Abstract
Scale properties and energy dissipation in the turbulent energy transfer process play an important role in deeply understanding the features of ocean turbulence. In this paper, a universal multifractal cascade model is applied to investigate scale and intermittency properties of a turbulent flow, and two sets of measured turbulence datasets in horizontal and vertical directions are performed for comprehensive experimental verification. First, an empirical mode decomposition method is utilized to adaptively decompose microstructure shear time series into several intrinsic mode functions. Then, the multifractal spectrum is calculated to extract multifractal features for different time scales. The ocean microstructure field shows an asymmetric structure with a left truncation and a long right tail in different directions. This proves that most energy transfer processes occur on small scales. Finally, the calculated multifractal indexes of all intrinsic mode functions for two datasets show that the intermittency of turbulence decreases with the increase in time scales, which reflects the multifractal intensity and the level of intermittency of turbulence. The multifractal cascade model can successfully build a bridge between intermittency and dissipation in the multiscale energy cascade process.
1. Introduction
The ocean is a vital part of the Earth, and the study of the ocean has always been a world-renowned subject. In particular, the study of energy evolution and dissipation in turbulent flow has been of constant concern in physical oceanography. Earlier studies have demonstrated that a typical property of turbulent flows is the transfer of energy from large to small scales, while energy is dissipated through the action of kinematic molecular viscosity [1]. Specifically, large-scale and small-scale vortexes exist simultaneously in a region. But the large-scale vortexes are unstable, and they end up breaking apart; at the same time, the energies carried in those vortexes are transferred into the small-scale vortexes. Then, the small-scale vortexes break apart, and the energies are transferred into smaller-scale vortexes. This is a process in which similar vortexes are broken and energies are transferred between different scale vortexes. Until the Reynolds number becomes small enough, the smallest vortexes tend toward stability, and the turbulent kinetic energy is converted into the heat energy of the fluids, which is named the energy dissipation and cascade process. Additionally, some literature has reported that this energy cascade process is intermittent and nonstationary [2].
Intermittency can be used to explain the inhomogeneity of the process of energy transfer; this phenomenon can further lead to the inhomogeneity of energy dissipation. We can use the scale dependence of the statistical features of the field fluctuations to measure intermittency [3]. In oceanographic communities, the most famous theory to describe the statistical properties of turbulence was published by Kolmogorov in 1941 [4]. Since 1941, many investigators have proposed various models to describe this phenomenon, such as the log-normal model [5], the log-gamma model [6], the log--stable model [7], and the log-Poisson model [8].
Common methods for investigating turbulence features are scale-dependent, multifractals, structure functions, and the multiplicity of scaling exponents, etc. Xu et al. employed a two-dimensional continuous wavelet transform method on a turbulent channel flow obtained with a direct numerical simulation to explore the scale dependency of turbulence intermittency and subsequently described the intermittent process of turbulent energy dissipation [9]. Zhdankin et al. investigated the temporal characteristics of energy dissipation and intermittency using simulated magnetohydrodynamic (MHD) turbulence data [10]. Vela-Martín’s work presented some evidence of the relationship between the energy cascade and the dynamics of intense events in the dissipative range of turbulence via generalized Holder’s means, further proving the correctness of a series of intermittency models based on the turbulence energy cascade [11]. Foucher and Ravier used a complementary method based on the EMD to discuss turbulence features [12]. Perri et al. investigated phase synchronization, energy cascade, and intermittency in solar-wind turbulence using EMD and a local intermittency measure (LIM) approach [2]. Sorriso-Valvo et al. analyzed high-resolution solar wind by using multifractal analysis and compared different methods of calculating multifractal spectra [3]. To extract as much information as possible from the sea surface temperature (SST) in Scripps Pier, California, Breaker and Carroll examined the distribution of scaling exponents and the intramodal correlation and intermodal correlation of all patterns of SST, using ensemble empirical mode decomposition (EEMD) and multifractal detrended fluctuation analysis (MF-DFA) [13]. Isern-Fontanet and Turiel studied an energy cascade in the northwestern Atlantic Ocean using the multifractal approach and discussed the connection between intermittency and energy dissipation [14].
