Experimental Study on Adaptive Backstepping Synchronous following Control and Thrust Allocation for a Dynamic Positioning Vessel
Abstract
1. Introduction
2. Mathematical Model and Methods
2.1. Virtual Leader–Follower Strategy
2.2. Mathematical Model
2.3. Controller Design
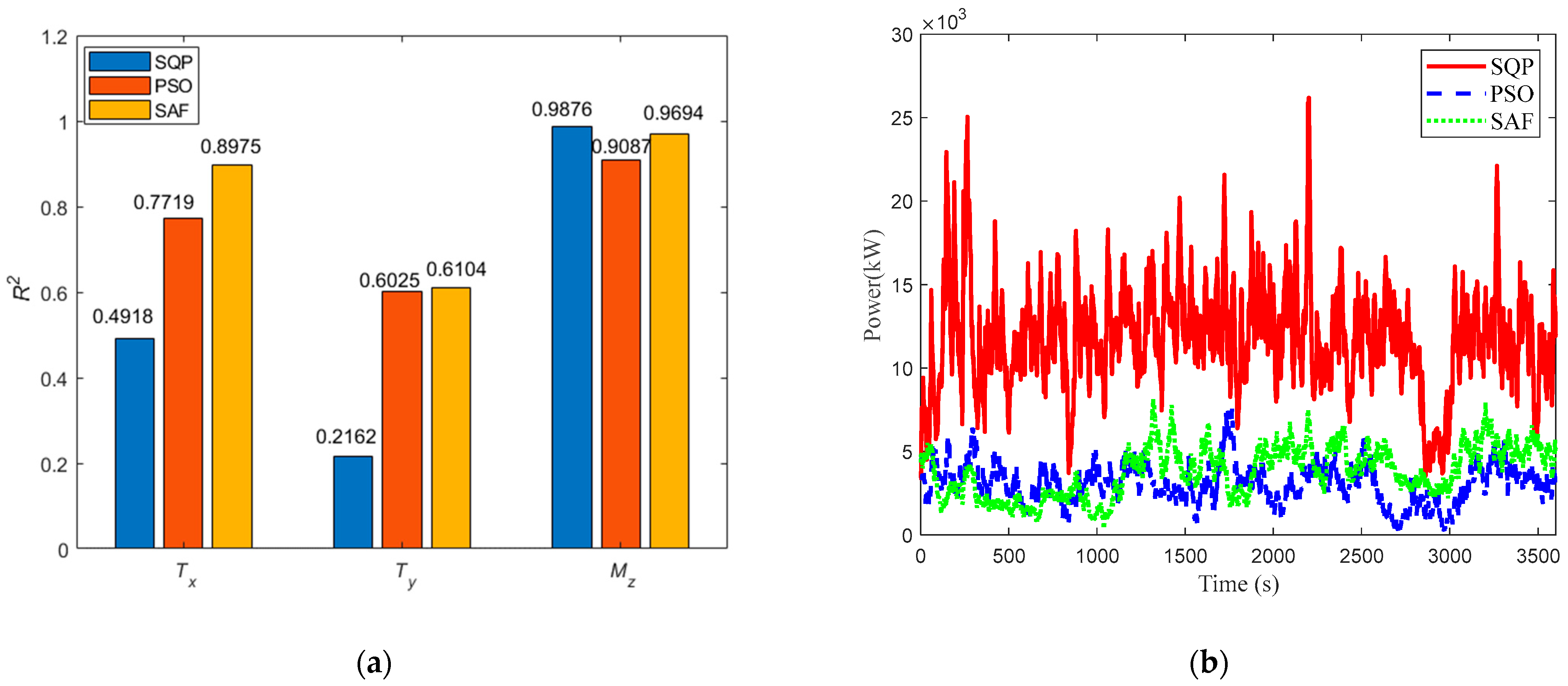
2.4. Thrust Allocation
| Algorithm 1 SAF algorithm | 
| Inputs: Maximum number of iterations Nmax; The population number Npop; The cost functions Initial boundary limits Lb and Ub; the dimension D, which is twice the number of thrusters. Initial x = Lb + (Ub − Lb) × rand(D,1) | 
| Initialize parameters α0, β0, γ | 
| Initialize firefly population xi (i = 1, 2, …, Npop), number of fireflies. | 
| Calculate the f(x), optimal solution xGbest is determined for initialize firefly population | 
| While (Niteration << Nmax) | 
| for i = 1: Npop | 
| calculate the distance | 
| update the position xi by Equations (25)–(27) | 
| boundary treatment xi ∈ [xi,Lb, xi,Ub] xi,Lb, xi,Ub are the upper and lower bounds | 
| end | 
| obtain a new | 
| end while | 
| Outputs: the optimal solution xGbest(t) | 
3. Test Overview
3.1. Test Objects
3.2. Simulation of the Flexible Link System with Multiple Floating Bodies
3.2.1. Simulation of the Mooring System of the FPSO Unit
3.2.2. Simulation of the Mooring System of the Tanker
3.3. Test Environment Conditions and Contents
3.4. Test Setup
4. Experimental Results and Analysis
4.1. Simulation of the Motion Characteristics of the FPSO Unit
4.2. Analysis of the Capability of the CTV to Synchronously follow the FPSO Unit
4.3. Analyzing the Motion of the Tanker When Towed by the CTV
5. Conclusions
Author Contributions
Funding
Institutional Review Board Statement
Informed Consent Statement
Data Availability Statement
Acknowledgments
Conflicts of Interest
Nomenclature
| Abbreviation | Full Name | 
| CSSRC | China Ship Scientific Research Center | 
| DP | Dynamic positioning | 
| CTV | Cargo transfer vessel | 
| FA | firefly algorithm | 
| FPSO | floating production storage and offloading | 
| PSO | particle swarm optimization | 
| R2 | R-squared | 
| SQP | Sequential Quadratic Programming | 
| SAF | self-adaptive firefly | 
| USV | unmanned surface vehicles | 
| Symbol | Description | 
| DL | linear damping matrix | 
| H1/3 | significant wave height | 
| Iz | the moment of inertia | 
| M | the mass of the vessel | 
| added moment of inertia | |
| Nr | hydrodynamic derivative | 
| Tp | spectral peak period | 
| added masse in x direction | |
| added masse in y direction | |
| added masses in yaw direction | |
| Xu | hydrodynamic derivative in x direction | 
| Yv | hydrodynamic derivative in y direction | 
| Nr | hydrodynamic derivative in yaw direction | 
| Nmax | the maximum number of generations | 
| Npop | the population number | 
| α0 | the step size factor | 
