [Google Scholar] [CrossRef]
- Di Mascio, A.; Dubbioso, G.; Muscari, R. Vortex structures in the wake of a marine propeller operating close to a free surface. J. Fluid Mech. 2022, 949, A33. [Google Scholar] [CrossRef]
- Posa, A. Dependence of tip and hub vortices shed by a propeller with winglets on its load conditions. Phys. Fluids 2022, 34, 105107. [Google Scholar] [CrossRef]
- Wang, L.; Guo, C.; Su, Y.; Xu, P.; Wu, T. Numerical analysis of a propeller during heave motion in cavitating flow. Appl. Ocean Res. 2017, 66, 131–145. [Google Scholar] [CrossRef]
- Magionesi, F.; Dubbioso, G.; Muscari, R.; Di Mascio, A. Modal analysis of the wake past a marine propeller. J. Fluid Mech. 2018, 855, 469–502. [Google Scholar] [CrossRef]
- Zhou, J.; Sun, P.; Pan, L. Modal Analysis of the Wake Instabilities of a Propeller Operating in Coastal Environments. J. Coast. Res. 2022, 38, 1163–1171. [Google Scholar] [CrossRef]
- Posa, A.; Balaras, E. A numerical investigation of the wake of an axisymmetric body with appendages. J. Fluid Mech. 2016, 792, 470–498. [Google Scholar] [CrossRef]
- Wang, C.; Li, P.; Guo, C.; Wang, L.; Sun, S. Numerical research on the instabilities of CLT propeller wake. Ocean Eng. 2022, 243, 110305. [Google Scholar] [CrossRef]
- Posa, A.; Broglia, R.; Felli, M.; Falchi, M.; Balaras, E. Characterization of the wake of a submarine propeller via large-eddy simulation. Comput. Fluids 2019, 184, 138–152. [Google Scholar] [CrossRef]
- Carrica, P.M.; Wilson, R.V.; Noack, R.W.; Stern, F. Ship motions using single-phase level set with dynamic overset grids. Comput. Fluids 2007, 36, 1415–1433. [Google Scholar] [CrossRef]
- Wang, L.; Guo, C.; Wan, L.; Su, Y. Numerical analysis of propeller during heave motion near a free surface. Mar. Technol. Soc. J. 2017, 51, 40–51. [Google Scholar]
- Wang, L.; Guo, C.; Su, Y.; Wu, T.; Wang, S. Numerical study of the viscous flow field mechanism for a non-geosim model. J. Coast. Res. 2017, 33, 684–698. [Google Scholar]
- Wang, L.; Guo, C.; Su, Y.; Zhang, D. Numerical study of the propeller-induced exciting force under the open freedom condition. J. Harbin Eng. Univ. 2017, 38, 822–828. [Google Scholar]
- Wang, L.; Wu, T.; Gong, J.; Yang, Y. Numerical simulation of the wake instabilities of a propeller. Phys. Fluids 2021, 33, 125125. [Google Scholar] [CrossRef]
- Wang, L.; Wu, T.; Gong, J.; Yang, Y. Numerical analysis of the wake dynamics of a propeller. Phys. Fluids 2021, 33, 095120. [Google Scholar] [CrossRef]
- Wang, L.; Luo, W.; Li, M. Numerical investigation of a propeller operating under different inflow conditions. Phys. Fluids 2022, 34, 105118. [Google Scholar] [CrossRef]
- Wang, L.; Liu, X.; Wu, T. Modal analysis of the propeller wake under the heavy loading condition. Phys. Fluids 2022, 34, 055107. [Google Scholar] [CrossRef]
- Wang, L.; Liu, X.; Wang, N.; Li, M. Propeller wake instabilities under turbulent-inflow conditions. Phys. Fluids 2022, 34, 085108. [Google Scholar] [CrossRef]
- Wang, L.; Liu, X.; Chao, X.; Guo, J.; Liao, J. Modeling of wake features of a propeller using the vorticity confinement method. Phys. Fluids 2023, 35, 075134. [Google Scholar] [CrossRef]
- Wang, L.; Guo, C.; Xu, P.; Su, Y. Analysis of the wake dynamics of a propeller operating before a rudder. Ocean Eng. 2019, 188, 106250. [Google Scholar] [CrossRef]
- Salvatore, F.; Testa, C.; Ianniello, S.; Pereira, F. Theoretical modelling of unsteady cavitation and induced noise. In Proceedings of the CAV 2006 Symposium, Wageningen, The Netherlands, 11–15 September 2006; pp. 1–13. [Google Scholar]
- Gong, J.; Ding, J.; Wang, L. Propeller–duct interaction on the wake dynamics of a ducted propeller. Phys. Fluids 2021, 33, 074102. [Google Scholar] [CrossRef]
- Muscari, R.; Di Mascio, A.; Verzicco, R. Modeling of vortex dynamics in the wake of a marine propeller. Comput. Fluids 2013, 73, 65–79. [Google Scholar] [CrossRef]
- Sun, C.; Wang, L. Modal analysis of propeller wake dynamics under different inflow conditions. Phys. Fluids 2022, 34, 125109. [Google Scholar] [CrossRef]
- Guo, C.Y.; Xu, P.; Wang, C.; Wang, L.Z.; Zhang, C.S. Influence of ice size parameter variation on hydrodynamic performance of podded propulsor. China Ocean Eng. 2020, 34, 30–45. [Google Scholar] [CrossRef]