In this paper, a multifractal cascade model combined with a classical EMD time–frequency decomposition method is proposed to study the turbulent energy dissipation mechanism and demonstrate the scale properties in the turbulent energy transfer process. To validate the effectiveness of the multifractal approach and to further understand a series of physical processes that occurred on different time scales, we simultaneously use two horizontal and vertical turbulence shear datasets measured in the South China Sea (SCS). Meanwhile, the intermittency properties of turbulent flows, energy cascade, and dissipation that occurred on different time scales were verified. It is of great significance for us to capture the properties of the multiscale energy transfer process, and it will greatly enhance our understanding of the nature of energy evolution and the dissipation mechanism in ocean turbulence.
The platforms and two shear datasets measured by different moored systems are discussed in Section 2. Section 3 describes a multifractal analysis method combined with EMD decomposition and the multifractal spectrum that were used to study the scale properties of turbulence. A brief summary of preliminary results is analyzed in Section 4, including the research of turbulence intermittency in various datasets. Concluding statements and future work are provided in Section 5.
2. Data Collection
To comprehensively verify the effectiveness of the method, two turbulent datasets measured in horizontal and vertical directions were utilized to examine turbulence properties. Two datasets were collected at two experimental locations in the South China Sea (SCS) [15,16], and the specific coordinate information of the two datasets is exhibited in Figure 1.
Figure 1.
Experimental locations of two datasets in the South China Sea. The yellow five-pointed star represents the deployment location of the horizontal dataset in February 2014, and the green square represents the deployment location of the vertical turbulent dataset in August 2015.
2.1. The Horizontal MTMI Dataset
The horizontal turbulent shear dataset was collected using a mooring turbulence measuring instrument (MTMI). Figure 2a shows the structure of the whole moored system in the SCS. It can be regarded as composed of three components. Groups of glass floats positioned at the top of the system supplied necessary buoyancy. The central part of the moored system included various sensors capable of collecting diverse data about ocean turbulence. In Figure 2a, the upper and lower CTD systems could capture vital oceanic data, such as water depth, real-time water temperature, and conductivity. The MTMI system was located between the two CTD systems. It was the central component of this moored system. The real structure of this MTMI platform is illustrated in Figure 2b. Two orthogonal shear probes (PNS06) (Figure 2c) were equipped in the MTMI system, which was used for measuring microstructural turbulent velocity fields. Meanwhile, in the MTMI system, an attitude sensor could be used to record the motion behavior of this system, including heading, pitch, roll, as well as three-axis accelerations. There was also an Aanderaa Current Meter (RCM11) used for measuring the water flow state. An acoustic release and anchor block were located in the lower part of the system. The whole horizontal system was deployed in the South China Sea at 117°42.03′ E, 21°09.90′ N (Figure 1). To acquire accurate data, the MTMI platform was placed at a depth of 250 m in the SCS.
Figure 2.
Horizontal moored observation system. (a) The whole moored system in the SCS and the white inverted triangle indicate the water level. (b) The offshore experiments of the MTMI profile developed by the Ocean University of China (OUC). (c) The detailed structure of the shear probe PNS06.
2.2. The Vertical AVRP Dataset
Experimental data were measured with an autonomous vertical reciprocating profiler (AVRP) [17]. Figure 3a shows the structure of the AVRP system. It exhibited a resemblance to the structure of the MTMI system, comprising multiple components. The main components of this system included floating balls, the upper CTD system and lower CTD system, two retainers, the profiler, a Doppler current meter (RCM11), two parallel releases, and an anchor block. In this moored system, the AVRP platform cyclically rose and sank through a mooring cable. Therefore, we used two retainers located at 600 m and 1500 m to control the depth of the AVRP system. The structure of the AVRP profiler is shown in Figure 3b,c. This AVRP platform was structurally symmetrical. And it was equipped with the shear probe, CTD, and ADV. This system could measure a series of data between 600 and 1500 m as related to the SCS, such as shear velocity fluctuations, three orthogonal accelerations, three attitudes of the profiler, water depth, temperature, and conductivity in the vertical direction. The AVRP moored system was deployed in the South China Sea at 118°09.83′ E, 20°55.49′ N (Figure 1). During the offshore experiments, the AVRP profiler could rise and sink repeatedly along the smooth mooring cable between 600 and 1500 m to measure turbulent shear data in the deep sea.
Figure 3.
Vertical moored observation system. (a) The whole AVRP system in the SCS and the white inverted triangle indicate the water level. (b) The offshore experiment of the AVRP profiler developed by the Ocean University of China (OUC). (c) The detailed design of the AVRP instrument.