| β0 | attractiveness | 
| γ | light absorption coefficient | 
Appendix A
References
- Tan, G.; Zhuang, J.; Zou, J.; Wan, L. Coordination control for multiple unmanned surface vehicles using hybrid behavior-based method. Ocean Eng. 2021, 232, 109147. [Google Scholar] [CrossRef]
- Yan, X.; Jiang, D.; Miao, R.; Li, Y. Formation Control and Obstacle Avoidance Algorithm of a Multi-USV System Based on Virtual Structure and Artificial Potential Field. J. Mar. Sci. Eng. 2021, 9, 161. [Google Scholar] [CrossRef]
- Wu, T.; Xue, K.; Wang, P. Leader-follower formation control of USVs using APF-based adaptive fuzzy logic nonsingular terminal sliding mode control method. J. Mar. Sci. Technol. 2022, 36, 2007–2018. [Google Scholar] [CrossRef]
- Wang, N.; Li, H. Leader-follower formation control of surface vehicles: A fixed-time control approach. ISA Trans. 2022, 124, 356–364. [Google Scholar] [CrossRef]
- Shojaei, K. Leader–follower formation control of underactuated autonomous marine surface vehicles with limited torque. Ocean Eng. 2015, 105, 196–205. [Google Scholar] [CrossRef]
- Cui, R.; Sam, G.S.; Voon, E.H.B.; Sang, C.Y. Leader–follower formation control of underactuated autonomous underwater vehicles. Ocean Eng. 2010, 37, 1491–1502. [Google Scholar] [CrossRef]
- Bouteraa, Y.; Alattas, K.A.; Mobayen, S.; Golestani, M.; Ibrahim, A.; Tariq, U. Disturbance Observer-Based Tracking Controller for Uncertain Marine Surface Vessel. Actuators 2022, 11, 128. [Google Scholar] [CrossRef]
- Witkowska, A.; Śmierzchalski, R. Designing a ship course controller by applying the adaptive backstepping method. Int. J. Ap. Mat. Com-Pol. 2012, 22, 985–997. [Google Scholar] [CrossRef]
- Sun, Z.; Zhang, G.; Lu, Y.; Zhang, W.D. Leader-follower formation control of underactuated surface vehicles based on sliding mode control and parameter estimation. ISA Trans. 2018, 72, 15–24. [Google Scholar] [CrossRef]
- Sun, Z.; Sun, H.; Li, P.; Zou, J. Formation Control of Multiple Underactuated Surface Vessels with a Disturbance Observer. J. Mar. Sci. Eng. 2022, 10, 1016. [Google Scholar] [CrossRef]
- Er, M.J.; Li, Z. Formation Control of Unmanned Surface Vehicles Using Fixed-Time Non-Singular Terminal Sliding Mode Strategy. J. Mar. Sci. Eng. 2022, 10, 1308. [Google Scholar] [CrossRef]
- Sørensen, A.J. A survey of dynamic positioning control systems. Ann. Rev. Control 2011, 35, 123–136. [Google Scholar] [CrossRef]
- Song, W.; Li, Y.; Tong, S. Fuzzy Finite-Time H∞ Hybrid-Triggered Dynamic Positioning Control of Nonlinear Unmanned Marine Vehicles Under Cyber-Attacks. IEEE. Trans. Intell. Veh. 2023, 99, 1–11. [Google Scholar] [CrossRef]
- Chen, H.; Li, J.; Gao, N.; Han, J.; Aït-Ahmed, N.; Benbouzid, M. Adaptive backstepping fast terminal sliding mode control of dynamic positioning ships with uncertainty and unknown disturbances. Ocean Eng. 2023, 281, 114925. [Google Scholar] [CrossRef]