- Zhou, Y.; Pavesi, G.; Yuan, J.; Fu, Y.; Gao, Q. Effects of duct profile parameters on flow characteristics of pump-jet: A numerical analysis on accelerating and decelerating ducts distinguished by cambers and angles of attack. Ocean Eng. 2023, 281, 114733. [Google Scholar] [CrossRef]
- Felli, M. Underlying mechanisms of propeller wake interaction with a wing. J. Fluid Mech. 2021, 908, A10. [Google Scholar] [CrossRef]
- Felli, M.; Guj, G.; Camussi, R. Effect of the number of blades on propeller wake evolution. Exp. Fluids 2008, 44, 409–418. [Google Scholar] [CrossRef]
- Felli, M.; Di Felice, F.; Guj, G.; Camussi, R. Analysis of the propeller wake evolution by pressure and velocity phase measurements. Exp. Fluids 2006, 41, 441–451. [Google Scholar] [CrossRef]
- Di Mascio, A.; Muscari, R.; Dubbioso, G. On the wake dynamics of a propeller operating in drift. J. Fluid Mech. 2014, 754, 263–307. [Google Scholar] [CrossRef]
- Felli, M.; Falchi, M. Propeller wake evolution mechanisms in oblique flow conditions. J. Fluid Mech. 2018, 845, 520–559. [Google Scholar] [CrossRef]
- Wang, L.; Liu, X.; Wang, N.; Li, M. Modal analysis of propeller wakes under different loading conditions. Phys. Fluids 2022, 34, 065136. [Google Scholar] [CrossRef]
- Heydari, M.; Sadat-Hosseini, H. Analysis of propeller wake field and vortical structures using k − ω SST Method. Ocean Eng. 2020, 204, 107247. [Google Scholar] [CrossRef]
- Wang, L.; Guo, C.; Wang, C.; Xu, P. Modified phase average algorithm for the wake of a propeller. Phys. Fluids 2021, 33, 035146. [Google Scholar] [CrossRef]
- Zhang, W.; Ning, X.; Li, F.; Guo, H.; Sun, S. Vibrations of simplified rudder induced by propeller wake. Phys. Fluids 2021, 33, 083618. [Google Scholar] [CrossRef]
- Posa, A.; Broglia, R.; Balaras, E. The wake structure of a propeller operating upstream of a hydrofoil. J. Fluid Mech. 2020, 904, A12. [Google Scholar] [CrossRef]
- Wang, L.; Guo, C.; Xu, P.; Su, Y. Analysis of the performance of an oscillating propeller in cavitating flow. Ocean Eng. 2018, 164, 23–39. [Google Scholar] [CrossRef]
















| Quantity | Units | Value |
|---|---|---|
| Propeller diameter | mm | 227.27 |
| Number of blades | - | 4 |
| Pitch ratio | - | 1.11 |
| Hub diameter | mm | 45.53 |
| Hub ratio | - | 0.2 |
| Rake (forward) | - | 4°35′ |
| Expanded area ratio | - | 0.689 |
| Designed rotating speed | rps | 25 |
| Designed advance coefficient | - | 0.71 |
| Chord at 0.7R | mm | 86 |
| Condition | f2 | f1 | E | Extr. | UN (%) |
|---|---|---|---|---|---|
| J = 0.38 | 0.4016 | 0.3978 | 0.0038 | 0.3941 | 0.94 |
| J = 0.65 | 0.2726 | 0.2768 | −0.0042 | 0.2810 | 1.49 |
Disclaimer/Publisher’s Note: The statements, opinions and data contained in all publications are solely those of the individual author(s) and contributor(s) and not of MDPI and/or the editor(s). MDPI and/or the editor(s) disclaim responsibility for any injury to people or property resulting from any ideas, methods, instructions or products referred to in the content. |
© 2023 by the authors. Licensee MDPI, Basel, Switzerland. This article is an open access article distributed under the terms and conditions of the Creative Commons Attribution (CC BY) license (https://creativecommons.org/licenses/by/4.0/).
Share and Cite
Yu, D.; Wang, L.; Liu, H.; Cui, M. Influence of Load Conditions on the Propeller Wake Evolution. J. Mar. Sci. Eng. 2023, 11, 1674. https://doi.org/10.3390/jmse11091674
Yu D, Wang L, Liu H, Cui M. Influence of Load Conditions on the Propeller Wake Evolution. Journal of Marine Science and Engineering. 2023; 11(9):1674. https://doi.org/10.3390/jmse11091674
Chicago/Turabian StyleYu, Duo, Liang Wang, Haitian Liu, and Mingchao Cui. 2023. "Influence of Load Conditions on the Propeller Wake Evolution" Journal of Marine Science and Engineering 11, no. 9: 1674. https://doi.org/10.3390/jmse11091674
APA StyleYu, D., Wang, L., Liu, H., & Cui, M. (2023). Influence of Load Conditions on the Propeller Wake Evolution. Journal of Marine Science and Engineering, 11(9), 1674. https://doi.org/10.3390/jmse11091674