3. Methodology
3.1. Empirical Mode Decomposition
The empirical mode decomposition method (EMD) as a classical mathematical method was proposed by Huang et al. in 1998 [18]. It is commonly used to decompose a nonstationary and nonlinear time series into a series of intrinsic mode functions (IMFs) and a residual component. The most prominent feature of the EMD method is that it can decompose time series adaptively according to the time scale characteristics of the data, without any pre-set basis functions beforehand. Therefore, this method has been widely applied to obtain the multiscale features of geophysical data in recent years [19,20].
Following Pan et al. [20], turbulent shear velocity fluctuations are decomposed into a finite number of IMF modes and a residual component (Equation (1))
where represents the original signal, and is the number of IMF modes, which is determined by the inherent characteristics of the data. The represents the -th IMF with its own time scale and local frequency. The is a residual component, which is the remaining part of the original signal after all IMFs are removed. The residual part is a monotone function or convex concave function, which is associated with the long-term trend observed in the data.
In more detail, the can be expressed as follows:
where and represent the amplitude and phase of the IMF mode, respectively. According to the definition, all intrinsic mode functions (IMFs) satisfy two requirements: (1) at any point, the number of zero-crossings and extrema in the whole dataset must be equal or differ at most by one; (2) the mean value of the envelope defined by the local minima and the envelope defined by the local maxima is zero [18]. Therefore, each IMF is orthogonal and can be utilized to identify a single aspect of the nonlinear turbulent cascade.
According to Equation (1), turbulent shear velocity fluctuations can be decomposed into a finite number of IMF modes and a residual mode [21], and the decomposition process is as follows:
Step 1: Identify the extreme points of . Use the cubic spline interpolation technique to calculate the upper and lower envelope lines as and and then compute the mean envelope line .
Step 2: A new signal can be obtained from . Evaluate whether qualifies as IMF based on the two requirements above. If not, replace with , and repeat the aforementioned procedures until the two requirements of IMF are fulfilled. If satisfies the two requirements, it is recorded as a new IMF.
Step 3: Remove from , and repeat the above process until no new IMF can be obtained. Now, the remaining signal is denoted as the residual component. So far, the turbulent signal has been decomposed into a series of IMFs and a residual component .
3.2. Multifractal cascade Model
The multifractal theory is a fractal model to exhibit the self-similarity structure of data. The central concept of the theory is “self-similarity”, in which a part of the system is similar to the whole system [22]. Many researchers use multifractal phenomenological models to characterize the energy transfer of eddies at different scales. Nowadays, the effectiveness of multifractal theory in turbulence has been validated [23,24,25]. The multifractal spectrum is a method based on the multifractal theory to describe the fractal structure in a system. It is plotted by calculating the fractal dimension at every point. The fractal dimension represents the local complexity of fractal structures at different scales [26].
There are many methods to calculate the multifractal spectrum, such as Multifractal Detrended Fluctuation Analysis (MF-DFA), the box-counting method, and the structure-function method, etc. Compared with other methods, the intuitive nature of the box-counting method makes it easier to understand. Its simple calculation process also makes calculation faster and results more reliable. Due to its simplicity and dependability, the box-counting method has been broadly applied in many fields [27]. Therefore, the box-counting method was chosen to calculate the multifractal spectrum of turbulence data in this paper.
Figure 4 illustrates the process for calculating the multifractal spectrum. A time series was established to contain data points. First, we needed to use a series of boxes to cover the time series. The linear length of those boxes is called the resolution, which is variable and is equal to or less than the length of the time series. For the -box and the resolution , normalized probabilities could be obtained as follows:
where was the number of points in the -box and the resolution , and was the total number of data points of the time series.
Figure 4.
Flowchart of the multifractal algorithm.
To calculate the multifractal spectrum, a partition function was defined as [3]:
where was a parameter named the moment of order . The value of could be any real number that was used to represent the relative importance of different time scales. was the number of boxes and represented the scaling exponent of order . The scaling exponent characterized the scaling behavior of the moment of order [28]. According to Equation (4), the partition function exhibited a power–law relationship with the resolution , and the scaling exponent was calculated as in Equation (5):
Due to the discrete data points and the limited accuracy of the calculation, we employed the least squares linear fitting method for estimating the scale function .
Finally, the variables and could be derived from the Legendre transform pair, as shown in Equations (6) and (7).
The graph of versus is called the multifractal spectrum. The variable was the local Holder exponent. The range of the local Holder exponent increased with the increase in the multifractal strength of the time series. And the variable provided the fractal dimension of the subset of measure with the local Holder exponent .