- Zhang, Y.; Liu, C.; Zhang, N.; Ye, Q.; Su, W. Finite-Time Controller Design for the Dynamic Positioning of Ships Considering Disturbances and Actuator Constraints. J. Mar. Sci. Eng. 2022, 10, 1034. [Google Scholar] [CrossRef]
- Alagili, O.; Khan, M.A.I.; Ahmed, S.; Imtiaz, S.; Zaman, H.; Islam, M. An energy-efficient dynamic positioning controller for high sea conditions. Appl. Ocean Res. 2022, 129, 103331. [Google Scholar] [CrossRef]
- Liu, C.; Sun, T.; Hu, Q. Synchronization Control of Dynamic Positioning Ships Using Model Predictive Control. J. Mar. Sci. Eng. 2021, 9, 1239. [Google Scholar] [CrossRef]
- Shi, Q.; Hu, C.; Li, X.; Guo, X.; Yang, J. Finite-time adaptive anti-disturbance constrained control design for dynamic positioning of marine vessels with simulation and model-scale tests. Ocean Eng. 2023, 277, 114117. [Google Scholar] [CrossRef]
- Fujii, S.; Kato, T.; Kawamura, Y.; Tahara, J.; Baba, S.; Sanada, Y. Invention of automatic movement and dynamic positioning control method of unmanned surface vehicle for core sampling. Artif. Life Robot. 2021, 26, 503–512. [Google Scholar] [CrossRef]
- Ianagui, A.S.S.; De Mello, P.C.; Tannuri, E.A. Robust Output-Feedback Control in a Dynamic Positioning System via High Order Sliding Modes: Theoretical Framework and Experimental Evaluation. IEEE Access 2020, 8, 91701–91724. [Google Scholar] [CrossRef]
- Kyrkjebo, E.; Pettersen, K.Y. A virtual vehicle approach to output synchronization control. In Proceedings of the 45th IEEE Conference on Decision and Control, San Diego, CA, USA, 3–15 December 2006. [Google Scholar]
- Miller, A. Interaction Forces Between Two Ships During Underway Replenishment. J. Navig. 2016, 69, 1197–1214. [Google Scholar] [CrossRef]
- He, S.; Wang, M.; Dai, S.-L.; Luo, F. Leader–Follower Formation Control of USVs with Prescribed Performance and Collision Avoidance. IEEE Trans. Ind. Inform. 2019, 15, 572–581. [Google Scholar] [CrossRef]
- Guttorm, T. Nonlinear Control and Observer Design for Dynamic Positioning Using Contraction Theory. Master’s Thesis, Norwegian University of Science and Technology, Trondheim, Norway, 2004. [Google Scholar]
- Zhang, Y.F.; Liu, C.D. Contraction based adaptive backstepping control of dynamic positioning vessels. Shipbuild. China 2020, 61, 85–94. [Google Scholar]
- Alamir, M. Contraction-based nonlinear model predictive control formulation without stability related terminal constraints. Automatica 2017, 75, 288–292. [Google Scholar] [CrossRef]
- Tomera, M.; Podgórski, K. Control of Dynamic Positioning System with Disturbance Observer for Autonomous Marine Surface Vessels. Sensors 2021, 21, 6723. [Google Scholar] [CrossRef] [PubMed]
- Johansen, T.A.; Fossen, T.I. Control allocation—A survey. Automatica 2013, 45, 1087–1103. [Google Scholar] [CrossRef]