In addition, the generalized Hurst exponent and the generalized dimension were also two particularly important parameters to characterize the multifractal structure of time series. The generalized Hurst exponent was utilized to describe the scaling behavior of the moment of order . Because was related to the scaling exponent () [25], the generalized Hurst exponent could be derived with Equation (6):
When , the value of represented multifractal behavior on large scales. Conversely, when , it primarily showed multifractal behavior on small scales.
The generalized dimension was related to the and , as expressed in the following Equation [26]:
Depending on the value of , the had different physical meanings. When , was the Hausdorff Dimension or “box-counting” Dimension. In this situation, displayed the space geometry properties of the data. is called s the Information Dimension, because it was related to the information entropy of the system. And is the Correlation Dimension [29].
According to multifractal theory, a deviation from a strict self-similarity is called intermittency. Therefore, intermittency can be interpreted as the result of the multifractal characteristics of the turbulent cascade [3]. To measure the strength of the multifractal behaviors of turbulent shear data, a concept of the multifractal index is introduced in this paper. By quantifying the strength of multifractal behavior, the multifractal index can reveal the degree of intermittency of the data and the index is defined as follows [3]:
where and represent, respectively, the maximum and minimum values of the local Holder exponent in a multifractal spectrum. The larger the multifractal index, the more intense the multifractal behavior of the data and the greater the strength of intermittency.
4. Results
Turbulence systems have complex structures. To determine whether turbulence has a multifractal structure, the relationship of with was drawn (Figure 5). In data devoid of a fractal structure, no dependence exists between and . However, in the presence of a monofractal structure in data, remains steady regardless of the fluctuation of . Contrarily, in data characterized by a multifractal structure, the value of decreases as increases. We noted that the generalized Hurst exponent decreased monotonically with the increase in in two datasets. This trend shows that turbulence exhibits multifractal characteristics. The rate of change in can be used to qualitatively measure the strength of the multifractal behavior of the data. Therefore, we observed that turbulence systems exhibited stronger multifractal behaviors and more complex structures at smaller scales () than at larger scale fluctuations (). Furthermore, the red solid line and the blue dashed line had a similar structure and change rate, indicating that turbulence has similar multifractal behavior in both horizontal and vertical directions of turbulence.
Figure 5.
The generalized Hurst exponent as a function of the moment of order for the MTMI dataset (red solid line) and the AVRP dataset (blue dashed line).
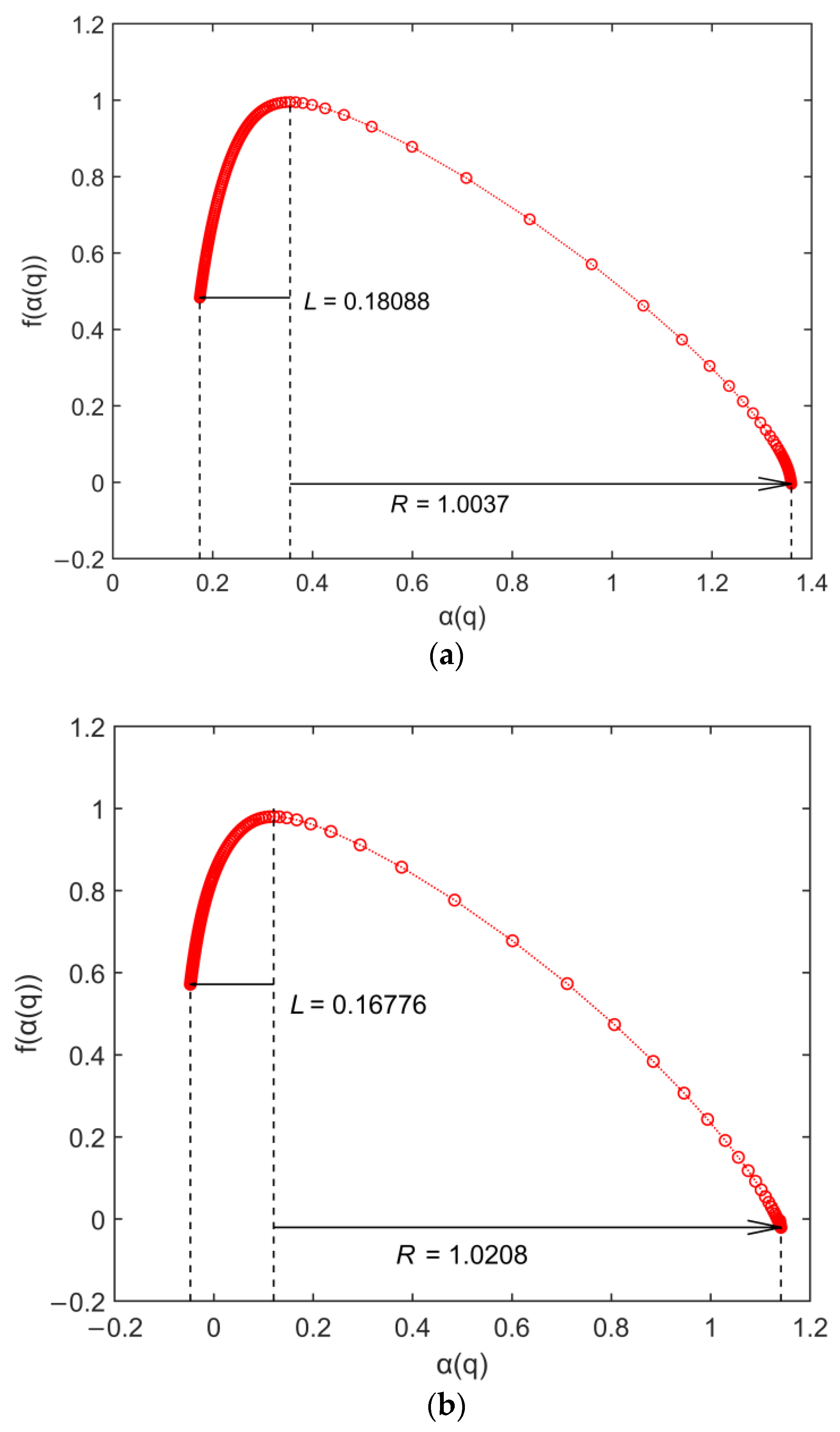