- Lindegaard, K.P.; Fossen, T.I. Fuel-efficient rudder and propeller control allocation for marine craft: Experiments with a model ship. IEEE. Trans. Contr. Syst. Technol. 2003, 11, 850–862. [Google Scholar] [CrossRef]
- Ruth, E. Propulsion control and thrust allocation on marine vessels. Ph.D. Thesis, Norwegian University of Science and Technology, Trondheim, Norway, 2008. [Google Scholar]
- Li, X.; Yang, L. Study of constrained nonlinear thrust allocation in ship application based on optimization and SOM. Ocean Eng. 2019, 191, 106491. [Google Scholar] [CrossRef]
- Artyszuk, J.; Zalewski, P. Energy Savings by Optimization of Thrusters Allocation during Complex Ship Manoeuvres. Energies 2021, 14, 4959. [Google Scholar] [CrossRef]
- Zhang, L.H.; Peng, X.Y.; Wei, N.X.; Liu, Z.F.; Liu, C.D.; Wang, F. A thrust allocation method for DP vessels equipped with rudders. Ocean Eng. 2023, 285, 115342. [Google Scholar] [CrossRef]
- Xu, S.; Wang, X.; Wang, L.; Li, B. A Dynamic Forbidden Sector Skipping Strategy in Thrust Allocation for Marine Vessels. Int. J. Offshore Polar Eng. 2016, 26, 175–182. [Google Scholar] [CrossRef]
- Kalikatzarakis, M.; Coraddu, A.; Oneto, L.; Anguita, D. Optimizing Fuel Consumption in Thrust Allocation for Marine Dynamic Positioning Systems. IEEE. Trans. Autom. Sci. Eng. 2022, 19, 122–142. [Google Scholar] [CrossRef]
- Arditti, F.; Souza, F.L.; Martins, T.C.; Tannuri, E.A. Thrust allocation algorithm with efficiency function dependent on the azimuth angle of the actuators. Ocean Eng. 2015, 105, 206–216. [Google Scholar] [CrossRef]
- Tang, Z.; He, H.; Wang, L.; Wang, X. An optimal thrust allocation algorithm with bivariate thrust efficiency function considering hydrodynamic interactions. J. Mar. Sci. Technol. 2022, 27, 52–66. [Google Scholar] [CrossRef]
- Gao, D.; Wang, X.; Wang, T.; Wang, Y.; Xu, X. Optimal Thrust Allocation Strategy of Electric Propulsion Ship Based on Improved Non-Dominated Sorting Genetic Algorithm II. IEEE Access 2019, 7, 135247–135255. [Google Scholar] [CrossRef]
- Hou, M.; Yu, M.; Jiao, L. Research on Ship Thrust Distribution Based on Adaptive Particle Swarm Bee Colony Hybrid Algorithm. J. Phys. Conf. Ser. 2023, 2477, 012088. [Google Scholar] [CrossRef]
- Yang, X.S. Nature-Inspired Metaheuristic Algorithms, 2nd ed.; Luniver Press: Frome, UK, 2010; pp. 81–89. [Google Scholar]
- Liu, J.; Mao, Y.; Liu, X.; Li, Y. A dynamic adaptive firefly algorithm with globally orientation. Math. Comput. Simul. 2020, 174, 76–101. [Google Scholar] [CrossRef]
- Sharma, B.B.; Kar, I.N. Contraction based adaptive control of a class of nonlinear systems. In Proceedings of the American Control Conference, St Louis, MO, USA, 10–12 June 2009. [Google Scholar]
- Mohamed, M.; Su, R. Contraction Based Tracking Control of Autonomous Underwater Vehicle. IFAC-Pap. OnLine 2017, 50, 2665–2670. [Google Scholar] [CrossRef]

