To analyze the multifractal structure of turbulence in real turbulence data, multifractal spectra (Figure 6) are drawn based on the multifractal method. The multifractal spectrum of the original time series shows the relation between and . We noted that the L-index () was considerably smaller than the R-index () in Figure 6a. This implies that the multifractal spectrum of turbulent shear data exhibits an asymmetric structure characterized by a left truncation and a long right tail. This asymmetric structure suggests a possible non-uniform nature of energy transfer within turbulence. The left truncation indicates that the structure of turbulence may be more complex at small scales. This means that most of the energy transfer was concentrated at small scales and was relatively sparse at large scales. At small scales, energy flowed faster and more strongly, resulting in greater energy dissipation. This was because the turbulent kinetic energy was rapidly converted into thermal energy at small scales; this process was achieved through frictional and viscous dissipation. Ultimately, this phenomenon manifested as stronger intermittency at small scales. The structural similarity observed between Figure 6a,b in different datasets suggests the universality of these properties in free field systems.
Figure 6.
The multifractal spectrum of the turbulent shear data. The L-index and R-index represent the distance from the central point to the two endpoints. (a) The multifractal spectrum of the MTMI dataset. (b) The multifractal spectrum of the AVRP dataset.
Then, to further investigate the details of the energy transfer process in turbulence at different time scales, the EMD method was utilized to decompose the turbulent shear velocity fluctuations (Figure 7). To display enough details, Figure 7a,b only show the decomposition results of the first 60 s of the two datasets. The turbulent shear velocity fluctuations were decomposed into 10 IMF modes and a residual. We noted that a variety of modes had different frequency components and time scales. The low-level IMF modal components had high local frequencies and small time scales, while the high-level IMF modal components included low local frequencies and large time scales. From these IMFs, it was possible to observe the local characteristics and trends of the data at different time scales.

Figure 7.
The empirical mode decomposition of real shear data: displaying the original shear data in the first panel, the 10 IMFs from high to low frequency in other panels. (a) The results of the MTMI dataset. (b) The results of the AVRP dataset.
Next, the multifractal spectra of all IMFs were plotted to show the diverse range of scaling behavior and the complex structure in the turbulence system. The results of the multifractal spectra of some IMFs in the MTMI dataset are shown in Figure 8. The multifractal spectra of IMF1, IMF4, IMF7, and IMF10 displayed a typical structure with a left truncation and a long right tail. In fact, all IMFs from the MTMI dataset showed a similar structure. This phenomenon implies that turbulence systems demonstrated similar properties on different time scales, which may be related to the self-similarity of turbulence. However, we noted that there were significant variations in the width of the multifractal spectrum of different IMFs. IMF1 (Figure 8a), which represents the minimum time scale, had the largest width, about 1.5. Conversely, IMF10 (Figure 8d) exhibited a width of merely 0.95. And other IMFs also had different widths. This suggests that turbulence systems demonstrated different multifractal strengths at different time scales. This phenomenon demonstrates the existence of a clear hierarchical structure within the turbulence system and provides experimental evidence for the hierarchical structure model of turbulence.