| Parameter | Symbol | Unit | FPSO Model | Tanker | CTV | |
|---|---|---|---|---|---|---|
| Full-Scale | Model | |||||
| Length Overall | LOA | m | 4.1590 | 6.8158 | 89.00 | 4.0455 | 
| Breadth | B | m | 0.6820 | 1.1461 | 20.00 | 0.9091 | 
| Depth | D | m | 0.3320 | 0.5394 | 10.50 | 0.4773 | 
| Displacement | △ | t | 0.2270 | 1.3511 | 8030 | 0.7357 | 
| Mean draft | T | m | 0.1310 | 0.2994 | 6.50 | 0.2955 | 
| Parameter | Unit | T1&T2 | T3&T4 | T5 | |||
|---|---|---|---|---|---|---|---|
| Full-Scale | Model | Full-Scale | Model | Full-Scale | Model | ||
| Thrust | kN | 745.56 | 0.0700 | 345.312 | 0.0324 | 107.91 | 0.0101 | 
| Diameter | m | 3.900 | 0.1636 | 2.600 | 0.1182 | 1.700 | 0.0773 | 
| Thrust from 0 to Tmax | kN/s | 33.0 | 0.1454 | 23.0 | 0.0101 | 10.80 | 0.0048 | 
| Azimuth angle from 0 deg to 180 deg | deg/s | 12 | 56.28 | 12 | 56.28 | / | / | 
| Test No. | Wave Heading (°) | H1/3 | Tp | γ | ||
|---|---|---|---|---|---|---|
| Full-Scale (m) | Model (mm) | Full-Scale (s) | Model (s) | |||
| F01 | 180 | 2.00 | 90.91 | 9.21 | 1.964 | 2 | 
| F02 | 135 | |||||
| Test No. | Wave Heading (°) | Item | FPSO (CTV with Mooring) | FPSO (CTV with DP System) | ||||
|---|---|---|---|---|---|---|---|---|
| Surge (m) | Sway (m) | Yaw (°) | Surge (m) | Sway (m) | Yaw (°) | |||
| F01 | 180 | Max | 0.815 | 0.342 | 0.05 | 2.442 | 0.528 | 1.863 | 
| Min | −1.145 | −0.798 | −0.206 | −1.254 | −0.418 | −1.147 | ||
| Mean | −0.008 | 0.002 | −0.069 | 0.523 | 0.065 | 0.361 | ||
| SD | 0.543 | 0.072 | 0.035 | 0.710 | 0.155 | 0.386 | ||
| F02 | 135 | Max | 2.529 | −2.352 | 0.783 | −2.064 | −2.184 | 2.434 | 
| Min | −4.983 | −4.314 | 1.459 | −6.533 | −5.982 | −2.451 | ||
| Mean | −1.481 | −3.238 | 0.035 | −4.268 | −4.025 | −0.133 | ||
| SD | 1.129 | 0.303 | 0.268 | 0.780 | 0.623 | 0.700 | ||
| Test No. | Wave Heading | Motion | Unit | Mean | Min | Max | Error | 
|---|---|---|---|---|---|---|---|
| F01 | 180° | Yaw | deg | −0.55 | −2.63 | 2.15 | 1.65 | 
| Surge | m | −1.52 | −3.23 | 0.29 | / | ||
| Sway | m | 0.89 | −3.28 | 4.86 | / | ||
| F02 | 135° | Yaw | deg | 1.28 | −5.89 | 1.04 | 2.45 | 
| Surge | m | −3.26 | −14.70 | 7.50 | / | ||
| Sway | m | −0.72 | −13.44 | 8.68 | / | 
| Wave Heading | Control Allocation | Power (kW) | |||
|---|---|---|---|---|---|
| Max | Mean | SD | 95% Confidence Interval on Mean | ||
| 180° | PSO | 5850 | 2557 | 989 | [2526, 2588] | 
| SAF | 4802 | 1193 | 734 | [1170, 1216] | |
| 135° | PSO | 7541 | 3526 | 1155 | [3490, 3562] | 
| SAF | 8184 | 3801 | 1489 | [3755, 3847] | |
| Power Utilization | Thrust Allocation | Occurrence (%) | ||||
|---|---|---|---|---|---|---|
| No. 1 | No. 2 | No. 3 | No. 4 | No. 5 | ||
| 0~20% | PSO | 4.72 | 14.81 | 90.04 | 99.95 | 96.61 | 
| SAF | 28.83 | 52.97 | 92.18 | 100.00 | 89.44 | |