Figure 8.
The multifractal spectra of IMFs for the MTMI dataset. (a) The multifractal spectrum of IMF1. (b) The multifractal spectrum of IMF4. (c) The multifractal spectrum of IMF7. (d) The multifractal spectrum of IMF10.
We applied multifractal analysis to the AVRP dataset (Figure 9). Like the horizontal direction, turbulence in the vertical direction also demonstrated a similar multifractal structure and different multifractal strengths at different time scales. This means that in most cases, turbulence exhibited similar statistical characteristics in different directions.
Figure 9.
The multifractal spectra of IMFs for the AVRP dataset. (a) The multifractal spectrum of IMF1. (b) The multifractal spectrum of IMF4. (c) The multifractal spectrum of IMF7. (d) The multifractal spectrum of IMF10.
As discussed in Section 3.2, we introduced the concept of the “multifractal index” to more precisely quantify the intermittency of turbulence data. The multifractal index for each IMF was calculated using the multifractal spectrum, based on Equation (10). The multifractal indexes of the two datasets are shown in Table 1. As the time scale increased, the multifractal indexes of all IMFs showed a consistent descending trend in both horizontal and vertical directions of turbulence. In Figure 10, the descending trend of the multifractal index is more clearly demonstrated using a line chart; this trend continues until the last IMF. This finding provides additional evidence that the turbulence system exhibited more pronounced multifractal behavior at small scales. According to the theory of turbulence, the intermittency of turbulence can be explained by the multifractal characteristics of turbulent energy cascades. Thus, the strength of multifractal behavior reflects the strength of turbulence intermittency. Based on this multifractal cascade model, we observed that turbulence intermittency was connected to the time scale. Specifically, turbulence intermittency decreased consistently as the time scale increased. This suggests that energy transfer in turbulence is more frequent at small scales. This is consistent with the qualitative analysis previously performed on the original turbulent shear data measured.
Table 1.
The multifractal indexes of all IMFs for the MTMI dataset and the AVRP dataset.
Figure 10.
The multifractal indexes of all IMFs for the MTMI dataset (black solid line) and the AVRP dataset (blue solid line).
5. Conclusions
In this paper, we examined the application of an integrated multifractal analysis model based on an adaptive EMD method and multifractal spectrum to reveal the connection between intermittency and energy dissipation in turbulent flows. First, a multifractal analysis was performed on original turbulent shear data, and results revealed that ocean turbulent flows exhibited typical multifractal characteristics on both horizontal and vertical datasets. Multifractal spectra were characterized by a left truncation and a long right tail. The shape of the turbulence structure exhibited heightened complexity at small scales, emphasizing the concentration of the energy transfer process in this range. Second, the turbulent shear data of two datasets was decomposed by the EMD method, and the multifractal indexes of all the decomposed IMF components were synchronously calculated to characterize the intensity of multifractality and reflect the degree of intermittency in the turbulence system. It should be noted that two measured datasets that provided comprehensive details regarding horizontal and vertical directions of turbulence were utilized to verify the effectiveness of the proposed method that could successfully capture the multiple characteristic features of energy transfer in turbulence. Preliminary results show that the multifractal cascade method is an effective qualitative analysis approach to accurately evaluate the energy cascade and turbulent mixing in ocean dynamic systems, and it is of great importance to deepen our understanding of the turbulent energy exchange process. In future work, we will try to find a synchronous qualitative and quantitative analysis method to solve the problem of accurate quantitative analysis of turbulent energy cascades, in order to further enhance our understanding of the nonlinear patterns and behaviors of ocean turbulent systems.
Author Contributions
Methodology, X.L. (Xiuyan Liu) and D.S.; writing—original draft preparation X.L. (Xiuyan Liu) and Y.Z.; writing—review and editing, Y.Z. and X.L. (Xinyu Li); formal analysis, Y.Z.; resources, H.Y.; funding acquisition, X.L. (Xiuyan Liu); supervision, D.S. and H.Y. All authors have read and agreed to the published version of the manuscript.