| 20~40% | PSO | 17.41 | 20.72 | 8.84 | 0.05 | 1.75 | 
| SAF | 40.80 | 33.45 | 6.67 | 0.00 | 5.81 | |
| 40~60% | PSO | 28.55 | 22.31 | 1.12 | 0.00 | 0.70 | 
| SAF | 21.19 | 9.15 | 1.15 | 0.00 | 2.66 | |
| 60~80% | PSO | 25.31 | 24.56 | 0.00 | 0.00 | 0.47 | 
| SAF | 7.48 | 2.27 | 0.00 | 0.00 | 1.07 | |
| 80~100% | PSO | 24.01 | 17.596 | 0 | 0 | 15.98 | 
| SAF | 1.69 | 2.164 | 0 | 0 | 5.18 | |
| Power Utilization | Thrust Allocation | Occurrence (%) | ||||
|---|---|---|---|---|---|---|
| No. 1 | No. 2 | No. 3 | No. 4 | No. 5 | ||
| 0~20% | PSO | 3.96 | 14.73 | 59.25 | 90.75 | 81.86 | 
| SAF | 0.76 | 31.23 | 8.79 | 66.27 | 30.50 | |
| 20~40% | PSO | 9.38 | 23.51 | 28.36 | 8.06 | 6.05 | 
| SAF | 3.86 | 17.31 | 27.48 | 10.97 | 16.76 | |
| 40~60% | PSO | 18.20 | 24.06 | 9.18 | 1.12 | 5.24 | 
| SAF | 14.57 | 11.57 | 24.50 | 9.83 | 13.84 | |
| 60~80% | PSO | 29.35 | 18.64 | 2.16 | 0.08 | 3.62 | 
| SAF | 36.13 | 19.42 | 22.81 | 8.24 | 19.29 | |
| 80~100% | PSO | 39.1 | 19.06 | 1.04 | 0 | 18.53 | 
| SAF | 44.68 | 20.46 | 16.42 | 4.69 | 20.26 | |
| Disclaimer/Publisher’s Note: The statements, opinions and data contained in all publications are solely those of the individual author(s) and contributor(s) and not of MDPI and/or the editor(s). MDPI and/or the editor(s) disclaim responsibility for any injury to people or property resulting from any ideas, methods, instructions or products referred to in the content. | 
© 2024 by the authors. Licensee MDPI, Basel, Switzerland. This article is an open access article distributed under the terms and conditions of the Creative Commons Attribution (CC BY) license (https://creativecommons.org/licenses/by/4.0/).
Share and Cite
Liu, C.; Zhang, Y.; Gu, M.; Zhang, L.; Teng, Y.; Tian, F. Experimental Study on Adaptive Backstepping Synchronous following Control and Thrust Allocation for a Dynamic Positioning Vessel. J. Mar. Sci. Eng. 2024, 12, 203. https://doi.org/10.3390/jmse12020203
Liu C, Zhang Y, Gu M, Zhang L, Teng Y, Tian F. Experimental Study on Adaptive Backstepping Synchronous following Control and Thrust Allocation for a Dynamic Positioning Vessel. Journal of Marine Science and Engineering. 2024; 12(2):203. https://doi.org/10.3390/jmse12020203
Chicago/Turabian StyleLiu, Changde, Yufang Zhang, Min Gu, Longhui Zhang, Yanbin Teng, and Fang Tian. 2024. "Experimental Study on Adaptive Backstepping Synchronous following Control and Thrust Allocation for a Dynamic Positioning Vessel" Journal of Marine Science and Engineering 12, no. 2: 203. https://doi.org/10.3390/jmse12020203
APA StyleLiu, C., Zhang, Y., Gu, M., Zhang, L., Teng, Y., & Tian, F. (2024). Experimental Study on Adaptive Backstepping Synchronous following Control and Thrust Allocation for a Dynamic Positioning Vessel. Journal of Marine Science and Engineering, 12(2), 203. https://doi.org/10.3390/jmse12020203
 
        


 
       