Funding
This research work is supported by the National Natural Science Foundation of China, grant number 62001262 and the Natural Science Foundation of Shandong Province, grant number ZR2020QF008.
Institutional Review Board Statement
Not applicable.
Informed Consent Statement
Not applicable.
Data Availability Statement
Not applicable.
Acknowledgments
We especially thank Dalei Song and Hua Yang for their guidance. Also, we should give thanks to the Ocean University of China for the platform of the vessel “Dong Fang Hong 2”, and thanks are extended to the entire research and development teams for their help with this experiment. We also deeply thank the reviewers and the editor for their constructive criticism of an early version of this manuscript.
Conflicts of Interest
The authors declare no conflict of interest, and the manuscript is approved by all authors for publication.
References
- McKeown, R.; Ostilla-Mónico, R.; Pumir, A.; Brenner, M.P.; Rubinstein, S.M. Turbulence generation through an iterative cascade of the elliptical instability. Sci. Adv. 2020, 6, eaaz2717. [Google Scholar] [CrossRef] [PubMed]
- Perri, S.; Carbone, V.; Vecchio, A.; Bruno, R.; Korth, H.; Zurbuchen, T.; Sorriso-Valvo, L. Phase-synchronization, energy cascade, and intermittency in solar-wind turbulence. Phys. Rev. Lett. 2012, 109, 245004. [Google Scholar] [CrossRef]
- Sorriso-Valvo, L.; Carbone, F.; Leonardis, E.; Chen, C.H.; Šafránková, J.; Němeček, Z. Multifractal analysis of high resolution solar wind proton density measurements. Adv. Space Res. 2017, 59, 1642–1651. [Google Scholar] [CrossRef]
- Benzi, R.; Biferale, L. Fully developed turbulence and the multifractal conjecture. J. Stat. Phys. 2009, 135, 977–990. [Google Scholar] [CrossRef][Green Version]
- Kolmogorov, A.N. A refinement of previous hypotheses concerning the local structure of turbulence in a viscous incompressible fluid at high Reynolds number. J. Fluid Mech. 1962, 13, 82–85. [Google Scholar] [CrossRef]
- Saito, Y. Log-gamma distribution model of intermittency in turbulence. J. Phys. Soc. Jpn. 1992, 61, 403–406. [Google Scholar] [CrossRef]
- Schmitt, F.; La Vallee, D.; Schertzer, D.; Lovejoy, S. Empirical determination of universal multifractal exponents in turbulent velocity fields. Phys. Rev. Lett. 1992, 68, 305. [Google Scholar] [CrossRef]
- She, Z.-S.; Leveque, E. Universal scaling laws in fully developed turbulence. Phys. Rev. Lett. 1994, 72, 336. [Google Scholar] [CrossRef]
- Xu, C.-X.; Li, L.; Cui, G.-X.; Zhang, Z.-S. Multi-scale analysis of near-wall turbulence intermittency. J. Turbul. 2006, 7, N25. [Google Scholar] [CrossRef]
- Zhdankin, V.; Uzdensky, D.A.; Boldyrev, S. Temporal intermittency of energy dissipation in magnetohydrodynamic turbulence. Phys. Rev. Lett. 2015, 114, 065002. [Google Scholar] [CrossRef]
- Vela-Martín, A. The energy cascade as the origin of intense events in small-scale turbulence. J. Fluid Mech. 2022, 937, A13. [Google Scholar] [CrossRef]
- Foucher, F.; Ravier, P. Determination of turbulence properties by using empirical mode decomposition on periodic and random perturbed flows. Exp. Fluids 2010, 49, 379–390. [Google Scholar] [CrossRef]
- Breaker, L.C.; Carroll, D. A Closer Look at Power-Law Scaling Applied to Sea Surface Temperature from Scripps Pier Using Empirical Mode Decomposition. J. Atmos. Ocean. Technol. 2021, 38, 777–787. [Google Scholar] [CrossRef]
- Isern-Fontanet, J.; Turiel, A. On the connection between intermittency and dissipation in ocean turbulence: A multifractal approach. J. Phys. Oceanogr. 2021, 51, 2639–2653. [Google Scholar] [CrossRef]
- Luan, X.; Liu, X.; Yang, H.; Wang, S.; Hou, G.; Song, D. Characteristics of microstructure turbulence measurements with a moored instrument in the South China Sea. Mar. Technol. Soc. J. 2016, 50, 54–62. [Google Scholar] [CrossRef]
- Liu, X.; Luan, X.; Daniel Deng, Z.; Song, D.; Zang, S.; Yang, H.; Xin, J.; Chen, X. Autonomous ocean turbulence measurements from a moored upwardly rising profiler based on a buoyancy-driven mechanism. Mar. Technol. Soc. J. 2017, 51, 12–22. [Google Scholar] [CrossRef]
- Liu, X.; Song, D.; Yang, H.; Wang, X.; Nie, Y. An Integrated Spatio-Temporal Features Analysis Approach for Ocean Turbulence Using an Autonomous Vertical Profiler. Appl. Sci. 2021, 11, 9455. [Google Scholar] [CrossRef]
- Huang, N.E.; Shen, Z.; Long, S.R.; Wu, M.C.; Shih, H.H.; Zheng, Q.; Yen, N.-C.; Tung, C.C.; Liu, H.H. The empirical mode decomposition and the Hilbert spectrum for nonlinear and non-stationary time series analysis. Proc. R. Soc. London. Ser. A Math. Phys. Eng. Sci. 1998, 454, 903–995. [Google Scholar] [CrossRef]
- Ismail, D.K.B.; Lazure, P.; Puillat, I. Advanced spectral analysis and cross correlation based on the empirical mode decomposition: Application to the environmental time series. IEEE Geosci. Remote Sens. Lett. 2015, 12, 1968–1972. [Google Scholar] [CrossRef]
- Pan, H.; Guo, Z.; Wang, Y.; Lv, X. Application of the EMD method to river tides. J. Atmos. Ocean. Technol. 2018, 35, 809–819. [Google Scholar] [CrossRef]
- Chen, W.; Ma, X.; Ma, Q.; Wen, J. Denoising method of the Φ-OTDR system based on EMD-PCC. IEEE Sens. J. 2020, 21, 12113–12118. [Google Scholar] [CrossRef]
- Mandelbrot, B.B.; Mandelbrot, B.B. The Fractal Geometry of Nature; WH Freeman: New York, NY, USA, 1982; Volume 1. [Google Scholar]
- Lozovatsky, I.; Roget, E.; Planella, J.; Fernando, H.J.S.; Liu, Z. Intermittency of near-bottom turbulence in tidal flow on a shallow shelf. J. Geophys. Res. Ocean. 2010, 115. [Google Scholar] [CrossRef]
- Skákala, J.; Smyth, T.J. Complex coastal oceanographic fields can be described by universal multifractals. J. Geophys. Res. Ocean. 2015, 120, 6253–6265. [Google Scholar] [CrossRef]
- Cabrera-Brito, L.; Rodriguez, G.; García-Weil, L.; Pacheco, M.; Perez, E.; Waniek, J.J. Fractal analysis of deep ocean current speed time series. J. Atmos. Ocean. Technol. 2017, 34, 817–827. [Google Scholar] [CrossRef]
- De Souza, J.; Rostirolla, S.P. A fast MATLAB program to estimate the multifractal spectrum of multidimensional data: Application to fractures. Comput. Geosci. 2011, 37, 241–249. [Google Scholar] [CrossRef]
- So, G.-B.; So, H.-R.; Jin, G.-G. Enhancement of the box-counting algorithm for fractal dimension estimation. Pattern Recognit. Lett. 2017, 98, 53–58. [Google Scholar] [CrossRef]
- Salat, H.; Murcio, R.; Arcaute, E. Multifractal methodology. Phys. A Stat. Mech. Its Appl. 2017, 473, 467–487. [Google Scholar] [CrossRef]
- Halsey, T.C.; Jensen, M.H.; Kadanoff, L.P.; Procaccia, I.; Shraiman, B.I. Fractal measures and their singularities: The characterization of strange sets. Phys. Rev. A 1986, 33, 1141. [Google Scholar] [CrossRef]
Disclaimer/Publisher’s Note: The statements, opinions and data contained in all publications are solely those of the individual author(s) and contributor(s) and not of MDPI and/or the editor(s). MDPI and/or the editor(s) disclaim responsibility for any injury to people or property resulting from any ideas, methods, instructions or products referred to in the content. |
© 2023 by the authors. Licensee MDPI, Basel, Switzerland. This article is an open access article distributed under the terms and conditions of the Creative Commons Attribution (CC BY) license (https://creativecommons.org/licenses/by/4.0/).










